Abstract
The enhancement of the treatment of municipal wastewater treatment plants is limited by poor sludge settling qualities, and the excessive discharge of nitrogen and phosphorus exacerbate water eutrophication. The goal of the current work was to remove phosphorus from fresh sewage-activated sludge by developing a new conditioning and flocculation mechanism that included a coagulant and cationic polyelectrolytes in a dual conditioning system. The coagulant (CaCl2) and the high molecular weight polyacrylamide (CPAM-10) were chosen to be utilized singly or in pairs as cationic–coagulant combinations. The collected results showed that, in comparison to utilizing the coagulant (CaCl2), conditioning with the high molecular weight polymer (CPAM-10) produced improved settling and less turbidity. Only sludge with a lower solid content (TSS) exhibited better settling when pure CaCl2 was used for conditioning. CaCl2 conditioning enhanced settling by just 3%, while CPAM-10 improved the sludge setting by 60% for higher sludge TSSs. According to the results, conditioning settings using a dual mixture including 20 mL CPAM-10 and 50 mL CaCl2 improved settling by 80%. The amount of phosphorus in the supernatant was decreased by 15% and 9%, respectively, by using the coagulant (CaCl2) and 50 mL/L polyacrylamide (CPAM-10). As a result, there was a significant amount of phosphorus in the resultant supernatant. This suggested that the polymer had a significant impact on sludge settling because of its high positive charge, but had less of an impact on attracting phosphorus metal. Despite the lower positive charge of CaCl2, it has a dual action of settling and removing phosphorus. A considerable amount of phosphorus was removed from the sludge and leached to the supernatant during treatment. This treatment was coupled with less sludge settling. However, 90% phosphorus removal was achieved when mixed conditioning agents (20 mL CPAM-10 and 50 mL CaCl2) were used. Furthermore, phosphorus was reduced by 33 and 39%, respectively, by adding 20 milliliters of CaCl2 to 100 milliliters of the pre-conditioned supernatant with pure CPAM-10 and CaCl2. Using the CPAM-10 agent for sludge conditioning has a major impact on settling, because of the high positive charge, and because when a small amount of Ca++ is added to the polymer solution for conditioning to attract fine sludge particles and accelerate their combination, this results in flocculation and rapid dewatering. This mechanism allows for more phosphorus to be released to the supernatant, which has not been reported previously to the best of our knowledge.
1. Introduction
The most efficient and cost-effective method for managing activated sludge and massive volumes of wastewater nowadays is biological treatment. Municipal wastewater treatment methods are tailored to remove organic compounds, phosphate, and nitrogen from sewage sludge [1]. Unfortunately, due to a lack of space, expanding any existing wastewater treatment plant is expensive and/or challenging [2].
One important factor for improving wastewater treatment plants’ capacity is thought to be the floc settling of sewage-activated sludge. Additionally, sludge bulking may result in a decrease in the wastewater treatment efficiency [3]. The ability of bacteria to cause floc formation, which facilitates the separation of solid particles from treated wastewater, determines the efficacy of biological wastewater treatment. Additionally, a long period is needed for sludge separation and precipitation for a low sludge density [4]. The most expensive and challenging procedures in wastewater treatment facilities are those related to the management, disposal, and conditioning of activated sludge from treated sewage. Due to limitations in existing treatment technology, sewage sludge must be treated and disposed of using more effective and optimal procedures. More than 80% of the activated sludge that is produced after various separation techniques is water rich [5].
Extracellular polymers (EPS) adsorbed organic and inorganic materials, and both living and dead microorganisms form the composition of the floc. Since EPS, which are the main component of the microbial species, contain an anionic charge, cationic polymers and divalent metal ions are utilized to balance out the charges produced by the microbes. For at least forty years, polyelectrolytes have been used in coagulation/flocculation procedures to purify water. The use of polyelectrolytes can be beneficial to solve the problems of the flocs slow-settling, and for treating the soft colored waters to improve the settling ability and increase the flocs’ toughness [6,7,8,9].
The impact of the digestion process on the dewatered sludge of many wastewater treatment plants in Japan was examined by Chen et al. [10]. The results of the study indicated that the digesting process had the greatest influence and that the conditioning process needed to be optimized in order to increase the effectiveness of sludge dewatering by choosing the right kinds of chemical agents and dosages. The choice of inappropriate chemicals for conditioning results in a decreased dewatering efficiency, which raises the operational cost significantly [11], as reported by Ghernaout and Ghernaout [12]. The agglomeration of the sludge particles is created during the chemical conditioning process as a result of bridging between the sludge particles and the neutralization of the negative surface charge. Consequently, this raises the efficiency of sludge dewatering [13]. Therefore, it is more effective to use high charge cationic polyelectrolyte density for floc formation.
