An Assessment of Collector-Drainage Water and Groundwater—An Application of CCME WQI Model
Abstract
1. Introduction
1.1. Aims and Objectives of This Study
- To evaluate the salinity levels of collector-drainage and groundwater.
- To analyze the changes in water quality during the phenological phases of agro-cenoses.
- To assess the water quality of two research sites, according to FAO and WHO standards, using the CCME WQI model.
- Develop recommendations based on the results of the research.
1.2. Statement of Problem
1.3. Justification for the Study
1.4. Research Questions
- What is the current quality of collector-drainage water and groundwater in the Amudarya region of Karakalpakstan, determined based on the CCME WQI model?
- What are the main pollutants affecting the quality of these water sources?
- How do seasonal variations and agricultural practice influence the water quality of collector-drainage water and groundwater?
- What sustainable water management practices can be recommended based on the assessment findings?
1.5. Research Significance
2. Materials and Methods
2.1. Study Area and Laboratory Methods
- HCO3−: Determined by titration with sodium bicarbonate (NaHCO3) or sodium sulfate (Na2SO4) [33].
- Cl−: Determined by titration with silver nitrate (AgNO3) [34].
- SO42−: Two drops of methyl orange (C17H19N3O2) and 2 N hydrochloric acid (HCl) were added, the mixture was boiled, then 10% barium chloride (BaCl2) was added, and the solution was kept for one day. Afterward, it was boiled with distilled water (H2O), washed five times, filtered through filter paper, and then placed in a crucible and ignited in a muffle furnace [35].
- Ca2+ and Mg2+: Determined by titration with Trilon B (Na3C6H5O7).
- Na+: Several methods are available for determining sodium ions. Among them, flame photometry, ion-selective electrodes (ISE), and caprotozel-colorimetric methods are commonly used. In flame photometry, sodium ions are atomized in the flame, and their spectral lines are measured to determine concentration. In the ISE method, a specific electrode measures the potential difference of sodium ions. In the caprotozel-colorimetric method, sodium ions react with colored reagents, causing a color change that is used to determine their concentration [36].
2.2. Calculation of SAR
- Determine the atomic mass and valence of each ion based on Mendeleev’s periodic table.
- Divide the ion concentration (mg/L) by its corresponding atomic mass to obtain the value in equivalents.
- Adjust for valence by dividing by the ion’s valence to convert the result to mEq/L. This method ensures an accurate comparison with laboratory-derived values and aligns the results with international standards for water quality analysis [37].e.g., HCO3− (mEq/L) = (1/61.02) × 311.1 = 5.10.
2.3. Importance Level of Quality Indicators
2.3.1. Collector-Drainage Water Quality Indicators
2.3.2. Groundwater Quality Indicators
2.4. Adaptation of the CCME WQI Model to the Food and Agriculture Organization Standard for Crop Irrigation
- 95–100 (Excellent): Water quality is protected with a virtual absence of threat or impairment; conditions are very close to natural or pristine levels.
- 80–94 (Good): Water quality is protected with only a minor degree of threat or impairment; conditions rarely depart from natural or desirable levels.
- 65–79 (Fair): Water quality is usually protected but occasionally threatened or impaired; conditions sometimes depart from natural or desirable levels.
- 45–64 (Marginal): Water quality is frequently threatened or impaired; conditions often depart from natural or desirable levels.
- 0–44 (Poor): Water quality is almost always threatened or impaired; conditions usually depart from natural or desirable levels.
3. Results
3.1. Calculation of the Collector-Drainage Water Quality Index with the CCME WQI Method
3.2. Determining the Overall Water Quality Index of the Second Facility Through the CCME WQI Model
4. Discussion
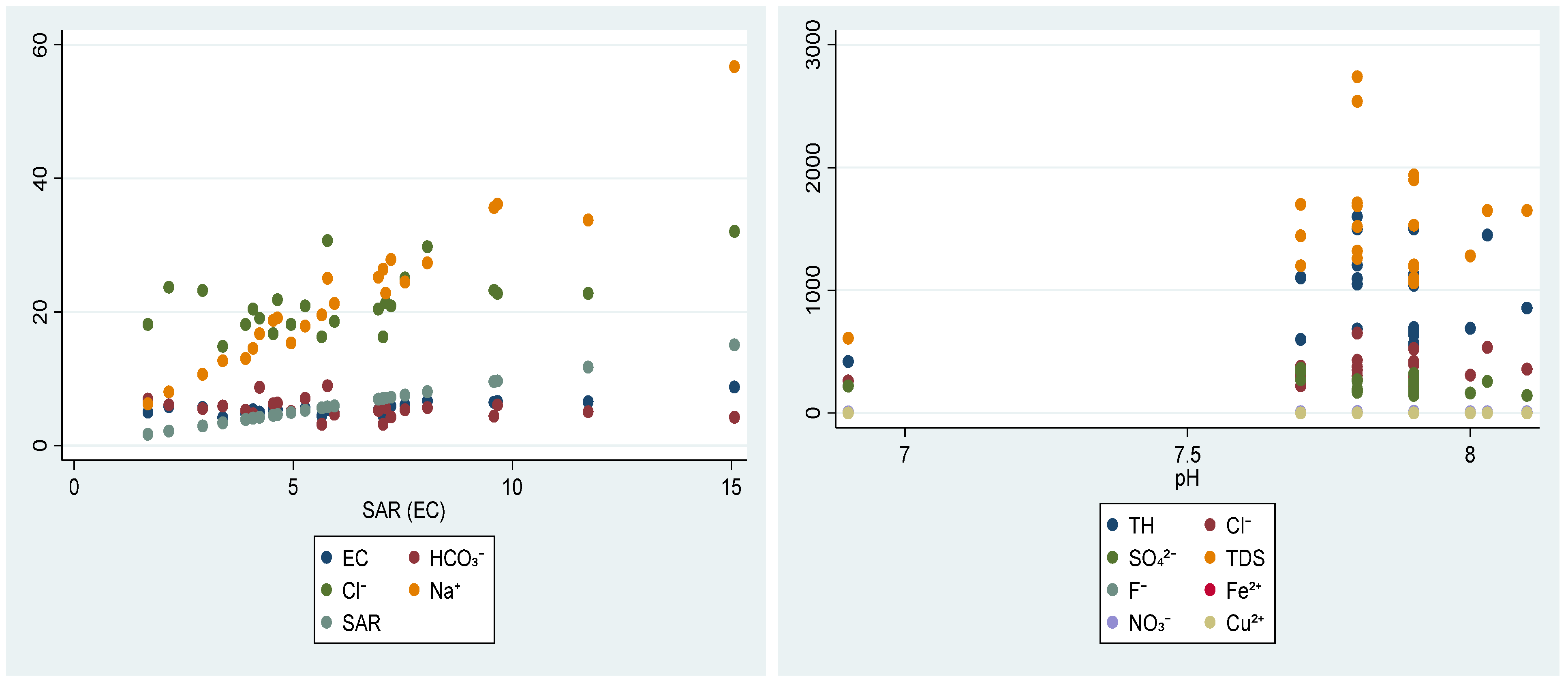
4.1. Correlation Coefficients
4.2. General Comparison
4.3. Global Comparison of Water Quality Indices (CCME WQI) for Collector-Drainage and Groundwater
5. Conclusions
6. Recommendations
