Forecasting River Water Temperature Using Explainable Artificial Intelligence and Hybrid Machine Learning: Case Studies in Menindee Region in Australia
Abstract
1. Introduction
- (a)
- No prior study has developed a river water temperature using explainable artificial intelligence and hybrid machine learning for the Menindee region in Australia, which is an important ecological zone. Therefore, a primary contribution of our study is to adopt the MVMD method to first decompose the original time-series data that can enhance the predictive performance of the resulting MVMD-BiLSTM model for this region.
- (b)
- To further improve the proposed model, we have designed and applied the hybridized model to predict the surface WT in the Menindee region that focuses on Weir 32. The proposed model, termed MVMD-BiLSTM, has improved the prediction capability and, therefore, makes a novel contribution to WT forecasting.
- (c)
- To make the approach practical, we have evaluated the MVMD-BiLSTM model’s effectiveness and accuracy with robust statistical score metrics and visual analysis of all tested data alongside other decomposition-based and standalone benchmarked models.
- (d)
- As an added contribution, we have examined the behavior of the proposed MVMD-BiLSTM model outcomes at the local levels by incorporating for the first time the Local Interpretable Model-Agnostic Explanations (LIME) and therefore contributed to an xAI approach that has not been developed before for this specific purpose and study region. The application of these explanation metrics, especially for WT prediction in the present study region, has been largely absent in previous studies. Therefore, this study attempts to explain how the proposed model achieves a specific result driven by the model inputs across the different temporal ranges and for the seasons by testing its efficacy at Weir 32.
- (e)
- Our study also makes an important scientific contribution through accurate and interpretable predictions of WT by the newly developed predictive system that can facilitate the end-users to deliver a more precise understanding of the WT and the potential impact of its changes on aquatic organisms and ecological processes in the river.
2. Theoretical Overview
2.1. The Objective (LSTM and Bidirectional LSTM) Model
2.2. The Benchmark Models
2.2.1. Gated Recurrent Network and Bidirectional Gated Recurrent Network
2.2.2. Air2stream
2.3. Multivariate Variational Mode Decomposition Method
- Initializationwhere is Lagrangian multipliers.
- Mode update:with c = 1..C and k = 1...K, and where is the penalty factor and is calculated based on K.
- Centre frequency update:with k = 1...K.
- Lagrangian multiplier operators update:with c = 1...C.
- Repeat 3–5 until convergence.
3. Materials and Methods
3.1. Study Site and Data
3.2. Development of the Proposed Predictive Model
3.2.1. Data Pre-Processing
Missing Values
Multivariate Variational Mode Decomposition Method
3.2.2. Model Design Procedure
3.2.3. Hyperparameter Tuning
3.3. Model Performance Metrics
3.4. Explainability of Model Outcomes
4. Results and Discussion
4.1. Appraisal of Model Performance to Forecast One-Hour-Ahead Temperature
4.2. Appraisal of Model Performance to Forecast One-Day-Ahead Temperature
- For the 1-h forecast horizon: The proposed MVMD-BiLSTM model performed slightly better in terms of the training phase based on the value, whereas the MVMD-BiGRU model was the best based on all the other metrics. In the testing phase, however, the proposed MVMD-BiLSTM was the best model if we ignored the slightly larger value of r for the MVMD-BiGRU model.
- For the 1-d forecast horizon: There has been a larger variability in the training phase for this forecast horizon. For example, the proposed MVMD-BiLSTM model was better than other models based on r, , , whereas based on , the proposed MVMD-LSTM was superior based on the larger magnitude of , the MVMD-GRU was superior whereas based on , the MVMD-BiGRU was the best model. For the testing phase, however, the proposed MVMD-BiLSTM attained the best performance based on r, , , , , and .