Early studies [14,15,16,17,18] discovered that raising the concentration of divalent cations, specifically Ca++ and Mg++, enhanced the settling characteristics, sludge dewatering, and floc strength. Nonetheless, it was shown that the primary cause of floc formation was calcium. The floc characteristics deteriorated when Ca++ and Mg++ ions were removed from the floc structure, as demonstrated by Bruus et al. [19].
In order to sustain the floc matrix of the microbe-biopolymer, Higgins and Novak [20] proposed a bridging theory using divalent cations (such as Ca++ and Ma++) and negatively charged sites on exocellular biopolymers. Furthermore, it was shown by Langer et al. [21] that inorganic substances (such as Ca+2 and Fe+3) can be used to treat wastewater by adsorbing on dispersed sludge particles, creating hydroxide polymeric charged particles, and then altering the surface charge of the particles. Further research revealed that because of the electrostatic interactions between the cation and the sludge particles, the cation valence state had a significant role in influencing the features of sludge strength, flocculation, settling, and dewatering.
Due to their higher positive charges, divalent and trivalent cations facilitate better dewatering and stronger flocculation between biological cells and the extracellular polysaccharide (EPS) matrix [22,23,24]. In a study conducted in Nizwa, Sultanate of Oman, Salam [25] examined the effects of the coagulants Al+3, Ca+2, and Fe+3 on turbidity, SVI, and floc size. His findings revealed that these cations had less of an influence on settling and dewatering than those obtained using polyelectrolytes. Ca++ may have a beneficial influence on cell–EPS bridging in wastewater with a low solid content.
According to research by Erik Rumbaugh [26], employing a 2:1 ratio of monovalent to divalent cations (M/D) has a detrimental effect on floc formation. He found that the flocculation process may be improved by adding the cations trivalent iron and aluminum with the following correlation: monovalent cations/divalent cations/trivalent cations (M/D)/T < 1.0. Additionally, he noted that the floc formation was marginally enhanced by the addition of Mg++.
Raghavendran Sivasubramanian [27] indicated that adding divalent cations enhanced settling and organic removal, whereas increasing the concentration of monovalent cations worsened wastewater treatment and sludge settling. Additionally, he studied the flocculation process’s effects on the M/D and divalent concentration independently.
Nitrate in the water is used by fish and algae to make protein, but too much of it can be harmful to domestic animals and young children. The transformation of sunlight into energy that cells can use for growth and reproduction requires the nutrient phosphate. On the other hand, excessive phosphorus levels may be harmful to nearby fauna, upsetting the delicate balance of the ecosystem and reducing the oxygen concentration of the water as the algae break down. Wastewater contains phosphate and nitrogen from fertilizers, food, human waste, and some soaps and detergents [28].
Algal blooms can be avoided by de-phosphorating water to avoid eutrophication. Furthermore, too much phosphorus in water resources cause algae to grow too quickly, obstructing the water body’s ability to receive sunlight, killing fish and aquatic plants, and disturbing the delicate balance of the aquatic system [29].
One of the treatments to minimize the eutrophication of water bodies through the employment of various procedures is the removal and recovery of nitrogen and phosphorus. The three main methods for removing phosphorus are chemical, biological, and physical. In a biological treatment facility, phosphate must be moved from the liquid phase to the sludge phase. Alternative techniques must be employed to remove any remaining phosphate because its removal efficacy usually drops below 30% [30].
Chemical precipitation is also frequently used for phosphate removal. The industry sees the precipitation of calcium phosphate from wastewater as a significantly more viable kind of phosphorus recovery than other forms, since it may be valorized in agriculture as a slightly soluble fertilizer. As a result, it is a crucial physiochemical process for the removal of phosphorus and is becoming increasingly significant for the recovery of phosphorus [3]. Agents used to precipitate dissolved phosphorus include metal salts, calcium (Ca+2), iron (Fe+2 or Fe+3), aluminum (either alum, Al2(SO4)3·18H2O, or sodium illuminate, Na2Al2O4). Fe+2 and Fe+3 salts can be used as sulfate or chloride [3,31,32].
