Network Analysis of Water Contamination Discourse on Social Media Platforms
Abstract
1. Introduction
2. Social Media and Water Contamination Issues
Water Contamination and Challenges
- RQ1: Who are the most influential users in the relational network surrounding water contamination on social media?
- RQ2: How has the configuration of the relational network evolved over time?
3. Materials and Methods
Analysis
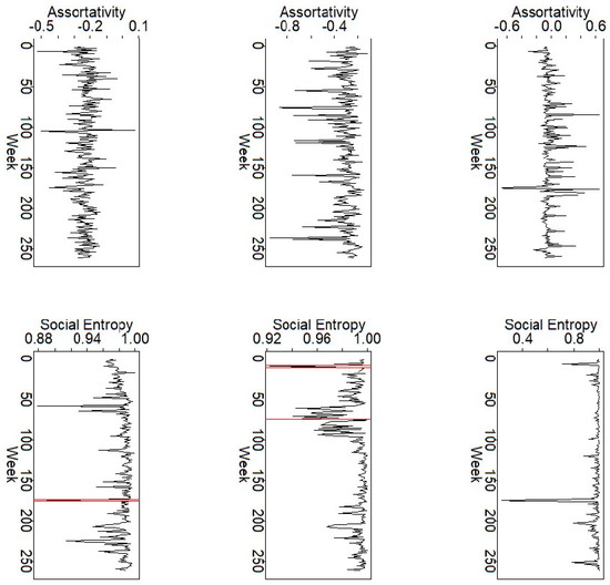
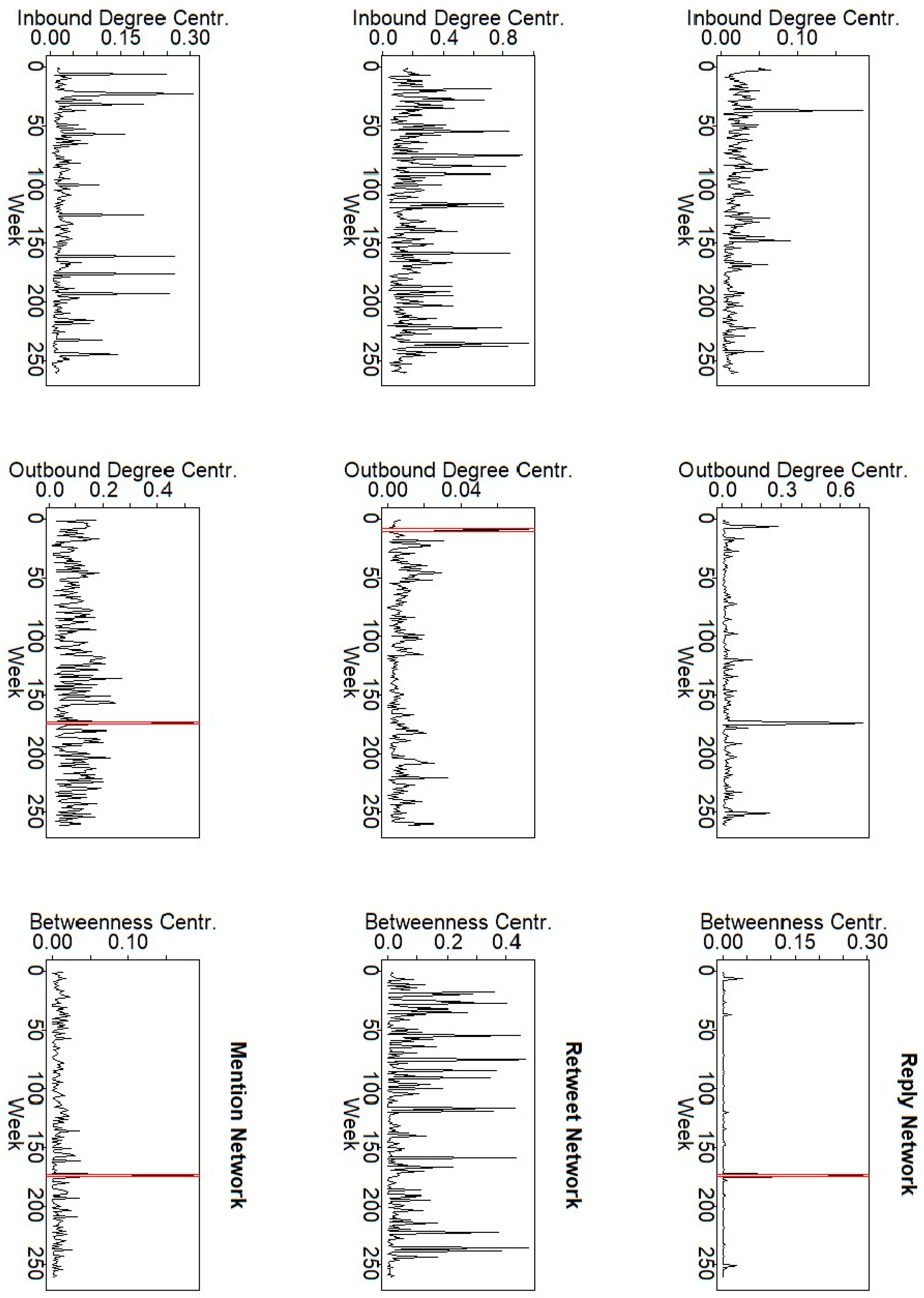
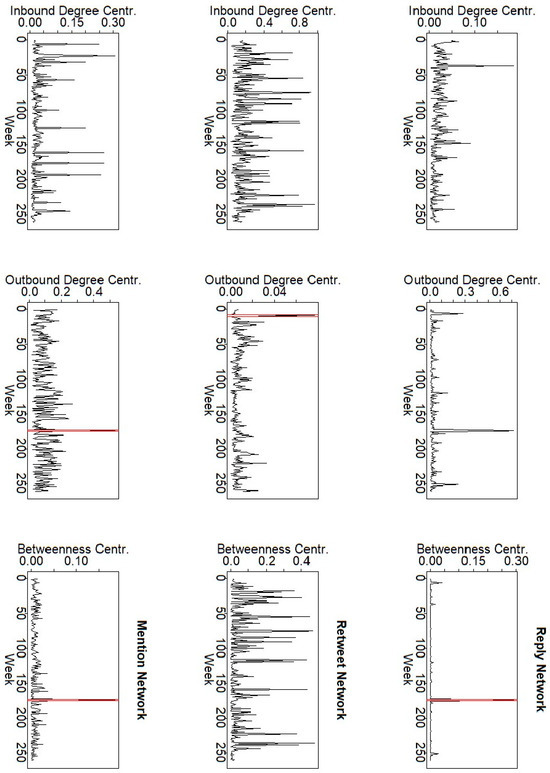
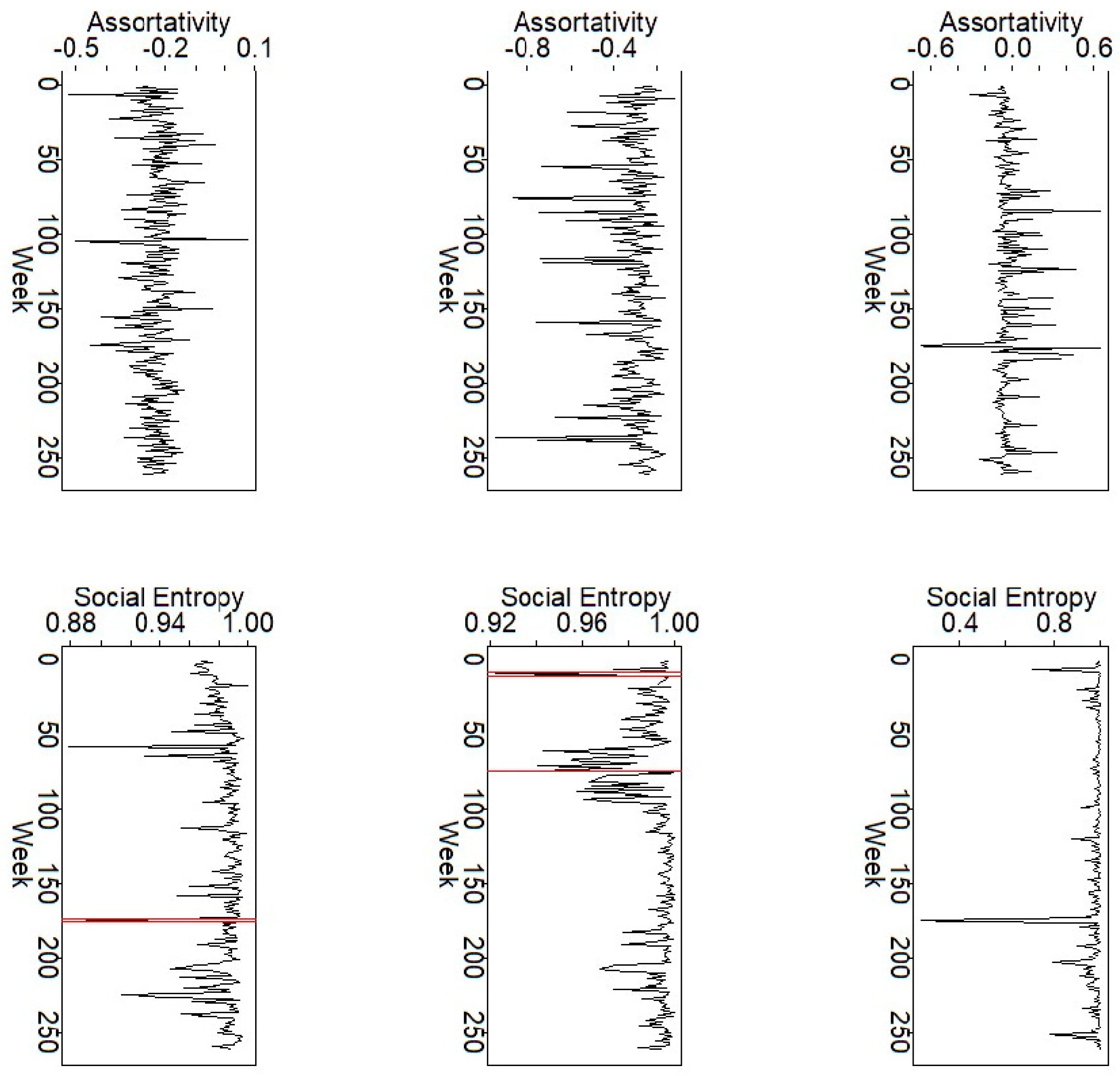
4. Results
4.1. RQ1: Who Are the Most Influential Users in the Relational Network Surrounding Water Contamination on Social Media?
4.2. RQ2: How Has the Configuration of the Relational Network Evolved over Time?
5. Discussion
Limitations and Future Research
Author Contributions
Funding
Data Availability Statement
Acknowledgments
Conflicts of Interest
References
- World Health Organization. Drinking-Water. 13 September 2023. Available online: https://www.who.int/news-room/fact-sheets/detail/drinking-water#:~:text=In%202022%2C%20globally%2C%20at%20least,risk%20to%20drinking%2Dwater%20safety (accessed on 20 April 2024).
