Biopolymer Gellan-Gum-Based TiO2: A Green Alternative Photocatalyst Approach for Removal of Pollutants
Abstract
1. Introduction
2. Materials and Methods
2.1. Materials
2.2. Synthesis of TiO2
2.3. Synthesis of TiO2/GG
2.4. Characterization
2.5. Dye Degradation via Photocatalysis
2.5.1. Reuse and Photostability of Photocatalyst
2.5.2. Artemia Saline Bioassays
3. Results and Discussion
3.1. X-ray Diffraction Studies
3.2. UV–Vis Spectra and Band Gap Energy
3.3. Electron Microscopic Studies
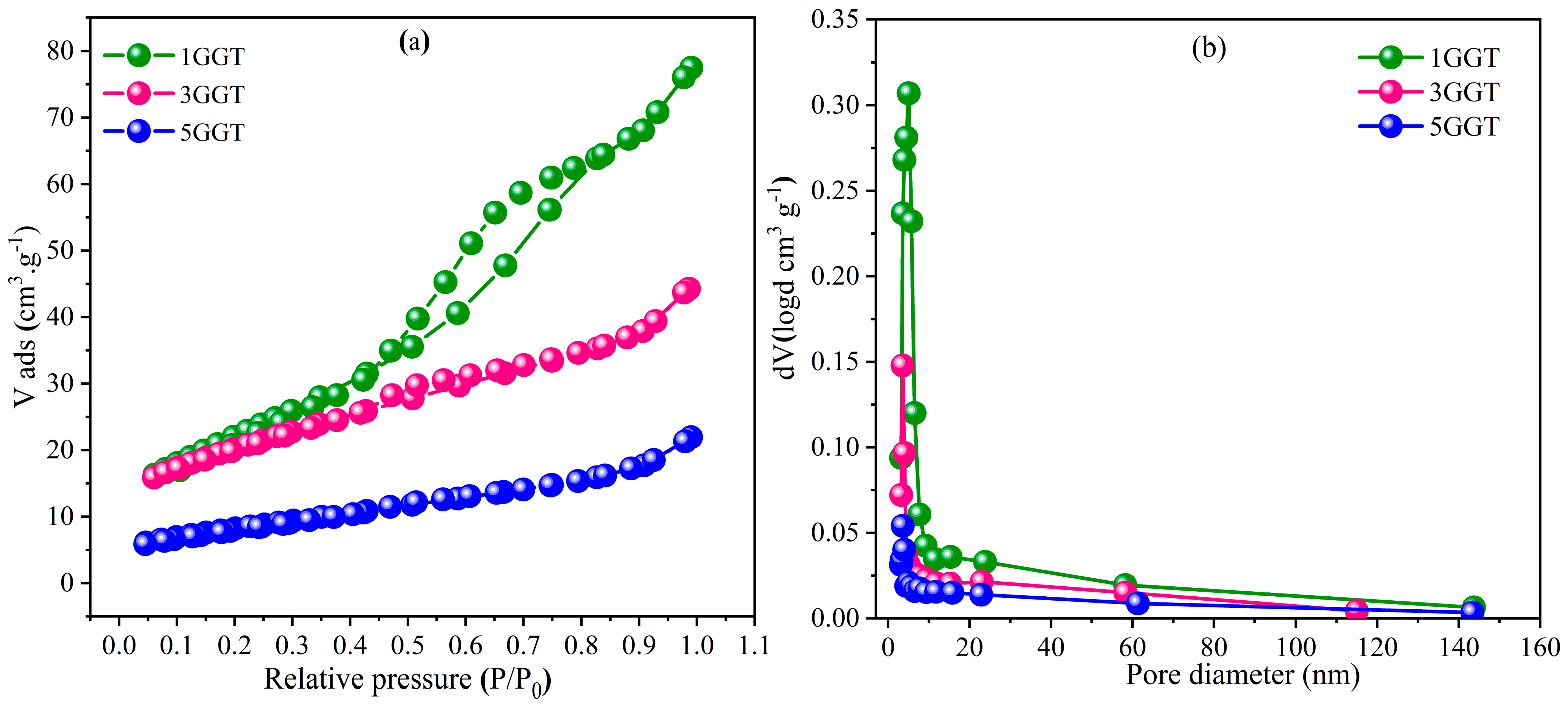
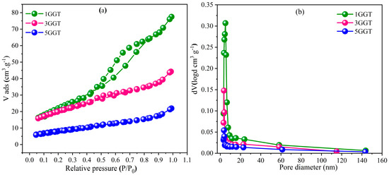
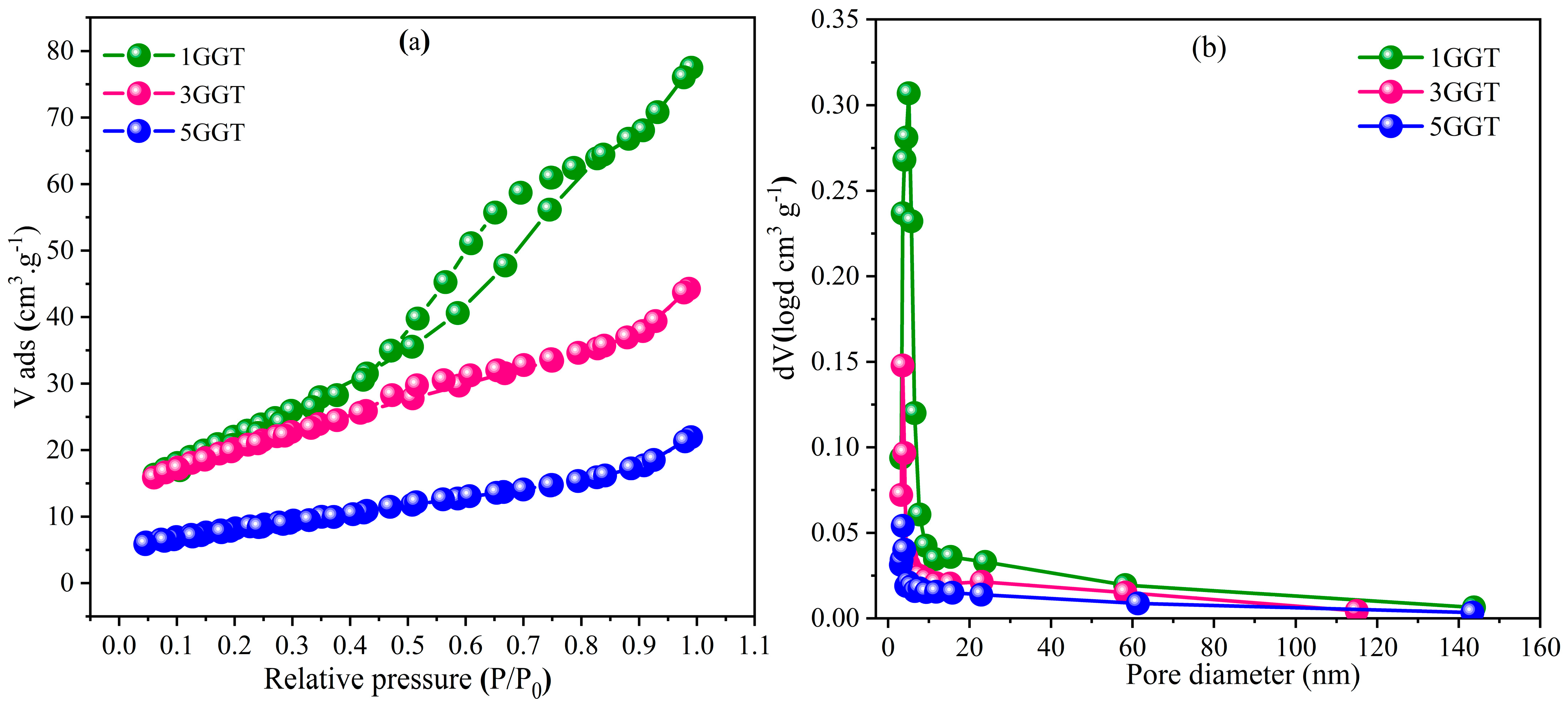
3.4. Adsorption–Desorption of N2
3.5. Perfomance Photocatalytic
3.5.1. Photostability of Photocatalyst
3.5.2. Artemia Saline Bioassay
4. Conclusions
Author Contributions
Funding
Data Availability Statement
Acknowledgments
Conflicts of Interest
References
- Bora, L.V.; Mewada, R.K. Visible/Solar Light Active Photocatalysts for Organic Effluent Treatment: Fundamentals, Mechanisms and Parametric Review. Renew. Sustain. Energy Rev. 2017, 76, 1393–1421. [Google Scholar] [CrossRef]
- Moreira, F.C.; Boaventura, R.A.R.; Brillas, E.; Vilar, V.J.P. Electrochemical Advanced Oxidation Processes: A Review on Their Application to Synthetic and Real Wastewaters. Appl. Catal. B 2017, 202, 217–261. [Google Scholar] [CrossRef]
- Rai, P.K. Novel Adsorbents in Remediation of Hazardous Environmental Pollutants: Progress, Selectivity, and Sustainability Prospects. Clean. Mater. 2022, 3, 100054. [Google Scholar] [CrossRef]
- Osajima, J.A.; Sá, A.S.; Feitosa, R.P.; Furtini, M.B.; Honorio, L.M.C.; Fonseca, M.G.; Trigueiro, P.; Caregnato, P.; Triboni, E.R.; Silva-Filho, E.C. Improved Remediation of Contaminated Water Using ZnO Systems via Chemical Treatment: Applications, Implications and Toxicological Mitigation. Sustain. Water Resour. Manag. 2023, 9, 42. [Google Scholar] [CrossRef]
- Bel Hadjltaief, H.; Ben Ameur, S.; Da Costa, P.; Ben Zina, M.; Elena Galvez, M. Photocatalytic Decolorization of Cationic and Anionic Dyes over ZnO Nanoparticle Immobilized on Natural Tunisian Clay. Appl. Clay Sci. 2018, 152, 148–157. [Google Scholar] [CrossRef]
- Kumari, P.; Kumar, A. Advanced Oxidation Process: A Remediation Technique for Organic and Non-Biodegradable Pollutant. Results Surf. Interfaces 2023, 11, 100122. [Google Scholar] [CrossRef]
- Yu, S.-Y.; Xie, Z.-H.; Yu Wu, X.-; Zheng, Y.-Z.; Shi, Y.; Xiong, Z.-K.; Zhou, P.; Liu, Y.; He, C.-S.; Pan, Z.-C.; et al. Review of Advanced Oxidation Processes for Treating Hospital Sewage to Achieve Decontamination and Disinfection. Chin. Chem. Lett. 2023, 35, 108714. [Google Scholar] [CrossRef]
- Khan, M.M. Fundamentals and Principles of Photocatalysis. In Theoretical Concepts of Photocatalysis; Elsevier: Amsterdam, The Netherlands, 2023; pp. 15–32. [Google Scholar]