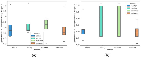
4.3. Explainability
4.4. Comparison to Air2Stream
4.5. Performance of the MVMD-BiLSTM Model in Other Locations
5. Conclusions and Future Work
Author Contributions
Funding
Data Availability Statement
Acknowledgments
Conflicts of Interest
References
- Joehnk, K.D.; Graham, K.; Sengupta, A.; Chen, Y.; Aryal, S.K.; Merrin, L.; Durr, P.A. The Role of Water Temperature Modelling in the Development of a Release Strategy for Cyprinid Herpesvirus 3 (CyHV-3) for Common Carp Control in Southeastern Australia. Water 2020, 12, 3217. [Google Scholar] [CrossRef]
- Simpson, H.; Cane, M.; Herczeg, A.; Zebiak, S.; Simpson, J. Annual river discharge in southeastern Australia related to El Nino? Southern Oscillation forecasts of sea surface temperatures. Water Resour. Res. 1993, 29, 3671–3680. [Google Scholar] [CrossRef]
- Kaushal, S.S.; Gold, A.J.; Mayer, P.M. Land Use, Climate, and Water Resources-Global Stages of Interaction. Water 2017, 9, 815. [Google Scholar] [CrossRef] [PubMed]
- Climate Change in Australia. Australian Climate Trends; CSIRO: Canberra, Australia, 2024.
- Australian Academy of Science. Investigation of the Causes of Mass Fish Kills in the Menindee Region NSW over the Summer of 2018–2019; Australian Academy of Science: Canberra, Australia, 2019. [Google Scholar]
- Murray-Darling Basin Authority. Climate Change and the Murray-Darling Basin Plan; Murray-Darling Basin Authority: Canberra, Australia, 2019.
- Murray-Darling Basin Authority. Response Fish Death Events Recommended Action Plan; Murray-Darling Basin Authority: Canberra, Australia, 2019.
- Vertessy, R.; Barma, D.; Baumgartner, L.; Mitrovic, S.; Sheldon, F.; Bond, N. Independent Assessment of the 2018–19 Fish Deaths in the Lower Darling; Australian Government: Canberra, Australia, 2019.
- Ellis, I.; Meredith, S. An Independent Review of the February 2004 Lower Darling River Fish Deaths: Guidelines for Future Release Effects on Lower Darling River Fish Populations; La Trobe: Victoria, Australia, 2004. [Google Scholar]
- Scholz, O.; Gawne, B.; Ebner, B.; Ellis, L.; Betts, F.; Meredith, S. The Impact of Drying on the Ecology of the Menindee Lakes; La Trobe: Victoria, Australia, 1999. [Google Scholar]
- Caissie, D. The thermal regime of rivers: A review. Freshw. Biol. 2006, 51, 1389–1406. [Google Scholar] [CrossRef]
- Dugdale, S.J.; Hannah, D.M.; Malcolm, I.A. River temperature modelling: A review of process-based approaches and future directions. Earth-Sci. Rev. 2017, 175, 97–113. [Google Scholar] [CrossRef]
- Zhu, S.; Piotrowski, A.P. River/stream water temperature forecasting using artificial intelligence models: A systematic review. Acta Geophys. 2020, 68, 1433–1442. [Google Scholar] [CrossRef]
- Webb, B.W.; Hannah, D.M.; Moore, R.D.; Brown, L.E.; Nobilis, F. Recent advances in stream and river temperature research. Hydrol. Process. 2008, 22, 902–918. [Google Scholar] [CrossRef]
- Cole, T.; Buchack, E. CE-QUAL-W2, a Two Dimensional, Laterally Averaged Hydrodynamic and Water Quality Model; US Army Engineer Waterways Experiment Station: Vicksburg, MS, USA, 1995; Version 2. [Google Scholar]
- King, I.P. RMA-11—A Three Dimensional Finite Element Model for Water Quality in Estuaries and Streams; Resource Modelling Associates: Sydney, Australia, 2003. [Google Scholar]
- Wool, T.; Ambrose, R.; Martin, J. WASP7 Temperature and Fecal Coliform Model Theory and User’s Guide; US Environmental Protection Agency, EPA: Washington, DC, USA, 2008; Volume 600.
