Next Article in Journal
Quantifying the Comprehensive Water Resources and Environment Carrying Capacity in Wuhan City Based on the “Human-Water-City” Framework
Next Article in Special Issue
Modeling the Evolution of Mechanical Behavior in Rocks Under Various Water Environments
Previous Article in Journal
Spectroscopy-Based Methods for Water Quality Assessment: A Comprehensive Review and Potential Applications in Livestock Farming
Previous Article in Special Issue
Bayesian Framework for Detecting Changes in Downstream Flow–Duration Curves Induced by Reservoir Operation Method
 
 
Font Type:
Arial Georgia Verdana
Font Size:
Aa Aa Aa
Line Spacing:
Column Width:
Background:
Article

Changes in Water-Industry Load on River Water Resources in the Volga–Kama and Angara–Yenisei Reservoir Catchments Under Contemporary Global Warming

by
Aleksandr G. Georgiadi
1,
Elena A. Barabanova
1,
Irina P. Milyukova
1,
Pavel Y. Groisman
2,3,* and
Alexej N. Narykov
1
1
Institute of Geography, Russian Academy of Sciences, 119017 Moscow, Russia
2
Cooperative Institute for Satellite Earth System Studies, North Carolina State University, Asheville, NC 28801, USA
3
Hydrology Science and Services Corporation, Asheville, NC 28804, USA
*
Author to whom correspondence should be addressed.
Water 2025, 17(16), 2486; https://doi.org/10.3390/w17162486
Submission received: 1 August 2025 / Revised: 18 August 2025 / Accepted: 19 August 2025 / Published: 21 August 2025

Abstract

Changes in river runoff resources, volumes of water intake from surface water sources, and discharge of wastewater into them under contemporary global warming in the basins of the Volga–Kama and Angara–Yenisei reservoirs were analyzed by comparison with the base period, characterized by colder climatic conditions and the largest volumes of water intake and wastewater discharge. The water stress index (WSI) and the index of reciprocal dilution of polluted wastewater (RDI) were examined to reveal features of the change in the water-industry load on river runoff resources in reservoir basins during the period of contemporary global warming (compared to the previous base period) as a result of climate change combined with changes in the volumes of water intake and discharge of polluted wastewater. Both indices were calculated relative to the annual free flow for years of average river flow and the flow of low-water years. The dilution factor was estimated relative to the annual total flow. 1. The basins of the Volga–Kama reservoirs are characterized by a higher level of water-industry load, which is especially noticeable in the significantly lower RDI. 2. When calculating the dilution factor relative to the annual total flow, the level of water-industry load turns out to be much lower both in the base period and in the period of contemporary global warming. 3. At the same time, under global warming conditions, the dilution level of polluted wastewater in the basins of all reservoirs exceeds the minimum required level.

1. Introduction

Water-industry load, along with anthropogenic load on river and reservoir catchments, includes the withdrawal of water for various sectors of the economy (industry, agriculture, municipal) and discharges of wastewater of varying degrees of pollution/purification into the same sources. Such loads are accounted for in state water-industry statistics [1].
Two main factors influence the long-term load changes on river runoff resources in the basins of Russia’s largest rivers. One of these is global warming, which has become noticeable since the 1970–1980s, leading to significant changes in river runoff. Its effects are extremely uneven across the Russian territory and include significant runoff changes in the basins of the largest rivers, including the Volga and Yenisei Rivers [2,3,4,5,6,7]. Most studies have concerned the runoff of large rivers in their outlet sections, as well as medium and small rivers of various natural zones of Russia [2,3,4,5,6,7,8] and other regions of the world [9,10,11,12]. In recent years, changes in runoff from the catchments of Russia’s main reservoirs have been estimated by various methods [8], which are used in this study.
Another major influence has been the decline in production in the main sectors of the economy. Its impact has been noticeable since the mid-1990s; beginning after the effects of global warming became clear. These economic shifts led to a practically synchronous sharp decrease in the volumes of water intake and discharge of wastewater into rivers in the basins of the largest Russian rivers [13,14]. Thereafter, the water-industry loads significantly decreased, and in the last two decades, no noticeable long-term unidirectional changes in this load were observed.
For generalized (averaged over sufficiently large territories) estimates of water-industry load on river runoff resources at the global and regional levels (countries, administrative regions, river basins), various indices (indicators, criteria) are used [15,16,17]. Among these are various modifications of integral indicators such as the water stress index (WSI) [14,15,17] and the dilution factor of wastewater [14,18,19]. The accounting for environmental flow/runoff has received major attention in studies and assessments of the anthropogenic load and the ecological state of water resources [14,15,20,21,22,23,24]. Assessments were also made of water-industry loads in extremely low-water years, when the ecological state of rivers and reservoirs deteriorated significantly, resulting in extreme sensitivity to the adverse impact of anthropogenic loads [14,22,23].
The main objective of this study was to characterize the changes in the water-industry load on the resources of the annual river runoff during the period of contemporary global warming in the basins of the main reservoirs of the Volga–Kama and Angara–Yenisei cascades due to joint influence climate changes and the decline in production in the main sectors of the economy. This study is based on data of annual river flow formed in local reservoir basins (i.e., the local flow) and state statistics for the water intake and wastewater discharge volumes and estimates of the WSI and dilution factor for years with average runoff and low-water years, considering the environmental flow necessary for the normal functioning of aquatic ecosystems.

