Responses of Soil and Ammonia Nitrogen Loss Rates to Hydraulic Parameters under Different Slope Gradients and Rainfall Intensities
Abstract
1. Introduction
2. Materials and Methods
2.1. Soil and Slope Preparation
2.2. Rainfall Simulation
2.3. Experimental Procedure
2.4. Equations and Statistical Analysis
2.4.1. Soil Loss Rate and Ammonia Nitrogen Loss Rate
2.4.2. Hydraulic Parameters
2.4.3. Statistical Analysis
3. Results
3.1. Flow Hydraulic Parameters
3.1.1. Flow Velocity and Flow Depth
3.1.2. Flow Regime
3.1.3. Shear Stress, Stream Power, Unit Stream Power, and Unit Energy
3.1.4. Soil Loss Rate and Ammonia Nitrogen Loss Rate
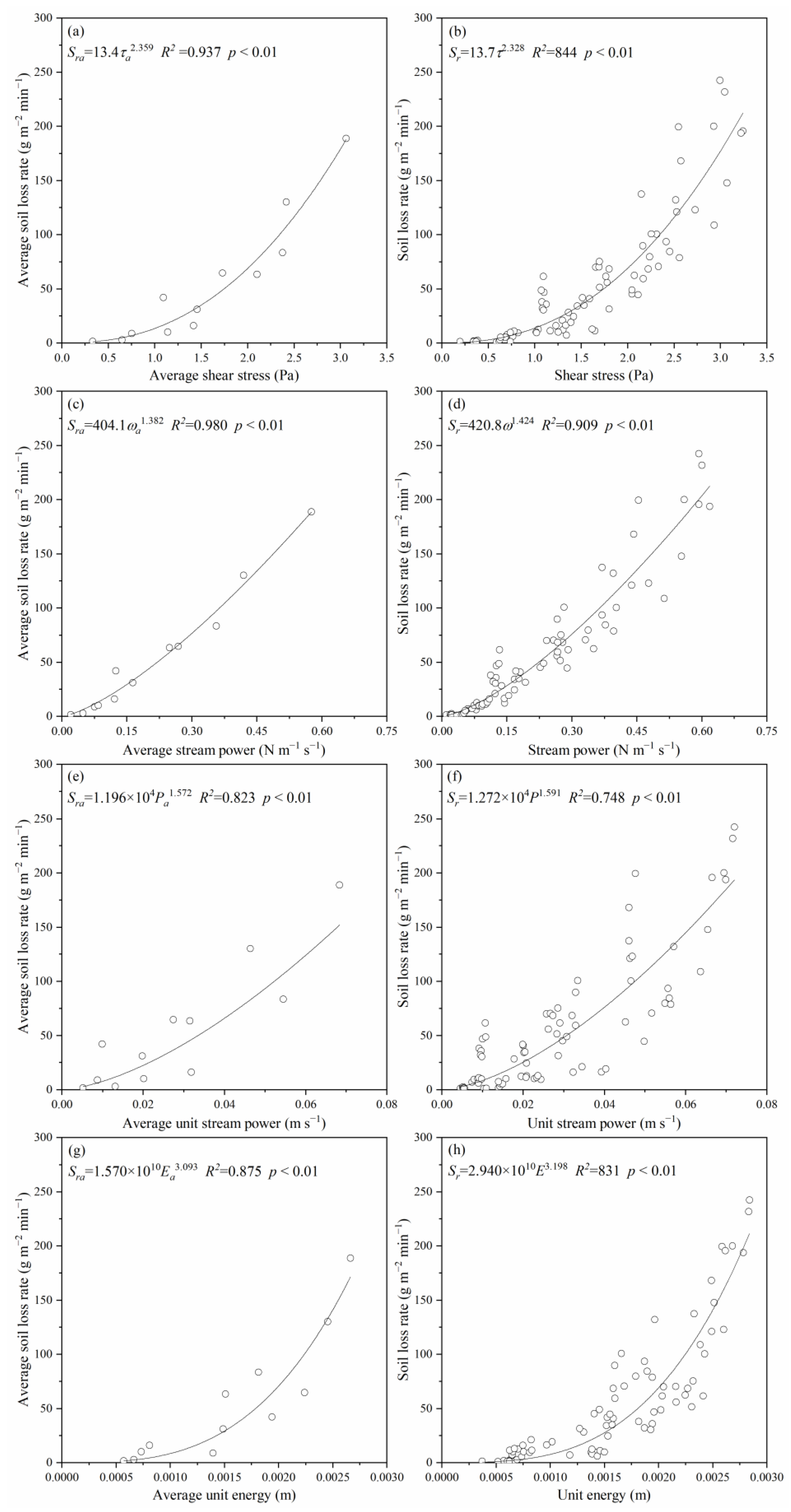
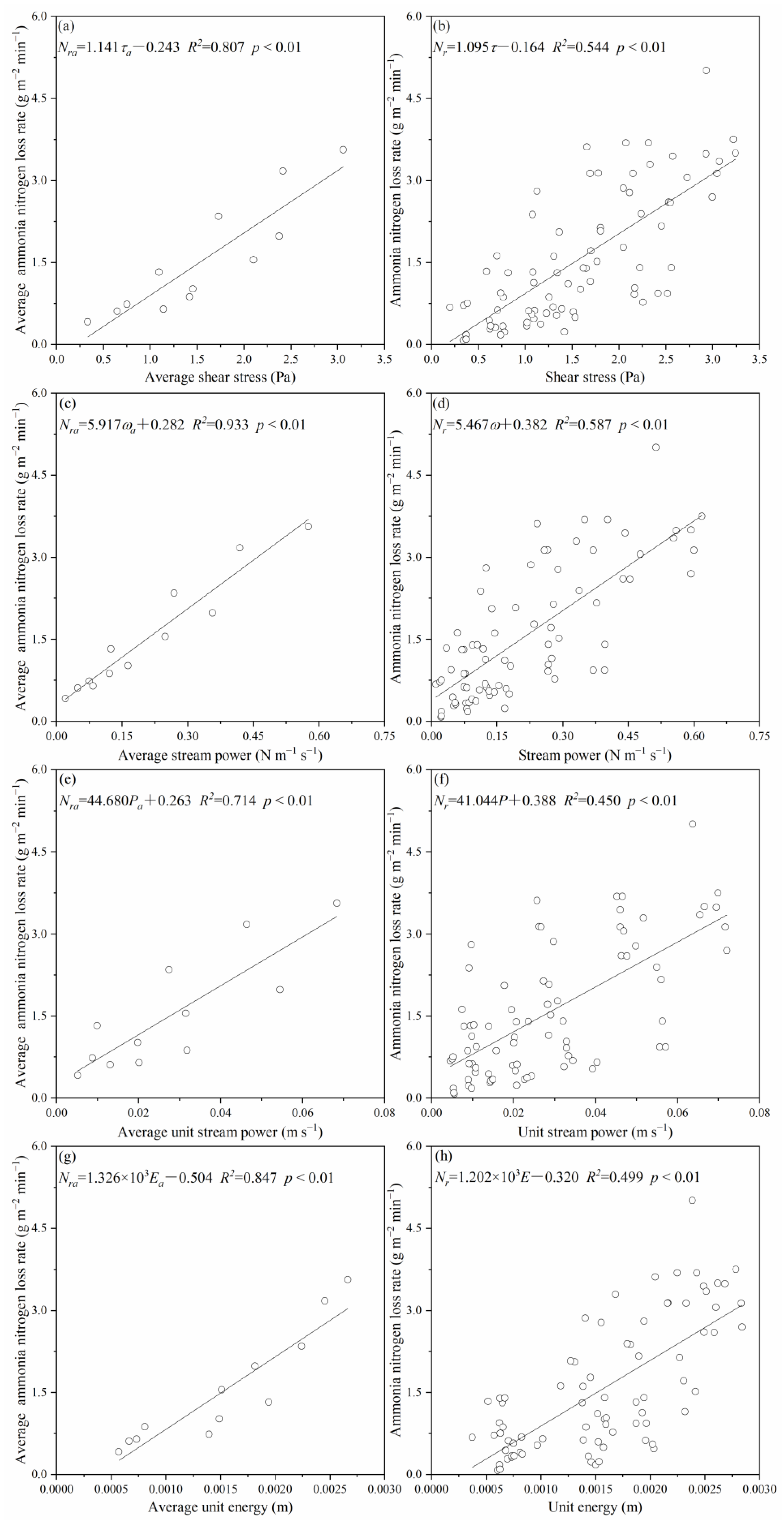
3.1.5. Relationship between Hydraulic Parameters, Soil Erosion Rate, and Ammonia Nitrogen Loss Rate
4. Discussion
4.1. Impact of Slope Gradient and Rainfall Intensity on Flow Hydraulic Parameters
4.2. Impact of Slope Gradient and Rainfall Intensity on Soil and Ammonia Nitrogen Loss
4.3. The Relationship between Soil Loss, Ammonia Nitrogen Loss and Hydraulic Parameters
5. Conclusions
Author Contributions
Funding
Data Availability Statement
Acknowledgments
Conflicts of Interest
References
- Borrelli, P.; Robinson, D.A.; Fleischer, L.R.; Lugato, E.; Ballabio, C.; Alewell, C.; Meusburger, K.; Modugno, S.; Schütt, B.; Ferro, V.; et al. An assessment of the global impact of 21st century land use change on soil erosion. Nat. Commun. 2017, 8, 2013. [Google Scholar] [CrossRef]
- Giménez-Morera, A.; Sinoga, J.D.R.; Cerdà, A. The impact of cotton geotextiles on soil and water losses from Mediterranean rainfed agricultural land. Land Degrad. Dev. 2010, 21, 210–217. [Google Scholar] [CrossRef]
- Govindaraju, R.S.; Kavvas, M.L. Modeling the erosion process over steep slopes: Approximate analytical solutions. J. Hydrol. 1991, 127, 279–305. [Google Scholar] [CrossRef]
- Zhang, X.C.; Nearing, M.A.; Norton, L.D.; Miller, W.P.; West, L.T. Modeling Interrill Sediment Delivery. Soil Sci. Soc. Am. J. 1998, 62, 438–444. [Google Scholar] [CrossRef]
- Nearing, M.A.; Norton, L.D.; Bulgakov, D.A.; Larionov, G.A.; West, L.T.; Dontsova, K.M. Hydraulics and erosion in eroding rills. Water Resour. Res. 1997, 33, 865–876. [Google Scholar] [CrossRef]