- The WQI categorization of Object 1 as ‘Poor’ underscores the need to reduce salinity concentrations, facilitating irrigation for specific salt-tolerant crops. This measure would improve local water quality, as Object 2 attains a ‘Fair’ WQI rating, and promote water reutilization under conditions of scarcity.
- Introducing crops classified as ‘insensitive’ to high salinity levels could improve water and soil quality by managing salt accumulation. The implementation of sequestration ponds for salts associated with Object 1 and agricultural zones (agrocenoses) would help to prevent excessive soil salinization.
- Long-term monitoring is essential to evaluate the impact of salt-insensitive crops on water quality and to mitigate potential environmental consequences. Such an approach will contribute to water conservation and sustainable agricultural practices.
- Recognizing that surface water pollution significantly affects groundwater quality, addressing the elevated levels of certain anions (Cl−) and cations (Ca2+, Mg2+) in groundwater is critical to maintaining water availability and reducing reliance on potable water.
- To support both the quality of potable water in agricultural regions and crop yields, the increased application of organic fertilizers is essential, alongside minimizing the reliance on chemical inputs where feasible. This approach will contribute to improved soil health and long-term agricultural sustainability.
Supplementary Materials
Author Contributions
Funding
Data Availability Statement
Acknowledgments
Conflicts of Interest
References
- Abukila, A.F. Assessing the drain estuaries’ water quality in response to pollution abatement. Water Sci. 2015, 29, 1–18. [Google Scholar] [CrossRef][Green Version]
- Ahn, Y.J.; Juraev, Z. Green spaces in Uzbekistan: Historical heritage and challenges for urban environment. Nat.-Based Solut. 2023, 4, 100077. [Google Scholar] [CrossRef]
- Akıncı, H.; Özalp, A.Y.; Turgut, B. Agricultural land use suitability analysis using GIS and AHP technique. Comput. Electron. Agric. 2013, 97, 71–82. [Google Scholar] [CrossRef]
- Akpoti, K.; Kabo-bah, A.T.; Zwart, S.J. Agricultural land suitability analysis: State-of-the-art and outlooks for integration of climate change analysis. Agric. Syst. 2019, 173, 172–208. [Google Scholar] [CrossRef]
- Alikhanova, S.; Bull, J.W. Review of nature-based solutions in dryland ecosystems: The aral sea case study. Environ. Manag. 2023, 72, 457–472. [Google Scholar] [CrossRef]
- Ayana, D.; Yermekkul, Z.; Issakov, Y.; Mirobit, M.; Ainura, A.; Yerbolat, K.; Ainur, K.; Kairat, Z.; Zhu, K.; Dávid, L.D. The possibility of using groundwater and collector-drainage water to increase water availability in the Maktaaral district of the Turkestan region of Kazakhstan. Agric. Water Manag. 2024, 301, 108934. [Google Scholar] [CrossRef]
- Azzam, A.; Zhang, W.; Xu, C.; Khan, Z. Calibration and evaluation of Hargreaves-Samani equation for estimating reference evapotranspiration: A case study in the Amu Darya River Basin, Central Asia. J. Hydrol. Reg. Stud. 2023, 45, 101298. [Google Scholar] [CrossRef]
- Chen, X.; Cui, X.; Sun, L.; Yu, Y.; Zhang, H.; Liu, T.; Luo, G.; Hu, Z.; Huang, Y.; Malik, I.; et al. Dryland Social-Ecological Systems in Central Asia. In Dryland Social-Ecological Systems in Changing Environments; Springer Nature: Singapore, 2024; pp. 203–241. [Google Scholar]
- Correa, L.; Razi, F.; Hewage, K.; Sadiq, R. Environmental and social life cycle analysis of hydrogen-powered railway locomotives in Canadian context. Int. J. Hydrog. Energy 2024, 83, 198–209. [Google Scholar] [CrossRef]
- Khasanov, S.; Kulmatov, R.; Li, F.; van Amstel, A.; Bartholomeus, H.; Aslanov, I.; Sultonov, K.; Kholov, N.; Liu, H.; Chen, G. Impact assessment of soil salinity on crop production in Uzbekistan and its global significance. Agric. Ecosyst. Environ. 2023, 342, 108262. [Google Scholar] [CrossRef]
- Kulmatov, R.; Odilov, S.; Khasanov, S.; Allaberdiev, R. Quantity and quality of groundwater resources distribution along Sirdarya province, Uzbekistan. E3S Web Conf. 2021, 284, 01015. [Google Scholar] [CrossRef]
- Kamran, M.; Parveen, A.; Ahmar, S.; Malik, Z.; Hussain, S.; Chattha, M.S.; Saleem, M.H.; Adil, M.; Heidari, P.; Chen, J.T. An overview of hazardous impacts of soil salinity in crops, tolerance mechanisms, and amelioration through selenium supple-mentation. Int. J. Mol. Sci. 2019, 21, 148. [Google Scholar] [CrossRef] [PubMed]