- Wetchakun, K.; Wetchakun, N.; Sakulsermsuk, S. An Overview of Solar/Visible Light-Driven Heterogeneous Photocatalysis for Water Purification: TiO2-and ZnO-Based Photocatalysts Used in Suspension Photoreactors. J. Ind. Eng. Chem. 2019, 71, 19–49. [Google Scholar] [CrossRef]
- Rocha, R.L.P.; Honorio, L.M.C.; Bezerra, R.D.D.S.; Trigueiro, P.; Duarte, T.M.; Fonseca, M.G.; Silva-Filho, E.C.; Osajima, J.A. Light-Activated Hydroxyapatite Photocatalysts: New Environmentally-Friendly Materials to Mitigate Pollutants. Minerals 2022, 12, 525. [Google Scholar] [CrossRef]
- Chen, D.; Cheng, Y.; Zhou, N.; Chen, P.; Wang, Y.; Li, K.; Huo, S.; Cheng, P.; Peng, P.; Zhang, R.; et al. Photocatalytic Degradation of Organic Pollutants Using TiO2-Based Photocatalysts: A Review. J. Clean. Prod. 2020, 268, 121725. [Google Scholar] [CrossRef]
- Kumar, A.; Naushad, M.; Rana, A.; Inamuddin; Preeti; Sharma, G.; Ghfar, A.A.; Stadler, F.J.; Khan, M.R. ZnSe-WO3 Nano-Hetero-Assembly Stacked on Gum Ghatti for Photo-Degradative Removal of Bisphenol A: Symbiose of Adsorption and Photocatalysis. Int. J. Biol. Macromol. 2017, 104, 1172–1184. [Google Scholar] [CrossRef] [PubMed]
- Priya; Kaith, B.S.; Shanker, U.; Gupta, B. Synergic Effect of Guggul Gum Based Hydrogel Nanocomposite: An Approach towards Adsorption-Photocatalysis of Magenta-O. Int. J. Biol. Macromol. 2020, 161, 457–469. [Google Scholar] [CrossRef] [PubMed]
- Manickam, A.; Selvakumaran, D.; Narendran, K.; Abdul Razack, S.; Selvakumar, S.; Krishnamurthy, B. Fabrication of Gum Acacia Protected Zinc Oxide Nanoparticles for UV Assisted Photocatalysis of Methyl Green Textile Dye. Chem. Phys. Lett. 2022, 800, 139662. [Google Scholar] [CrossRef]
- Araujo, F.P.; Honorio, L.M.C.; Lima, I.S.; Trigueiro, P.; Almeida, L.C.; Fechine, P.B.A.; Santos, F.E.P.; Peña-Garcia, R.; Silva-Filho, E.C.; Osajima, J.A. New Composite TiO2/Naturals Gums for High Efficiency in Photodiscoloration Process. Ceram. Int. 2020, 46, 15534–15543. [Google Scholar] [CrossRef]
- Chen, F.; Chang, X.; Xu, H.; Fu, X.; Ding, S.; Wang, R. Gellan Gum-Based Functional Films Integrated with Bacterial Cellulose and Nano-TiO2/CuO Improve the Shelf Life of Fresh-Cut Pepper. Food Packag. Shelf Life 2023, 38, 101103. [Google Scholar] [CrossRef]
- Ismail, N.A.; Amin, K.A.M.; Majid, F.A.A.; Razali, M.H. Gellan Gum Incorporating Titanium Dioxide Nanoparticles Biofilm as Wound Dressing: Physicochemical, Mechanical, Antibacterial Properties and Wound Healing Studies. Mater. Sci. Eng. C 2019, 103, 109770. [Google Scholar] [CrossRef]
- Seo, J.S.; Tumursukh, N.-E.; Choi, J.H.; Song, Y.; Jeon, G.; Kim, N.E.; Kim, S.J.; Kim, N.; Song, J.E.; Khang, G. Modified Gellan Gum-Based Hydrogel with Enhanced Mechanical Properties for Application as a Cell Carrier for Cornea Endothelial Cells. Int. J. Biol. Macromol. 2023, 236, 123878. [Google Scholar] [CrossRef]