- Nearing, M.A.; Foster, G.R.; Lane, L.J.; Finkner, S.C. A Process-Based Soil Erosion Model for USDA-Water Erosion Prediction Project Technology. Trans. ASAE 1989, 32, 1587–1593. [Google Scholar] [CrossRef]
- Deelstra, J.; Iital, A.; Povilaitis, A.; Kyllmar, K.; Greipsland, I.; Blicher-Mathiesen, G.; Jansons, V.; Koskiaho, J.; Lagzdins, A. Reprint of “Hydrological pathways and nitrogen runoff in agricultural dominated catchments in Nordic and Baltic countries”. Agric. Ecosyst. Environ. 2014, 198, 65–73. [Google Scholar] [CrossRef]
- Li, X.; Fu, S.; Liu, B. Response of flow hydraulic parameters to different rock fragment coverages and sizes under simulated rainfall. Soil Tillage Res. 2023, 230, 105707. [Google Scholar] [CrossRef]
- Chen, B.; Zhang, X. Effects of slope vegetation patterns on erosion sediment yield and hydraulic parameters in slope-gully system. Ecol. Indic. 2022, 145, 109723. [Google Scholar] [CrossRef]
- Jomaa, S.; Barry, D.A.; Heng, B.C.P.; Brovelli, A.; Sander, G.C.; Parlange, J.Y. Effect of antecedent conditions and fixed rock fragment coverage on soil erosion dynamics through multiple rainfall events. J. Hydrol. 2013, 484, 115–127. [Google Scholar] [CrossRef]
- Peng, L.; Zhan-bin, L.; Liang-yong, Z. Hydrodynamics process of soil erosion and sediment yield by runoff on loess slope. Adv. Water Sci. 2006, 17, 444–449, (In Chinese with English Abstract). [Google Scholar]
- Polyakov, V.O.; Nearing, M.A. Sediment transport in rill flow under deposition and detachment conditions. CATENA 2003, 51, 33–43. [Google Scholar] [CrossRef]
- Mahmoodabadi, M.; Ghadiri, H.; Yu, B.; Rose, C. Morpho-dynamic quantification of flow-driven rill erosion parameters based on physical principles. J. Hydrol. 2014, 514, 328–336. [Google Scholar] [CrossRef]
- Wu, B.; Wang, Z.; Zhang, Q.; Shen, N.; Liu, J. Modelling sheet erosion on steep slopes in the loess region of China. J. Hydrol. 2017, 553, 549–558. [Google Scholar] [CrossRef]
- Wang, D.; Wang, Z.; Zhang, Q.; Zhang, Q.; Tian, N.; Liu, J.e. Sheet erosion rates and erosion control on steep rangelands in loess regions. Earth Surf. Process. Landf. 2018, 43, 2926–2934. [Google Scholar] [CrossRef]
- Wang, C.; Wang, B.; Wang, Y.; Wang, Y.; Zhang, W. Improved interrill erosion prediction by considering the impact of the near-surface hydraulic gradient. Soil Tillage Res. 2020, 203, 104687. [Google Scholar] [CrossRef]