Phosphorus concentration must be kept in check because it frequently acts as a barrier to eutrophication in inland receiving waters. In order to ascertain the optimal pH, dosage, and performance standards for the coagulants calcium chloride and alum for the removal of phosphorus, a series of jar tests were employed in this work. It was discovered that the optimal pH range for alum use was 5.76. The dosage of calcium chloride and the pH of the solution were critical for the removal of phosphorus [30,33].
To improve the efficiency of the phosphorus removal process in pervious concrete, flocculant foamed lightweight aggregate (FFLA) containing polymeric ferric sulfate (PFS) as a flocculant was proposed to substitute the conventional aggregate. The effects and operation of PFS were investigated with respect to the basic physical properties, the evaluation of the phosphorus removal efficiency, and adsorption kinetics. The results showed that a decrease in the bulk density, cylinder compressive strength, softening coefficient, and water absorption of FFLAs gradually increased with an increase in PFS content. This was because PFS promoted the foaming of hydrogen peroxide, and the connection between loose bulk density and the softening coefficient and compressive strength of cylinders was greater than 0.93. Total phosphorus was removed at the highest rate of 87.71% by FFLAs [34].
This work was aimed at studying the utilization of CaCl2 for improving phosphorus removal concurrently with the use of positively charged polyacrylamide (CPAM-10) for a better settling process, and hence, lowered energy and operational costs and improved the sustainability of environmental waste.
The purpose of this work was to investigate the viability of using polyacrylamide (CPAM-10) and calcium chloride (CaCl2) to improve the settling and flocculation processes and to remove phosphorus from sewage effluent. The procedure was carried out using various doses of CPAM-10 and pure and mixed Ca++.
2. Methodology
2.1. Collection and Characterization of Sludge Samples
Different sludge samples were taken from the aeration tank of the Izki (Sultanate of Oman) wastewater treatment facility. The total suspended solids (TSS), volatile suspended solids (VSS), and fixed suspended solids (FSS) are displayed in Table 1 for the sludge samples that were collected.
Table 1.
Solid content in sludge samples.
Using method 2540D, the total suspended solids for the sludge samples were determined in compliance with the 1998 APHA standard [35]. These findings showed that more than 80% of the samples’ compositions were organic, as indicated by the values of VSS.
2.2. Conditioning Solutions
CaCl2 and polyacrylamide (CPAM-10) were the two distinct cationic agents that were used to condition each sample, both singly and in combination. The conditioning solutions were prepared by mixing 1 g of each with one liter of deionized water and then stirring using a magnetic stirrer for at least 24 h. The jar test was conducted using six distinct conditioning solution concentrations, ranging from 5 to 50 ppm.
2.3. Flocculation Tests
For the flocculation testing, the jar test Armfield unit was utilized. Amount of conditioning solution were added; one milliliter is equivalent to one milligram of cation. The flocculation test was conducted in the jar test equipment using two distinct sequential mixing rates: first, a fast 200 rpm mixing rate for two minutes to facilitate the binding of the cation molecules with the dispersed sludge particles, and then a slower 30 rpm mixing rate for thirty minutes to encourage flocculation.
After three hours of settling, the supernatant was separated to measure phosphorus and turbidity. A turbidity meter (CL 52D Nephelometer, Elico Ltd., Hyderabad, India) and HANNA chemical reagents in conjunction with a colorimeter were used to quantify the turbidity and phosphorus, respectively. According to the 1998 APHA standard [35], the Sludge Volume Index (SVI), as established by method 2710D, was used to characterize the sludge settling properties of the samples.
2.4. Microscopic Analysis
Microscopic analysis using an optical microscope was performed using HORNET Micro Zoom 1280 (Wien, Austria) to photograph the fresh sludge samples; untreated and treated with polyacrylamide. The adopted magnification was 0.6–100×. The photos were taken with the digital camera MICROS CAM 320 “Advanced”.
3. Results and Discussion
3.1. Microscopic Analysis of Fresh Sludge Sample
Figure 1 shows the non-dense morphology of the sample of sludge without conditioning. Figure 2 shows clearly how the polyelectrolyte carries out the function of separating solid particles of sludge and looks denser in comparison to a normal sludge. Also, these photos show the complexity of the sludge and that most of the sludge particles are heterogeneous in shape. Figure 3, using CaCl2, shows not much difference to a fresh sludge sample.