2. Objects of This Study

Our study focuses on the basins of the Volga–Kama and Angara–Yenisei Reservoirs, most of which were built in the 1950–1980 period (Figure 1). The so-called local reservoir catchments are considered, the boundaries of which are delimited by the dams of neighboring reservoirs.
Runoff in the Volga–Kama Reservoirs basins is mainly snow-fed, with a pronounced flood caused by the spring melting of seasonal snow cover. In the summer–autumn and winter low-water seasons, we observe here mainly rain and groundwater recharge. In contrast, in the basins of the Yenisei and Angara Rivers, the main source of runoff formation is rain floods that typically occur for the entire warm period. These rain floods exceed, in volume, the snow floods. In the winter season here, we observe a low runoff, which is due to underground feeding. The runoff of the Angara, especially at its source, is regulated by Lake Baikal.
The flows of the Volga and Kama, Yenisei and Angara Rivers are regulated by large reservoirs. The total volume of the main Volga–Kama Reservoirs is 168 km3, and that of the Angara–Yenisei Reservoirs is 393 km3 [25].

3. Data

3.1. Annual Runoff

The water-industry load on river runoff resources formed in local reservoir catchments includes an important change in the average long-term annual runoff between the period of contemporary global warming (PCGW) and the reference (or base) period (RP) preceding it. These periods differ from each other in climatic conditions, as well as in the level of water-industry load.
The initial data on the annual runoff (inflow to reservoirs), which is not noticeably disturbed by anthropogenic impact and formed in local reservoir catchments, were calculated by summing up the runoff of rivers flowing into reservoirs [8]. For the part of the reservoir basin covered by closing hydrometric gauges, the measured river discharges are summed. The inflow from the catchment area not covered by hydrometric observations is calculated using the hydrological analogy method, the essence of which is to transfer the hydrometric data of studied rivers (analog rivers) to the territory where river runoff observation data are not available.
The average long-term annual runoff for 1946–1977 was used as an estimate of base period flow, while the average long-term annual flow for 1978–2013 served as an estimate for the period associated with modern global warming. These data were used to calculate the average long-term annual ecological and free flow and the flow of low-water years of 75% exceedance probability.

3.2. Volumes of Water Intake and Wastewater Discharge

The initial data on annual volumes of water withdrawal (extraction) from rivers and groundwater (zones of active water exchange of surface water and groundwater), as well as reservoirs, and the total volumes of wastewater discharges into rivers and reservoirs of different categories (partially clean water, treated to standard quality, polluted water—both untreated and insufficiently treated) were taken from the annual reference publications [1]. The data used refer to 1992 and are representative of the period from the mid-1980s to the early 1990s. They characterize the maximum water-industry load. The data for 2020 are representative of the period from the late 1990s to the 2020s with minimum water-industry load. For more details, see Section 4.1.

4. Methods

4.1. Assessing Water-Industry Load

By water ecological stress, we mean the degree of use of water resources and their pollution. The water-industry load on river runoff resources is assessed on two widely used indicators: the index of water ecological stress (water stress index, WSI), which is used to estimate the share of runoff taken from water objects and used in various sectors of the economy [14,15,23,26], and the wastewater dilution factor (RDI) [14,18,19], which can also be considered as an indirect indicator of the water objects’ ecological state.
The indices are calculated (considering the ecological flow) not only for the average long-term annual flow, but also for the annual flow of low-water years [14,22] for both the period of contemporary global warming (PCGW) and the reference period (RP) preceding PCGW. The environmental flow is understood as the minimum ecologically acceptable volume of river flow required for aquatic ecosystems to maintain sustainable function [15,20,21,22].
The calculations of these indices considered the sharp decline in water intake volumes for the needs of various sectors of the economy and wastewater discharge that occurred in the mid-1990s [14]. The water intakes from rivers (surface water sources) and wastewater discharges into rivers and water bodies for 1992 (representative of the period from the mid-1980s to the early 1990s), were used as a model for the maximum level of water-industry load, and the data for 2020 were taken as model for the minimum level of water-industry load, representative of the period from the late 1990s to the 2020s. Combining data on the runoff formed during the PCGW and RP and the maximum and minimum water-industry loads in the reservoir basins during the specified periods allows for a generalized and indirect assessment of the impact of climate change and water-industry load on the ecological state of river runoff water resources in the reservoir basins.
It is important to note that the level of water-industry load was assessed relative to the volume of annual runoff generated in local reservoir catchments (i.e., relative to the local runoff volume). The transit runoff (generated in reservoir basins upstream), runoff accumulated in the reservoirs themselves, and the assessments of the level of water-industry load were adjusted in an appropriate direction.

4.2. Assessing Ecological and Free Flow

Assessing anthropogenic load and ecological state of water resources must consider ecological flow. There are different interpretations, however, of ecological and free flow [15,20,22]. The ecological flow is understood as the minimum ecologically permissible volume of river flow needed for aquatic ecosystems to maintain a state of sustainable functioning. According to [21], the ecologically permissible flow should account for the volume of water necessary for the normal development of hydrobionts, the river’s performance of its natural functions, and intra- and inter-annual runoff variability. The free runoff, therefore, is understood as the runoff that can be used for various economic needs without greatly harming aquatic ecosystems.
In this study, the proportional runoff method is used to calculate the ecological runoff [26]: the annual total average runoff is multiplied by a transition coefficient of 0.7 [14,22,23]. For low-water years of 75% exceedance probability (when the environmental situation worsens), some decrease in the environmental runoff is allowed, and a factor of 0.8 is used to recalculate the annual total runoff of 75% exceedance probability [14,22,23].