- Boyd, M.; Kasper, B. Analytical Methods for Dynamic Open Channel Heat and Mass Transfer: Methodology for Heat Source Model; Version 7.0; Watershed Sciences Inc.: Portland, OR, USA, 2003. Available online: https://www.oregon.gov/deq/FilterDocs/heatsourcemanual.pdf (accessed on 12 December 2024).
- Toffolon, M.; Piccolroaz, S. A hybrid model for river water temperature as a function of air temperature and discharge. Environ. Res. Lett. 2015, 10, 114011. [Google Scholar] [CrossRef]
- Staples, K.; Richardson, S.; Neville, P.J.; Oosthuizen, J. An Improved Shallow Water Temperature Model for An Australian Tidal Wetland Environment Using Publicly Available Data. Water 2023, 15, 2221. [Google Scholar] [CrossRef]
- Hong, Y.S.T. Dynamic nonlinear state-space model with a neural network via improved sequential learning algorithm for an online real-time hydrological modeling. J. Hydrol. 2012, 468, 11–21. [Google Scholar] [CrossRef]
- Hebert, C.; Caissie, D.; Satish, M.G.; El-Jabi, N. Modeling of hourly river water temperatures using artificial neural networks. Water Qual. Res. J. Can. 2014, 49, 144–162. [Google Scholar] [CrossRef][Green Version]
- Piotrowski, A.P.; Osuch, M.; Napiorkowski, M.J.; Rowinski, P.M.; Napiorkowski, J.J. Comparing large number of metaheuristics for artificial neural networks training to predict water temperature in a natural river. Comput. Geosci. 2014, 64, 136–151. [Google Scholar] [CrossRef]
- Zhu, S.; Nyarko, E.K.; Hadzima-Nyarko, M. Modelling daily water temperature from air temperature for the Missouri River. PeerJ 2018, 6, e4894. [Google Scholar] [CrossRef] [PubMed]
- Temizyurek, M.; Dadaser-Celik, F. Modelling the effects of meteorological parameters on water temperature using artificial neural networks. Water Sci. Technol. 2018, 77, 1724–1733. [Google Scholar] [CrossRef]
- Jang, J.S.R. ANFIS: Adaptive-network-based fuzzy inference system. IEEE Trans. Syst. Man Cybern. 1993, 23, 665–685. [Google Scholar] [CrossRef]
- Zhu, S.; Heddam, S.; Nyarko, E.K.; Hadzima-Nyarko, M.; Piccolroaz, S.; Wu, S. Modeling daily water temperature for rivers: Comparison between adaptive neuro-fuzzy inference systems and artificial neural networks models. Environ. Sci. Pollut. Res. 2019, 26, 402–420. [Google Scholar] [CrossRef] [PubMed]
- Williams, C.K.; Rasmussen, C.E. Gaussian Processes for Machine Learning; MIT Press: Cambridge, MA, USA, 2006; Volume 2. [Google Scholar]
- Grbić, R.; Kurtagić, D.; Slišković, D. Stream water temperature prediction based on Gaussian process regression. Expert Syst. Appl. 2013, 40, 7407–7414. [Google Scholar] [CrossRef]
- Zhu, S.; Heddam, S.; Wu, S.; Dai, J.; Jia, B.; Dai, J.; Jia, B. Extreme learning machine-based prediction of daily water temperature for rivers. Environ. Earth Sci. 2019, 78, 202. [Google Scholar] [CrossRef]
- Rehana, S. River water temperature modelling under climate change using support vector regression. In Hydrology in a Changing World: Challenges in Modeling; Springer: Gewerbestrasse/Cham, Switzerland, 2019; pp. 171–183. [Google Scholar]