- Yang, Z.; Li, C.; Wang, T.; Li, Z.; Zou, X.; Huang, X.; Zhai, X.; Shi, J.; Shen, T.; Gong, Y.; et al. Novel Gellan Gum-Based Probiotic Film with Enhanced Biological Activity and Probiotic Viability: Application for Fresh-Cut Apples and Potatoes. Int. J. Biol. Macromol. 2023, 239, 124128. [Google Scholar] [CrossRef]
- Razali, M.H.; Ismail, N.A.; Mohd Zulkafli, M.F.A.; Amin, K.A.M. 3D Nanostructured Materials: TiO2 Nanoparticles Incorporated Gellan Gum Scaffold for Photocatalyst and Biomedical Applications. Mater. Res. Express 2018, 5, 035039. [Google Scholar] [CrossRef]
- Araujo, F.P.; Trigueiro, P.; Honório, L.M.C.; Furtini, M.B.; Oliveira, D.M.; Almeida, L.C.; Garcia, R.R.P.; Viana, B.C.; Silva-Filho, E.C.; Osajima, J.A. A Novel Green Approach Based on ZnO Nanoparticles and Polysaccharides for Photocatalytic Performance. Dalton Trans. 2020, 49, 16394–16403. [Google Scholar] [CrossRef]
- Honorio, L.M.C.; de Oliveira, A.L.M.; da Silva Filho, E.C.; Osajima, J.A.; Hakki, A.; Macphee, D.E.; Santos, I.M.G. dos Supporting the Photocatalysts on ZrO2: An Effective Way to Enhance the Photocatalytic Activity of SrSnO3. Appl. Surf. Sci. 2020, 528, 146991. [Google Scholar] [CrossRef]
- Freitas, W.; Trigueiro, P.; Marinho, T.; Honorio, L.M.; Silva-Filho, E.C.; Furtini, M.B.; Cecília, J.A.; Fonseca, M.G.; Osajima, J. The Role of Clay Mineral-Derived Photocatalysts in Insights of Remediation. Ceramics 2022, 5, 862–882. [Google Scholar] [CrossRef]
- Araujo, F.P.; Trigueiro, P.; Honório, L.M.C.; Oliveira, D.M.; Almeida, L.C.; Garcia, R.P.; Lobo, A.O.; Cantanhêde, W.; Silva-Filho, E.C.; Osajima, J.A. Eco-Friendly Synthesis and Photocatalytic Application of Flowers-like ZnO Structures Using Arabic and Karaya Gums. Int. J. Biol. Macromol. 2020, 165, 2813–2822. [Google Scholar] [CrossRef] [PubMed]
- Pavithra, S.; Bessy, T.C.; Bindhu, M.R.; Venkatesan, R.; Parimaladevi, R.; Alam, M.M.; Mayandi, J.; Umadevi, M. Photocatalytic and Photovoltaic Applications of Green Synthesized Titanium Oxide (TiO2) Nanoparticles by Calotropis Gigantea Extract. J. Alloys Compd. 2023, 960, 170638. [Google Scholar] [CrossRef]
- Chang, M.; Song, Y.; Chen, J.; Zhang, X.; Meng, D.; Zhu, H.; Shi, Z.; Zou, H.; Sheng, Y. Multisite Luminescence and Photocatalytic Properties of TiO2:Sm3+ and TiO2:Sm3+@TiO2/TiO2:Sm3+@SiO2 Luminescent Enhancement Materials. J. Alloys Compd. 2017, 725, 724–738. [Google Scholar] [CrossRef]
- Zhu, Z.; Long, Y.; Xue, X.; Yin, Y.; Zhu, B.; Xu, B. Phase-Transition Kinetics of Calcium-Doped TiO2: A High-Temperature XRD Study. Ceram. Int. 2022, 48, 25056–25063. [Google Scholar] [CrossRef]
- Razali, M.H.; Ismail, N.A.; Mat Amin, K.A. Titanium Dioxide Nanotubes Incorporated Gellan Gum Bio-Nanocomposite Film for Wound Healing: Effect of TiO2 Nanotubes Concentration. Int. J. Biol. Macromol. 2020, 153, 1117–1135. [Google Scholar] [CrossRef]
- Sopha, H.; Spotz, Z.; Sepúlveda, M.; Alijani, M.; Motola, M.; Hromadko, L.; Macak, J.M. Intrinsic Properties of Anodic TiO2 Nanotube Layers: In-Situ XRD Annealing of TiO2 Nanotube Layers. Ceram. Int. 2022, 49, 24293–24301. [Google Scholar] [CrossRef]