4.3. Calculating Indices of Water Ecological Stress and Dilution Rate of Wastewater

The water ecological stress index (WSI) is used to evaluate the share of runoff consumed in the economy, i.e., the degree of stress associated with water consumption [14,15,23]. This indicator can be used to assess the level of anthropogenic load averaged over administrative regions and river basins of different scales, as well as for small territories and individual objects.
The WSI [15] is estimated as the ratio of total water withdrawal per year to the average long-term annual free flow (equal to the difference between the total and ecological flow):
WSI = W/(MAR − EWR) × 100%,
where W is the volume of withdrawals, MAR is the total mean annual runoff averaged over a long-term period, and EWR is the environmental water runoff averaged over a long-term period. All quantities are measured in km3/year.
The WSI can also be considered as an indirect indicator of the ecological state of rivers and reservoirs. The WSI index or water ecological stress is calculated not only for the average long-term free flow, but also for the flow of 75% exceedance probability.
The WSI gradations proposed in [15] were used. Here, we will note the most important of them (the first one): when WSI ≥ 100%. It means that the river runoff resources are being exploited excessively, i.e., that water use is at the expense of ecological flow resources. Under these conditions, river basins experience an ecological shortage of water. All gradations for the WSI are given in Appendix A (Table A1).
Another indicator is the dilution factor (reciprocal dilution index, RDI) of wastewater [14,18,19]. This index can also be considered as an indirect approximate indicator of water resource quality. Note that even a high wastewater dilution factor (accounted for by government statistics from point sources of pollution) does not guarantee high water quality in water objects. The reason is that accounting is missing for pollutants entering through diffuse runoff from catchment areas (and from point sources of pollution unregistered by state statistics), which may even exceed the quantity of pollutants in water-industry wastewater. Thus, the situation may be worse than reflected by the dilution assessment of the wastewater considered here.
In relation to wastewater, the RDI is calculated using the following formula:
RDI = PW/(MAR − EWR),
where RDI is the reciprocal dilution of polluted wastewater; PW is the volume of polluted wastewater in km3/year.
The RDI was also calculated relative to the total mean annual runoff (MAR).
When calculating the water stress index, the dilution factor is calculated for the ecological flow for the average long-term flow and for the flow of 75% exceedance probability.
For the dilution factor of polluted wastewater, a 12-fold dilution was used as the minimum required level. This level was proposed in [27,28] for generalized assessments applicable to large enough territories corresponding to the sizes of the reservoir basins considered in this article. In addition, three more gradations of the dilution factor of polluted wastewater were used (Appendix ATable A2).

4.4. The Period of Contemporary Global Warming and the Reference Period

The global warming period began in the late 1970s and early 1980s and was characterized, in the territory of Russia, by a significant increase in air temperature and less noticeable changes in atmospheric precipitation compared to the previous multi-year base period. These changes led to corresponding changes in the characteristics of river runoff. The boundary between these periods is slightly different in different regions of Russia [2,3,6]. The period from the 1930s–1940s to the late 1970s–early 1980s (which is used in Russia to calculate the norms of river runoff characteristics) is usually employed as the base period, and the period from the above years and continuing until the present is considered as the period of contemporary global warming. Other, slightly shorter periods are also used for comparison. In this study, the base period is 1946–1978, and the period of modern global warming is 1979–2013, to which the river runoff data refer. See the Data section for more details.

4.5. Low-Water Runoff Estimation

The water-industry load is assessed not only in relation to the average long-term runoff, but also to the runoff of low-water years of 75% exceedance probability, when water intake and wastewater discharges lead to greater adverse environmental consequences. The annual runoff of low-water years with the above-mentioned exceedance probability for the studied reservoir basins was calculated using the runoff data corresponding to this probability, taken from [8].

5. Results

5.1. Characteristics of Annual River Runoff in Reservoir Catchments and Features of Their Changes

The largest of the considered annual runoff volumes (total, ecological, and free runoff, runoff of low-water years with 75% exceedance probability) occurred in the basins of the Cheboksary, Kama, Krasnoyarsk, Irkutsk, Nizhnekamsk, Kuibyshev, and Bratsk reservoirs. Their smallest volumes were recorded in the basins of the Ivan’kovo, Uglich, Saratov, Volgograd, and Boguchansk reservoirs (Figure 2).
Differences in the runoff volumes in the basins of the reservoirs of the Volga–Kama chain of hydroelectric power plants are explained mainly by differences in their area (Figure 3).
Geographical location also has a significant effect, determining, to a large extent, the climatic conditions for the runoff formation.
During the period of contemporary global warming, all three, the average long-term annual total (Figure 2), ecological, and free runoff in the basins of the considered reservoirs, and the runoff characteristics in low-water years corresponding to 75% exceedance probability have significantly changed relative to the base period. At the same time, in the basins of all reservoirs (except for the Volgograd Reservoir basin), the runoff increased, though to markedly varying degrees. In the Volgograd Reservoir basin, there was a sharp (2-fold) decrease. The most noticeable increase in runoff (from 10 to more than 20%) was observed in the basins of the Volga–Kama reservoirs, while in the basins of the Angara–Yenisei reservoirs, its growth was significantly less (except for the Irkutsk Reservoir, where its increase was about 9%), In the Boguchansk Reservoir basin, the runoff decreased, although only by 0.5%.

5.2. Characteristics of Water Consumption and Their Changes During the Period of Modern Global Warming

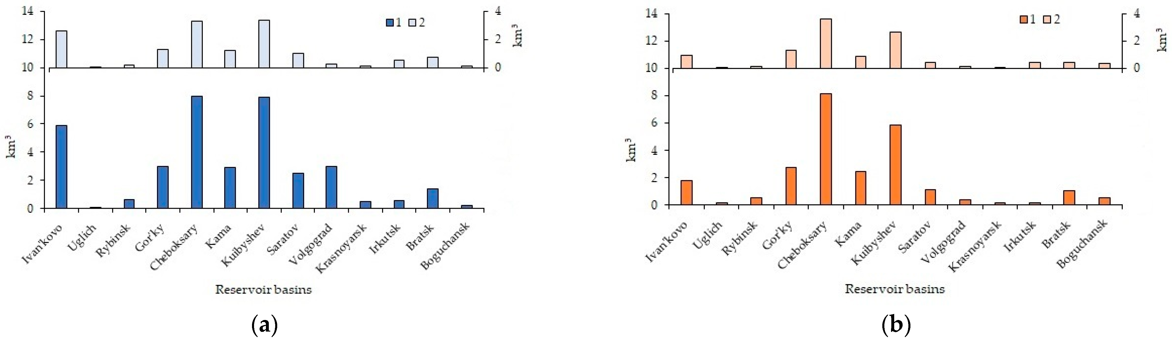
From 1982, the water intakes (withdrawal) and wastewater discharges in the years of maximum (1992) and minimum (2020) are quite closely related to each other (Figure 4). Therefore, the distributions of the above characteristics over the reservoir basins are similar. The largest water withdrawals in the year of their maximum values were observed in the basins of the Volga–Kama reservoirs (Ivan’kovo, Cheboksary, and Kuibyshev), which significantly exceeded the volumes withdrawn in the basins of other reservoirs (Figure 5). The most significant volumes of wastewater discharge were observed in the basins of the Cheboksary and Kuibyshev reservoirs. By 2020 (the year of minimum intake and discharge), their decrease ranged from 30% to 40% (Boguchansk and Uglich reservoir basins) to more than 90–100% (Volgograd and Irkutsk reservoir basins).

