Mitigating the Effects of Low-Impact Development on Waterlogging and Non-Point Pollution Under Different Confluence Relationships
Abstract
1. Introduction
2. Methods
2.1. Study Area
2.2. Hydraulic and Water Quality Model
2.2.1. Model Development
2.2.2. Model Calibration and Validation
2.3. Scenario Design
2.3.1. Rainfall Magnitude Scenarios
2.3.2. LID Practice Scenarios
2.3.3. Confluence Relationship Scenarios
2.3.4. Scenario Implementation Schemes
3. Results
3.1. Hydraulic and Water Quality Parameters Under Different Confluence Relationships
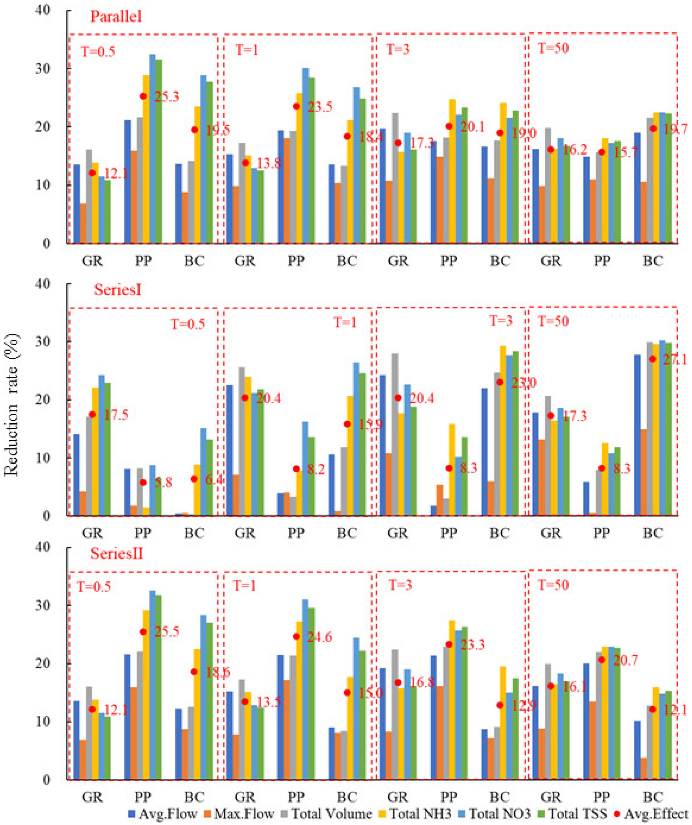
3.2. Effects of Low-Impact Development on Hydraulic and Water Quality Parameters Under Different Confluence Relationships
4. Discussion
4.1. Effectiveness of Different Confluence Relationships in Mitigating Campus Waterlogging and Non-Point Source Pollution
4.2. Impact of LID on Campus Waterlogging and Non-Point Source Pollution Under Different Confluence Relationships
4.3. Research Implications
5. Conclusions
- In the designed rainfall scenarios, series Ⅰ had the best mitigation effects on waterlogging and non-point source pollution (i.e., 24.5%, 16.4%, and 15.2% less than those of series Ⅱ and Parallel). There were no significant differences among the three confluence relationships under extreme rainfall.
- Among the different LID measures, BCs were the best at reducing non-point source pollution (i.e., up to 29.91%). The GR showed a maximum reduction in total runoff of 27.99% and performed the best in mitigating urban waterlogging. PP reduced total runoff and pollution by 22.94% and 26.50%, respectively.
- Series Ⅱ was the main confluence path in the study area, and the greenbelt occupied a large share; therefore, it had a better control effect on waterlogging and non-point source pollution in the designed rainfall scenarios.