- Wang, Y.; Luo, J.; Zheng, Z.; Li, T.; He, S.; Zhang, X.; Wang, Y.; Liu, T. Assessing the contribution of the sediment content and hydraulics parameters to the soil detachment rate using a flume scouring experiment. CATENA 2019, 176, 315–323. [Google Scholar] [CrossRef]
- Li, G.; Zheng, F.; Lu, J.; Xu, X.; Hu, W.; Han, Y. Inflow Rate Impact on Hillslope Erosion Processes and Flow Hydrodynamics. Soil Sci. Soc. Am. J. 2016, 80, 711–719. [Google Scholar] [CrossRef]
- Wu, B.; Li, L.; Xu, L.; Li, X. Modelling sheet erosion on steep slopes of clay loess soil using a rainfall simulator. Biosyst. Eng. 2022, 216, 1–12. [Google Scholar] [CrossRef]
- Guo, T.; Wang, Q.; Li, D.; Zhuang, J.; Wu, L. Flow hydraulic characteristic effect on sediment and solute transport on slope erosion. CATENA 2013, 107, 145–153. [Google Scholar] [CrossRef]
- Zhao, L.; Qin, Q.; Geng, H.; Zheng, F.; Zhang, X.J.; Li, G.; Xu, X.; Zhang, J. Effects of upslope inflow rate, tillage depth, and slope gradients on hillslope erosion processes and hydrodynamic mechanisms. CATENA 2023, 228, 107189. [Google Scholar] [CrossRef]
- Gong, T.; Zhu, Y.; Shao, M.a. Effect of embedded-rock fragments on slope soil erosion during rainfall events under simulated laboratory conditions. J. Hydrol. 2018, 563, 811–817. [Google Scholar] [CrossRef]
- Shen, H.; Zheng, F.; Wen, L.; Han, Y.; Hu, W. Impacts of rainfall intensity and slope gradient on rill erosion processes at loessial hillslope. Soil Tillage Res. 2016, 155, 429–436. [Google Scholar] [CrossRef]
- Zhao, X.; Song, X.; Li, L.; Wang, D.; Meng, P.; Li, H. Effect of microrelief features of tillage methods under different rainfall intensities on runoff and soil erosion in slopes. Int. Soil Water Conserv. Res. 2023. [Google Scholar] [CrossRef]
- Gómez, J.; Nearing, M. Runoff and sediment losses from rough and smooth soil surfaces in a laboratory experiment. CATENA 2005, 59, 253–266. [Google Scholar] [CrossRef]
- Schmaltz, E.M.; Johannsen, L.L.; Thorsøe, M.H.; Tähtikarhu, M.; Räsänen, T.A.; Darboux, F.; Strauss, P. Connectivity elements and mitigation measures in policy-relevant soil erosion models: A survey across Europe. CATENA 2024, 234, 107600. [Google Scholar] [CrossRef]
- Chen, R.; Li, H.; Wang, J.; Song, Z. Critical factors influencing soil runoff and erosion in sprinkler irrigation: Water application rate and droplet kinetic energy. Agric. Water Manag. 2023, 283, 108299. [Google Scholar] [CrossRef]