5.3. Changes in the Level of Water-Industry Load During the Period of Contemporary Global Warming Compared to the Baseline Period

To assess the overall impact of contemporary global warming and changes in the volume of water intake and discharge of contaminated wastewater on the level of water-industry load, the WSI and RDI values were compared with those for the reference period. At the same time, the WSI was calculated relative to free flow (in average river flow years and in low-water years) and the RDI was calculated relative to both free and total runoff.
The climatic changes that occurred during the period of modern global warming led to changes in annual total and free river flow, at the same time as the decrease in water intake and discharge of contaminated wastewater led to a significant decrease in the level of water-industry load in reservoir catchments.
Thus, in the PCGW there were no reservoir catchments in which the WSI exceeded 100%, whereas in the reference period such cases were observed in the basins of three reservoirs, when the specified index was calculated relative to the average long-term annual free flow, and in four of them when it was calculated relative to the free flow of 75% exceedance probability (all cases are related to the basins of the Volga–Kama reservoirs) (Figure 6, Figure 7 and Figure 8, Appendix BFigure A1, Figure A2 and Figure A3).
At the same time, the RDI in the base period was lower than the minimum required in the basins of eight reservoirs (six in the basins of the Volga–Kama reservoirs and two in the Angara–Yenisei reservoirs), both when calculating the index relative to the average long-term annual free flow and relative to the flow of 75% exceedance probability. When calculating the RDI relative to the total annual flow in average river runoff years, the number of such reservoir catchments is reduced to three, and in years of 75% exceedance probability to five. In the PCGW, their number was reduced to five (when calculating relative to the average annual free flow) and to six relative to the free flow of 75% exceedance probability. If the RDI is calculated relative to the total annual runoff, then reservoir catchments with such a low level of dilution are not detected at all.
Thus, the combined impact of climate change and changes in water management load (calculated relative to annual free flow) during the period of contemporary global warming most noticeably improved the situation in the basins of the Volga–Kama reservoirs, based on the results of WSI calculations. Based on the RDI data, the level of load on river flow resources has also decreased, but in the basins of several reservoirs, the RDI remains below the minimum required. But note that, if the load level is evaluated based on the RDI, calculated relative to the annual total runoff, both in the years of average river flow and low-water years in the PCGW in the basins of all reservoirs, the dilution of contaminated wastewater exceeds the minimum required.

6. Discussion

The WSI and the RDI used in this study are obtained from annual volumes of free river flow (the dilution factor was also estimated relative to the annual total runoff) and wastewater intake and discharge obtained for sufficiently large reservoir basins in general. This approach can also be used for small river basins [18] or administrative regions. The calculations do not consider how the contributing data are distributed over the territory. Reducing the size of the territory down to individual water withdrawal locations from surface water resources and to specific sites of wastewater discharge can allow us to consider their real distribution over the area, but other approaches are in that case more appropriate. Our approach can be used on scales down to the basins of small rivers or administrative districts.
It should be noted that additional justification is needed for calculating the minimum required level of wastewater dilution as a generalized indicator for basins of rivers and reservoirs, as well as for administrative regions. The results of assessing the amount of ecological runoff calculated based on different methodological approaches also need additional comparative analysis [14,15,20,22].
Other methods have been proposed for calculating the WSI and the RDI. When calculating the WSI, it was proposed to consider the volume of water required to dilute wastewater [14,17,28]. The dilution index of pollutants is also used [18,19], which is calculated as follows:
RDI = PM/MAR,
where the RDI is the dilution factor of polluted matter, and PM is the pollutant in tons.
The RDI is calculated for both individual pollutants and their average weighted by their Maximum Permissible Concentrations [18,19]. This method can be modified to calculate this index relative to free rather than total runoff.
During this study, a close relationship was found between the WSI and the RDI of wastewater, constructed on the basis of all combinations of runoff volumes, water intake and wastewater discharge during the period of contemporary global warming and the reference period. At the same time, there is a significant scatter of points from the average relationship curve, which is associated with the specific combinations of the above characteristics for the basins of specific reservoirs. This requires additional study.
As has already been said above, water-industry load is only a part of the total anthropogenic load on the quantity and quality of river runoff resources. The second part, no less significant, is associated with anthropogenic impacts exerted on catchment areas, where water and chemical runoff is formed, which affects the ecological states of river water resources. We note once again that assessing individual types of anthropogenic load and their complexes can also be used as an indirect assessment of the ecological state of a territory’s water resources. The following characteristics are most often used as indicators of anthropogenic load on water resources through catchment areas: population size/density (including urban and rural populations), the area of arable land (in some cases, areas under fall plowing are considered separately), livestock population, built area (cities and rural settlements are also taken into account separately), length of roads (including paved roads), amount of applied fertilizers, and crop yields [18,29].
Only when all these components are taken into account within the framework of a comprehensive approach, can we obtain a complete assessment of anthropogenic load on river runoff resources. It has already been implemented for regions (river basins) of various scales [18,30,31] and more. Such comprehensive assessment is based on point assessments of the intensity of individual types of anthropogenic load on catchments and the volumes (masses) of discharges of wastewater (pollutants) into surface waters and methods for weighing the above indicators [18], as well as the quality of river waters [32].