Author Contributions
Funding
Data Availability Statement
Acknowledgments
Conflicts of Interest
References
- IPCC. 2021: The physical science basis. In Contribution of Working Group I to the Sixth Assessment Report of the Intergovernmental Panel on Climate Change; Masson-Delmotte, V., Zhai, P., Pirani, A., Connors, S.L., Péan, C., Berger, S., Caud, N., Chen, Y., Goldfarb, L., Gomis, M.I., et al., Eds.; Climate Change; Cambridge University Press: Cambridge, UK, 2021. [Google Scholar]
- Kreienkamp, F.; Philip, S.Y.; Tradowsky, J.S.; Kew, S.F.; Lorenz, P.; Arrighi, J.; Belleflamme, A.; Bettmann, T.; Caluwaerts, S.; Chan, S.C.; et al. Rapid attribution of heavy rainfall events leading to the severe flooding in Western Europe during July 2021. World Weather Attrib. 2021. Available online: http://hdl.handle.net/1854/LU-8732135 (accessed on 18 December 2024).
- Investigation Report of “July 20” Heavy Rain Disaster in Zhengzhou, Henan Province. Available online: https://www.mem.gov.cn/gk/sgcc/tbzdsgdcbg/202201/P020220121639049697767.pdf (accessed on 18 December 2024).
- Sun, Q.; Zhang, X.; Zwiers, F.; Westra, S.; Alexander, L.V. A global, continental, and regional analysis of changes in extreme precipitation. J. Clim. 2020, 34, 243–258. [Google Scholar] [CrossRef]
- Dunn, R.J.; Alexander, L.V.; Donat, M.G.; Zhang, X.; Bador, M.; Herold, N.; Lippmann, T.; Allan, R.; Aguilar, E.; Barry, A.A.; et al. Development of an updated global land in situ-based data set of temperature and precipitation extremes: HadEX3. J. Geophys. Res. Atmos. 2020, 125, e2019JD032263. [Google Scholar] [CrossRef]
- Xiong, J.; Li, G.; Zhu, J.; Li, J.; Yang, Y.; An, S.; Liu, C. Removal characteristics of heavy metal ions in rainwater runoff by bioretention cell modified with biochar. Environ. Technol. 2021, 43, 21–26. [Google Scholar] [CrossRef]
- Ma, Y.; He, W.; Zhao, H.; Zhao, J.; Wu, X.; Wu, W.; Li, X.; Yin, C. Influence of Low Impact Development practices on urban diffuse pollutant transport process at catchment scale. J. Clean. Prod. 2019, 213, 357–364. [Google Scholar] [CrossRef]
- Wenyu, Y.; Jin, Z.; Peter, K. Low impact development practices mitigate urban flooding and nonpoint pollution under climate change. J. Clean. Prod. 2022, 347, 131320. [Google Scholar]
- Wenyu, Y.; Jin, Z.; Shenbin, M.; Peter, K. Impact of antecedent dry-weather period and rainfall magnitude on the performance of low impact development practices in urban flooding and nonpoint pollution mitigation. J. Clean. Prod. 2021, 320, 128946. [Google Scholar]
- Yang, W.; Wang, Z.; Hua, P.; Zhang, J.; Krebs, P. Impact of green infrastructure on the mitigation of road-deposited sediment induced stormwater pollution. Sci. Total Environ. 2021, 770, 145294. [Google Scholar] [CrossRef]
- Lu, W.; Qin, X.S.; Jun, C. A parsimonious framework of evaluating WSUD features in urban flood mitigation. J. Environ. Inf. 2018, 33, 17–27. [Google Scholar] [CrossRef]
- Duan, H.F.; Gao, X. Flooding control and hydro-energy assessment for urban stormwater drainage systems under climate change. Water Resour. Manag. 2019, 33, 3523–3545. [Google Scholar] [CrossRef]