- Lu, H.; Ma, X. Hybrid decision tree-based machine learning models for short-term water quality prediction. Chemosphere 2020, 249, 126169. [Google Scholar] [CrossRef]
- Heddam, S.; Ptak, M.; Sojka, M.; Kim, S.; Malik, A.; Kisi, O.; Zounemat-Kermani, M. Least square support vector machine-based variational mode decomposition: A new hybrid model for daily river water temperature modeling. Environ. Sci. Pollut. Res. Int. 2022, 29, 71555–71582. [Google Scholar] [CrossRef] [PubMed]
- Qiu, R.; Wang, Y.; Rhoads, B.; Wang, D.; Qiu, W.; Tao, Y.; Wu, J. River water temperature forecasting using a deep learning method. J. Hydrol. 2021, 595, 126016. [Google Scholar] [CrossRef]
- Wu, J.; Wang, Z. A Hybrid Model for Water Quality Prediction Based on an Artificial Neural Network, Wavelet Transform, and Long Short-Term Memory. Water 2022, 14, 610. [Google Scholar] [CrossRef]
- Hochreiter, S.; Schmidhuber, J. Long short-term memory. Neural Comput. 1997, 9, 1735–1780. [Google Scholar] [CrossRef]
- Schuster, M.; Paliwal, K.K. Bidirectional recurrent neural networks. IEEE Trans. Signal Process. 1997, 45, 2673–2681. [Google Scholar] [CrossRef]
- Siami-Namini, S.; Tavakoli, N.; Namin, A.S. The performance of LSTM and BiLSTM in forecasting time series. In Proceedings of the 2019 IEEE International Conference on Big Data (Big Data), Los Angeles, CA, USA, 9–12 December 2019. [Google Scholar]
- Ali, M.; Prasad, R.; Jamei, M.; Malik, A.; Xiang, Y.; Abdulla, S.; Deo, R.C.; Farooque, A.A.; Labban, A.H. Short-term wave power forecasting with hybrid multivariate variational mode decomposition model integrated with cascaded feedforward neural networks. Renew. Energy 2024, 221, 119773. [Google Scholar] [CrossRef]
- Cho, K.; Van Merriënboer, B.; Bahdanau, D.; Bengio, Y. On the properties of neural machine translation: Encoder-decoder approaches. arXiv 2014, arXiv:1409.1259. [Google Scholar]
- Chung, J.; Gulcehre, C.; Cho, K.; Bengio, Y. Empirical Evaluation of Gated Recurrent Neural Networks on Sequence Modeling. arXiv 2014, arXiv:1412.3555. [Google Scholar]
- Xiong, C.; Merity, S.; Socher, R. Dynamic memory networks for visual and textual question answering. In Proceedings of the International Conference on Machine Learning, New York, NY, USA, 19–24 June 2016. [Google Scholar]
- Piccolroaz, S.; Calamita, E.; Majone, B.; Gallice, A.; Siviglia, A.; Toffolon, M. Prediction of river water temperature: A comparison between a new family of hybrid models and statistical approaches. Hydrol. Process. 2016, 30, 3901–3917. [Google Scholar] [CrossRef]
- Rehman, N.U.; Aftab, H. Multivariate Variational Mode Decomposition. IEEE Trans. Signal Process. 2019, 67, 6039–6052. [Google Scholar] [CrossRef]
- Bowling, L.; Baldwin, D.; Merrick, C.; Brayan, J.; Panther, J. Possible drivers of a Chrysosporum ovalisporum bloom in the Murray River, Australia, in 2016. Mar. Freshw. Res. 2018, 69, 1649–1662. [Google Scholar] [CrossRef]
- Bureau of Meteorology. Climate Data Online; Bureau of Meteorology: Sydney, NSW, Australia, 2024.