- Özdemir, A.O.; Caglar, B.; Çubuk, O.; Coldur, F.; Kuzucu, M.; Guner, E.K.; Doğan, B.; Caglar, S.; Özdokur, K.V. Facile Synthesis of TiO2-Coated Cotton Fabric and Its Versatile Applications in Photocatalysis, PH Sensor and Antibacterial Activities. Mater. Chem. Phys. 2022, 287, 126342. [Google Scholar] [CrossRef]
- Zhou, Z.; Yu, Y.; Fang, X.; Zhang, Z.; Wang, S.; Ma, W.; Wang, K. Comparative Study on the Effects of {2 0 1} TiO2 and {201}TiO2−ZrO2 on Arsenite Photocatalysis. Inorg. Chem. Commun. 2023, 154, 110945. [Google Scholar] [CrossRef]
- da Silva Lopes, J.; Rodrigues, W.V.; Oliveira, V.V.; Braga, A.D.N.S.; da Silva, R.T.; França, A.A.C.; da Paz, E.C.; Osajima, J.A.; da Silva Filho, E.C. Modification of Kaolinite from Pará/Brazil Region Applied in the Anionic Dye Photocatalytic Discoloration. Appl. Clay Sci. 2019, 168, 295–303. [Google Scholar] [CrossRef]
- Saw, K.G.; Aznan, N.M.; Yam, F.K.; Ng, S.S.; Pung, S.Y. New Insights on the Burstein-Moss Shift and Band Gap Narrowing in Indium-Doped Zinc Oxide Thin Films. PLoS ONE 2015, 10, e0141180. [Google Scholar] [CrossRef] [PubMed]
- Laysandra, L.; Sari, M.W.M.K.; Soetaredjo, F.E.; Foe, K.; Putro, J.N.; Kurniawan, A.; Ju, Y.H.; Ismadji, S. Adsorption and Photocatalytic Performance of Bentonite-Titanium Dioxide Composites for Methylene Blue and Rhodamine B Decoloration. Heliyon 2017, 3, e00488. [Google Scholar] [CrossRef] [PubMed]
- Abdennouri, M.; Baâlala, M.; Galadi, A.; El Makhfouk, M.; Bensitel, M.; Nohair, K.; Sadiq, M.; Boussaoud, A.; Barka, N. Photocatalytic Degradation of Pesticides by Titanium Dioxide and Titanium Pillared Purified Clays. Arab. J. Chem. 2016, 9, S313–S318. [Google Scholar] [CrossRef]
- Li, Y.; Feng, Y.; Bai, H.; Liu, J.; Hu, D.; Fan, J.; Shen, H. Enhanced Visible-Light Photocatalytic Performance of Black TiO2/SnO2 Nanoparticles. J. Alloys Compd. 2023, 960, 170672. [Google Scholar] [CrossRef]
- Bel Hadjltaief, H.; Galvez, M.E.; Ben Zina, M.; Da Costa, P. TiO2/Clay as a Heterogeneous Catalyst in Photocatalytic/Photochemical Oxidation of Anionic Reactive Blue 19. Arab. J. Chem. 2019, 12, 1454–1462. [Google Scholar] [CrossRef]
- Huo, M.; Guo, H.; Jiang, Y.; Ju, H.; Xue, B.; Li, F. A Facile Method of Preparing Sandwich Layered TiO2 in between Montmorillonite Sheets and Its Enhanced UV-Light Photocatalytic Activity. J. Photochem. Photobiol. A Chem. 2018, 358, 121–129. [Google Scholar] [CrossRef]
- Santoso, S.P.; Angkawijaya, A.E.; Bundjaja, V.; Hsieh, C.W.; Go, A.W.; Yuliana, M.; Hsu, H.Y.; Tran-Nguyen, P.L.; Soetaredjo, F.E.; Ismadji, S. TiO2/Guar Gum Hydrogel Composite for Adsorption and Photodegradation of Methylene Blue. Int. J. Biol. Macromol. 2021, 193, 721–733. [Google Scholar] [CrossRef]
- Mahy, J.G.; Mbognou, M.H.T.; Léonard, C.; Fagel, N.; Woumfo, E.D.; Lambert, S.D. Natural Clay Modified with ZnO/TiO2 to Enhance Pollutant Removal from Water. Catalysts 2022, 12, 148. [Google Scholar] [CrossRef]