- Qi, C.; Chang, N.-B. Integrated carbon footprint and cost evaluation of a drinking water infrastructure system for screening expansion alternatives. J. Clean. Prod. 2013, 60, 170–181. [Google Scholar] [CrossRef]
- Kong, Z.; Shao, Z.; Shen, Y.; Zhang, X.; Chen, M.; Yuan, Y.; Li, G.; Wei, Y.; Hu, X.; Huang, Y.; et al. Comprehensive evaluation of stormwater pollutants characteristics, purification process and environmental impact after low impact development practices. J. Clean. Prod. 2021, 278, 123509. [Google Scholar] [CrossRef]
- Eckart, K.; McPhee, Z.; Bolisetti, T. Performance and implementation of low impact development—A review. Sci. Total Environ. 2017, 607–608, 413–432. [Google Scholar] [CrossRef] [PubMed]
- Chapman, C.; Hall, J.W. The potential for sustainable drainage systems (SuDS) in a regional urbanization project. Front. Sustain. Cities 2022, 4, 922890. [Google Scholar] [CrossRef]
- Xia, J.; Zhang, Y.Y.; Xiong, L.H.; He, S.; Wang, L.; Yu, Z. Opportunities and challenges of the Sponge City construction related to urban water issues in China. Sci. China Earth Sci. 2017, 60, 652–658. [Google Scholar] [CrossRef]
- Hui, L.; Ding, L.; Ren, M.; Li, C.; Wang, H. Sponge city construction in China: A survey of the challenges and opportunities. Water 2017, 9, 594. [Google Scholar] [CrossRef]
- Jin, Y.; Xiang, C.; Liang, C.; Jianghai, C.; Beibei, C.; Aiqing, K.; Xiaohui, L.; Shuqian, W. A systematic bibliometric review of low impact development research articles. Water 2022, 14, 2675. [Google Scholar] [CrossRef]
- She, L.; Wei, M.; You, X.Y. Multi-objective layout optimization for sponge city by annealing algorithm and its environmental benefits analysis. Sustain. Cities Soc. 2021, 66, 102706. [Google Scholar] [CrossRef]
- Rodríguez-Sinobas, L.; Zubelzu, S.; Perales-Momparler, S.; Canogar, S. Techniques and criteria for sustainable urban stormwater management. The case study of Valdebebas (Madrid, Spain). J. Clean. Prod. 2018, 172, 402–416. [Google Scholar] [CrossRef]
- Zhang, K.; Chui, T.F.M. A comprehensive review of spatial allocation of LID-BMP-GI practices: Strategies and optimization tools. Sci. Total Environ. 2018, 621, 915–929. [Google Scholar] [CrossRef]
- Baek, S.S.; Choi, D.H.; Jung, J.W.; Lee, H.J.; Lee, H.; Yoon, K.S.; Cho, K.H. Optimizing low impact development (LID) for stormwater runoff treatment in urban area, Korea: Experimental and modeling approach. Water Res. 2015, 86, 122–131. [Google Scholar] [CrossRef] [PubMed]
- Liu, Y.; Ahiablame, L.M.; Bralts, V.F.; Engel, B.A. Enhancing a rainfall-runoff model to assess the impacts of BMPs and LID practices on storm runoff. J. Environ. Manag. 2015, 147, 12–23. [Google Scholar] [CrossRef] [PubMed]
- Liu, Y.; Bralts, V.F.; Engel, B.A. Evaluating the effectiveness of management practices on hydrology and water quality at watershed scale with a rainfall-runoff model. Sci. Total Environ. 2015, 511, 298–308. [Google Scholar] [CrossRef]
- Chui, T.F.M.; Liu, X.; Zhan, W. Assessing cost-effectiveness of specific LID practice designs in response to large storm events. J. Hydrol. 2016, 533, 353–364. [Google Scholar] [CrossRef]
- Jinhui, H.J.; Meng, X.; Li, Y.; Ran, Y.; Qian, Z.; Youyue, S.; Tongtong, Z. The optimization of Low Impact Development placement considering life cycle cost using Genetic Algorithm. J. Environ. Manag. 2022, 309, 114700. [Google Scholar]