Figure 1.
Shows a sample of sludge without conditioning.
Figure 2.
Sample treated with 100 mL CPAM-10 of a concentration of 1000 ppm.
Figure 3.
Sample treated with 100 mL CaCl2 of a concentration of 1000 ppm.
The effects of adding the two pure and mixed cationics, CaCl2 and polyacrylamide (CPAM-10), were investigated through several experimental tests. The settling after treatment with different concentrations (fresh, 5, 10, 20, 50, 100 mL) of CaCl2 and CPAM-10 each are shown in Figure 4.
Figure 4.
The settling after treatment with different concentrations.
3.2. Sludge Conditioning for Different (TSSs) Using 100 mL of Pure CaCl2
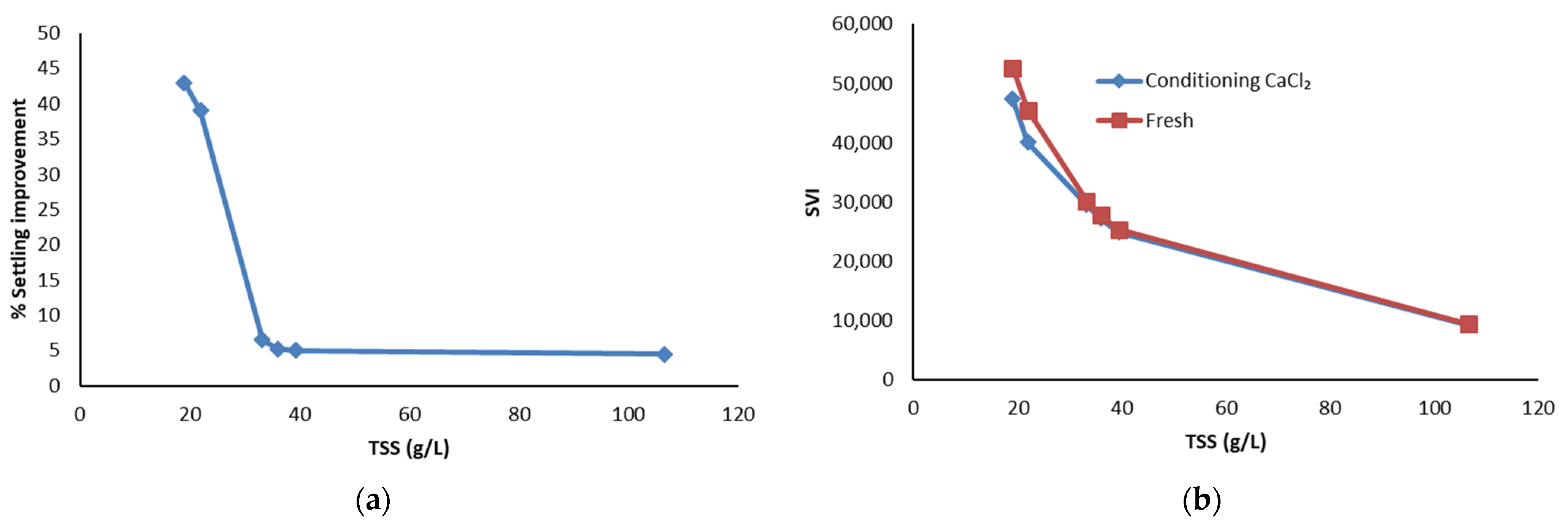
Figure 5 indicates the effects of various total suspended solids (TSSs) on SVI for sludge conditioning using 100 mL of 1 ppm CaCl2. It is evident that the amount of TSS present had a significant impact on SVI, and the findings showed that increased TSS levels were associated with a sharp decline in the settling and flocculation processes.
Figure 5.
Sludge conditioning for different (TSSs) using 100 mL CaCl2; (a) percentage of settling improvement, (b) SVI.
When compared to fresh sludge samples, samples treated with less TSS, such as those with 19 g/L, showed a 45% improvement in settling efficiency and a 10% improvement in SVI due to the treatment using CaCl2. However, there was less than 5% improvement for samples with a greater TSS. The low improvement in settling referred to the weak interactions between the low cation charge and sludge particles, which can be referred to Van der Waals interactions, rather than the bridging mechanism. As a result, there was less dewatering and less effective flocculation promotion. These findings demonstrated how adding cations like Ca++ could enhance the flocculation and settling for sludge with low solid contents. Following the jar test, the interface positions between the sediment and supernatant liquid were measured during settling. The findings are shown in Figure 6 as a function of time after the mixture was placed into cylindrical flasks with different Ca++ concentrations. The outcomes demonstrated less settling, even when the Ca++ dosage was increased to 100 ppm.