- Fatimah, I.; Nurillahi, R.; Sahroni, I.; Muraza, O. TiO2-Pillared Saponite and Photosensitization Using a Ruthenium Complex for Photocatalytic Enhancement of the Photodegradation of Bromophenol Blue. Appl. Clay Sci. 2019, 183, 105302. [Google Scholar] [CrossRef]
- Mertah, O.; Gómez-Avilés, A.; Slassi, A.; Kherbeche, A.; Belver, C.; Bedia, J. Photocatalytic Degradation of Sulfamethoxazole with Co-CuS@TiO2 Heterostructures under Solar Light Irradiation. Catal. Commun. 2023, 175, 106611. [Google Scholar] [CrossRef]
- Gong, H.; Chu, W.; Chen, M.; Wang, Q. A Systematic Study on Photocatalysis of Antipyrine: Catalyst Characterization, Parameter Optimization, Reaction Mechanism a Toxicity Evolution to Plankton. Water Res. 2017, 112, 167–175. [Google Scholar] [CrossRef] [PubMed]
- Zhang, K.; Wang, J.; Ninakanti, R.; Verbruggen, S.W. Solvothermal Synthesis of Mesoporous TiO2 with Tunable Surface Area, Crystal Size and Surface Hydroxylation for Efficient Photocatalytic Acetaldehyde Degradation. Chem. Eng. J. 2023, 474, 145188. [Google Scholar] [CrossRef]
- Li, D.; Song, H.; Meng, X.; Shen, T.; Sun, J.; Han, W.; Wang, X. Effects of Particle Size on the Structure and Photocatalytic Performance by Alkali-Treated TiO2. Nanomaterials 2020, 10, 546. [Google Scholar] [CrossRef] [PubMed]
- Liang, Z.; Zhuang, X.; Tang, Z.; Deng, Q.; Li, H.; Kang, W. High-Crystalline Polymeric Carbon Nitride Flake Composed Porous Nanotubes with Significantly Improved Photocatalytic Water Splitting Activity: The Optimal Balance between Crystallinity and Surface Area. Chem. Eng. J. 2022, 432, 134388. [Google Scholar] [CrossRef]
- Lin, H.; Huang, C.P.; Li, W.; Ni, C.; Shah, S.I.; Tseng, Y.H. Size Dependency of Nanocrystalline TiO2 on Its Optical Property and Photocatalytic Reactivity Exemplified by 2-Chlorophenol. Appl. Catal. B 2006, 68, 1–11. [Google Scholar] [CrossRef]
- Cheng, H.; Wang, W.; Huang, B.; Wang, Z.; Zhan, J.; Qin, X.; Zhang, X.; Dai, Y. Tailoring AgI Nanoparticles for the Assembly of AgI/BiOI Hierarchical Hybrids with Size-Dependent Photocatalytic Activities. J. Mater. Chem. A Mater. 2013, 1, 7131–7136. [Google Scholar] [CrossRef]
- Cao, S.; Tao, F.F.; Tang, Y.; Li, Y.; Yu, J. Size- and Shape-Dependent Catalytic Performances of Oxidation and Reduction Reactions on Nanocatalysts. Chem. Soc. Rev. 2016, 45, 4747–4765. [Google Scholar] [CrossRef]
- Lopes, A.C.B.; Araújo, F.P.; Morais, A.I.S.; de Lima, I.S.; Honório, L.M.C.; Almeida, L.C.; Garcia, R.P.; Silva-Filho, E.C.; Furtini, M.B.; Osajima, J.A. TiO2/Karaya Composite for Photoinactivation of Bacteria. Materials 2022, 15, 4559. [Google Scholar] [CrossRef]
- Kruk, M.; Jaroniec, M. Gas Adsorption Characterization of Ordered Organic-Inorganic Nanocomposite Materials. Chem. Mater. 2001, 13, 3169–3183. [Google Scholar] [CrossRef]
