Pollution Characteristics and Eutrophication Assessment in Plain River Network Areas: A Case Study of the Beijing–Hangzhou Grand Canal (Changzhou Section)
Abstract
1. Introduction
2. Materials and Methods
2.1. Study Area
2.2. Sample Collection and Processing
3. Results and Discussion
3.1. An Overview of Water Resources
3.2. Temporal Clustering Characteristics
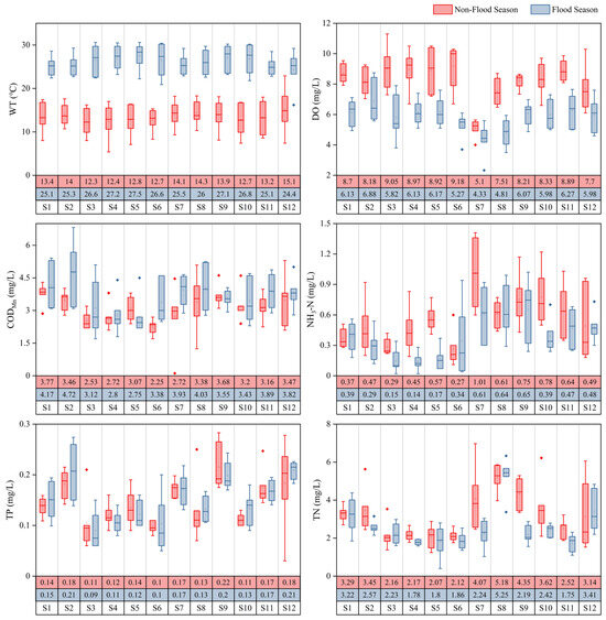
3.3. Water Pollution Characteristics
3.4. Correlation of Water-Quality Indicators
3.5. N:P Ratio Characteristics
3.6. Evaluation of Eutrophication
3.7. Water Pollution Sources and Preventive Measures
4. Conclusions
Author Contributions
Funding
Data Availability Statement
Acknowledgments
Conflicts of Interest
References
- Yang, Y.; Zhang, X.; Jiang, J.; Han, J.; Li, W.; Li, X.; Yee Leung, K.M.; Snyder, S.A.; Alvarez, P.J.J. Which Micropollutants in Water Environments Deserve More Attention Globally? Environ. Sci. Technol. 2022, 56, 13–29. [Google Scholar] [CrossRef] [PubMed]
- Balasuriya, B.T.G.; Ghose, A.; Gheewala, S.H.; Prapaspongsa, T. Assessment of Eutrophication Potential from Fertiliser Application in Agricultural Systems in Thailand. Sci. Total Environ. 2022, 833, 154993. [Google Scholar] [CrossRef] [PubMed]
- Zorzal-Almeida, S.; Bartozek, E.C.R.; Bicudo, D.C. Homogenization of Diatom Assemblages Is Driven by Eutrophication in Tropical Reservoirs. Environ. Pollut. 2021, 288, 117778. [Google Scholar] [CrossRef] [PubMed]
- Maúre, E.d.R.; Terauchi, G.; Ishizaka, J.; Clinton, N.; DeWitt, M. Globally Consistent Assessment of Coastal Eutrophication. Nat. Commun. 2021, 12, 6142. [Google Scholar] [CrossRef]
- Wang, D.; Gan, X.; Wang, Z.; Jiang, S.; Zheng, X.; Zhao, M.; Zhang, Y.; Fan, C.; Wu, S.; Du, L. Research Status on Remediation of Eutrophic Water by Submerged Macrophytes: A Review. Process Saf. Environ. 2023, 169, 671–684. [Google Scholar] [CrossRef]
- Zhang, Q.; Fisher, T.R.; Buchanan, C.; Gustafson, A.B.; Karrh, R.R.; Murphy, R.R.; Testa, J.M.; Tian, R.; Tango, P.J. Nutrient Limitation of Phytoplankton in Three Tributaries of Chesapeake Bay: Detecting Responses Following Nutrient Reductions. Water Res. 2022, 226, 119099. [Google Scholar] [CrossRef]
- He, X.; Wang, H.; Zhuang, W.; Liang, D.; Ao, Y. Risk Prediction of Microcystins Based on Water Quality Surrogates: A Case Study in a Eutrophicated Urban River Network. Environ. Pollut. 2021, 275, 116651. [Google Scholar] [CrossRef]
- Tanvir, R.U.; Hu, Z.; Zhang, Y.; Lu, J. Cyanobacterial Community Succession and Associated Cyanotoxin Production in Hypereutrophic and Eutrophic Freshwaters. Environ. Pollut. 2021, 290, 118056. [Google Scholar] [CrossRef]
- Huang, J.; Zhang, Y.; Bing, H.; Peng, J.; Dong, F.; Gao, J.; Arhonditsis, G.B. Characterizing the River Water Quality in China: Recent Progress and on-Going Challenges. Water Res. 2021, 201, 117309. [Google Scholar] [CrossRef]