Figure 6.
Sludge settling using pure CPAM-10.
3.3. Flocculation Process Using Pure CaCl2 and CPAM-10
Several tests employed different cationics and polyacrylamide for improving sludge settling. The findings showed a 50% increase in sludge settling when using positive polyacrylamide with a high density. Various concentrations of polyacrylamide (CPAM-10) were employed, and the results are depicted in Figure 6. When compared to utilizing Ca++ (Figure 7), the results indicated a considerable influence on settling with an increase in polymer dosage. When cationic polymers were added, the polymers’ amino groups combined with the carboxyl groups of the suspended sludge particles, causing flocculation and rapid dewatering.
Figure 7.
Sludge settling using pure CaCl2.
3.4. Flocculation Process Using a Dual Mixture of CaCl2 and CPAM-10
A dual mixture of CPAM-10 (10, 20, and 50 mL) at varying CaCl2 concentrations in the range of 5–100 mL was employed. Figure 8a, b, and c depict the result of the mixed polymer of dosages of 10, 20, and 50, respectively. The results obtained showed a significant improvement in settling for several combinations. The findings showed that adding more CPAM-10 to the dual agents for sludge conditioning had a major impact on settling, because the high positive charge drew in the negatively charged sludge surface, which caused flocculation. When a small amount of Ca++ (between 5 and 10 mL) is added to the polymer solution for conditioning, it attracts fine sludge particles and accelerates their combination, resulting in flocculation and rapid dewatering.
Figure 8.
Settling using a dual mixture of CaCl2 and CPAM-10. (a) CaC2 and 10 mL polymer, (b) CaC2 and 20 mL polymer, (c) CaC2 and 50 mL polymer.
Nevertheless, despite the high concentration of positive charge, adding more Ca++ resulted in a lower improvement in settling. This was due to the repulsion between similar charges causing the dispersion of the sludge particles.
3.5. Phosphorus Removal
To determine how well phosphorus could be removed from wastewater, several tests were conducted. The upcoming section contains these tests.
3.5.1. Phosphorus Removal from Treated Sludge Using Pure CaCl2 and CPAM-10
The phosphorus concentrations of supernatant samples obtained from the treated sludge employing CPAM-10 and CaCl2 are displayed in Figure 9. It can be observed that adding CPAM-10 and calcium chloride (CaCl2) to sewage sludge decreased its phosphorus concentration by 7% and 15%, respectively. The acquired results showed that the polymer had a significant effect on drawing the negatively charged sludge particles (causing dewatering); however, it had little attraction to the negatively charged phosphorus ions. But during sludge treatment, CaCl2 affected the settling of the fine sludge particles only, and largely the phosphorus ions. This is due to the coulombic attraction between the oppositely charged species, meaning that Ca++ tends to polarize the electron cloud of the phosphorus ions by pulling their electron density towards itself, while with the use of polyacrylamide, the weak Van der walls force is dominant over the weak attraction between the polymer and phosphorus.
Figure 9.
Phosphorus content in the supernatant after treatment with pure CaCl2 and the polymer.
3.5.2. Phosphorus Removal from Conditioned Supernatant with Pure CPAM-10 and CaCl2
Figure 10 displays the results of treating samples of the previously conditioned supernatant with 50 mL of pure CPAM-10 and CaCl2 each, followed by the addition of 20 mL of Ca++ to 100 mL of treated supernatant for the removal of phosphorus. The results show that phosphorous was reduced by 39% and 32% for the conditioned supernatants containing 50 mL of CaCl2 and 50 mL of CPAM-10, respectively. The availability of C++ in the previously treated supernatant was prompted by the addition of new Ca++ and caused a greater decrease in phosphorus content.
Figure 10.
Phosphorus removal from conditioned supernatant with pure CaCl2 and CPAM-10.