- Bassi, A.; Hasan, I.; Qanungo, K.; Koo, B.H.; Khan, R.A. Visible Light Assisted Mineralization of Malachite Green Dye by Green Synthesized Xanthan Gum/Agar@ZnO Bionanocomposite. J. Mol. Struct. 2022, 1256, 132518. [Google Scholar] [CrossRef]
- Palem, R.R.; Bathula, C.; Shimoga, G.; Lee, S.H.; Ghfar, A.A.; Sekar, S.; Kim, H.S.; Seo, Y.S.; Rabani, I. Fabrication of Ru Loaded MgB2 with Guar Gum Hybrid for Photocatalytic Degradation of Crystal Violet. Int. J. Biol. Macromol. 2023, 253, 126948. [Google Scholar] [CrossRef] [PubMed]
- Alwared, A.I.; Mohammed, N.A.; Al-Musawi, T.J.; Mohammed, A.A. Solar-Induced Photocatalytic Degradation of Reactive Red and Turquoise Dyes Using a Titanium Oxide/Xanthan Gum Composite. Sustainability 2023, 15, 815. [Google Scholar] [CrossRef]
- Wang, X.; Han, D.; Ding, Y.; Liu, J.; Cai, H.; Jia, L.; Cheng, X.; Wang, J.; Fan, X. A Low-Cost and High-Yield Approach for Preparing g-C3N4 with a Large Specific Surface Area and Enhanced Photocatalytic Activity by Using Formaldehyde-Treated Melamine. J. Alloys Compd. 2020, 845, 156293. [Google Scholar] [CrossRef]
- Sharma, G.; Kumar, A.; Sharma, S.; Al-Muhtaseb, A.H.; Naushad, M.; Ghfar, A.A.; Ahamad, T.; Stadler, F.J. Fabrication and Characterization of Novel Fe0@Guar Gum-Crosslinked-Soya Lecithin Nanocomposite Hydrogel for Photocatalytic Degradation of Methyl Violet Dye. Sep. Purif. Technol. 2019, 211, 895–908. [Google Scholar] [CrossRef]
- Michael, M.P.; Singh, S.K.; Sahini, M.G. Facile Conglomeration of Guar Gum/TiO2/Fe3O4 Composite Materials for Photocatalytic Antimicrobial Activities. J. Indian Chem. Soc. 2022, 99, 100688. [Google Scholar] [CrossRef]
- Miranda, M.O.; Viana, B.C.; Honório, L.M.; Trigueiro, P.; Fonseca, M.G.; Franco, F.; Osajima, J.A.; Silva-Filho, E.C. Oxide-Clay Mineral as Photoactive Material for Dye Discoloration. Minerals 2020, 10, 132. [Google Scholar] [CrossRef]
- Szczepanik, B. Photocatalytic Degradation of Organic Contaminants over Clay-TiO2 Nanocomposites: A Review. Appl. Clay Sci. 2017, 141, 227–239. [Google Scholar] [CrossRef]
- Reza, K.M.; Kurny, A.; Gulshan, F. Parameters Affecting the Photocatalytic Degradation of Dyes Using TiO2: A Review. Appl. Water Sci. 2017, 7, 1569–1578. [Google Scholar] [CrossRef]
- Xu, D.; Ma, H. Degradation of Rhodamine B in Water by Ultrasound-Assisted TiO2 Photocatalysis. J. Clean. Prod. 2021, 313, 127758. [Google Scholar] [CrossRef]
- Lavudya, P.; Pant, H.; Srikanth, V.V.S.S.; Ammanabrolu, R. Mesoporous and Phase Pure Anatase TiO2 Nanospheres for Enhanced Photocatalysis. Inorg. Chem. Commun. 2023, 152, 110699. [Google Scholar] [CrossRef]
- Chauhan, T.; Udayakumar, M.; Ahmed Shehab, M.; Kristály, F.; Katalin Leskó, A.; Ek, M.; Wahlqvist, D.; Tóth, P.; Hernadi, K.; Németh, Z. Synthesis, Characterization, and Challenges Faced during the Preparation of Zirconium Pillared Clays. Arab. J. Chem. 2022, 15, 103706. [Google Scholar] [CrossRef]