- Zhang, W.; Rong, N.; Jin, X.; Meng, X.; Han, S.; Zhang, D.; Shan, B. Dissolved Oxygen Variation in the North China Plain River Network Region over 2011–2020 and the Influencing Factors. Chemosphere 2022, 287, 132354. [Google Scholar] [CrossRef]
- Amaral, L.M.; Carolina de Almeida Castilho, M.; Henry, R.; Ferragut, C. Epipelon, Phytoplankton and Zooplankton Responses to the Experimental Oligotrophication in a Eutrophic Shallow Reservoir. Environ. Pollut. 2020, 263, 114603. [Google Scholar] [CrossRef] [PubMed]
- Xing, W.; Han, Y.; Guo, Z.; Zhou, Y. Quantitative Study on Redistribution of Nitrogen and Phosphorus by Wetland Plants under Different Water Quality Conditions. Environ. Pollut. 2020, 261, 114086. [Google Scholar] [CrossRef] [PubMed]
- Kwon, H.-I.; Koh, D.-C.; Cho, B.-W.; Jung, Y.-Y. Nutrient Dynamics in Stream Water and Groundwater in Riparian Zones of a Mesoscale Agricultural Catchment with Intense Seasonal Pumping. Agr. Water Manag. 2022, 261, 107336. [Google Scholar] [CrossRef]
- Wang, S.; Shen, M.; Liu, W.; Ma, Y.; Shi, H.; Zhang, J.; Liu, D. Developing Remote Sensing Methods for Monitoring Water Quality of Alpine Rivers on the Tibetan Plateau. GIScience Remote Sens. 2022, 59, 1384–1405. [Google Scholar] [CrossRef]
- Deng, X. Correlations between Water Quality and the Structure and Connectivity of the River Network in the Southern Jiangsu Plain, Eastern China. Sci. Total Environ. 2019, 664, 583–594. [Google Scholar] [CrossRef]
- Zhang, Y.; Jing, Z.; Huang, Q.; Wang, X.; Sun, W.; Zhang, C.; Wang, J.; Zhong, Y.; Wang, J.; Tan, L.; et al. On Conservation of World Heritage Beijing-Hangzhou Grand Canal for Enhancing Cultural Ecosystem Services. Herit. Sci. 2023, 11, 269. [Google Scholar] [CrossRef]
- Liu, Z.; Liu, L.; Li, Y.; Li, X. Influence of Urban Green Space Landscape Pattern on River Water Quality in a Highly Urbanized River Network of Hangzhou City. J. Hydrol. 2023, 621, 129602. [Google Scholar] [CrossRef]
- Bu, J.; Zhang, S.; Li, C.; Xu, X.; Wang, X.; Liu, Q.; Wang, X. A Longitudinal Functional Connectivity Comprehensive Index for Multi-Sluice Flood Control System in Plain Urban River Networks. J. Hydrol. 2022, 613, 128362. [Google Scholar] [CrossRef]
- Zhuang, L.; Zhang, Y.; Xue, Y.; Ren, Y.; He, J.; Sun, H. Influence of Ongoing Discharge from Multiple Wastewater Treatment Plants on Microplastic Patterns in Small-Scale Receiving Rivers. Sci. Total Environ. 2024, 932, 172880. [Google Scholar] [CrossRef]
- Cao, Y.; Wang, X.; Yin, C.; Xu, W.; Shi, W.; Qian, G.; Xun, Z. Inland Vessels Emission Inventory and the Emission Characteristics of the Beijing-Hangzhou Grand Canal in Jiangsu Province. Process. Saf. Environ. 2018, 113, 498–506. [Google Scholar] [CrossRef]
- Bu, J.; Li, C.; Wang, X.; Zhang, Y.; Yang, Z. Assessment and Prediction of the Water Ecological Carrying Capacity in Changzhou City, China. J. Clean. Prod. 2020, 277, 123988. [Google Scholar] [CrossRef]