- Lan, F.N.; Zhao, Y.; Li, J.; Zhu, X.Q. Health risk assessment of heavy metal pollution in groundwater of a karst basin, SW China. J. Groundw. Sci. Eng. 2024, 12, 49–61. [Google Scholar] [CrossRef]
- Liu, Y.; Wang, P.; Gojenko, B.; Yu, J.; Wei, L.; Luo, D.; Xiao, T. A review of water pollution arising from agriculture and mining activities in Central Asia: Facts, causes and effects. Environ. Pollut. 2021, 291, 118209. [Google Scholar] [CrossRef]
- Montgomery, D.R.; Rabinowitz, P.; Sipos, Y.; Wheat, E.E. Soil health: A common focus for one health and planetary health interventions. One Health 2024, 18, 100673. [Google Scholar] [CrossRef]
- Ramazanova, E.; Bahetnur, Y.; Yessenbayeva, K.; Lee, S.H.; Lee, W. Spatiotemporal evaluation of water quality and risk assessment of heavy metals in the northern Caspian Sea bounded by Kazakhstan. Mar. Pollut. Bull. 2022, 181, 113879. [Google Scholar] [CrossRef]
- Silva, T.P.; Bressiani, D.; Ebling, É.D.; Reichert, J.M. Best management practices to reduce soil erosion and change water balance components in watersheds under grain and dairy production. Int. Soil Water Conserv. Res. 2024, 12, 121–136. [Google Scholar] [CrossRef]
- Kannazarova, Z.; Juliev, M.; Muratov, A.; Abuduwaili, J. Groundwater in the commonwealth of independent states: A bibliometric analysis of scopus-based papers from 1972 to 2023, emphasizing the significance of drainage. Groundw. Sustain. Dev. 2024, 25, 101083. [Google Scholar] [CrossRef]
- Karthe, D.; Chalov, S.; Borchardt, D. Water resources and their management in central Asia in the early twenty first century: Status, challenges and future prospects. Environ. Earth Sci. 2015, 73, 487–499. [Google Scholar] [CrossRef]
- Uddin, M.G.; Nash, S.; Olbert, A.I. A review of water quality index models and their use for assessing surface water quality. Ecol. Indic. 2021, 122, 107218. [Google Scholar] [CrossRef]
- Zhang, Q.; Qian, H.; Xu, P.; Hou, K.; Yang, F. Groundwater quality assessment using a new integrated-weight water quality index (IWQI) and driver analysis in the Jiaokou Irrigation District, China. Ecotoxicol. Environ. Saf. 2021, 212, 111992. [Google Scholar] [CrossRef]
- Khan, M.S.; Paul, S.K. Groundwater quality assessment and health issues in coastal zone of Bangladesh. J. Hazard. Mater. Adv. 2023, 10, 100278. [Google Scholar] [CrossRef]
- Zhang, X.; Shu, C.; Fujii, M.; Wu, Y.; Sun, D.A.; Ye, P.; Bao, Y. Numerical and experimental study on water-heat-salt transport patterns in shallow bare soil with varying salt contents under evaporative conditions: A comparative investigation. J. Hydrol. 2023, 621, 129564. [Google Scholar] [CrossRef]
- Desta, L. Land Degradation and Strategies for Sustainable Development in the Ethiopian Highlands: Amhara Region; ILRI (aka ILCA and ILRAD): Nairobi, Kenya, 2000; Volume 32. [Google Scholar]
- Conrad, C.; Usman, M.; Morper-Busch, L.; Schönbrodt-Stitt, S. Remote sensing-based assessments of land use, soil and vegetation status, crop production and water use in irrigation systems of the Aral Sea Basin. A review. Water Secur. 2020, 11, 100078. [Google Scholar] [CrossRef]
- Uddin, M.G.; Nash, S.; Rahman, A.; Olbert, A.I. A comprehensive method for improvement of water quality index (WQI) models for coastal water quality assessment. Water Res. 2022, 219, 118532. [Google Scholar] [CrossRef] [PubMed]
- Toderich, K.; Tsukatani, T.; Shoaib, I.; Massino, I.; Wilhelm, M.; Yusupov, S.; Kuliev, T.; Ruziev, S. Extent of salt affected land in Central Asia: Biosaline agriculture and utilization of the salt-affected resources. KIER Discuss. Pap. 2008, 648. Available online: http://hdl.handle.net/2433/129560 (accessed on 5 March 2025).
- Bessaim, M.M.; Bessaim, A. Assessment of the feasibility of the electro-remediation technique as an emerging technology for soil salinity management: Current status and future perspectives. Euro-Mediterr. J. Environ. Integr. 2024, 10, 215–226. [Google Scholar] [CrossRef]
- Hossain, A.; Krupnik, T.J.; Timsina, J.; Mahboob, M.G.; Chaki, A.K.; Farooq, M.; Bhatt, R.; Fahad, S.; Hasanuzzaman, M. Agricultural land degradation: Processes and problems undermining future food security. In Environment, Climate, Plant and Vegetation Growth; Springer: Cham, Switzerland, 2020; pp. 17–61. [Google Scholar]
- Mapcarta: Amudarya District. Available online: https://mapcarta.com/15374864 (accessed on 29 March 2025).