- WaterNSW. Continuous Water Monitoring Network; WaterNSW: Parramatta, NSW, Australia, 2024. [Google Scholar]
- Jeffrey, S.J.; Carter, J.O.; Moodie, K.B.; Beswick, A.R. Using spatial interpolation to construct a comprehensive archive of Australian climate data. Environ. Model. Softw. 2001, 16, 309–330. [Google Scholar] [CrossRef]
- Meteoblue, A.G. Weather Simulation Data; University of Basel: Basel, Switzerland, 2024. [Google Scholar]
- Abadi, M.; Barham, P.; Chen, J.; Chen, Z.; Davis, A.; Dean, J.; Devin, M.; Ghemawat, S.; Irving, G.; Isard, M.; et al. TensorFlow: A system for Large-Scale machine learning. In Proceedings of the 12th USENIX Symposium on Operating Systems Design and Implementation (OSDI 16), Savannah, GA, USA, 2–4 November 2016. [Google Scholar]
- Ketkar, N. Introduction to Keras. In Deep Learning with Python: A Hands-On Introduction; Apress: New York, NY, USA, 2017; pp. 97–111. [Google Scholar] [CrossRef]
- Li, C.; Il, E. Little’s test of missing completely at random. Stata J. 2013, 13, 795–809. [Google Scholar] [CrossRef]
- Enders, C.K. Applied Missing Data Analysis; Guilford Publications: New York, NY, USA, 2022. [Google Scholar]
- Muzellec, B.; Josse, J.; Boyer, C.; Cuturi, M. Missing data imputation using optimal transport. In Proceedings of the International Conference on Machine Learning, Online, 12–18 July 2020. [Google Scholar]
- Legates, D.R.; McCabe, G.J., Jr. Evaluating the use of “goodness-of-fit” measures in hydrologic and hydroclimatic model validation. Water Resour. Res. 1999, 35, 233–241. [Google Scholar] [CrossRef]
- Ribeiro, M.T.; Singh, S.; Guestrin, C. Why should i trust you? Explaining the predictions of any classifier. In Proceedings of the 22nd ACM SIGKDD International Conference on Knowledge Discovery and Data Mining, San Francisco, CA, USA, 13–17 August 2016. [Google Scholar]
- Garreau, D.; von Luxburg, U. Looking deeper into tabular LIME. arXiv 2020, arXiv:2008.11092. [Google Scholar]
- Lewis, C.D. Industrial and Business Forecasting Methods: A Practical Guide to Exponential Smoothing and Curve Fitting; Butterworth Scientific: Oxford, UK, 1982. [Google Scholar]
- Deo, R.C.; Wen, X.; Qi, F. A wavelet-coupled support vector machine model for forecasting global incident solar radiation using limited meteorological dataset. Appl. Energy 2016, 168, 568–593. [Google Scholar] [CrossRef]
- Ghorbani, A.; Abid, A.; Zou, J. Interpretation of neural networks is fragile. In Proceedings of the AAAI Conference on Artificial Intelligence, Honolulu, HI, USA, 27 January–1 February 2019. [Google Scholar]
- An, J.; Zhang, Y.; Joe, I. Specific-Input LIME Explanations for Tabular Data Based on Deep Learning Models. Appl. Sci. 2023, 13, 8782. [Google Scholar] [CrossRef]
- Holzinger, A. The Next Frontier: AI We Can Really Trust. In Machine Learning and Principles and Practice of Knowledge Discovery in Databases; Springer Nature: Gewerbestrasse/Cham, Switzerland, 2021; pp. 427–440. [Google Scholar] [CrossRef]