3.5.3. Phosphorus Removal from Supernatant from Treated Sludge Using Dual Mixture of CaCl2 and CPAM-10
Supernatant samples were extracted from the treated sludge using the dual mixture of CPAM-10 and CaCl2 concentrations. The supernatant samples were additionally treated for phosphorus removal using varying concentrations of CaCl2. The phosphorus content of each sample was evaluated independently, and the findings are displayed in Figure 11. The results showed that the removal of phosphorus ions increased with the amount of CaCl2 employed; with 10, 20, and 50 mL of CPAM-10, the phosphorus removal was 78, 90, and 80% with 50 mL of CaCl2, respectively. Using CPAM-10 agents for sludge conditioning has a major impact on settling because of the high positive charge, and when a small amount of Ca++ is added to the polymer solution for conditioning, it attracts fine sludge particles and accelerates their combination, resulting in flocculation and rapid dewatering. This mechanism allows for more phosphorus to be released to the supernatant, which has not been reported previously to the best of our knowledge. The high percentage of phosphorus removal was due to the coulombic attraction between the oppositely charged species.
Figure 11.
Phosphorus content in the supernatant after treatment using mixed CPAM-10 and different amounts of CaCl2.
4. Conclusions
Phosphates are derived from numerous sources such as agriculture, urban drainage systems, and home and industrial wastewater. In addition, detergents and domestic and commercial wastewater, including that from dry cleaners and laundry services, release large concentrations of phosphates into the land and aquatic environments. The treatment of sewage sludge and phosphorus removal using polyacrylamide and calcium chloride with conditioning with CaCl2 has less effect on the settling of the activated sludge with a large TSS content, due to its lower positive charge. CPAM-10 has a large impact on the settling of the activated sludge with all levels of TSS due to its large positive charge. The settling and flocculation processes can be enhanced by conditioning sludge with a dual mixture of CPAM-10 and CaCl2. After conditioning with pure CaCl2 and pure CPAM-10, the amount of phosphorus was reduced by less than 20%. A dual mixture of CPAM-10 and CaCl2 could enhance phosphorus removal by up to 90% from the resultant supernatants. The optimum dosage to the treated sludge using 50 mL of pure CPAM-10 and CaCl2 was 20 mL of Ca++ to 100 mL of the supernatant solution. Adding more CaCl2 to the conditioned supernatant (made with pure CPAM-10 and CaCl2) can enhance phosphorus removal by 40% from the resultant supernatant.
Author Contributions
Conceptualization, S.K.A.-D., Y.S.A.H., S.D.A.S., S.S.R. and H.A.A.R.; Methodology, S.K.A.-D., Y.S.A.H., S.D.A.S., H.A.A.R. and G.H.; Analysis, S.K.A.-D., Y.S.A.H., S.D.A.S., S.S.R., H.A.A.R., H.N.H., R.H.H. and G.H.; Writing—original draft preparation, S.K.A.-D., Y.S.A.H., S.D.A.S., H.A.A.R. and G.H.; Writing—review and editing, S.K.A.-D., Y.S.A.H., S.D.A.S., S.S.R., H.A.A.R., H.N.H., R.H.H. and G.H.; Visualization, S.K.A.-D., Y.S.A.H., S.D.A.S., S.S.R., H.A.A.R., H.N.H., R.H.H. and G.H. All authors have read and agreed to the published version of the manuscript.
Funding
The This research was funded by the Deanship of Research and Graduate Studies at King Khalid University (grant no. RGP2/333/45). Also, this research was funded by the University of Nizwa.
Data Availability Statement
The data presented in the study are available upon reasonable request.
Acknowledgments
The authors extend their appreciation to the Deanship of Research and Graduate Studies at King Khalid University for funding this work through Large Research Project under grant number RGP2/333/45. Also, the authors extend their appreciation to the University of Nizwa.
Conflicts of Interest
The authors declare no conflicts of interest.