7. Conclusions

Changes in river runoff resources, volumes of water intake from surface water sources, and discharge of wastewater into them during the period of contemporary global warming were studied in local catchments of the Volga–Kama and Angara–Yenisei reservoirs in comparison with the immediately preceding reference period, which was characterized by relatively colder climatic conditions and higher water-industry load.
The results obtained are as follows.
  • This study revealed features of the effect of changes that occurred during the period of contemporary global warming on:
    • Resources of annual total river runoff, ecological and free runoff in years with medium and low water of 75% exceedance probability, formed in local catchment reservoirs;
    • Annual volumes of water intake and wastewater discharge, representative for the periods of their maximum (mid-1980s–early 1990s) and minimum (2000–2020s) values;
    • Level of water-industry load on river water resources estimated from the water stress index (WSI) and the reciprocal dilution index (RDI) of polluted wastewater for conditions of maximum and minimum volumes of water intake and discharge of polluted wastewater.
  • Based on the WSI and the RDI, we identified the character of changes in the level of water-industry load on river runoff resources in the studied reservoir basins. For the contemporary global warming period, as a result of the combined influence of climate change and changes in the volumes of water intake and discharge of polluted wastewater, it was shown that:
    • The number of basins of the Volga–Kama reservoirs, in which the critical value of the WSI (equal to 100% when the resources of the environmental flow are withdrawn) is exceeded, and in which the RDI falls below its minimum required values (corresponding to a 12-fold dilution of polluted wastewater), significantly exceeds the number of corresponding basins of the Angara–Yenisei reservoirs both in the baseline period and in the period of contemporary global warming. Thus, in the base period, the critical value of the WSI was exceeded in two basins of the Volga–Kama reservoirs, and the minimum required RDI was observed in six basins of the Volga–Kama and two basins of the Angara–Yenisei reservoirs when calculating indices relative to the average long-term free flow.
    • Under the combined impact of climate change and the volume reduction in water intake and discharge of polluted wastewater, the water-industry load decreases as well as the number of reservoir basins with a critically high level of water-industry load. At the same time, during the period of modern global warming and with minimal volumes of water intake and discharge of polluted wastewater, the critical value of the WSI is not exceeded in any basin. The number of basins in which the dilution factor of polluted wastewater is below its minimum required value also decreases, but not so dramatically (from eight to three basins when calculating the index relative to the average long-term free river flow). It should be noted that, when calculating the RDI relative to the annual total flow for years with medium and low water content of 75% exceedance probability, the situation with the dilution of polluted wastewater in the basins of all reservoirs looks significantly better, and, at the same time, no basins are identified in which the level of their dilution is below the required minimum.

Author Contributions

A.G.G. developed the research concept and analyzed the results of the calculations; A.G.G. and E.A.B. made the main contributions to the preparation of this manuscript; E.A.B. made the main contributions to the calculation; I.P.M. made the contributions to the calculation; A.N.N. prepared the cartographic material and made the contribution to the calculation; P.Y.G. performed the review and editing of the English version of this manuscript. All authors have read and agreed to the published version of the manuscript.

Funding

The studies were supported by the grant of the Ministry of Science and Higher Education of the Russian Federation (agreement No 075-15-2024-554 of 24.04.2024).

Data Availability Statement

The data generated and/or analyzed during the current study are not publicly available for legal/ethical reasons but are available from the corresponding author on reasonable request.

Acknowledgments

The work of Pavel Groisman is partially supported by the U.S. NSF Grant # 2127343 ‘NNA Collaborative Research: Frozen Commons: Change, Resilience and Sustainability in the Arctic’ and by NOAA through the Cooperative Institute for Satellite Earth System Studies under Cooperative Agreement NA19NES4320002.

Conflicts of Interest

Author Pavel Y. Groisman was employed by the company Hydrology Science and Services Corporation. The remaining authors declare that the research was conducted in the absence of any commercial or financial relationships that could be construed as a potential conflict of interest.

Abbreviations

The following abbreviations are used in this manuscript:
WSIWater Stress Index
RDIReciprocal Dilution Index
EWREnvironmental Water Requirements
PCGWPeriod of Contemporary Global Warming

Appendix A

Table A1. Categorization of environmental water scarcity [15].
Table A1. Categorization of environmental water scarcity [15].
Water Stress IndexDegree of Environmental Water Scarcity of River Basins
WSI > 1Overexploited (current water use is tapping into EWR)–environmentally scarce water basins.
0.6 ≤ WSI < 1Heavily exploited (0 to 40% of the utilizable water is still available in a basin before EWR are against other uses)–environmentally water-stressed basins.
0.3 < WSI < 0.6Moderately exploited (40% to 70% of the utilizable water is still available in a basin before EWR are against other uses).
WSI < 0.3Slightly exploited.
Table A2. Categorization of polluted wastewater reciprocal dilution.
Table A2. Categorization of polluted wastewater reciprocal dilution.
Reciprocal Dilution IndexDegree of Water-Industry Load
RDI ≤ 12Below or equal to the minimum required level
12 < RDI ≤ 25Low
25 < RDI ≤ 50Medium
RDI > 50High