- Holzinger, A.; Dehmer, M.; Emmert-Streib, F.; Cucchiara, R.; Augenstein, I.; Ser, J.D.; Samek, W.; Jurisica, I.; Díaz-Rodríguez, N. Information fusion as an integrative cross-cutting enabler to achieve robust, explainable, and trustworthy medical artificial intelligence. Inf. Fusion 2022, 79, 263–278. [Google Scholar] [CrossRef]
- My, L.; Di Bacco, M.; Scorzini, A.R. On the use of gridded data products for trend assessment and aridity classification in a Mediterranean context: The case of the Apulia Region. Water 2022, 14, 2203. [Google Scholar] [CrossRef]
- Schumacher, V.; Justino, F.; Fernández, A.; Meseguer Ruiz, O.; Sarricolea, P.; Comin, A.; Peroni Venancio, L.; Althoff, D. Comparison between observations and gridded data sets over complex terrain in the Chilean Andes: Precipitation and temperature. Int. J. Climatol. 2020, 40, 5266–5288. [Google Scholar] [CrossRef]










| Predictor Variable | Weir 32 Lat: 32.44° S Lon: 142.38° E | Pooncarie Lat: 33.39° S Long: 142.57° E | Burtundy Lat: 33.75° S Long: 142.27° E |
|---|---|---|---|
| Mean WT Minimum WT Maximum WT STD WT | 19.288 9.688 32.621 5.663 | 20.435 8.063 36.966 7.103 | 18.814 8.092 32.192 5.746 |
| Mean AT Minimum AT Maximum AT STD AT | 20.225 5.600 42.174 7.437 | 19.142 5.419 40.217 7.184 | 18.928 4.947 40.113 7.107 |
| Mean RH Minimum RH Maximum RH STD RH | 43.078 6.375 93.458 16.418 | 47.044 6.833 92.792 16.612 | 47.900 6.875 92.667 16.522 |
| Mean SR Minimum SR Maximum SR STD SR | 18.418 2.950 34.325 7.370 | 17.993 2.850 33.175 7.559 | 17.993 2.850 33.175 7.559 |
| Mean EVA Minimum EVA Maximum EVA STD EVA | 4.122 0.525 9.575 2.271 | 3.970 0.500 9.250 2.274 | 3.970 0.500 9.250 2.274 |
| 1-h Model Input Features | 1-d Model Input Features |
|---|---|
| AT (°C) | AT (°C) |
| SR (MJ/m2) | SR (MJ/m2) |
| RH (%) | Minimum Air Temperature MNT (°C) |
| Evaporation–Morton’s shallow lake evaporation EVA (mm) |
| Site | Forecast Model | Time Horizon | Data Used | Train/Test (%) | Model Parameters |
|---|---|---|---|---|---|
| Weir 32 | MVMD-BiLSTM | 1-h | Train: 1 January 2012 –6 April 2021 Test: 7 April 2021– 31 July 2023 | Train 80% Test 20% | Layers = 2 Learning rate = 0.00975705 Neurons = 32 Epochs = 50 Batch_size = 512 Dropout = 0.1 Loss function = MSE Optimizer = Adam SGD |
| Weir 32 | MVMD-BiLSTM | 1-d | Train: 1 January 2012 –6 April 2021 Test: 7 April 2021– 31 July 2023 | Train 80% Test 20% | Layers = 2 Learning rate = 0.0095 Neurons = 32 Epochs = 250 Batch_size = 256 Dropout = 0.1 Loss function = MSE Optimizer = Adam SGD |
| Forecast Model | r | |||||||
|---|---|---|---|---|---|---|---|---|
| MVMD-BiGRU | 0.953 | 1.714 | 1.365 | 0.862 | 0.909 | 0.730 | 9.840 | 7.500 |
| MVMD-BiLSTM | 0.953 | 1.717 | 1.344 | 0.862 | 0.908 | 0.730 | 9.850 | 7.500 |