- Hyman, A.; Arlikatti, S.; Huang, S.-K.; Lindell, M.K.; Mumpower, J.; Prater, C.S.; Wu, H.-C. How do perceptions of risk communicator attributes affect emergency response? An examination of a water contamination emergency in Boston, USA. Water Resour. Res. 2022, 58, e2021WR030669. [Google Scholar] [CrossRef]
- Turner SW, D.; Rice, J.S.; Nelson, K.D.; Vernon, C.R.; McManamay, R.; Dickson, K.; Marston, L. Comparison of potential drinking water source contamination across one hundred U.S. cities. Nat. Commun. 2021, 12, 7254. [Google Scholar] [CrossRef] [PubMed]
- Fischhoff, B.; Davis, A.L. Communicating scientific uncertainty. Proc. Natl. Acad. Sci. USA 2014, 111, 13664–13671. [Google Scholar] [CrossRef] [PubMed]
- Rutsaert, P.; Regan, A.; Pieniak, Z.; McConnon, A.; Moss, A.; Wall, P.; Verbeke, W. The use of social media in food risk and benefit communication. Trends Food Sci. Technol. 2013, 30, 84–91. [Google Scholar] [CrossRef]
- Scherer, C.W.; Cho, H. A social network contagion theory of risk perception. Risk Anal. 2003, 23, 261–267. [Google Scholar] [CrossRef]
- Mix, N.; George, A.; Haas, A. Social media monitoring for water quality surveillance and response systems. AWWA Water Sci. 2020, 112, 44–55. [Google Scholar] [CrossRef]
- Yuan, Q.; Gasco, M. Citizens’ use of microblogging during emergency: A case study of water contamination in Shanghai. In Proceedings of the Association of Computer Machinery DGO ’17, Edinburgh, UK, 10–14 June 2017. [Google Scholar] [CrossRef]
- Hovick, S.R.; Bigsby, E.; Wilson, S.R.; Thomas, S. Information seeking behaviors and intentions in response to environmental health risk messages: A test of a reduced risk information seeking model. Health 2021, 36, 1889–1897. [Google Scholar] [CrossRef]
- Pew Research Center. Social Media FACT Sheet. Pew Research Center: Internet, Science & Tech. 7 April 2021. Available online: https://www.pewresearch.org/internet/fact-sheet/social-media/ (accessed on 20 April 2024).
- Rains, S.A. Big data, computational social science, and health communication: A review and agenda for advancing theory. Health Commun. 2020, 35, 26–34. [Google Scholar] [CrossRef]
- Britt, B.C. The evolution of discourse in online communities devoted to a pandemic. Health Commun. 2023, 38, 1041–1053. [Google Scholar] [CrossRef]
- Toivonen, T.; Heikinheimo, V.; Fink, C.; Hausmann, A.; Hiippala, T.; Järv, O.; Tenkanen, H.; Di Minin, E. Social media data for conservation science: A methodological overview. Biol. Conserv. 2019, 233, 298–315. [Google Scholar] [CrossRef]
- VanDyke, M.S.; Britt, B.C.; Britt, R.K.; Franco, C.L. How environment-focused communities discuss COVID-19 online: An analysis of social (risk) amplification and ripple effects on Reddit. Environ. Commun. 2023, 17, 322–338. [Google Scholar] [CrossRef]
- Borgatti, S.P.; Mehra, A.; Brass, D.J.; Labianca, G. Network analysis in the social sciences. Science 2009, 323, 892–895. [Google Scholar] [CrossRef] [PubMed]
- Mueller, J.T.; Gasteyer, S. The widespread and unjust drinking water and clean water crisis in the United States. Nat. Commun. 2021, 12, 3544. [Google Scholar] [CrossRef] [PubMed]
- Getchell, M.C.; Sellnow, T.L. A network analysis of official Twitter accounts during the West Virginia water crisis. Comput. Hum. Behav. 2016, 54, 597–606. [Google Scholar] [CrossRef]
- Ivic-Britt, R.K.; Boman, C.D.; Ritchart, A.; VanDyke, M.S. Charting water sanitation concerns within vulnerable communities and international contexts on X. J. Risk Res. 2024. [Google Scholar] [CrossRef]
- Okeowo, A. The Heavy Toll of the Black Belt’s Wastewater Crisis. The New Yorker. 23 November 2020. Available online: https://www.newyorker.com/magazine/2020/11/30/the-heavy-toll-of-the-black-belts-wastewater-crisis (accessed on 20 April 2024).