- Ban, Y.Y.; Wang, W.; Lei, T.W. Measurement of rill and ephemeral gully flow velocities and their model expression affected by flow rate and slope gradient. J. Hydrol. 2020, 589, 125172. [Google Scholar] [CrossRef]
- Huang, Y.; Chen, X.; Li, F.; Zhang, J.; Lei, T.; Li, J.; Chen, P.; Wang, X. Velocity of water flow along saturated loess slopes under erosion effects. J. Hydrol. 2018, 561, 304–311. [Google Scholar] [CrossRef]
- Liu, H.Q.; Yang, J.H.; Liu, C.X.; Diao, Y.F.; Ma, D.P.; Li, F.H.; Rahma, A.E.; Lei, T.W. Flow velocity on cultivated soil slope with wheat straw incorporation. J. Hydrol. 2020, 584, 124667. [Google Scholar] [CrossRef]
- Zhuang, X.; Wang, W.; Ma, Y.; Huang, X.; Lei, T. Spatial distribution of sheet flow velocity along slope under simulated rainfall conditions. Geoderma 2018, 321, 1–7. [Google Scholar] [CrossRef]
- Fu, B.; Wang, Y.; Zhu, B.; Wang, D.; Wang, X.; Wang, Y.; Ren, Y. Experimental study on rainfall infiltration in sloping farmland of purple soil. Trans. CSAE 2008, 24, 39–43. [Google Scholar]
- Shen, E.; Liu, G.; Dan, C.; Shu, C.; Wang, R.; Liu, X.; Zhou, J.; Chen, X. Combined effects of rainfall and flow depth on the resistance characteristics of sheet flow on gentle slopes. J. Hydrol. 2021, 603, 127112. [Google Scholar] [CrossRef]
- Nicosia, A.; Di Stefano, C.; Palmeri, V.; Pampalone, V.; Ferro, V. Flow resistance of overland flow on a smooth bed under simulated rainfall. CATENA 2020, 187, 104351. [Google Scholar] [CrossRef]
- Shi, F.; Zhang, F.; Shen, N.; Yang, M. Quantifying interactions between slope gradient, slope length and rainfall intensity on sheet erosion on steep slopes using Multiple Linear Regression. Sci. Total Environ. 2024, 908, 168090. [Google Scholar] [CrossRef] [PubMed]
- Zhang, Y.-B.; Zheng, F.-L.; Wu, M. Research progresses in agricultural non-point source pollution caused by soil erosion. Adv. Water Sci. 2007, 18, 132. [Google Scholar]
- Wu, L.; Peng, M.; Qiao, S.; Ma, X. Assessing impacts of rainfall intensity and slope on dissolved and adsorbed nitrogen loss under bare loessial soil by simulated rainfalls. CATENA 2018, 170, 51–63. [Google Scholar] [CrossRef]
- Zhao, L.; Fang, Q.; Hou, R.; Wu, F. Effect of rainfall intensity and duration on soil erosion on slopes with different microrelief patterns. Geoderma 2021, 396, 115085. [Google Scholar] [CrossRef]