| MVMD-GRU | 0.951 | 1.758 | 1.370 | 0.857 | 0.904 | 0.723 | 10.230 | 7.770 |
| MVMD-LSTM | 0.950 | 1.781 | 1.366 | 0.854 | 0.901 | 0.717 | 10.500 | 8.000 |
| BiGRU | 0.917 | 2.277 | 1.784 | 0.812 | 0.839 | 0.644 | 13.690 | 10.120 |
| BiLSTM | 0.915 | 2.290 | 1.784 | 0.813 | 0.837 | 0.642 | 13.880 | 10.240 |
| GRU | 0.908 | 2.376 | 1.796 | 0.803 | 0.825 | 0.627 | 14.420 | 10.650 |
| LSTM | 0.907 | 2.388 | 1.791 | 0.801 | 0.823 | 0.625 | 14.510 | 10.740 |
| Forecast Model | r | |||||||
|---|---|---|---|---|---|---|---|---|
| MVMD-BiLSTM | 0.955 | 1.690 | 1.347 | 0.860 | 0.907 | 0.724 | 9.700 | 7.600 |
| MVMD-BiGRU | 0.955 | 1.702 | 1.365 | 0.859 | 0.906 | 0.723 | 9.800 | 7.600 |
| MVMD-GRU | 0.954 | 1.714 | 1.370 | 0.857 | 0.904 | 0.720 | 9.900 | 7.700 |
| MVMD-LSTM | 0.952 | 1.742 | 1.365 | 0.852 | 0.901 | 0.713 | 10.200 | 8.000 |
| GRU | 0.879 | 2.711 | 2.190 | 0.753 | 0.761 | 0.549 | 18.600 | 13.600 |
| BiLSTM | 0.877 | 2.722 | 2.187 | 0.753 | 0.759 | 0.547 | 18.600 | 13.700 |
| BiGRU | 0.878 | 2.708 | 2.187 | 0.751 | 0.761 | 0.547 | 18.400 | 13.600 |
| LSTM | 0.875 | 2.751 | 2.194 | 0.748 | 0.754 | 0.542 | 18.900 | 13.900 |
| Forecast Model | r | |||||||
|---|---|---|---|---|---|---|---|---|
| MVMD-BiLSTM | 0.984 | 1.101 | 0.862 | 0.910 | 0.962 | 0.827 | 6.340 | 4.900 |
| MVMD-LSTM | 0.981 | 1.110 | 0.861 | 0.915 | 0.962 | 0.834 | 5.620 | 4.380 |
| MVMD-GRU | 0.980 | 1.131 | 0.841 | 0.916 | 0.960 | 0.832 | 5.660 | 4.360 |
| MVMD-BiGRU | 0.982 | 1.196 | 0.867 | 0.903 | 0.956 | 0.811 | 7.130 | 5.440 |
| GRU | 0.974 | 1.316 | 1.073 | 0.893 | 0.946 | 0.792 | 7.400 | 5.740 |
| BiLSTM | 0.975 | 1.335 | 1.076 | 0.891 | 0.945 | 0.788 | 7.100 | 5.690 |
| BiGRU | 0.976 | 1.369 | 1.088 | 0.887 | 0.942 | 0.783 | 7.000 | 5.670 |
| LSTM | 0.971 | 1.375 | 1.082 | 0.888 | 0.941 | 0.781 | 8.030 | 6.170 |
| Forecast Model | r | |||||||
|---|---|---|---|---|---|---|---|---|
| MVMD-BiLSTM | 0.984 | 1.039 | 0.856 | 0.917 | 0.965 | 0.839 | 5.840 | 4.400 |
| MVMD-LSTM | 0.984 | 1.091 | 0.859 | 0.913 | 0.961 | 0.831 | 5.800 | 4.490 |
| MVMD-GRU | 0.984 | 1.136 | 0.817 | 0.910 | 0.958 | 0.826 | 5.850 | 4.580 |
| MVMD-BiGRU | 0.984 | 1.187 | 0.822 | 0.904 | 0.954 | 0.818 | 6.330 | 4.830 |
| GRU | 0.970 | 1.404 | 1.194 | 0.878 | 0.936 | 0.767 | 8.240 | 6.410 |
| LSTM | 0.970 | 1.421 | 1.218 | 0.876 | 0.934 | 0.763 | 8.480 | 6.620 |
| BiLSTM | 0.966 | 1.522 | 1.256 | 0.870 | 0.924 | 0.749 | 8.710 | 6.790 |
| BiGRU | 0.964 | 1.649 | 1.304 | 0.858 | 0.911 | 0.730 | 9.050 | 7.150 |
| Model and Forecast Horizon | r | |||||||
|---|---|---|---|---|---|---|---|---|
| Hourly Horizon | ||||||||
| MVMD-BiLSTM: 1-h | 0.980 | 1.369 | 1.190 | 0.868 | 0.939 | 0.753 | 9.400 | 7.400 |
| MVMD-BiLSTM: 6-h | 0.979 | 1.803 | 1.566 | 0.819 | 0.894 | 0.676 | 11.100 | 9.100 |
| MVMD-BiLSTM: 12-h | 0.988 | 1.920 | 1.609 | 0.812 | 0.880 | 0.667 | 9.900 | 8.600 |