References
- Martins, A.M.P.; Pagilla, K.; Heijnen, J.J.; van Loosdrecht, M.C.M. Filamentous bulking sludge—A critical review. Water Res. 2004, 38, 793–817. [Google Scholar] [CrossRef] [PubMed]
- Dai, H.; Sun, Y.; Wan, D.; Abbasi, H.N.; Guo, Z.; Geng, H.; Wang, X.; Chen, Y. Simultaneous denitrification and phosphorus removal: A review on the functional strains and activated sludge processes. Sci. Total Environ. 2022, 835, 155409. [Google Scholar] [CrossRef] [PubMed]
- Droste, R.L.; Gehr, R.L. Theory and Practice of Water and Wastewater Treatment; John Wiley & Sons: New York, NY, USA, 2018. [Google Scholar]
- Xu, J.; Sun, Y.; Liu, Y.; Yuan, W.; Dai, L.; Xu, W.; Wang, H. In-situ sludge settleability improvement and carbon reuse in SBR process coupled with hydrocyclone. Sci. Total Environ. 2019, 695, 133825. [Google Scholar] [CrossRef] [PubMed]
- Sharma, M.; Yadav, A.; Mandal, M.K.; Pandey, S.; Pal, S.; Chaudhuri, H.; Chakrabarti, S.; Dubey, K.K. Wastewater treatment and sludge management strategies for environmental sustainability. In Circular Economy and Sustainability; Elsevier: Amsterdam, The Netherlands, 2022; Volume 2, pp. 97–112. [Google Scholar]
- Asghari, M.; Danesh, S.; Ahmadpour, A.; Malekshahi, M.; Behnamsani, M. Chemical conditioning of aerobically digested sludge using polyelectrolytes with diferent charge densities. Appl. Water Sci. 2024, 14, 57. [Google Scholar] [CrossRef]
- Al-Dawery, S.K. Conditioning process and characterization of fresh activated sludge. Int. J. Eng. Sci. Technol. 2015, 10, 692–711. [Google Scholar]
- Kamizela, T.; Kowalczyk, M. Impact of conditioning substances and filtration pressure on dewatering efficiency of sewage sludge. Energies 2021, 14, 361. [Google Scholar] [CrossRef]
- Shi, C.; Sun, W.; Sun, Y.; Chen, L.; Xu, Y.; Tang, M. Synthesis, characterization, and sludge dewaterability evaluation of the chitosan-based flocculant CCPAD. Polymers 2019, 11, 95. [Google Scholar] [CrossRef]
- Chen, M.; Oshita, K.; Mahzoun, Y.; Takaoka, M.; Fukutani, S.; Shiota, K. Survey of elemental composition in dewatered sludge in Japan. Sci. Total Environ. 2021, 752, 141857. [Google Scholar] [CrossRef]
- Ayol, A.; Dentel, S.K.; Filibeli, A. Dual polymer conditioning of water treatment residuals. J. Environ. Eng. ASCE 2005, 131, 1132–1138. [Google Scholar] [CrossRef]
- Ghernaout, D.; Ghernaout, B. Sweep focculation as a second form of charge neutralization—A review. Desalination Water Treat. 2012, 44, 15–28. [Google Scholar] [CrossRef]
- Zhang, X.; Ye, P.; Wu, Y. Enhanced technology for sewage sludge advanced dewatering from an engineering practice perspective: A review. J. Environ. Manag. 2022, 321, 115938. [Google Scholar] [CrossRef] [PubMed]
- Park, C.; Novak, J.J. Characterization of activated sludge exocellular polymer using several cation-associated extraction methods. Water Res. 2007, 4, 1679–1688. [Google Scholar] [CrossRef] [PubMed]
- Cousin, C.P.; Ganczarczyk, J.J. Effect of calcium ion concentration on the structure of activated sludge flocs. Environ. Technol. 1999, 20, 1129–1138. [Google Scholar] [CrossRef]
- Sobeck, D.C.; Higgins, M.J. Examination of three theories for mechanisms of cation-induced bioflocculation. Water Res. 2007, 36, 527–538. [Google Scholar] [CrossRef]
- Eriksson, L.; Alm, B. Study of flocculation mechanism by observing effects of a complexing agent on activated sludge properties. Water Sci. Technol. 1991, 24, 21–28. [Google Scholar] [CrossRef]
- Higgins, M.J.; Novak, J.T. Characterization of exocellular protein and its role in bioflocculation. J. Environ. Eng. 1997, 123, 479–485. [Google Scholar] [CrossRef]
- Bruus, J.H.; Nielsen, P.H.; Keiding, K. On the stability of activated sludge flocs with implications to dewatering. Water Res. 1992, 26, 1597–1604. [Google Scholar] [CrossRef]
- Higgins, M.; Novak, J. Dewatering and settling of activated sludges: The case for using cation analysis. Water Environ. Res. 1997, 69, 225–232. [Google Scholar] [CrossRef]