- Reuter, C.; Kaufhold, M.-C. Fifteen years of social media in emergencies: A retrospective review and future directions for crisis informatics. J. Contingencies Crisis Manag. 2018, 26, 41–57. [Google Scholar] [CrossRef]
- Strickling, H.; DiCarlo, M.F.; Shafiee, M.E.; Berglund, E. Simulation of contaminant and wireless emergency alerts within targeted pressure zones for water contamination management. Sustain. Cities Soc. 2020, 52, 101820. [Google Scholar] [CrossRef]
- Zhou, X.; Chen, L. Event detection over Twitter social media streams. VLDB J. 2013, 23, 381–400. [Google Scholar] [CrossRef]
- Jin, G.; Xu, J.; Mo, Y.; Tang, H.; Wei, T.; Wang, Y.-G.; Li, L. Response of sediments and phosphorus to catchment characteristics and human activities under different rainfall patterns with Bayesian Networks. J. Hydrol. 2020, 584, 124695. [Google Scholar] [CrossRef]
- Jin, G.; Chen, H.; Zhang, Z.; Jiang, Q.; Liu, Z.; Tang, H. Transport of Phosphorus in the Hyporheic Zone. Water Resour. Res. 2022, 58, e2021WR031292. [Google Scholar] [CrossRef]
- Oh, S.-H.; Lee, S.Y.; Han, C. The effects of social media use on preventive behaviors during infectious disease outbreaks: The mediating role of self-relevant emotions and public risk perception. Health Commun. 2021, 36, 972–981. [Google Scholar] [CrossRef] [PubMed]
- Drouin, M.; McDaniel, B.T.; Pater, J.; Toscos, T. How parents and their children used social media and technology at the beginning of the COVID-19 pandemic and associations with anxiety. J. Med. Ext. Real. 2020, 23, 727–736. [Google Scholar] [CrossRef] [PubMed]
- Heath, A. COVID-19 water contamination concerns underscore need to engage with consumers. J. AWWA 2020, 112, 20–25. [Google Scholar] [CrossRef]
- Lopes, R.H.; Silva, C.R.D.V.; Silva, Í.D.S.; Salvador, P.T.C.D.O.; Heller, L.; Uchôa, S.A.D.C. Worldwide surveillance actions and initiatives of drinking water quality: A scoping review. Int. J. Environ. Res. Public Health 2023, 20, 559. [Google Scholar] [CrossRef]
- Connell, D.; Dovers, S.; Grafton, R.Q. A Critical Analysis of the National Water Initiative. Autralasian J. Nat. Resour. Law Policy 2005, 10, 81–107. Available online: http://hdl.handle.net/1885/82646 (accessed on 20 April 2024).
- Strekalova, Y.A.; Krieger, J.L. Beyond words: Amplification of cancer risk communication on social media. J. Health Commun. 2017, 22, 849–857. [Google Scholar] [CrossRef]
- Fritsch, O.; Adelle, C.; Benson, D. The EU Water Initiative at 15: Origins, processes, and assessment. Water Int. 2017, 42, 425–552. [Google Scholar] [CrossRef]
- Sprinklr. Sprinklr: Unified Customer Experience Management Platform. Available online: https://www.sprinklr.com (accessed on 26 October 2023).
- Csárdi, G.; Nepusz, T.; Traag, V.; Horvát, S.; Zanini, F.; Noom, D.; Müller, K.; Igraph: Network Analysis and Visualization in R. The Comprehensive R Archive Network. 2023. Available online: https://CRAN.R-project.org/package=igraph (accessed on 20 April 2024).