- Wen, C.; Li, K.; Huang, T.; Wang, S.; Tang, Y.; Wen, G.; Zhang, H.; Li, X.; Cai, X. Extending Improvements of Eutrophication and Water Quality via Induced Natural Mixing after Artificial Mixing in a Stratified Reservoir. J. Environ. Manag. 2022, 322, 116048. [Google Scholar] [CrossRef] [PubMed]
- Uddin, M.G.; Nash, S.; Rahman, A.; Olbert, A.I. A Comprehensive Method for Improvement of Water Quality Index (WQI) Models for Coastal Water Quality Assessment. Water Res. 2022, 219, 118532. [Google Scholar] [CrossRef] [PubMed]
- Yan, T.; Shen, S.-L.; Zhou, A. Indices and Models of Surface Water Quality Assessment: Review and Perspectives. Environ. Pollut. 2022, 308, 119611. [Google Scholar] [CrossRef] [PubMed]
- Gai, R.; Guo, Z. A Water Quality Assessment Method Based on an Improved Grey Relational Analysis and Particle Swarm Optimization Multi-Classification Support Vector Machine. Front. Plant Sci. 2023, 14, 1099668. [Google Scholar] [CrossRef]
- Kuczynski, A.; Smith, R.G.R.; Fraser, C.E.; Larned, S.T. Environmental Indicators of Lake Ecosystem Health in Aotearoa New Zealand: Current State and Trends. Ecol. Indic. 2024, 165, 112185. [Google Scholar] [CrossRef]
- Zhou, M.; Zhou, C.; Peng, Y.; Jia, R.; Zhao, W.; Liang, S.; Xu, X.; Terada, A.; Wang, G. Space-for-Time Substitution Leads to Carbon Emission Overestimation in Eutrophic Lakes. Environ. Res. 2023, 219, 115175. [Google Scholar] [CrossRef]
- Yu, H.; Shi, X.; Wang, S.; Zhao, S.; Sun, B.; Liu, Y.; Yang, Z. Trophic Status of a Shallow Lake in Inner Mongolia: Long-Term, Seasonal, and Spatial Variation. Ecol. Indic. 2023, 156, 111167. [Google Scholar] [CrossRef]
- Tian, Y.; Lv, C.; Huang, L.; Shan, H.; Wang, H.; Wen, Z.; Yin, C.; Chou, Q.; Zhang, X.; Ni, L.; et al. Seasonal Variation and Nutrient Jointly Drive the Community Structure of Macrophytes in Lakes with Different Trophic States. Front. Mar. Sci. 2023, 10, 1182823. [Google Scholar] [CrossRef]
- Liu, H.; He, B.; Zhou, Y.; Kutser, T.; Toming, K.; Feng, Q.; Yang, X.; Fu, C.; Yang, F.; Li, W.; et al. Trophic State Assessment of Optically Diverse Lakes Using Sentinel-3-Derived Trophic Level Index. Int. J. Appl. Earth Obs. Geoinf. 2022, 114, 103026. [Google Scholar] [CrossRef]
- Romanelli, A.; Soto, D.X.; Matiatos, I.; Martínez, D.E.; Esquius, S. A Biological and Nitrate Isotopic Assessment Framework to Understand Eutrophication in Aquatic Ecosystems. Sci. Total Environ. 2020, 715, 136909. [Google Scholar] [CrossRef] [PubMed]
- Tian, D.; Zhao, X.; Gao, L.; Liang, Z.; Yang, Z.; Zhang, P.; Wu, Q.; Ren, K.; Li, R.; Yang, C.; et al. Estimation of Water Quality Variables Based on Machine Learning Model and Cluster Analysis-Based Empirical Model Using Multi-Source Remote Sensing Data in Inland Reservoirs, South China. Environ. Pollut. 2024, 342, 123104. [Google Scholar] [CrossRef] [PubMed]
- Heredia, C.; Guédron, S.; Point, D.; Perrot, V.; Campillo, S.; Verin, C.; Espinoza, M.E.; Fernandez, P.; Duwig, C.; Achá, D. Anthropogenic Eutrophication of Lake Titicaca (Bolivia) Revealed by Carbon and Nitrogen Stable Isotopes Fingerprinting. Sci. Total Environ. 2022, 845, 157286. [Google Scholar] [CrossRef] [PubMed]