- Li, X.; Zhang, Y.; Ji, X.; Strauss, P.; Zhang, Z. Effects of shrub-grass cover on the hillslope overland flow and soil erosion under simulated rainfall. Environ. Res. 2022, 214, 113774. [Google Scholar] [CrossRef]
- Ramos, M.C.; Lizaga, I.; Gaspar, L.; Quijano, L.; Navas, A. Effects of rainfall intensity and slope on sediment, nitrogen and phosphorous losses in soils with different use and soil hydrological properties. Agric. Water Manag. 2019, 226, 105789. [Google Scholar] [CrossRef]
- Tao, W.; Wu, J.; Wang, Q. Mathematical model of sediment and solute transport along slope land in different rainfall pattern conditions. Sci. Rep. 2017, 7, 44082. [Google Scholar] [CrossRef] [PubMed]
- Gutiérrez, M.; Biagioni, R.N.; Alarcón-Herrera, M.T.; Rivas-Lucero, B.A. An overview of nitrate sources and operating processes in arid and semiarid aquifer systems. Sci. Total Environ. 2018, 624, 1513–1522. [Google Scholar] [CrossRef]







| Soil Type | Soil Texture (%) | Soil Bulk Density (g cm−3) | pH | Organic Matter (g kg−1) | Total Nitrogen (g kg−1) | ||
|---|---|---|---|---|---|---|---|
| Sand/% (2.0–0.02 mm) | Silt/% (0.02–0.002 mm) | Clay/% (<0.002 mm) | |||||
| Sandy | 89.6 ± 0.4 | 5.4 ± 0.4 | 5.0 ± 0.3 | 1.45 ± 0.09 | 8.40 ± 0.16 | 2.81 ± 0.07 | 0.166 ± 0.02 |
| Predicted Parameter | R2 | MAE | MBE | WIA |
|---|---|---|---|---|
| Flow velocity | 0.979 | 0.0047 | −0.0001 | 0.995 |
| Flow depth | 0.949 | 0.1877 | −0.1877 | 0.962 |
| Shear stress | 0.981 | 0.0828 | 0.0111 | 0.995 |
| Stream power | 0.997 | 0.0076 | 0.0003 | 0.999 |
| Unit stream power | 0.995 | 0.0012 | 0.0007 | 0.998 |
| Unit energy | 0.993 | 0.0000 | 0.0000 | 0.998 |
| Soil loss rate | 0.990 | 4.4293 | 0.7808 | 0.997 |
| Ammonia nitrogen loss rate | 0.984 | 0.1052 | −0.0443 | 0.996 |
| Predicted Parameter | Hydraulic Parameter | R2 | MAE | MBE | WIA |
|---|---|---|---|---|---|
| Average soil loss rate | Average shear stress | 0.937 | 10.596 | −0.576 | 0.984 |
| Average stream power | 0.980 | 5.430 | 0.043 | 0.995 | |
| Average unit stream power | 0.823 | 18.788 | −1.369 | 0.951 | |
| Average unit energy | 0.875 | 14.786 | −2.490 | 0.967 | |
| Soil loss rate | Shear stress | 0.844 | 16.070 | −0.670 | 0.957 |
| Stream power | 0.909 | 12.024 | −0.289 | 0.976 | |
| Unit stream power | 0.748 | 22.258 | −1.969 | 0.926 | |
