An Investigation of Silty Sediment Erodibility Considering the Effects of Upward Seepage and Slope Gradient
Abstract
1. Introduction
2. Methods and Materials
2.1. Experimental Setup
2.2. Test Sediments
2.3. Experimental Procedure
- (1)
- The silty sediments were mixed with water at a mass ratio of 1:3.5 to create a homogeneous slurry, which was slowly poured into the soil tank until it slightly exceeded the top. A micropore water pressure transducer was positioned at the top of the gravel layer.
- (2)
- The sediment sample consolidated under its own weight, monitored by a pore pressure sensor. A thin layer of water was maintained on the sediment surface to prevent evaporation during consolidation. After consolidation, the experiment proceeded to the next phase.
- (3)
- Upward seepage was generated within the sediments by applying a differential waterhead, which remained constant throughout each test. Once the seepage flow stabilized, the scouring stage commenced.
- (4)
- The flow rate of the submersible pump was adjusted to create different flow velocities, gradually increasing the rate to scour the sediment bed. Once the suspended sediment concentration stabilized at each flow velocity level, the flow velocity was increased to the next stage. Throughout the experiments, parameters such as flow velocity, water depth, and suspended sediment concentration were recorded, and the experimental phenomena were documented with photographs.
3. Results and Discussion
3.1. Incipient Movement of Silt Particles with the Effect of Upward Seepage and Slope Gradient
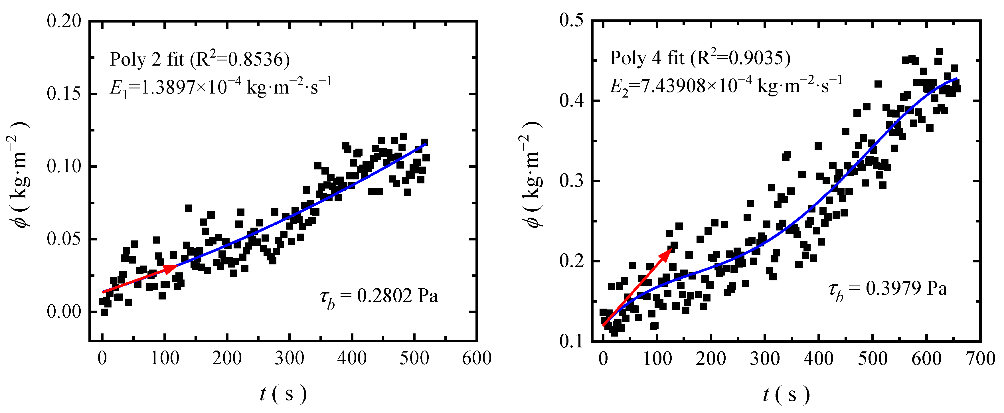
3.2. Erosion Rate of Silty Sediments Considering the Effect of Upward Seepage and Slope Gradient
3.3. Morphology of the Eroded Silty Sediment Bed and the Effect of Internal Erosion
4. Conclusions
- (1)
- An increase in the hydraulic gradient of upward seepage and the slope gradient reduces the critical Shields parameter. A linear relation exists between the critical shields parameter and the hydraulic gradient, where the critical Shields parameter approximately decreases at a rate of 0.01 for every 0.1 increase in seepage gradient (for gradients below 0.8), independent of the slope angle.
- (2)
- The erosion coefficient of silty sediments shows an exponential growth trend with increasing hydraulic gradient, and the average growth rate is amplified as the slope angle increases. For a flat bed, the erosion coefficient in the presence of upward seepage with a hydraulic gradient of 0.75 can be up to five times that without seepage.
- (3)
- Based on regression analysis of the experimental data, an empirical expression for the critical Shields parameter incorporating the effects of upward seepage and slope gradient was formulated. Comparative analysis showed that this empirical equation accurately captured the effects of seepage and slope gradient on the initiation of silt particle movement, although it deviated from previous theoretical results for cohesionless sediments, particularly at higher hydraulic gradients.