- Langer, S.J.; Klute, R.; Hahn, H.H. Mechanisms of floc formation in sludge conditioning with polymers. Water Sci. Technol. 1994, 30, 4430–4436. [Google Scholar] [CrossRef]
- Higgins, M.; Tom, L.A.; Sobeck, D. Case study i: Application of the divalent cation bridging theory to improve biofloc properties and industrial activated sludge system performance? Direct addition of divalent cations. Water Environ. Res. 2004, 76, 344–352. [Google Scholar] [CrossRef]
- Kara, F.; Gurakan, G.C.; Sanin, F.D. Monovalent cations and their influence on activated sludge floc chemistry, structure, and physical characteristics. Biotechnol. Bioeng. 2008, 100, 231–239. [Google Scholar] [CrossRef] [PubMed]
- Ren, T.-T.; Liu, L.; Sheng, G.P.; Liu, X.-W.; Yu, H.Q.; Zhang, M.-C.; Zhu, J. Calcium spatial distribution in aerobic granules and its effects on granule structure, strength and bioactivity. Water Res. 2008, 42, 3343–3352. [Google Scholar] [CrossRef] [PubMed]
- Al-Dawery, S.K.; Nasser, M.S. Conditioning Process of a Fresh Activated Sludge. Int. J. Environ. Sci. Eng. 2013, 7, 195–199. [Google Scholar]
- Rumbaugh, E. Importance of Divalent and Polyvalent Cations in Floc Formation, BIOLOGICAL WASTE TREATMENT EXPERT. 2017. Available online: https://www.biologicalwasteexpert.com/blog/importance-of-divalent-and-polyvalent-cations-in-floc-formation (accessed on 7 September 2024).
- Sivasubramanian, R.; Chen, G.-H.; Mackey, H.R. The effectiveness of divalent cation addition for highly saline activated sludge cultures: Influence of monovalent/divalent ratio and specific cations. Chemosphere 2021, 274, 129864. [Google Scholar] [CrossRef]
- Banu, R.J.; Do, K.U.; Yeom, I.T. Phosphorus Removal in Low Alkalinity Secondary Effluent Using Alum. Int. J. Environ. Sci. Tech. 2008, 5, 93–98. [Google Scholar] [CrossRef]
- Liu, D.S.; Quan, X.; Zhu, H.Z.; Huang, Q.; Zhou, L.X. Evaluation of modified waste concrete powder used as a novel phosphorus remover. J. Clean. Prod. 2020, 257, 120646. [Google Scholar] [CrossRef]
- Hosni, K.; Moussa, S.B.; Amor, B. Conditions Influencing the Removal of Phosphate from Synthetic Wastewater: Influence of the Ionic Composition. Desalination 2007, 206, 279–285. [Google Scholar] [CrossRef]
- Georgantas, D.A.; Grigoropoulou, H.P. Phosphorus Removal from Synthetic Wastewater Using Alum and Aluminum Hydroxide. Glob. NEST J. 2006, 8, 121–130. [Google Scholar]
- Adesoye, A.M.; Olayinka, K.; Olukomaiya, O.O.; Iwuchukwu, P.O. The removal of phosphates from laundry wastewater using alum and ferrous sulphate as coagulants. Int. J. Innov. Sci. Res. 2014, 8, 256–260. [Google Scholar]
- Mohammed, S.A.M.; Shanshool, H.A. Phosphorus Removal from Water and Waste Water by Chemical Precipitation Using Alum and Calcium Chloride. Iraqi J. Chem. Pet. Eng. 2009, 10, 47–52. [Google Scholar] [CrossRef]
- Gong, C.-C.; Wang, Y.-F.; Huo, L.-Q.; Dai, J. Phosphorus removal from sewage by flocculated foamed lightweight aggregate: Performance optimization, adsorption kinetics and mechanisms. Sep. Purif. Technol. 2023, 305, 122458. [Google Scholar] [CrossRef]
- APHA. Standard Methods for Examination of Water and Wastewater; American Public Health Association, American Water Works Association, Water Environmental Federation: Washington, DC, USA, 1998. [Google Scholar]
Disclaimer/Publisher’s Note: The statements, opinions and data contained in all publications are solely those of the individual author(s) and contributor(s) and not of MDPI and/or the editor(s). MDPI and/or the editor(s) disclaim responsibility for any injury to people or property resulting from any ideas, methods, instructions or products referred to in the content. |
© 2025 by the authors. Licensee MDPI, Basel, Switzerland. This article is an open access article distributed under the terms and conditions of the Creative Commons Attribution (CC BY) license (https://creativecommons.org/licenses/by/4.0/).