| Unit energy | 0.831 | 18.470 | −2.648 | 0.954 |
| Predicted Parameter | Hydraulic Parameter | R2 | MAE | MBE | WIA |
|---|---|---|---|---|---|
| Average ammonia nitrogen loss rate | Average shear stress | 0.807 | 0.4009 | 0.0004 | 0.944 |
| Average stream power | 0.933 | 0.2070 | 0.0002 | 0.982 | |
| Average unit stream power | 0.714 | 0.4374 | 0.0002 | 0.910 | |
| Average unit energy | 0.847 | 0.3238 | −0.0023 | 0.958 | |
| Ammonia nitrogen loss rate | Shear stress | 0.544 | 0.6201 | 0.0003 | 0.836 |
| Stream power | 0.587 | 0.6071 | 0.0004 | 0.857 | |
| Unit stream power | 0.450 | 0.6966 | 0.0005 | 0.785 | |
| Unit energy | 0.499 | 0.6868 | −0.0012 | 0.809 |
Disclaimer/Publisher’s Note: The statements, opinions and data contained in all publications are solely those of the individual author(s) and contributor(s) and not of MDPI and/or the editor(s). MDPI and/or the editor(s) disclaim responsibility for any injury to people or property resulting from any ideas, methods, instructions or products referred to in the content. |
© 2024 by the authors. Licensee MDPI, Basel, Switzerland. This article is an open access article distributed under the terms and conditions of the Creative Commons Attribution (CC BY) license (https://creativecommons.org/licenses/by/4.0/).
Share and Cite
Yang, H.; Wei, C.; Sun, G.; Tao, X.; Wang, Y.; Xing, W. Responses of Soil and Ammonia Nitrogen Loss Rates to Hydraulic Parameters under Different Slope Gradients and Rainfall Intensities. Water 2024, 16, 230. https://doi.org/10.3390/w16020230
Yang H, Wei C, Sun G, Tao X, Wang Y, Xing W. Responses of Soil and Ammonia Nitrogen Loss Rates to Hydraulic Parameters under Different Slope Gradients and Rainfall Intensities. Water. 2024; 16(2):230. https://doi.org/10.3390/w16020230
Chicago/Turabian StyleYang, Hao, Chenchen Wei, Guanghui Sun, Xueqing Tao, Yitong Wang, and Weimin Xing. 2024. "Responses of Soil and Ammonia Nitrogen Loss Rates to Hydraulic Parameters under Different Slope Gradients and Rainfall Intensities" Water 16, no. 2: 230. https://doi.org/10.3390/w16020230
APA StyleYang, H., Wei, C., Sun, G., Tao, X., Wang, Y., & Xing, W. (2024). Responses of Soil and Ammonia Nitrogen Loss Rates to Hydraulic Parameters under Different Slope Gradients and Rainfall Intensities. Water, 16(2), 230. https://doi.org/10.3390/w16020230