- Li, F.; Xufeng, Y.; Duan, H.F. Sustainable design of urban stormwater drainage systems by implementing detention tank and LID measures for flooding risk control and water quality management. Water Resour. Manag. 2019, 33, 3271–3288. [Google Scholar] [CrossRef]
- Kaykhosravi, S.; Abogadil, K.; Khan, U.T.; Jadidi, M.A. The low-impact development demand index: A new approach to identifying locations for LID. Water 2019, 11, 2341. [Google Scholar] [CrossRef]
- Kim, H.W.; Park, Y. Urban green infrastructure and local flooding: The impact of landscape patterns on peak runoff in four Texas MSAs. Appl. Geogr. 2016, 77, 72–81. [Google Scholar] [CrossRef]
- Tansar, H.; Duan, H.F.; Mark, O. Global sensitivity analysis of bioretention cell design for stormwater system: A comparison of VARS framework and Sobol method. J. Hydrol. 2023, 617, 128895. [Google Scholar] [CrossRef]
- Hongbin, S.; Zongxue, X.; Shuhan, Z.; Qijun, L. Analysis and test of LID rainfall control methods of different confluence relationship. J. Hydraul. Eng. 2019, 50, 578–588. (In Chinese) [Google Scholar]
- Giacomoni, M.H.; Joseph, J. Multi-objective evolutionary optimization and Monte Carlo simulation for placement of low impact development in the catchment scale. J. Water Resour. Plan. Manag. 2017, 143, 04017053. [Google Scholar] [CrossRef]
- Rossman, L.; Huber, W. Storm Water Management Model Reference Manual Volume I-Hydrology; US EPA Office of Research and Development: Washington, DC, USA, 2016. [Google Scholar]
- Rossman, L.; Huber, W. Storm Water Management Model Reference Manual Volume III—Water Quality; US EPA, United States Environmental Protection Agency: Cincinnati, OH, USA, 2016. [Google Scholar]
- Rossman, L.; Huber, W. Storm Water Management Model Reference Manual Volume II—Hydraulics; US EPA, United States Environmental Protection Agency: Cincinnati, OH, USA, 2017. [Google Scholar]
- DHl. Mike Urban: Colection System. 2017. Available online: https://manuals.mikepoweredbydhi.help/latest/MIKEPlus.htm (accessed on 18 December 2024).
- Cipolla, S.S.; Maglionico, M.; Stojkov, I. A long-term hydrological modelling of an extensive green roof by means of SWMM. Ecol. Eng. 2016, 95, 876–887. [Google Scholar] [CrossRef]
- Nash, J.E.; Sutcliffe, J.V. River flow forecasting through conceptual models part I—A discussion of principles. J. Hydrol. 1970, 10, 282–290. [Google Scholar] [CrossRef]
- Yan, L.; Lu, D.; Hu, P.; Yan, P.; Xu, Y.; Qi, J.; Liu, F.; Li, J. Estimation of design precipitation in Beijing–Tianjin–Hebei region under a changing climate. Hydrol. Sci. J. 2022, 67, 1722–1739. [Google Scholar] [CrossRef]
- Keifer, C.J.; Chu, H.H. Synthetic storm pattern for drainage design. J. Hydr. Div. 1957, 83, 1–25. [Google Scholar] [CrossRef]
- Tianqi, L.; Yelly, L.; Yang, S.; Seng, Y.P. Low impact development (LID) practices: A review on recent developments, challenges and prospects. Water Air Soil Pollut. 2021, 232, 344. [Google Scholar]
- Madrazo-Uribeetxebarria, E.; Garmendia Antín, M.; Almandoz Berrondo, J.; Andŕes-Doménech, I. Sensitivity analysis of permeable pavement hydrological modelling in the Storm water Management Model. J. Hydrol. 2021, 600, 126525. [Google Scholar] [CrossRef]