- Gandhimathi, G.; Chellaswamy, C.; Selvan, T. Comprehensive River Water Quality Monitoring Using Convolutional Neural Networks and Gated Recurrent Units: A Case Study along the Vaigai River. J. Environ. Manag. 2024, 365, 121567. [Google Scholar] [CrossRef]
- China National Environmental Monitoring Center. Evaluation Methods and Classification Technical Regulations for Eutrophication Assessment of Lakes (Reservoirs) ([2001]090); China National Environmental Monitoring Center: Beijing, China, 2001. (In Chinese) [Google Scholar]
- Ni, Y.; Lv, X.; Yu, Z.; Wang, J.; Ma, L.; Zhang, Q. Intra-Annual Variation in the Attribution of Runoff Evolution in the Yellow River Source Area. CATENA 2023, 225, 107032. [Google Scholar] [CrossRef]
- Wang, X.; Xia, J.; Zhou, M.; Deng, S.; Li, Q. Assessment of the Joint Impact of Rainfall and River Water Level on Urban Flooding in Wuhan City, China. J. Hydrol. 2022, 613, 128419. [Google Scholar] [CrossRef]
- Li, M.; Weng, B.; Yan, D.; Bi, W.; Yang, Y.; Gong, X.; Wang, H. Spatiotemporal Characteristics of Surface Water Resources in the Tibetan Plateau: Based on the Produce Water Coefficient Method Considering Snowmelt. Sci. Total Environ. 2022, 851, 158048. [Google Scholar] [CrossRef]
- Jiang, P.; Dong, B.; Huang, G.; Tong, S.; Zhang, M.; Li, S.; Zhang, Q.; Xu, G. Study on the Sediment and Phosphorus Flux Processes under the Effects of Mega Dams Upstream of Yangtze River. Sci. Total Environ. 2023, 860, 160453. [Google Scholar] [CrossRef]
- Van Vliet, M.T.H.; Thorslund, J.; Strokal, M.; Hofstra, N.; Flörke, M.; Ehalt Macedo, H.; Nkwasa, A.; Tang, T.; Kaushal, S.S.; Kumar, R.; et al. Global River Water Quality under Climate Change and Hydroclimatic Extremes. Nat. Rev. Earth Environ. 2023, 4, 687–702. [Google Scholar] [CrossRef]
- Shou, C.-Y.; Yue, F.-J.; Zhou, B.; Fu, X.; Ma, Z.-N.; Gong, Y.-Q.; Chen, S.-N. Chronic Increasing Nitrogen and Endogenous Phosphorus Release from Sediment Threaten to the Water Quality in a Semi-Humid Region Reservoir. Sci. Total Environ. 2024, 931, 172924. [Google Scholar] [CrossRef]
- Li, M.; Liu, J.; Wang, J.; Song, Z.; Bouwman, A.F.; Ran, X. Phosphorus Depletion Is Exacerbated by Increasing Nitrogen Loading in the Bohai Sea. Environ. Pollut. 2024, 352, 124119. [Google Scholar] [CrossRef]







| No. | Sampling Site | River Name | Administrative Division | Control Property | Water Quality Goal | Longitude | Latitude |
|---|---|---|---|---|---|---|---|
| S1 | Jiuli | Beijing–Hangzhou Grand Canal | Xinbei District | Municipal Control | III | 119.78 E | 31.87 N |
| S2 | Hexi Bridge | Hexi River | Zhonglou District | Provincial Control | III | 119.82 E | 31.79 N |
| S3 | Deshenghe Bridge | Desheng River | Xinbei District | Provincial Control | III | 119.88 E | 31.85 N |
| S4 | Lianjiang | Beijing–Hangzhou Grand Canal | Zhonglou District | Provincial Control | III | 119.87 E | 31.82 N |