- Khodamorady, M.; Bahrami, K. MNPs@BNPs@ZnO-ZnS as a Novel, Reusable and Efficient Photocatalyst for Dye Removal from Synthetic and Textile Wastewaters. SSRN Electron. J. 2022, 9, e16397. [Google Scholar] [CrossRef]
- Motshabi, B.R.; Ramohlola, K.E.; Modibane, K.D.; Kumar, D.; Hato, M.J.; Makhado, E. Ultrasonic-Assisted Synthesis of Xanthan Gum/ZnO Hydrogel Nanocomposite for the Removal of Methylene Blue from Aqueous Solution. Mater. Lett. 2022, 315, 131924. [Google Scholar] [CrossRef]
- Pathania, D.; Katwal, R.; Sharma, G.; Naushad, M.; Khan, M.R.; Al-Muhtaseb, A.H. Novel Guar Gum/Al2O3 Nanocomposite as an Effective Photocatalyst for the Degradation of Malachite Green Dye. Int. J. Biol. Macromol. 2016, 87, 366–374. [Google Scholar] [CrossRef] [PubMed]
- Balasubramanian, R.; Kim, S.S.; Lee, J.; Lee, J. Effect of TiO2 on Highly Elastic, Stretchable UV Protective Nanocomposite Films Formed by Using a Combination of k-Carrageenan, Xanthan Gum and Gellan Gum. Int. J. Biol. Macromol. 2019, 123, 1020–1027. [Google Scholar] [CrossRef]
- Cai, K.; Zheng, M.; Xu, H.; Zhu, Y.; Zhang, L.; Zheng, B. Gellan Gum/Graphene Oxide Aerogels for Methylene Blue Purification. Carbohydr. Polym. 2021, 257, 117624. [Google Scholar] [CrossRef]
- Hamza, M.F.; Guibal, E.; Wei, Y.; Fouda, A.; Althumayri, K.; Abu, H.A.; Mashaal, N.M. Journal of Water Process Engineering Functionalization of Thiosemicarbazide/Gellan Gum for the Enhancement of Cadmium Removal from Aqueous Solutions—Grafting of Tributyl Phosphate Derivative. J. Water Process Eng. 2023, 54, 103928. [Google Scholar] [CrossRef]
- Garcia, L.M.P.; Tavares, M.T.S.; Andrade Neto, N.F.; Nascimento, R.M.; Paskocimas, C.A.; Longo, E.; Bomio, M.R.D.; Motta, F.V. Photocatalytic Activity and Photoluminescence Properties of TiO2, In2O3, TiO2/In2O3 Thin Films Multilayer. J. Mater. Sci. Mater. Electron. 2018, 29, 6530–6542. [Google Scholar] [CrossRef]
- Nasrollahzadeh, M.S.; Hadavifar, M.; Ghasemi, S.S.; Arab Chamjangali, M. Synthesis of ZnO Nanostructure Using Activated Carbon for Photocatalytic Degradation of Methyl Orange from Aqueous Solutions. Appl. Water Sci. 2018, 8, 104. [Google Scholar] [CrossRef]
- Zyoud, A.H.; Zubi, A.; Zyoud, S.H.; Hilal, M.H.; Zyoud, S.; Qamhieh, N.; Hajamohideen, A.R.; Hilal, H.S. Kaolin-Supported ZnO Nanoparticle Catalysts in Self-Sensitized Tetracycline Photodegradation: Zero-Point Charge and PH Effects. Appl. Clay Sci. 2019, 182, 105294. [Google Scholar] [CrossRef]
- Rueda-Marquez, J.J.; Levchuk, I.; Fernández Ibañez, P.; Sillanpää, M. A Critical Review on Application of Photocatalysis for Toxicity Reduction of Real Wastewaters. J. Clean. Prod. 2020, 258, 120694. [Google Scholar] [CrossRef]
- Costa-Silva, M.; Araujo, F.P.; Guerra, Y.; Viana, B.C.; Silva-Filho, E.C.; Osajima, J.A.; Almeida, L.C.; Skovroinski, E.; Peña-Garcia, R. Photocatalytic, Structural and Optical Properties of Ce–Ni Co-Doped ZnO Nanodisks-like Self-Assembled Structures. Mater. Chem. Phys. 2022, 292, 126814. [Google Scholar] [CrossRef]