- Hong-yu, W.; Hao, W.; Hong-wei, M.A.; Peng, W.; Li, L. Study on reducing waterlogging effect of three types of permeable pavement in sponge city construction. China Water Supply Drain. 2019, 35, 44–48. (In Chinese) [Google Scholar]
- Job, C. A review of low-impact development factors affecting managed aquifer recharge. Ground Water 2022, 60, 619–627. [Google Scholar] [CrossRef]
- Huang, C.L.; Hsu, N.S.; Liu, H.J.; Huang, Y.H. Optimization of low impact development layout designs for megacity flood mitigation. J. Hydrol. 2018, 564, 542–558. [Google Scholar] [CrossRef]
- Cano, O.M.; Barkdoll, B.D. Multiobjective, socioeconomic, boundary-emanating, nearest distance algorithm for stormwater low-impact BMP selection and placement. J. Water Resour. Plan. Manag. 2017, 143, 05016013. [Google Scholar] [CrossRef]
- Prince George’s County, Department of Environmental Resources. Low-Impact Development Design Strategies: An Integrated Design Approach; United States Environmental Protection Agency: Largo, MD, USA, 1999; p. 20774. [Google Scholar]
- Chang, C.L.; Lo, S.L.; Huang, S.M. Optimal strategies for best management practice placement in a synthetic watershed. Environ. Monit. Assess. 2009, 153, 359–364. [Google Scholar] [CrossRef] [PubMed]
- Vittorio, D.D.; Ahiablame, L. Spatial translation and scaling up of low impact development designs in an urban watershed. J. Water Manag. Model. 2015, 23, C388. [Google Scholar] [CrossRef]
- Castiglia Feitosa, R.; Wilkinson, S. Modelling green roof stormwater response for different soil depths. Landsc. Urban Plan. 2016, 153, 170–179. [Google Scholar] [CrossRef]
- Manso, M.; Teotónio, I.; Silva, C.M.; Cruz, C.O. Green roof and green wall benefits and costs: A review of the quantitative evidence. Renew. Sustain. Energy Rev. 2021, 135, 110111. [Google Scholar] [CrossRef]
- Mason, B.E.; Mullapudi, A.; Gruden, C.; Kerkez, B. Improvement of phosphorus removal in bioretention cells using real-time control. Urban Water J. 2022, 19, 992–998. [Google Scholar] [CrossRef]
- Smyth, K.; Drake, J.; Li, Y.; Rochman, C.; Van Seters, T.; Passeport, E. Bioretention cells remove microplastics from urban stormwater. Water Res. 2021, 191, 116785. [Google Scholar] [CrossRef]
- Siwiec, E.; Erlandsen, A.M.; Vennemo, H. City greening by rain gardens-Costs and benefits. Environ. Prot. Nat. Resour. 2018, 29, 1–5. [Google Scholar] [CrossRef]
- Kamali, M.; Delkash, M.; Tajrishy, M. Evaluation of permeable pavement responses to urban surface runoff. J. Environ. Manag. 2017, 187, 43–53. [Google Scholar] [CrossRef]
- Yu, Z.; Gan, H.; Xiao, M.; Huang, B.; Zhu, D.Z.; Zhang, Z.; Wang, H.; Lin, Y.; Hou, Y.; Peng, S.; et al. Performance of permeable pavement systems on stormwater permeability and pollutant removal. Environ. Sci. Pollut. Res. 2021, 28, 28571–28584. [Google Scholar] [CrossRef]
- Hua, P.; Yang, W.; Qi, X.; Jiang, S.; Xie, J.; Gu, X.; Li, H.; Zhang, J.; Krebs, P. Evaluating the effect of urban flooding reduction strategies in response to design rainfall and low impact development. J. Clean. Prod. 2020, 242, 118515. [Google Scholar] [CrossRef]