| S5 | Zhonglou Bridge | Xin Canal | Zhonglou District | Provincial Control | III | 119.89 E | 31.75 N |
| S6 | Changlin Bridge | Zaogang River | Xinbei District | Provincial Control | III | 119.95 E | 31.80 N |
| S7 | Zhuochu Bridge | Nanshi River | Tianning District | Municipal Control | III | 119.96 E | 31.77 N |
| S8 | Yang Bridge | Guan River | Tianning District | Municipal Control | III | 119.97 E | 31.77 N |
| S9 | Hebei Industrial Park | Cailing Harbor | Wujin District | Municipal Control | III | 119.97 E | 31.74 N |
| S10 | Qishu Weir | Beijing–Hangzhou Grand Canal | Wujin District | Provincial Control | III | 120.07 E | 31.71 N |
| S11 | Yudun Bridge | Beijing–Hangzhou Grand Canal | Wujin District | Provincial Control | III | 120.08 E | 31.71 N |
| S12 | Wumu | Beijing–Hangzhou Grand Canal | Wujin District | National Control | III | 120.11 E | 31.51 N |
| Trophic Level Index | Trophic Level | Water-Quality Status |
|---|---|---|
| 0 < TLI < 30 | Good | Good |
| 30 ≤ TLI ≤ 50 | Moderate | Moderate |
| TLI > 50 | Eutrophication | Pollution |
| 50 < TLI ≤ 60 | Light eutrophication | Light pollution |
| 60 < TLI ≤ 70 | Moderate eutrophication | Moderate pollution |
| 70 < TLI ≤ 100 | Heavy eutrophication | Heavy pollution |
Disclaimer/Publisher’s Note: The statements, opinions and data contained in all publications are solely those of the individual author(s) and contributor(s) and not of MDPI and/or the editor(s). MDPI and/or the editor(s) disclaim responsibility for any injury to people or property resulting from any ideas, methods, instructions or products referred to in the content. |
© 2024 by the authors. Licensee MDPI, Basel, Switzerland. This article is an open access article distributed under the terms and conditions of the Creative Commons Attribution (CC BY) license (https://creativecommons.org/licenses/by/4.0/).
Share and Cite
Hu, H.; Zhou, G.; Tong, S.; Hu, T. Pollution Characteristics and Eutrophication Assessment in Plain River Network Areas: A Case Study of the Beijing–Hangzhou Grand Canal (Changzhou Section). Water 2024, 16, 3353. https://doi.org/10.3390/w16233353
Hu H, Zhou G, Tong S, Hu T. Pollution Characteristics and Eutrophication Assessment in Plain River Network Areas: A Case Study of the Beijing–Hangzhou Grand Canal (Changzhou Section). Water. 2024; 16(23):3353. https://doi.org/10.3390/w16233353
Chicago/Turabian StyleHu, Haizhen, Gang Zhou, Sichen Tong, and Tingting Hu. 2024. "Pollution Characteristics and Eutrophication Assessment in Plain River Network Areas: A Case Study of the Beijing–Hangzhou Grand Canal (Changzhou Section)" Water 16, no. 23: 3353. https://doi.org/10.3390/w16233353
APA StyleHu, H., Zhou, G., Tong, S., & Hu, T. (2024). Pollution Characteristics and Eutrophication Assessment in Plain River Network Areas: A Case Study of the Beijing–Hangzhou Grand Canal (Changzhou Section). Water, 16(23), 3353. https://doi.org/10.3390/w16233353