- Smagin, A.; Kacimov, A.; Sadovnikova, N. EC conversion for 1:5 extracts and standard saturated soil–water pastes in the assessment of arid land salinization: Classical methodologies revisited. J. Saudi Soc. Agric. Sci. 2024, 23, 277–288. [Google Scholar] [CrossRef]
- GOST 26423-85; Soils. Methods for Determination of Specific Electric Conductivity, pH, and Solid Residue of Water Extract. Ministry of Agriculture of the USSR: Moscow, Russian, 1986.
- GOST R 52963-2008; Water. Methods for Determination of Alkalinity and Mass Concentration of Carbonates and Hydrocarbonates. Russian Standards Agency: Moscow, Russia, 2009.
- GOST 33437-2015; Juice Products. Determination of Chlorides by Potentiometric Titration Method. Interstate Council for Standardization, Metrology and Certification (ISC): Moscow, Russia, 2015.
- GOST 31940-2012; Drinking Water. Methods for Determination of Sulfate Content. Interstate Council for Standardization, Metrology and Certification (ISC): Moscow, Russia, 2013.
- GOST 31869-2012; Water. Methods for Determining the Content of Cations (Ammonium, Barium, Potassium, Calcium, Lithium, Magnesium, Sodium, Strontium) Using Capillary Electrophoresis. Interstate Council for Standardization, Metrology, and Certification (ISC): Moscow, Russia, 2013.
- Pal, A. Experiment No-14: Computation of RSC and SAR of Irrigation Water [Teaching Material]. Available online: https://courseware.cutm.ac.in/wp-content/uploads/2020/05/Computation-of-RSC-and-SAR-of-irrigation-water.pdf (accessed on 26 May 2025).
- Ayers, R.S.; Westcot, D.W. Water Quality for Agriculture; Food and Agriculture Organization of the United Nations: Rome, Italy, 1985; Volume 29, p. 174. [Google Scholar]
- Cerlini, P.B.; Silvestri, L.; Meniconi, S.; Brunone, B. Simulation of the water table elevation in shallow unconfined aquifers by means of the ERA5 soil moisture dataset: The Umbria region case study. Earth Interact. 2021, 25, 15–32. [Google Scholar] [CrossRef]
- Lin, J.J.; Liang, C.H. Terrain-based evaluation of groundwater potential and long-term monitoring at the catchment scale in Taiwan. Adv. Geosci. 2024, 64, 13–17. [Google Scholar] [CrossRef]
- Tian, F.; Yu, G.; Yang, M.; Sun, Y.; Gui, Z.; Zhao, X.; Wang, N.; Wan, H.; Peng, X. Domestic water hardness, genetic risk, and distinct phenotypes of cardiovascular disease. Environ. Health 2025, 24, 9. [Google Scholar] [CrossRef]
- Adjovu, G.E.; Stephen, H.; James, D.; Ahmad, S. Measurement of total dissolved solids and total suspended solids in water systems: A review of the issues, conventional, and remote sensing techniques. Remote Sens. 2023, 15, 3534. [Google Scholar] [CrossRef]
- Hassan, H.Q.; Abdalkarim, K.A.; Tofiq, D.I.; Ali, B.F.; Judeh, Z.; Masad, M.H.; Hamarawf, R.F.; Kadir, F.K. Synthesis, crystal structure and antibacterial activity of diaqua sulfato 2, 4, 6-tris (2-pyridyl)-s-triazine Zn (II) dihydrate. J. Mol. Struct. 2025, 1332, 141723. [Google Scholar] [CrossRef]
- Ward, M.H.; Jones, R.R.; Brender, J.D.; De Kok, T.M.; Weyer, P.J.; Nolan, B.T.; Villanueva, C.M.; Van Breda, S.G. Drinking water nitrate and human health: An updated review. Int. J. Environ. Res. Public Health 2018, 15, 1557. [Google Scholar] [CrossRef] [PubMed]
- Manne, R.; Kumaradoss, M.M.R.M.; Iska, R.S.R.; Devarajan, A.; Mekala, N. Water quality and risk assessment of copper content in drinking water stored in copper container. Appl. Water Sci. 2022, 12, 27. [Google Scholar] [CrossRef]
- Paramparambath, S.; Oflaz, K.; Geetha, M.; El-Azazy, M.; El-Shafie, A.S.; Sadasivuni, K.K. A Dual Approach to Detecting Iron Ions and Analyzing Water Quality. Chem. Afr. 2025, 8, 1115–1126. [Google Scholar] [CrossRef]