- Huang, J.; He, J.; Valeo, C.; Chu, A. Temporal evolution modeling of hydraulic and water quality performance of permeable pavements. J. Hydrol. 2016, 533, 15–27. [Google Scholar] [CrossRef]





| Input Parameters | Empirical Range | Assigned Value | |||||
|---|---|---|---|---|---|---|---|
| BC | GR | PP | BC | GR | PP | ||
| Surface | Berm Height (mm) | 100–300 a | 40–50 a | 250 | 40 | ||
| Vegetation Volume Fraction | 0.00–0.20 b | 0.00–0.20 b | 0.1 | 0.1 | |||
| Surface Roughness | 0.01–0.80 c | 0.01–0.80 c | 0.01–0.80 c | 0.5 | 0.5 | 0.5 | |
| Surface Slope | |||||||
| Pavement | Thickness (mm) | 75–200 b | 150 | ||||
| Void Ratio | 0.12–0.21 b | 0.15 | |||||
| Impervious Surface Fraction | 0.00–0.99 b | 0.5 | |||||
| Permeability (mm/hr) | 360–2450 d | 360 | |||||
| Clogging Factor | 0–180 b | 0 | |||||
| Soil | Thickness (mm) | 400–900 d | 160–600 d | 250–500 b | 900 | 300 | 250 |
| Porosity | 0.4–0.5 d | 0.4–0.5 d | 0.4–0.5 d | 0.5 | 0.5 | 0.5 | |
| Field Capacity | 0.11–0.38 d | 0.11–0.38 d | 0.11–0.38 d | 0.2 | 0.2 | 0.2 | |
| Wilting Point | 0.02–0.27 d | 0.02–0.27 d | 0.02–0.27 d | 0.1 | 0.1 | 0.1 | |
| Conductivity (mm/h) | 0.25–120.40 d | 0.25–120.40 d | 0.25–120.40 d | 120.4 | 120.4 | 120.4 | |
| Conductivity Slope | |||||||
| Suction Head (mm) | 49.02–320.04 d | 49.02–320.04 d | 49.02–320.04 d | 50 | 50 | 50 | |
| Storage | Thickness (mm) | 300–600 d | 200–250 d | 500 | 250 | ||
| Void Ratio | 0.5–0.75 b | 0.5–0.75 b | 0.3 | 0.3 | |||
| Seepage Rate (mm/h) | 0–360 d | 0–360 d | 360 | 360 | |||
| Clogging Factor | |||||||
| Drain | Flow Coefficient | 0–2 b | 0–2 b | 2 | 2 | ||
| Flow Exponent | 0.00–0.50 b | 0.00–0.50 b | 0.5 | 0.5 | |||
| Offset (mm) | 0–100 b | 0–100 b | 0 | 0 | |||
| Drainage Mat | Thickness (mm) | 25–50 b | 25 | ||||
| Void Fraction | 0.50–0.60 b | 0.5 | |||||
| Roughness | 0.10–0.40 b | 0.3 | |||||
| Scenario | Case Design | LID Design | Scenario | Case Design | LID Design | ||||||||
|---|---|---|---|---|---|---|---|---|---|---|---|---|---|
| Rainfall Interval | Confluence Relationship | LID Type | Amount | Volume | Cost | Rainfall Interval | Confluence Relationship | LID Type | Amount | Volume | Cost | ||
| T0.5PR | T = 0.5 | Parallel | T3PR | T = 3 | Parallel | ||||||||
| T0.5SRI | T = 0.5 | Series I | T3SRI | T = 3 | Series I | ||||||||
| T0.5SRII | T = 0.5 | Series II | T3SRII | T = 3 | Series II | ||||||||
| T0.5PR·GR | T = 0.5 | Parallel | GR | 53.00 | 23.77 | 2852 | T3PR·GR | T = 3 | Parallel | GR | 53.00 | 23.77 | 2852 |
| T0.5SRI·GR | T = 0.5 | Series I | GR | 53.00 | 23.77 | 2852 | T3SRI·GR | T = 3 | Series I | GR | 53.00 | 23.77 | 2852 |
| T0.5SRII·GR | T = 0.5 | Series II | GR | 53.00 | 23.77 | 2852 | T3SRII·GR | T = 3 | Series II | GR | 53.00 | 23.77 | 2852 |
| T0.5PR·PP | T = 0.5 | Parallel | PP | 53.00 | 32.68 | 1634 | T3PR·PP | T = 3 | Parallel | PP | 53.00 | 32.68 | 1634 |
| T0.5SRI·PP | T = 0.5 | Series I | PP | 53.00 | 32.68 | 1634 | T3SRI·PP | T = 3 | Series I | PP | 53.00 | 32.68 | 1634 |
| T0.5SRII·PP | T = 0.5 | Series II | PP | 53.00 | 32.68 | 1634 | T3SRII·PP | T = 3 | Series II | PP | 53.00 | 32.68 | 1634 |