Appendix B

Figure A1. Water stress index in the catchments of (left) Volga–Kama and (right) Angara–Yenisei reservoirs, calculated relative to the annual free runoff of 75% exceedance probability at (top) maximal volumes of water intake in the reference period and (bottom) in the period of contemporary global climate warming. See Figure 1 for numders on the map.
Figure A1. Water stress index in the catchments of (left) Volga–Kama and (right) Angara–Yenisei reservoirs, calculated relative to the annual free runoff of 75% exceedance probability at (top) maximal volumes of water intake in the reference period and (bottom) in the period of contemporary global climate warming. See Figure 1 for numders on the map.
Water 17 02486 g0a1
Figure A2. Dirty discharge dilution factor in the basins of (left) Volga–Kama and (right) Angara–Yenisei reservoirs, calculated relative to the annual free runoff of 75% exceedance probability at (top) maximal volumes of water intake in the reference period and (bottom) in the period of contemporary global climate warming. See Figure 1 for numders on the map.
Figure A2. Dirty discharge dilution factor in the basins of (left) Volga–Kama and (right) Angara–Yenisei reservoirs, calculated relative to the annual free runoff of 75% exceedance probability at (top) maximal volumes of water intake in the reference period and (bottom) in the period of contemporary global climate warming. See Figure 1 for numders on the map.
Water 17 02486 g0a2
Figure A3. Dirty discharge dilution factor in the basins of (left) Volga–Kama and (right) Angara–Yenisei reservoirs, calculated relative to the annual total runoff of 75% exceedance probability at (top) maximal volumes of water intake in the reference period and (bottom) in the period of contemporary global climate warming. See Figure 1 for numders on the map.
Figure A3. Dirty discharge dilution factor in the basins of (left) Volga–Kama and (right) Angara–Yenisei reservoirs, calculated relative to the annual total runoff of 75% exceedance probability at (top) maximal volumes of water intake in the reference period and (bottom) in the period of contemporary global climate warming. See Figure 1 for numders on the map.
Water 17 02486 g0a3