- Britt, B.C. Evolution and Revolution of Organizational Configurations on Wikipedia: A Longitudinal Network Analysis. Ph.D. Thesis, Purdue University, West Lafayette, IN, USA, 2013. [Google Scholar]
- Matei, S.A.; Britt, B.C. Structural Differentiation in Social Media: Adhocracy, Entropy and the “1% Effect”; Springer: Berlin/Heidelberg, Germany, 2017. [Google Scholar]
- Britt, B.C. Stepseg: Stepwise Segmented Regression Analysis. GitHub. 2023. Available online: https://github.com/bcbritt/stepseg (accessed on 20 April 2024).
- Britt, B.C. Stepwise segmented regression analysis: An iterative statistical algorithm to detect and quantify evolutionary and revolutionary transformations in longitudinal data. In Transparency in Social Media: Tools, Methods, and Algorithms for Mediating Online Interactions; Matei, S.A., Russell, M.G., Bertino, E., Eds.; Springer: Berlin/Heidelberg, Germany, 2015; pp. 125–144. [Google Scholar]
- Kasperson, R.E.; Renn, O.; Slovic, P.; Brown, H.S.; Emel, J.; Goble, R.; Kasperson, J.X.; Ratick, S. The social amplification of risk: A conceptual framework. Risk Anal. 1988, 8, 177–187. [Google Scholar] [CrossRef]





| Inbound Degree Centrality | Outbound Degree Centrality | ||
|---|---|---|---|
| User | Centrality | User | Centrality |
| @realDonaldTrump | 700 | @JingKlaus | 1050 |
| @tedcruz | 334 | @Lamarurquharth1 | 460 |
| @thehill | 126 | @Tami1501 | 266 |
| @WhiteHouse | 120 | @SafeH2o4Schools | 245 |
| @GOP | 105 | @isawthesethings | 147 |
| @FoxNews | 82 | @BreaveHeart43 | 87 |
| @CNN | 80 | @awatarius | 67 |
| @POTUS | 67 | @TheWheltonGroup | 51 |
| @SatoMasahisa | 54 | @luisa_tasayco | 46 |
| @nytimes | 52 | @FieldRoamer | 42 |
| Betweenness Centrality | Eigenvector Centrality | ||
| User | Centrality | User | Centrality |
| @realDonaldTrump | 12599203 | @PhilipCPrice | 1.0000000 |
| @JingKlaus | 7478517 | @ngaphambbc | 0.7500000 |
| @isawthesethings | 6929866 | @LohrThoughts | 0.7500000 |
| @SafeH2o4Schools | 5931217 | @TheWheltonGroup | 0.6123724 |
| @WhiteHouse | 4116278 | @gkygirlengineer | 0.5000000 |
| @Tami1501 | 3771911 | @bogdan09261613 | 0.5000000 |
| @thehill | 2809384 | @Susan_Masten | 0.5000000 |
| @POTUS | 2384643 | @meredithcolias | 0.5000000 |
| @FoxNews | 2323644 | @loufreshwater | 0.5000000 |
| @Lamarurquharth1 | 2299150 | @flintwaterstudy | 0.5000000 |
| Inbound Degree Centrality | Outbound Degree Centrality | ||
|---|---|---|---|
| User | Centrality | User | Centrality |
| @LilNasX | 31711 | @imagine_garden | 1710 |
| @kylegriffin1 | 10052 | @SafeH2o4Schools | 684 |
| @SonnyVermont | 9943 | @yamatho2 | 589 |
| @elonmusk | 9777 | @Bob_Stinson1234 | 280 |
| @GlumBird | 6530 | @surfspup | 231 |
| @AP | 6511 | @amyrbrown12_amy | 159 |
| @krassenstein | 5829 | @FrackHazReveal | 154 |