| MVMD-BiLSTM: 24-h | 0.985 | 2.232 | 1.789 | 0.788 | 0.838 | 0.629 | 10.400 | 9.100 |
| Daily Horizon | ||||||||
| MVDM-BiLSTM: 1-d | 0.986 | 1.046 | 0.820 | 0.917 | 0.965 | 0.831 | 5.800 | 4.600 |
| MVDM-BiLSTM: 3-d | 0.985 | 1.994 | 1.639 | 0.851 | 0.872 | 0.663 | 14.700 | 11.000 |
| MVDM-BiLSTM: 5-d | 0.982 | 2.194 | 1.764 | 0.838 | 0.844 | 0.637 | 16.400 | 12.000 |
| MVDM-BiLSTM: 7-d | 0.974 | 2.826 | 2.308 | 0.788 | 0.741 | 0.525 | 20.900 | 15.400 |
| Model and Study Site | r | |||||||
|---|---|---|---|---|---|---|---|---|
| MVMD-BiLSTM|Menindee | 0.984 | 1.039 | 0.856 | 0.917 | 0.965 | 0.839 | 5.840 | 4.400 |
| Air2stream-5|Menindee | 0.963 | 1.511 | 1.002 | 0.876 | 0.926 | 0.753 | 8.230 | 6.610 |
| MVMD-BiLSTM|Pooncarie | 0.983 | 1.369 | 1.017 | 0.913 | 0.962 | 0.833 | 8.390 | 5.890 |
| Air2stream-5|Pooncarie | 0.966 | 2.423 | 1.463 | 0.826 | 0.879 | 0.686 | 12.430 | 10.120 |
| MVMD-BiLSTM|Burtundy | 0.982 | 1.274 | 0.953 | 0.902 | 0.952 | 0.812 | 7.880 | 5.780 |
| Air2stream-5|Burtundy | 0.968 | 1.749 | 1.973 | 0.865 | 0.910 | 0.729 | 11.320 | 8.750 |
Disclaimer/Publisher’s Note: The statements, opinions and data contained in all publications are solely those of the individual author(s) and contributor(s) and not of MDPI and/or the editor(s). MDPI and/or the editor(s) disclaim responsibility for any injury to people or property resulting from any ideas, methods, instructions or products referred to in the content. |
© 2024 by the authors. Licensee MDPI, Basel, Switzerland. This article is an open access article distributed under the terms and conditions of the Creative Commons Attribution (CC BY) license (https://creativecommons.org/licenses/by/4.0/).
Share and Cite
Briceno Medina, L.; Joehnk, K.; Deo, R.C.; Ali, M.; Prasad, S.S.; Downs, N. Forecasting River Water Temperature Using Explainable Artificial Intelligence and Hybrid Machine Learning: Case Studies in Menindee Region in Australia. Water 2024, 16, 3720. https://doi.org/10.3390/w16243720
Briceno Medina L, Joehnk K, Deo RC, Ali M, Prasad SS, Downs N. Forecasting River Water Temperature Using Explainable Artificial Intelligence and Hybrid Machine Learning: Case Studies in Menindee Region in Australia. Water. 2024; 16(24):3720. https://doi.org/10.3390/w16243720
Chicago/Turabian StyleBriceno Medina, Leyde, Klaus Joehnk, Ravinesh C. Deo, Mumtaz Ali, Salvin S. Prasad, and Nathan Downs. 2024. "Forecasting River Water Temperature Using Explainable Artificial Intelligence and Hybrid Machine Learning: Case Studies in Menindee Region in Australia" Water 16, no. 24: 3720. https://doi.org/10.3390/w16243720
APA StyleBriceno Medina, L., Joehnk, K., Deo, R. C., Ali, M., Prasad, S. S., & Downs, N. (2024). Forecasting River Water Temperature Using Explainable Artificial Intelligence and Hybrid Machine Learning: Case Studies in Menindee Region in Australia. Water, 16(24), 3720. https://doi.org/10.3390/w16243720