References

  1. State Water Cadaster. Surface and Groundwater Resources, Their Use and Quality; Rosgidromet: Leningrad/St. Petersburg, Russia, 1982–2022. (In Russian) [Google Scholar]
  2. Water Resources of Russia and Their Use; Shiklomanov, I.A., Ed.; St. Gos. Gidrolog. Inst.: Saint-Petersburg, Russia, 2008; p. 600. (In Russian) [Google Scholar]
  3. Georgiadi, A.G.; Kashutina, E.A.; Milyukova, I.P. Long periods of increased/decreased runoffs of large Russian rivers. IOP Conf. Ser. Earth Environ. Sci. 2019, 386, 012–048. [Google Scholar] [CrossRef]
  4. Varentsova, N.A.; Grechushnikova, M.G.; Povalishnikova, E.S.; Kireeva, M.B.; Kharlamov, M.A.; Frolova, N.L. Influence of climatic and anthropogenic factors on spring runoff in the Don basin. Vestn. Mosk. Univ. Ser. 5 Geogr. 2021, 5, 91–108. (In Russian) [Google Scholar]
  5. Georgiadi, A.G.; Groisman, P.Y. Long-term changes of water flow, water temperature and heat flux of two largest arctic rivers of European Russia, Northern Dvina and Pechora. Environ. Res. Lett. 2022, 17, 085002. [Google Scholar] [CrossRef]
  6. Frolova, N.L.; Magritskii, D.V.; Kireeva, M.B.; Grigor’ev, V.Y.; Gelfan, A.N.; Sazonov, A.A.; Shevchenko, A.I. Streamflow of the Russian rivers under current and forecasted climate changes. A review of publications. 1. Assessment of changes in the water regime of Russian rivers by observation data. Water Resour. 2022, 49, 333–350. (In Russian) [Google Scholar] [CrossRef]
  7. Sinyukovich, V.N.; Georgiadi, A.G.; Groisman, P.Y.; Borodin, O.O.; Aslamov, I.A. The Variation in the Water Level of Lake Baikal and Its Relationship with the Inflow and Outflow. Water 2024, 16, 560. [Google Scholar] [CrossRef]
  8. Scientific and Applied Reference Book: Long-Term Characteristics of Water Inflow into the Largest Reservoirs of the Russian Federation; Georgievsky, V.Y., Ed.; OOO APC Ofort: Moscow, Russia, 2017; p. 132. ISBN 978-5-9907194-5-3. (In Russian) [Google Scholar]
  9. Sharma, S.; Singh, P.K. Long term spatiotemporal variability in rainfall trends over the state of Jharkhand. India Clim. 2017, 5, 18. [Google Scholar] [CrossRef]
  10. Nguyen, B.Q.; Van Binh, D.; Tran, T.N.D.; Kantoush, S.A.; Sumi, T. Response of streamflow and sediment variability to cascade dam development and climate change in the Sai Gon Dong Nai River basin. Clim. Dyn. 2024, 62, 7997–8017. [Google Scholar] [CrossRef]
  11. Shi, X.; Qin, T.; Nie, H.; Weng, B.; He, S. Changes in major global river discharges directed into the ocean. Int. J. Environ. Res. Public Health 2019, 16, 1469. [Google Scholar] [CrossRef] [PubMed]
  12. Arctic Hydrology, Permafrost and Ecosystems; Yang, D., Kane, D.L., Eds.; Springer: Cham, Switzerland, 2021; p. 914. [Google Scholar] [CrossRef]
  13. Demin, A.P. The Use of Russian Water Resources: Current State and Prospective Assessments. Ph.D. Thesis, Water Problems Institute Russian Academy of Sciences, Moscow, Russia, 2011. (In Russian). [Google Scholar]
  14. Georgiadi, A.G.; Koronkevich, N.I.; Barabanova, E.A.; Melnik, K.S. Water resources and water-ecological stress in the Central Federal District of Russia. Izv. RAN. Seriya Geogr. 2021, 85, 325–340. (In Russian) [Google Scholar] [CrossRef]
  15. Smakhtin, V.; Revenga, C.; Döll, P. Taking into account environmental water requirements in global-scale water resources assessments. In Comprehensive Assessment Research Report 2; Comprehensive Assessment Secretariat: Colombo, Sri Lanka, 2004. [Google Scholar]
  16. Vanham, D.; Hoekstra, A.Y.; Wada, Y.; Bouraoui, F.; de Roo, A.; Mekonnen, M.M.; van de Bund, W.J.; Batelaan, O.; Pavelic, P.; Bastiaanssen, W.G.M.; et al. Physical water scarcity metrics for monitoring progress towards SDG target 6.4: An evaluation of indicator 6.4.2 “Level of water stress”. Sci. Total Environ. 2018, 613, 218–232. [Google Scholar] [CrossRef] [PubMed]
  17. van Vliet, M.T.; Jones, E.R.; Flörke, M.; Franssen, W.H.; Hanasaki, N.; Wada, Y.; Yearsley, J.R. Global water scarcity including surface water quality and expansions of clean water technologies. Environ. Res. Lett. 2021, 16, 024020. [Google Scholar] [CrossRef]
  18. Skornyakov, V.A. Accounting the distribution of natural factors and anthropogenic loads in the assessment of river water quality. In Problems of Hydrology and Hydroecology; Moscow State University Press: Moscow, Russia, 1999; Volume 1, pp. 238–261. ISBN 5-89575-020-6. (In Russian) [Google Scholar]
  19. Stoyashcheva, N.V. Anthropogenic Load on Water Bodies in the Upper Ob Basin in Different Water Content Periods: The Dynamics and the Forecast. Water Sect. Russ. 2020, 3, 52–67. (In Russian) [Google Scholar] [CrossRef]
  20. Fashchevskii, B.V. Ecological Rationale for the Acceptable Degree of the River Flow Regulation; BelNIINTI: Minsk, Belarus, 1989; 52p. [Google Scholar]
  21. Vladimirov, A.M.; Imamov, F.A. The principle of assessing the ecological f low of rivers. In Problems of Ecology and Hydrological Calculations; RGGMI Publ: St. Petersburg, Russia, 1994; Volume 116, pp. 4–7. (In Russian) [Google Scholar]
  22. Markin, V.N. Determination of environmentally acceptable impact on small rivers. Melior. Water Manag. 2005, 4, 8–11. (In Russian) [Google Scholar]
  23. Ratkovich, L.D.; Markin, V.N.; Glazunova, I.V. Issues of Rational Use of Water Resources and Design Justification of Water Management Systems; Russian State Agrarian University—Moscow Timiryazev Agricultural Academy: Moscow, Russia, 2014; 218p. [Google Scholar]
  24. Dubinina, V.G.; Nikitina, O.I.; Markov, M.L. Methodological approaches to determining the volumes of permissible irrevocable withdrawal of runoff from poorly studied small rivers. Water Sect. Russ. Probl. Technol. Manag. 2015, 4, 80–97. (In Russian) [Google Scholar] [CrossRef]
  25. Barabanova, E.A. Comparison of reservoirs by the complex of their positive and negative impacts on the environment and economy. Izv. Akad. Nauk, Ser. Geogr. 2004, 2, 72–82. (In Russian) [Google Scholar]
  26. Selezneva, A.V. From Monitoring to Standardization of Anthropogenic Load on Water Bodies; Samara Scientific Center, Russian Academy of Sciences: Samara, Russia, 2007; p. 105. (In Russian) [Google Scholar]
  27. Yushmanov, O.L.; Shabanov, V.V.; Galyamina, I.G. Integrated Use and Protection of Water Resources; Agropromizdat: Moscow, Russia, 1985; p. 303. (In Russian) [Google Scholar]
  28. Borodkin, A.I. Geoecological Aspects of Water Resources Management in the Voronezh Region. Ph.D. Thesis, Voronezh State Pedagogical University, Voronezh, Russia, 2004; p. 120. (In Russian). [Google Scholar]
  29. Zakrutkin, V.E.; Koronkevich, N.I.; Shishkina, D.Y.; Dolgov, S.V. Patterns of Anthropogenic Transformation of Small Watersheds in the Steppe Zone of Southern Russia (Within the Rostov Region); Rostov University Press.: Rostov-on-Don, Russia, 2004; p. 252. (In Russian) [Google Scholar]
  30. Kolmykov, S.N. Hydrochemical Analysis of the State of Rivers Affected by the Mining Industry in the Belgorod Region. Ph.D. Thesis, Belgorod State University, Belgorod, Russia, 2008; p. 210. [Google Scholar]
  31. Ermolaev, O.P.; Mal’tsev, K.A.; Mukharamova, S.S.; Kharchenko, S.V.; Vedeneeva, E.A. Cartographic Model of River Basins of European Russia. Geogr. Nat. Resour. 2017, 38, 131–138. [Google Scholar] [CrossRef]
  32. Gopchak, I.V.; Basyuk, T.A. Assessment of anthropogenic load on the Leva River basin (within the Western Poles’e of Ukraine). Vestn. Brest. Gos. Tekhn. Univ. 2019, 2, 115–118. (In Russian) [Google Scholar]
Figure 1. Local catchments of the Volga–Kama and Angara–Yenisei Reservoirs. (1) Ivan’kovo Reservoir (drainage area of 40.67 × 103 km2), (2) Uglich Reservoir (18.77 × 103 km2), (3) Rybinsk Reservoir (66 × 103 km2), (4) Gor’ky Reservoir (77.4 × 103 km2), (5) Cheboksary Reservoir (373.8 × 103 km2), (6) Kama Reservoir (165.3 × 103 km2), (7) Kuibyshev Reservoir (233.85 × 103 km2), (8) Saratov Reservoir (78.2 × 103 km2), (9) Volgograd Reservoir (66.9 × 103 km2), (10) Krasnoyarsk Reservoir (106 × 103 km2), (11) Irkutsk Reservoir (541.77 × 103 km2), (12) Bratsk Reservoir (157.53 × 103 km2), and (13) Boguchansk Reservoir (43.67 × 103 km2).
Figure 1. Local catchments of the Volga–Kama and Angara–Yenisei Reservoirs. (1) Ivan’kovo Reservoir (drainage area of 40.67 × 103 km2), (2) Uglich Reservoir (18.77 × 103 km2), (3) Rybinsk Reservoir (66 × 103 km2), (4) Gor’ky Reservoir (77.4 × 103 km2), (5) Cheboksary Reservoir (373.8 × 103 km2), (6) Kama Reservoir (165.3 × 103 km2), (7) Kuibyshev Reservoir (233.85 × 103 km2), (8) Saratov Reservoir (78.2 × 103 km2), (9) Volgograd Reservoir (66.9 × 103 km2), (10) Krasnoyarsk Reservoir (106 × 103 km2), (11) Irkutsk Reservoir (541.77 × 103 km2), (12) Bratsk Reservoir (157.53 × 103 km2), and (13) Boguchansk Reservoir (43.67 × 103 km2).
Water 17 02486 g001
Figure 2. Average long-term total annual runoff in reservoir catchments and its changes during the period of contemporary global warming.
Figure 2. Average long-term total annual runoff in reservoir catchments and its changes during the period of contemporary global warming.
Water 17 02486 g002
Figure 3. Relationships between the average long-term total annual runoff and the area of local catchments of the Volga–Kama and Angara–Yenisei reservoirs. (a) Reference period; (b) period of contemporary global warming.
Figure 3. Relationships between the average long-term total annual runoff and the area of local catchments of the Volga–Kama and Angara–Yenisei reservoirs. (a) Reference period; (b) period of contemporary global warming.
Water 17 02486 g003
Figure 4. Relationships between volumes of water withdrawal, wastewater and dirty discharge.
Figure 4. Relationships between volumes of water withdrawal, wastewater and dirty discharge.
Water 17 02486 g004
Figure 5. Volumes of (a) water withdrawal and (b) total discharge of wastewaters. (1) Maximal volume (1992); (2) minimal volume (2020).
Figure 5. Volumes of (a) water withdrawal and (b) total discharge of wastewaters. (1) Maximal volume (1992); (2) minimal volume (2020).
Water 17 02486 g005
Figure 6. Water stress index in the catchments of (left) Volga–Kama and (right) Angara–Yenisei reservoirs, calculated relative to the long-term average annual free runoff at (top) maximal volumes of water intake in the reference period and (bottom) in the period of contemporary global climate warming. See Figure 1 for numders on the map.
Figure 6. Water stress index in the catchments of (left) Volga–Kama and (right) Angara–Yenisei reservoirs, calculated relative to the long-term average annual free runoff at (top) maximal volumes of water intake in the reference period and (bottom) in the period of contemporary global climate warming. See Figure 1 for numders on the map.
Water 17 02486 g006
Figure 7. Dirty discharge dilution factor in the basins of (left) Volga–Kama and (right) Angara–Yenisei reservoirs, calculated relative to the long-term average annual free runoff at (top) maximal volumes of water intake in the reference period and (bottom) in the period of contemporary global climate warming. See Figure 1 for numders on the map.
Figure 7. Dirty discharge dilution factor in the basins of (left) Volga–Kama and (right) Angara–Yenisei reservoirs, calculated relative to the long-term average annual free runoff at (top) maximal volumes of water intake in the reference period and (bottom) in the period of contemporary global climate warming. See Figure 1 for numders on the map.
Water 17 02486 g007
Figure 8. Dirty discharge dilution factor in the basins of (left) Volga–Kama and (right) Angara–Yenisei reservoirs, calculated relative to the long-term average annual total runoff at (top) maximal volumes of water intake in the reference period and (bottom) in the period of contemporary global climate warming. See Figure 1 for numders on the map.
Figure 8. Dirty discharge dilution factor in the basins of (left) Volga–Kama and (right) Angara–Yenisei reservoirs, calculated relative to the long-term average annual total runoff at (top) maximal volumes of water intake in the reference period and (bottom) in the period of contemporary global climate warming. See Figure 1 for numders on the map.
Water 17 02486 g008
Disclaimer/Publisher’s Note: The statements, opinions and data contained in all publications are solely those of the individual author(s) and contributor(s) and not of MDPI and/or the editor(s). MDPI and/or the editor(s) disclaim responsibility for any injury to people or property resulting from any ideas, methods, instructions or products referred to in the content.