- Uddin, M.G.; Jackson, A.; Nash, S.; Rahman, A.; Olbert, A.I. Comparison between the WFD approaches and newly developed water quality model for monitoring transitional and coastal water quality in Northern Ireland. Sci. Total Environ. 2023, 901, 165960. [Google Scholar] [CrossRef]
- Wang, X.; Chen, Y.; Fang, G.; Li, Z.; Liu, Y. The growing water crisis in Central Asia and the driving forces behind it. J. Clean. Prod. 2022, 378, 134574. [Google Scholar] [CrossRef]
- World Health Organization. Guidelines for Drinking-Water Quality: Incorporating the First and Second Addenda; World Health Organization: Geneva, Switzerland, 2022. [Google Scholar]
- Kausher, R.; Sinha, A.K.; Singh, R. Chemometric appraisal of groundwater and surface water quality for domestic, irrigation and industrial purposes in the coal mining province of Mahan River catchment area. Desalination Water Treat. 2023, 311, 10–25. [Google Scholar] [CrossRef]
- Kujiek, D.C.; Sahile, Z.A. Water quality assessment of Elgo river in Ethiopia using CCME, WQI and IWQI for domestic and agricultural usage. Heliyon 2024, 10, e23234. [Google Scholar] [CrossRef]
- Al-Obaidy, A.H.M.; Khalaf, S.M.; Hassan, F.M. Application of CCME index to assess the water quality of Tigris River within Baghdad city, Iraq. IOP Conf. Ser. Earth Environ. Sci. 2022, 1088, 012004. [Google Scholar] [CrossRef]
- Das, A. Surface water quality evaluation, apportionment of pollution sources and aptness testing for drinking using water quality indices and multivariate modelling in Baitarani River basin, Odisha. HydroResearch 2025, 8, 244–264. [Google Scholar] [CrossRef]
- Ansari, Z.Z.; Vorina, A.; Kojić, D.; Dupláková, D.; Duplák, J. Assessing the suitability of CCME WQI as a groundwater quality monitoring tool: An environmental ergonomics case analysis. Appl. Sci. 2024, 14, 7325. [Google Scholar] [CrossRef]
- Arıman, S.; Soydan-Oksal, N.G.; Beden, N.; Ahmadzai, H. Assessment of groundwater quality through hydrochemistry using principal components analysis (PCA) and water quality index (WQI) in Kızılırmak delta, Turkey. Water 2024, 16, 1570. [Google Scholar] [CrossRef]





| No. | Groundwater | |
|---|---|---|
| Quality Indicators | Standards | |
| 1 | TH | GOST 4151-72 (https://docs.cntd.ru/document/1200012550, accessed on 26 May 2025) |
| 2 | Cl− | GOST 4245-72 (https://docs.cntd.ru/document/1200008214, accessed on 26 May 2025) |
| 3 | SO42− | GOST 4389-72 (https://docs.cntd.ru/document/1200008215, accessed on 26 May 2025) |
| 4 | TDS | GOST 18164-72 (https://docs.cntd.ru/document/1200012556, accessed on 26 May 2025) |
| 5 | F− | GOST 4386-89 (https://docs.cntd.ru/document/1200012569, accessed on 26 May 2025) |
| 6 | Fe2+ | GOST 4011-72 (https://docs.cntd.ru/document/1200008210, accessed on 26 May 2025) |
| 7 | NO3− | GOST 33045-2014 (https://meganorm.ru/Data2/1/4293766/4293766954.htm, accessed on 26 May 2025) |
| 8 | Cu2+ | GOST 4388-72 (https://docs.cntd.ru/document/1200012572, accessed on 26 May 2025) |
| 9 | pH | GOST ISO 10523 (https://files.stroyinf.ru/Index2/1/4293739/4293739330.htm, accessed on 26 May 2025) |
| Data | EC | HCO3− | Cl− | SO42− | Ca2+ | Mg2+ | Na+ | SAR | SAR (EC) |
|---|---|---|---|---|---|---|---|---|---|
| 2021-01 | 5.01 | 8.73 | 19.06 | 20.04 | 18.33 | 13.00 | 16.74 | 4.23 | 4.23 |
| 2021-02 | 5.45 | 6.23 | 16.73 | 29.50 | 17.67 | 16.33 | 18.74 | 4.54 | 4.54 |
| 2021-03 | 5.38 | 6.37 | 21.85 | 24.60 | 15.67 | 18.33 | 19.12 | 4.64 | 4.64 |
| 2021-04 | 4.81 | 4.70 | 18.59 | 23.46 | 16.33 | 9.33 | 21.27 | 5.94 | 5.94 |
| 2021-05 | 4.19 | 5.90 | 14.87 | 19.70 | 15.33 | 12.67 | 12.70 | 3.39 | 3.39 |
| 2021-06 | 8.75 | 4.23 | 32.07 | 48.52 | 14.33 | 14.00 | 56.74 | 15.08 | 15.07 |
| 2021-07 | 6.49 | 4.40 | 23.24 | 35.42 | 13.67 | 14.00 | 35.64 | 9.58 | 9.58 |