| @RedTRaccoon | 4016 | @dgendvil | 132 |
| @charliekirk11 | 3983 | @nutgraham | 122 |
| @QasimRashid | 3806 | @Eco1stArt | 120 |
| Betweenness Centrality | Eigenvector Centrality | ||
| User | Centrality | User | Centrality |
| @LilNasX | 5563232127 | @SafeH2o4Schools | 1.00000000 |
| @elonmusk | 2031520664 | @NRDC | 0.30501560 |
| @SonnyVermont | 1773605052 | @Hydroviv_h2o | 0.28393199 |
| @kylegriffin1 | 1644580076 | @toxicreverend | 0.26767209 |
| @AP | 1456901538 | @Fix_Our_Schools | 0.18300738 |
| @GlumBird | 1149732758 | @BeCauseWater | 0.15257359 |
| @krassenstein | 981795193 | @EDFHealth | 0.13438709 |
| @charliekirk11 | 823302514 | @nywaterproject | 0.10593838 |
| @L0vingnature | 633367902 | @enpressllc | 0.10427548 |
| @RedTRaccoon | 626617931 | @TheWheltonGroup | 0.07600653 |
| Inbound Degree Centrality | Outbound Degree Centrality | ||
|---|---|---|---|
| User | Centrality | User | Centrality |
| @realDonaldTrump | 1334 | @JingKlaus | 698 |
| @EPA | 1000 | @IMJUSTTHEMAN1 | 651 |
| @POTUS | 484 | @Hydroviv_h2o | 382 |
| @YouTube | 383 | @smartdissent | 310 |
| @Change | 365 | @SafeH2o4Schools | 279 |
| @EPAScottPruitt | 346 | @Lamarurquharth1 | 237 |
| @NRDC | 317 | @DavidNoriega81 | 231 |
| @CREDOMobile | 284 | @PracticalLefty | 197 |
| @GOP | 277 | @rln_nelson | 195 |
| @CNN | 227 | @ExMissionary | 192 |
| Betweenness Centrality | Eigenvector Centrality | ||
| User | Centrality | User | Centrality |
| @realDonaldTrump | 159246469 | @environmentguru | 1.000000 |
| @EPA | 132152984 | @TysonFoods | 2.859874 × 10−16 |
| @POTUS | 61415205 | @StandMighty | 2.789181 × 10−16 |
| @SafeH2o4Schools | 43288269 | @HealthyGulf | 2.226099 × 10−16 |
| @JingKlaus | 38314543 | @EPA | 1.890578 × 10−16 |
| @SunshineTheGrey | 36643147 | @EPAnewengland | 6.836742 × 10−17 |
| @Hydroviv_h2o | 25596677 | @mpsaz | 5.843926 × 10−17 |
| @CNN | 25589816 | @KateMishkin | 3.606897 × 10−17 |
| @GOP | 23864343 | @dougducey | 2.807676 × 10−17 |
| @nytimes | 23742705 | @tedcruz | 1.976746 × 10−17 |
| ꞵ | SE | t | p | |
|---|---|---|---|---|
| Retweet Outbound Intercept * Week > 8 | 46.296 | 9.808 | 4.720 | 3.932 × 10−6 |
| Retweet Entropy Intercept * Week > 8 | −32.386 | 9.964 | −3.250 | 0.001 |
| Retweet Outbound Slope * Week > 8 | −4.047 | 1.035 | −3.909 | 1.196 × 10−4 |
| Retweet Outbound Intercept * Week > 10 | −46.002 | 9.794 | −4.697 | 4.369 × 10−6 |
| Retweet Entropy Intercept * Week > 10 | 33.119 | 9.950 | 3.328 | 0.001 |
| Retweet Outbound Slope * Week > 10 | 4.094 | 1.029 | 3.978 | 9.123 × 10−5 |
| Retweet Entropy Intercept * Week > 74 | −3.310 | 0.407 | −8.126 | 2.087 × 10−14 |
| Retweet Entropy Slope * Week > 74 | 0.058 | 0.006 | 10.175 | <2 × 10−16 |
| Reply Betweenness Intercept * Week > 173 | 668.530 | 39.909 | 16.751 | <2 × 10−16 |