| T0.5PR·BC | T = 0.5 | Parallel | BC | 53.00 | 27.95 | 2795 | T3PR·BC | T = 3 | Parallel | BC | 53.00 | 27.95 | 2795 |
| T0.5SRI·BC | T = 0.5 | Series I | BC | 53.00 | 27.95 | 2795 | T3SRI·BC | T = 3 | Series I | BC | 53.00 | 27.95 | 2795 |
| T0.5SRII·BC | T = 0.5 | Series II | BC | 53.00 | 27.95 | 2795 | T3SRII·BC | T = 3 | Series II | BC | 53.00 | 27.95 | 2795 |
| T1PR | T = 1 | Parallel | T50PR | T = 50 | Parallel | ||||||||
| T1SRI | T = 1 | Series I | T50SRI | T = 50 | Series I | ||||||||
| T1SRII | T = 1 | Series II | T50SRII | T = 50 | Series II | ||||||||
| T1PR·GR | T = 1 | Parallel | GR | 53.00 | 23.77 | 2852 | T50PR·GR | T = 50 | Parallel | GR | 53.00 | 23.77 | 2852 |
| T1SRI·GR | T = 1 | Series I | GR | 53.00 | 23.77 | 2852 | T50SRI·GR | T = 50 | Series I | GR | 53.00 | 23.77 | 2852 |
| T1SRII·GR | T = 1 | Series II | GR | 53.00 | 23.77 | 2852 | T50SRII·GR | T = 50 | Series II | GR | 53.00 | 23.77 | 2852 |
| T1PR·PP | T = 1 | Parallel | PP | 53.00 | 32.68 | 1634 | T50PR·PP | T = 50 | Parallel | PP | 53.00 | 32.68 | 1634 |
| T1SRI·PP | T = 1 | Series I | PP | 53.00 | 32.68 | 1634 | T50SRI·PP | T = 50 | Series I | PP | 53.00 | 32.68 | 1634 |
| T1SRII·PP | T = 1 | Series II | PP | 53.00 | 32.68 | 1634 | T50SRII·PP | T = 50 | Series II | PP | 53.00 | 32.68 | 1634 |
| T1PR·BC | T = 1 | Parallel | BC | 53.00 | 27.95 | 2795 | T50PR·BC | T = 50 | Parallel | BC | 53.00 | 27.95 | 2795 |
| T1SRI·BC | T = 1 | Series I | BC | 53.00 | 27.95 | 2795 | T50SRI·BC | T = 50 | Series I | BC | 53.00 | 27.95 | 2795 |
| T1SRII·BC | T = 1 | Series II | BC | 53.00 | 27.95 | 2795 | T50SRII·BC | T = 50 | Series II | BC | 53.00 | 27.95 | 2795 |
Disclaimer/Publisher’s Note: The statements, opinions and data contained in all publications are solely those of the individual author(s) and contributor(s) and not of MDPI and/or the editor(s). MDPI and/or the editor(s) disclaim responsibility for any injury to people or property resulting from any ideas, methods, instructions or products referred to in the content. |
© 2024 by the authors. Licensee MDPI, Basel, Switzerland. This article is an open access article distributed under the terms and conditions of the Creative Commons Attribution (CC BY) license (https://creativecommons.org/licenses/by/4.0/).
Share and Cite
Xu, D.; Liu, D.; Xu, Q.; Yan, Z. Mitigating the Effects of Low-Impact Development on Waterlogging and Non-Point Pollution Under Different Confluence Relationships. Water 2024, 16, 3721. https://doi.org/10.3390/w16243721
Xu D, Liu D, Xu Q, Yan Z. Mitigating the Effects of Low-Impact Development on Waterlogging and Non-Point Pollution Under Different Confluence Relationships. Water. 2024; 16(24):3721. https://doi.org/10.3390/w16243721
Chicago/Turabian StyleXu, Dan, Dongdong Liu, Qian Xu, and Zhihong Yan. 2024. "Mitigating the Effects of Low-Impact Development on Waterlogging and Non-Point Pollution Under Different Confluence Relationships" Water 16, no. 24: 3721. https://doi.org/10.3390/w16243721
APA StyleXu, D., Liu, D., Xu, Q., & Yan, Z. (2024). Mitigating the Effects of Low-Impact Development on Waterlogging and Non-Point Pollution Under Different Confluence Relationships. Water, 16(24), 3721. https://doi.org/10.3390/w16243721