| 2021-08 | 5.92 | 4.27 | 20.92 | 32.12 | 18.00 | 11.67 | 27.85 | 7.23 | 7.23 |
| 2021-09 | 4.46 | 3.17 | 16.27 | 23.92 | 11.67 | 12.33 | 19.56 | 5.65 | 5.65 |
| 2021-10 | 6.59 | 6.07 | 22.77 | 35.08 | 14.67 | 13.33 | 36.16 | 9.66 | 9.66 |
| 2021-11 | 5.34 | 5.27 | 20.45 | 25.63 | 17.00 | 9.33 | 25.19 | 6.94 | 6.94 |
| 2021-12 | 4.46 | 3.17 | 16.27 | 26.38 | 14.67 | 13.33 | 26.38 | 7.05 | 7.05 |
| 2023-01 | 5.07 | 5.10 | 18.13 | 27.78 | 13.67 | 5.58 | 15.36 | 4.95 | 4.95 |
| 2023-02 | 5.57 | 7.07 | 20.92 | 26.92 | 18.33 | 4.75 | 17.89 | 5.27 | 5.27 |
| 2023-03 | 4.86 | 5.27 | 18.13 | 25.35 | 17.67 | 4.58 | 13.05 | 3.91 | 3.91 |
| 2023-04 | 5.81 | 6.10 | 23.70 | 30.36 | 19.33 | 8.33 | 8.02 | 2.16 | 2.16 |
| 2023-05 | 6.69 | 5.67 | 29.75 | 31.91 | 17.33 | 5.75 | 27.37 | 8.06 | 8.06 |
| 2023-06 | 6.08 | 5.37 | 25.10 | 30.66 | 15.67 | 5.33 | 24.48 | 7.55 | 7.55 |
| 2023-07 | 6.54 | 5.07 | 22.77 | 35.97 | 12.00 | 4.58 | 33.77 | 11.70 | 11.73 |
| 2023-08 | 5.71 | 5.67 | 21.38 | 29.80 | 16.00 | 4.58 | 22.83 | 7.12 | 7.11 |
| 2023-09 | 5.36 | 4.77 | 20.45 | 28.67 | 20.67 | 4.75 | 14.54 | 4.08 | 4.08 |
| 2023-10 | 5.69 | 5.53 | 23.24 | 29.78 | 19.33 | 7.25 | 10.68 | 2.93 | 2.93 |
| 2023-11 | 5.38 | 8.95 | 30.68 | 40.49 | 31.50 | 6.00 | 25.04 | 5.78 | 5.78 |
| 2023-12 | 5.00 | 6.93 | 18.13 | 25.47 | 21.67 | 5.75 | 6.24 | 1.68 | 1.68 |
| Units | dS/m | mEq/L | |||||||
| Ion | Atomic Weight (AW) | Valence (V) | Laboratory Analysis Results (mg/L) |
|---|---|---|---|
| HCO3− | 61.02 | 1 | 311.1 |
| Cl− | 35.45 | 1 | 643.5 |
| SO42− | 96.06 | 2 | 1333.32 |
| Ca2+ | 40.08 | 2 | 273.33 |
| Mg2+ | 24.31 | 2 | 268.00 |
| Na+ | 22.99 | 1 | 353.22 |
| Parameter | Units | Degree of Restriction on Use | ||
|---|---|---|---|---|
| None | Slight to Moderate | Severe | ||
| EC | dS/m | <0.7 | 0.7–3.0 | >3.0 |
| HCO3− | mEq/L | <1.5 | 1.5–8.5 | >8.5 |
| Cl− | mEq/L | <4 | 4–10 | >10 |
| Na+ | mEq/L | <3 | 3–9 | >9 |
| SAR | mEq/L | <3 | 3–9 | >9 |
| None | Slight to Moderate | Severe | |||
|---|---|---|---|---|---|
| SAR | 0–3 | ECw | >0.7 | 0.7–0.2 | <0.2 |
| 3–6 | >1.2 | 1.2–0.3 | <0.3 | ||
| 6–12 | >1.9 | 1.9–0.5 | <0.5 | ||
| 12–20 | >2.9 | 2.9–1.3 | <1.3 | ||
| 20–40 | >5.0 | 5.0–2.9 | <2.9 |
| Data | EC | HCO3− | Cl− | Na+ | SAR | SAR (EC) |
|---|---|---|---|---|---|---|
| 2021-01 | 5.07 | 5.10 | 18.13 | 15.36 | 4.95 | 4.95 |
| 2021-02 | 5.57 | 7.07 | 20.91 | 17.89 | 5.27 | 5.27 |
| 2021-03 | 4.86 | 5.27 | 18.13 | 13.05 | 3.91 | 3.91 |
| 2021-04 | 5.81 | 6.10 | 23.70 | 8.02 | 2.16 | 2.16 |
| 2021-05 | 6.69 | 5.67 | 29.75 | 27.37 | 8.06 | 8.06 |
| 2021-06 | 6.08 | 5.37 | 25.09 | 24.47 | 7.55 | 7.55 |
| 2021-07 | 6.55 | 5.07 | 22.77 | 33.77 | 11.73 | 11.73 |
| 2021-08 | 5.71 | 5.67 | 21.38 | 22.82 | 7.11 | 7.11 |
| 2021-09 | 5.36 | 4.77 | 20.45 | 14.54 | 4.08 | 4.08 |
| 2021-10 | 5.69 | 5.53 | 23.24 | 10.68 | 2.93 | 2.93 |
| 2021-11 | 5.37 | 8.95 | 30.68 | 25.04 | 5.78 | 5.78 |
| 2021-12 | 5.00 | 6.93 | 18.13 | 6.24 | 1.68 | 1.68 |
| 2023-01 | 5.01 | 8.73 | 19.06 | 16.74 | 4.23 | 4.23 |
| 2023-02 | 5.45 | 6.23 | 16.73 | 18.74 | 4.54 | 4.54 |
| 2023-03 | 5.38 | 6.37 | 21.84 | 19.12 | 4.64 | 4.64 |
| 2023-04 | 4.81 | 4.70 | 18.59 | 21.27 | 5.94 | 5.94 |
| 2023-05 | 4.19 | 5.90 | 14.87 | 12.69 | 3.39 | 3.39 |
| 2023-06 | 8.75 | 4.23 | 32.07 | 56.74 | 15.07 | 15.07 |
| 2023-07 | 6.49 | 4.40 | 23.24 | 35.64 | 9.58 | 9.58 |
| 2023-08 | 5.92 | 4.27 | 20.91 | 27.85 | 7.23 | 7.23 |
| 2023-09 | 4.46 | 3.17 | 16.27 | 19.57 | 5.65 | 5.65 |
| 2023-10 | 6.59 | 6.07 | 22.77 | 36.16 | 9.66 | 9.66 |
| 2023-11 | 5.34 | 5.27 | 20.45 | 25.19 | 6.94 | 6.94 |
| 2023-12 | 4.46 | 3.17 | 16.27 | 26.38 | 7.05 | 7.05 |
| FAO standard | 0.7 | 1.5 | 4 | 3 | 3 | 3 |
| Units | dS/m | mEq/L | ||||
| nse Value | 0.01 ×nse | 0.01 ×nse + 0.01 | F3 |