- (4)
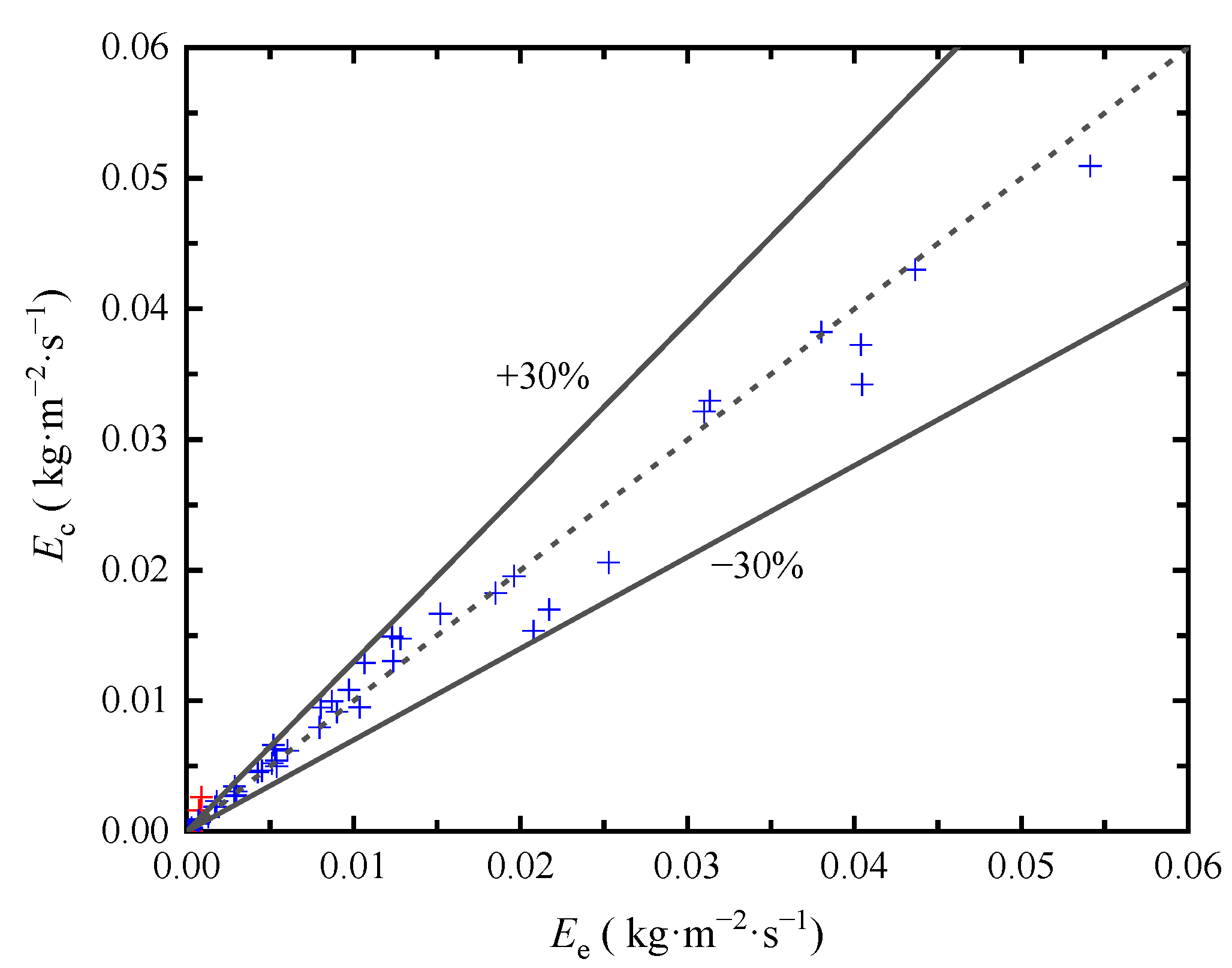
- An empirical formula for estimating the erosion rate of silty sediments was proposed through multiple regression analysis, accounting for the effects of upward seepage and slope gradient. Comparison between the calculated results and experimental data indicated that more than 90% of the experimental results fell within a confidence interval of ±30% relative error.
- (5)
- At the initial stage of the experiment, ripples formed on the silt bed surface as the amount of eroded sediment mass was minimal. However, these ripples gradually disappeared as the experiment progressed. By the end of the experiment, the sediment surface exhibited a complex bed morphology, characterized by small gullies and pits of varying shapes and sizes after the completion of the experiment. In the presence of upward-directed seepage at relatively high hydraulic gradients, a more uniform bed surface and deeper scours were observed. This was accompanied by the formation of small micro-mud volcanoes on the bed surface prior to the onset of erosion, while visible holes, corresponding to seepage channels, remained scattered across the surface throughout the scouring process. These features suggest that internal erosion plays a significant role in influencing the erosion process of silty sediments.