| Catalyst | Specific Surface Area (m2·g−1) | Pore Volume (cm3·g−1) | Average Pore Diameter (nm) |
|---|---|---|---|
| 1GGT | 80.59 | 0.1199 | 5.949 |
| 3GGT | 69.72 | 0.06847 | 3.928 |
| 5GGT | 28.71 | 0.03395 | 4.730 |
| TiO2 pristine | 2.8 | 0.0013 | 3.2 |
| Composites | Application | Ref. |
|---|---|---|
| TiO2-NTs/gellan gum | Actividad antibacterial | [17] |
| Gellan gum/graphene oxide aerogels | MB adsorption | [68] |
| Gellan gum–tiossemicarbazida | Cadmium removal | [69] |
| Xanthan gum/ZnO | Removal of MB | [65] |
| Xanthan gum/Agar@ZnO | Mineralization of malachite | [52] |
| Guar gum/TiO2/Fe3O4 | Photocatalysis of methyl | [57] |
| (3D) nanostructured gellan gum (GG) and TiO2 | Photodegradation of methyl orange | [20] |
Disclaimer/Publisher’s Note: The statements, opinions and data contained in all publications are solely those of the individual author(s) and contributor(s) and not of MDPI and/or the editor(s). MDPI and/or the editor(s) disclaim responsibility for any injury to people or property resulting from any ideas, methods, instructions or products referred to in the content. |
© 2024 by the authors. Licensee MDPI, Basel, Switzerland. This article is an open access article distributed under the terms and conditions of the Creative Commons Attribution (CC BY) license (https://creativecommons.org/licenses/by/4.0/).
Share and Cite
Xisto, M.R.; Damacena, D.H.L.; de Araújo, F.P.; Alves, D.; Honorio, L.M.C.; Peña-Garcia, R.; Almeida, L.; de Oliveira, J.A.; Furtini, M.B.; Osajima, J.A.; et al. Biopolymer Gellan-Gum-Based TiO2: A Green Alternative Photocatalyst Approach for Removal of Pollutants. Water 2024, 16, 315. https://doi.org/10.3390/w16020315
Xisto MR, Damacena DHL, de Araújo FP, Alves D, Honorio LMC, Peña-Garcia R, Almeida L, de Oliveira JA, Furtini MB, Osajima JA, et al. Biopolymer Gellan-Gum-Based TiO2: A Green Alternative Photocatalyst Approach for Removal of Pollutants. Water. 2024; 16(2):315. https://doi.org/10.3390/w16020315
Chicago/Turabian StyleXisto, Marcelo Ribeiro, Dihêgo Henrique L. Damacena, Francisca Pereira de Araújo, Durcilene Alves, Luzia Maria Castro Honorio, Ramon Peña-Garcia, Luciano Almeida, Joziel Alves de Oliveira, Marcelo Barbosa Furtini, Josy Anteveli Osajima, and et al. 2024. "Biopolymer Gellan-Gum-Based TiO2: A Green Alternative Photocatalyst Approach for Removal of Pollutants" Water 16, no. 2: 315. https://doi.org/10.3390/w16020315
APA StyleXisto, M. R., Damacena, D. H. L., de Araújo, F. P., Alves, D., Honorio, L. M. C., Peña-Garcia, R., Almeida, L., de Oliveira, J. A., Furtini, M. B., Osajima, J. A., & Silva-Filho, E. C. d. (2024). Biopolymer Gellan-Gum-Based TiO2: A Green Alternative Photocatalyst Approach for Removal of Pollutants. Water, 16(2), 315. https://doi.org/10.3390/w16020315