|---|---|---|---|
| 3.59 | 0.04 | 0.05 | 78.22 |
| Component of CCME WQI | Value | Square Value |
|---|---|---|
| F1 | 100 | 10,000.00 |
| F2 | 91.67 | 8402.78 |
| F3 | 78.22 | 6118.59 |
| SUM | 24,521.37 | |
| Square Root Value | 156.59 | |
| Divide by 1.732 | 1.732 | |
| D | 90.41 | |
| 100 | ||
| CCME WQI (study Object 1) | 9.59 | |
| Years | Parameters | WQI | Sinflanishi | ||
|---|---|---|---|---|---|
| F1 | F2 | F3 | |||
| 2021 | 100 | 91.67 | 78.22 | 9.59 | Poor |
| 2023 | 100 | 100 | 79.96 | 6.20 | Poor |
| Data | Parameters | ||||||||
|---|---|---|---|---|---|---|---|---|---|
| TH | Cl− | SO42− | TDS | F− | Fe2+ | NO3− | Cu2+ | pH | |
| 2021-01 | 650.00 | 275.00 | 271.00 | 1260.00 | 0.18 | 0.16 | 9.70 | 0.13 | 7.80 |
| 2021-02 | 1105.00 | 308.00 | 364.20 | 1443.00 | 0.12 | 0.08 | 9.80 | 0.15 | 7.70 |
| 2021-03 | 600.00 | 221.00 | 271.00 | 1200.00 | 0.16 | 0.18 | 10.20 | 0.20 | 7.70 |
| 2021-04 | 1100.00 | 380.00 | 334.00 | 1700.00 | 0.15 | 0.17 | 10.70 | 0.14 | 7.70 |
| 2021-05 | 690.00 | 308.60 | 163.20 | 1280.00 | 0.19 | 0.13 | 9.90 | 0.18 | 8.00 |
| 2021-06 | 1500.00 | 525.00 | 143.20 | 1900.00 | 0.18 | 0.22 | 11.00 | 0.18 | 7.90 |
| 2021-07 | 1450.00 | 535.00 | 258.00 | 1650.00 | 0.19 | 0.30 | 10.80 | 0.21 | 8.03 |
| 2021-08 | 855.00 | 357.20 | 143.20 | 1650.00 | 0.17 | 0.22 | 11.30 | 0.13 | 8.10 |
| 2021-09 | 550.00 | 218.00 | 234.70 | 1095.00 | 0.12 | 0.07 | 9.10 | 0.13 | 7.90 |
| 2021-10 | 645.00 | 240.00 | 179.00 | 1206.00 | 0.14 | 0.08 | 10.10 | 0.12 | 7.90 |
| 2021-11 | 635.00 | 273.00 | 268.00 | 1190.00 | 0.08 | 0.13 | 9.40 | 0.07 | 7.90 |
| 2021-12 | 420.00 | 262.00 | 220.00 | 610.00 | 0.12 | 0.04 | 8.60 | 0.05 | 6.90 |
| 2023-01 | 1130.00 | 521.00 | 321.60 | 1530.00 | 0.19 | 0.18 | 12.40 | 0.24 | 7.90 |
| 2023-02 | 1095.00 | 350.00 | 259.20 | 1320.00 | 0.18 | 0.24 | 8.90 | 0.17 | 7.80 |
| 2023-03 | 1500.00 | 430.50 | 187.50 | 2740.00 | 0.16 | 0.13 | 11.10 | 0.17 | 7.80 |
| 2023-04 | 1040.00 | 304.50 | 240.00 | 1530.00 | 0.13 | 0.14 | 9.10 | 0.14 | 7.90 |
| 2023-05 | 1600.00 | 651.00 | 196.80 | 2540.00 | 0.17 | 0.10 | 10.80 | 0.24 | 7.80 |
| 2023-06 | 1100.00 | 420.00 | 321.60 | 1940.00 | 0.20 | 0.30 | 12.00 | 0.26 | 7.90 |
| 2023-07 | 1205.00 | 350.00 | 169.00 | 1690.00 | 0.13 | 0.08 | 12.00 | 0.15 | 7.80 |
| 2023-08 | 675.00 | 232.50 | 168.00 | 1100.00 | 0.23 | 0.08 | 8.90 | 0.14 | 7.90 |
| 2023-09 | 1050.00 | 378.50 | 187.50 | 1712.00 | 0.13 | 0.09 | 10.30 | 0.13 | 7.80 |
| 2023-10 | 685.00 | 304.50 | 196.80 | 1520.00 | 0.12 | 0.18 | 11.50 | 0.14 | 7.80 |
| 2023-11 | 695.00 | 395.50 | 321.60 | 1100.00 | 0.22 | 0.22 | 13.70 | 0.20 | 7.90 |
| 2023-12 | 570.00 | 245.00 | 196.00 | 1060.00 | 0.14 | 0.16 | 9.10 | 0.12 | 7.90 |
| WHO Standard | 300 | 250 | 250 | 1000 | 1.5 | 0.3 | 50 | 2 | 8.5 |
| Units | mg/L | pH | |||||||
| UzSSt: 133:2024 | 500 | 350 | 500 | 1500 | 0.7 | 0.3 | 45 | 1 | 9 |
| Units | mg-eq/L | mg/L | pH | ||||||
| nse Value | 0.01 × nse | 0.01 × nse + 0.01 | F3 |
|---|---|---|---|
| 0.095 | 0.001 | 0.011 | 8.70 |
| Component of CCME WQI | Value | Square Value |
|---|---|---|
| F1 | 33.33 | 1111.11 |
| F2 | 17.59 | 309.50 |
| F3 | 8.70 | 75.74 |
| SUM | 1496.35 | |
| Square Root Value | 38.68 | |
| Divide by 1.732 | 1.732 | |
| D | 22.33 | |
| 100 | ||
| CCME WQI (Object 2) | 77.67 | |
| Years | Parameters | WQI | Classification | ||
|---|---|---|---|---|---|
| F1 | F2 | F3 | |||
| 2021 | 33.33 | 17.59 | 8.70 | 77.67 | Fair |
| 2023 | 33.33 | 24.07 | 13.47 | 75.02 | Fair |
| Variables | EC | HCO3− | Cl− | Na+ | SAR | SAR (EC) |
|---|---|---|---|---|---|---|
| EC | 1.000 | |||||
| HCO3− | −0.092 | 1.000 | ||||
| Cl− | 0.795 | 0.206 | 1.000 | |||
| Na+ | 0.777 | −0.312 | 0.571 | 1.000 | ||
| SAR | 0.775 | −0.365 | 0.538 | 0.974 | 1.000 | |