Author Contributions
Funding
Data Availability Statement
Conflicts of Interest
References
- Wang, H.; Yang, Z.; Saito, Y.; Liu, J.P.; Sun, X.; Wang, Y. Stepwise decreases of the Huanghe (Yellow River) sediment load (1950–2005): Impacts of climate change and human activities. Glob. Planet. Chang. 2007, 57, 331–354. [Google Scholar] [CrossRef]
- Yang, Z.; Ji, Y.; Bi, N.; Lei, K.; Wang, H. Sediment transport off the Huanghe (Yellow River) delta and in the adjacent Bohai Sea in winter and seasonal comparison. Estuar. Coast. Shelf Sci. 2011, 93, 173–181. [Google Scholar] [CrossRef]
- Zhu, C.; Liu, X.; Shan, H.; Zhang, H.; Shen, Z.; Zhang, B.; Jia, Y. Properties of suspended sediment concentrations in the Yellow River delta based on observation. Mar. Georesour. Geotechnol. 2018, 36, 139–149. [Google Scholar] [CrossRef]
- Liu, X.; Zhang, H.; Zheng, J.; Guo, L.; Jia, Y.; Bian, C.; Li, M.; Ma, L.; Zhang, S. Critical role of wave–seabed interactions in the extensive erosion of Yellow River estuarine sediments. Mar. Geol. 2020, 426, 106208. [Google Scholar] [CrossRef]
- Feng, X.; Wu, S.; Lin, L.; Liu, T.; Zhou, S. Offshore suspended sediment transport in Huanghe delta Chengdao marine area. Mar. Sci. 2003, 27, 66–70. [Google Scholar]
- Sanford, L.P.; Maa, J.P.Y. A unified erosion formulation for fine sediments. Mar. Geol. 2001, 179, 9–23. [Google Scholar] [CrossRef]
- Cheng, N.; Chiew, Y. Incipient sediment motion with upward seepage. J. Hydraul. Res. 1999, 37, 665–681. [Google Scholar] [CrossRef]
- Baldock, T.E.; Holmes, P. Seepage effects on sediment transport by waves and currents. In Proceedings of the 26th International Conference on Coastal Engineering, Copenhagen, Denmark, 22–26 June 1998; pp. 3601–3614. [Google Scholar]
- Dey, S.; Zanke, U.C. Sediment threshold with upward seepage. J. Eng. Mech. 2004, 130, 1118–1123. [Google Scholar] [CrossRef]
- Li, Y.; Ong, M.C.; Fuhrman, D.R. CFD investigations of scour beneath a submarine pipeline with the effect of upward seepage. Coast. Eng. 2020, 156, 103624. [Google Scholar] [CrossRef]
- Cheng, N.S.; Chiew, Y.M. Turbulent open-channel flow with upward seepage. J. Hydraul. Res. 1998, 36, 415–431. [Google Scholar] [CrossRef]
- Cao, Z.; Wang, Y.; Guo, Z.; Cai, Y. Study on the sediment initiation considering the seepage in the swash zone. Adv. Water Sci. 2019, 30, 568–580. [Google Scholar]
- Ramakrishna Rao, A.; Subrahmanyam, V.; Thayumanavan, S.; Namboodiripad, D. Seepage effects on sand-bed channels. J. Irrig. Drain. Eng. 1994, 120, 60–79. [Google Scholar] [CrossRef]
- Zheng, J.; Jia, Y.; Liu, X.; Shan, H.; Zhang, M. Experimental study of the variation of sediment erodibility under wave-loading conditions. Ocean Eng. 2013, 68, 14–26. [Google Scholar] [CrossRef]
- Zhang, S.; Jia, Y.; Zhang, Y.; Shan, H. Influence of seepage flows on the erodibility of fluidized silty sediments: Parameterization and mechanisms. J. Geophys. Res.-Oceans 2018, 123, 3307–3321. [Google Scholar] [CrossRef]
- Lu, Y.; Chiew, Y.M.; Cheng, N.S. Review of seepage effects on turbulent open-channel flow and sediment entrainment. J. Hydraul. Res. 2008, 46, 476–488. [Google Scholar] [CrossRef]
- Liu, X.X.; Chiew, Y.M. Effect of upward seepage on bedload transport rate. Water Sci. Eng. 2014, 7, 208–217. [Google Scholar]