| Mention Outbound Intercept * Week > 173 | 864.608 | 219.180 | 3.945 | 1.039 × 10−4 |
| Mention Betweenness Intercept * Week > 173 | 2093.445 | 140.572 | 14.892 | <2 × 10−16 |
| Mention Entropy Intercept * Week > 173 | −996.294 | 218.208 | −4.566 | 7.826 × 10−6 |
| Reply Betweenness Slope * Week > 173 | −3.767 | 0.229 | −16.473 | <2 × 10−16 |
| Mention Outbound Slope * Week > 173 | −4.927 | 1.256 | −3.923 | 1.132 × 10−4 |
| Mention Betweenness Slope * Week > 173 | −11.955 | 0.806 | −14.840 | <2 × 10−16 |
| Mention Entropy Slope * Week > 173 | 5.687 | 1.250 | 4.548 | 8.462 × 10−6 |
| Reply Betweenness Intercept * Week > 175 | −668.779 | 39.909 | −16.758 | <2 × 10−16 |
| Mention Outbound Intercept * Week > 175 | −864.711 | 219.182 | −3.945 | 1.037 × 10−4 |
| Mention Betweenness Intercept * Week > 175 | −2092.592 | 140.573 | −14.886 | <2 × 10−16 |
| Mention Entropy Intercept * Week > 175 | 995.990 | 218.209 | 4.564 | 7.875 × 10−6 |
| Reply Betweenness Slope * Week > 175 | 3.769 | 0.229 | 16.478 | <2 × 10−16 |
| Mention Outbound Slope * Week > 175 | 4.929 | 1.256 | 3.924 | 1.126 × 10−4 |
| Mention Betweenness Slope * Week > 175 | 11.951 | 0.806 | 14.836 | <2 × 10−16 |
| Mention Entropy Slope * Week > 175 | −5.688 | 1.250 | −4.549 | 8.423 × 10−6 |
Disclaimer/Publisher’s Note: The statements, opinions and data contained in all publications are solely those of the individual author(s) and contributor(s) and not of MDPI and/or the editor(s). MDPI and/or the editor(s) disclaim responsibility for any injury to people or property resulting from any ideas, methods, instructions or products referred to in the content. |
© 2024 by the authors. Licensee MDPI, Basel, Switzerland. This article is an open access article distributed under the terms and conditions of the Creative Commons Attribution (CC BY) license (https://creativecommons.org/licenses/by/4.0/).
Share and Cite
Ivic-Britt, R.K.; Boman, C.D.; Ritchart, A.; Britt, B.C.; VanDyke, M.S. Network Analysis of Water Contamination Discourse on Social Media Platforms. Water 2024, 16, 3406. https://doi.org/10.3390/w16233406
Ivic-Britt RK, Boman CD, Ritchart A, Britt BC, VanDyke MS. Network Analysis of Water Contamination Discourse on Social Media Platforms. Water. 2024; 16(23):3406. https://doi.org/10.3390/w16233406
Chicago/Turabian StyleIvic-Britt, Rebecca Katherine, Courtney D. Boman, Amy Ritchart, Brian Christopher Britt, and Matthew S. VanDyke. 2024. "Network Analysis of Water Contamination Discourse on Social Media Platforms" Water 16, no. 23: 3406. https://doi.org/10.3390/w16233406
APA StyleIvic-Britt, R. K., Boman, C. D., Ritchart, A., Britt, B. C., & VanDyke, M. S. (2024). Network Analysis of Water Contamination Discourse on Social Media Platforms. Water, 16(23), 3406. https://doi.org/10.3390/w16233406