| SAR (EC) | 0.775 | −0.365 | 0.538 | 0.974 | 1.000 | 1.000 |
| Variables | TH | Cl− | SO42− | TDS | F− | Fe2+ | NO3− | Cu2+ | pH |
|---|---|---|---|---|---|---|---|---|---|
| TH | 1.000 | ||||||||
| Cl− | 0.856 | 1.000 | |||||||
| SO42− | −0.008 | 0.043 | 1.000 | ||||||
| TDS | 0.861 | 0.727 | −0.136 | 1.000 | |||||
| F− | 0.216 | 0.367 | 0.030 | 0.137 | 1.000 | ||||
| Fe2+ | 0.303 | 0.409 | 0.270 | 0.213 | 0.501 | 1.000 | |||
| NO3− | 0.367 | 0.550 | 0.184 | 0.420 | 0.373 | 0.447 | 1.000 | ||
| Cu2+ | 0.577 | 0.674 | 0.266 | 0.534 | 0.653 | 0.570 | 0.601 | 1.000 | |
| pH | 0.243 | 0.201 | −0.136 | 0.304 | 0.330 | 0.441 | 0.306 | 0.415 | 1.000 |
| Location | Water Type | Water Source | Year(s) | CCME WQI Value | Quality Category | Main Pollutants | Notes |
|---|---|---|---|---|---|---|---|
| Amudarya District (Uzbekistan) | Surface Water | Collector-drainage water | 2021 and 2023 | 9.6–6.2 | Poor | Nitrates, sulfates, electrical conductivity (EC) | Highly polluted, not suitable for irrigation or other uses |
| Amudarya District (Uzbekistan) | Groundwater | Well water | 2021 and 2023 | 77.67–75.02 | Fair | Nitrates, sulfates, other inorganic pollutants | Better than drainage water, but not safe for drinking |
| Elgo River (Ethiopia) | Surface Water | River water | 2023 | 36.60–38.38 | Poor | Turbidity, TSS, color, coliforms, organic matter | Poor water quality, especially in rainy seasons |
| Tigris River (Baghdad, Iraq) | Surface Water | River water | 2017–2018 | 45–79 | Fair/Poor | TDS, turbidity, alkalinity, Ca2⁺, Mg2+, phosphates, sulfates | Poor for drinking, Fair for aquatic life |
| Baitarani River (India) | Surface Water | River water | 2021–2024 | 23–97 | Very Poor– Excellent | Turbidity, EC, TDS, minerals | Total of 53.85% of sites rated as unfit for use based on CCME-WQI |
| Delhi Region (India) | Groundwater | Well water | 2020 | 43–100 | Poor–Excellent | TDS, nitrates, fluoride | Groundwater near industrial areas highly polluted; average index: 74.1 (Fair) |
| Kızılırmak Delta (Turkey) | Groundwater | Well water | 2016 | 32.90–77.70 | Poor–Fair | Nitrates, Ca2+, Mg2+, sulfates, EC, hardness, pH | Western zones especially unsuitable for drinking or irrigation |
Disclaimer/Publisher’s Note: The statements, opinions and data contained in all publications are solely those of the individual author(s) and contributor(s) and not of MDPI and/or the editor(s). MDPI and/or the editor(s) disclaim responsibility for any injury to people or property resulting from any ideas, methods, instructions or products referred to in the content. |
© 2025 by the authors. Licensee MDPI, Basel, Switzerland. This article is an open access article distributed under the terms and conditions of the Creative Commons Attribution (CC BY) license (https://creativecommons.org/licenses/by/4.0/).
Share and Cite
Rajabova, N.; Sherimbetov, V.; Sadiq, R.; Farouk Aboukila, A. An Assessment of Collector-Drainage Water and Groundwater—An Application of CCME WQI Model. Water 2025, 17, 2191. https://doi.org/10.3390/w17152191
Rajabova N, Sherimbetov V, Sadiq R, Farouk Aboukila A. An Assessment of Collector-Drainage Water and Groundwater—An Application of CCME WQI Model. Water. 2025; 17(15):2191. https://doi.org/10.3390/w17152191
Chicago/Turabian StyleRajabova, Nilufar, Vafabay Sherimbetov, Rehan Sadiq, and Alaa Farouk Aboukila. 2025. "An Assessment of Collector-Drainage Water and Groundwater—An Application of CCME WQI Model" Water 17, no. 15: 2191. https://doi.org/10.3390/w17152191
APA StyleRajabova, N., Sherimbetov, V., Sadiq, R., & Farouk Aboukila, A. (2025). An Assessment of Collector-Drainage Water and Groundwater—An Application of CCME WQI Model. Water, 17(15), 2191. https://doi.org/10.3390/w17152191