- Sumer, B.M.; Kirca, V.S.; Fredsøe, J. Experimental validation of a mathematical model for seabed liquefaction under waves. Int. J. Offshore Polar 2012, 22, 133–141. [Google Scholar]
- Zheng, J.W. The Role of Seabed Dynamic Response in Sediment Resuspension Under Waves in Modern Yellow River Delta. Doctor Dissertation, Ocean University of China, Qingdao, China, 2013. (In Chinese). [Google Scholar]
- Tang, M.; Jia, Y.; Zhang, S.; Wang, C.; Liu, H. Impacts of consolidation time on the critical hydraulic gradient of newly deposited silty seabed in the Yellow River delta. J. Mar. Sci. Eng. 2021, 9, 270. [Google Scholar] [CrossRef]
- Lambrechts, J.; Humphrey, C.; McKinna, L.; Gourge, O.; Fabricius, K.E.; Mehta, A.J.; Lewis, S.; Wolanski, E. Importance of wave-induced bed liquefaction in the fine sediment budget of Cleveland Bay, Great Barrier Reef. Estuar. Coast. Shelf Sci. 2010, 89, 154–162. [Google Scholar] [CrossRef]
- Qian, N.; Wan, Z.H. Mechanics of Sediment Transport; Science Press: Beijing, China, 1991. (In Chinese) [Google Scholar]
- Wilcock, P.R. Critical shear stress of natural sediments. J. Hydraul. Eng. 1993, 119, 491–505. [Google Scholar] [CrossRef]
- Maa, J.P.; Sanford, L.; Halka, J.P. Sediment resuspension characteristics in Baltimore harbor, Maryland. Mar. Geol. 1998, 146, 137–145. [Google Scholar] [CrossRef]
- Partheniades, E. Erosion and deposition of cohesive soils. J. Hydraul. Div. 1965, 91, 105–139. [Google Scholar] [CrossRef]
- He, N.; Yang, L.; Xu, L.; Zhao, W. Experimental study on the scouring rate of cohesive soil in the lower Yellow River. Coatings 2022, 12, 418. [Google Scholar] [CrossRef]
- Yang, Z.; Zhu, Y.; Liu, T.; Sun, Z.; Ling, X.; Yang, J. Pumping effect of wave-induced pore pressure on the development of fluid mud layer. Ocean Eng. 2019, 189, 106391. [Google Scholar] [CrossRef]














Disclaimer/Publisher’s Note: The statements, opinions and data contained in all publications are solely those of the individual author(s) and contributor(s) and not of MDPI and/or the editor(s). MDPI and/or the editor(s) disclaim responsibility for any injury to people or property resulting from any ideas, methods, instructions or products referred to in the content. |
© 2024 by the authors. Licensee MDPI, Basel, Switzerland. This article is an open access article distributed under the terms and conditions of the Creative Commons Attribution (CC BY) license (https://creativecommons.org/licenses/by/4.0/).
Share and Cite
Liu, X.; Wang, X.; Liu, Y.; Han, S.; Zhao, H. An Investigation of Silty Sediment Erodibility Considering the Effects of Upward Seepage and Slope Gradient. Water 2024, 16, 3462. https://doi.org/10.3390/w16233462
Liu X, Wang X, Liu Y, Han S, Zhao H. An Investigation of Silty Sediment Erodibility Considering the Effects of Upward Seepage and Slope Gradient. Water. 2024; 16(23):3462. https://doi.org/10.3390/w16233462
Chicago/Turabian StyleLiu, Xiaoli, Xiaobei Wang, Yushuang Liu, Shuang Han, and Hongyi Zhao. 2024. "An Investigation of Silty Sediment Erodibility Considering the Effects of Upward Seepage and Slope Gradient" Water 16, no. 23: 3462. https://doi.org/10.3390/w16233462
APA StyleLiu, X., Wang, X., Liu, Y., Han, S., & Zhao, H. (2024). An Investigation of Silty Sediment Erodibility Considering the Effects of Upward Seepage and Slope Gradient. Water, 16(23), 3462. https://doi.org/10.3390/w16233462