Share and Cite

MDPI and ACS Style

Georgiadi, A.G.; Barabanova, E.A.; Milyukova, I.P.; Groisman, P.Y.; Narykov, A.N. Changes in Water-Industry Load on River Water Resources in the Volga–Kama and Angara–Yenisei Reservoir Catchments Under Contemporary Global Warming. Water 2025, 17, 2486. https://doi.org/10.3390/w17162486

AMA Style

Georgiadi AG, Barabanova EA, Milyukova IP, Groisman PY, Narykov AN. Changes in Water-Industry Load on River Water Resources in the Volga–Kama and Angara–Yenisei Reservoir Catchments Under Contemporary Global Warming. Water. 2025; 17(16):2486. https://doi.org/10.3390/w17162486

Chicago/Turabian Style

Georgiadi, Aleksandr G., Elena A. Barabanova, Irina P. Milyukova, Pavel Y. Groisman, and Alexej N. Narykov. 2025. "Changes in Water-Industry Load on River Water Resources in the Volga–Kama and Angara–Yenisei Reservoir Catchments Under Contemporary Global Warming" Water 17, no. 16: 2486. https://doi.org/10.3390/w17162486

APA Style

Georgiadi, A. G., Barabanova, E. A., Milyukova, I. P., Groisman, P. Y., & Narykov, A. N. (2025). Changes in Water-Industry Load on River Water Resources in the Volga–Kama and Angara–Yenisei Reservoir Catchments Under Contemporary Global Warming. Water, 17(16), 2486. https://doi.org/10.3390/w17162486

Note that from the first issue of 2016, this journal uses article numbers instead of page numbers. See further details here.

Article Metrics

Back to TopTop