Abstract
This study discusses the planning of a regional-scale water–food nexus (WFN) system using an inexact fuzzy chance constraint programming (IFCCP) method. The IFCCP approach can handle uncertainties expressed as interval and fuzzy parameters, as well as the preferences of decision makers. An inexact fuzzy chance constraint programming-based water–food nexus (IFCCP-WFN) model has been developed for the City of Jinan with the consideration of various restrictions related to water and land availability, as well as food and vegetable demands. Solutions for the planting areas for different crops in different periods have been generated under the different preferences of decision makers. The water resource availability would be the priority factor affecting the WFN system under demanding conditions, in which wheat cultivation would be dominated by this factor under fuzzy confidence levels of 0.2 and 0.5, and the planting area of corn would be determined by this factor under high fuzzy confidence levels (e.g., 0.8). In addition, the reliability of irrigation would decrease with increasing fuzzy confidence levels under demanding conditions, limiting the planting areas for crops and leading to a decreasing trend of the system benefit. Adequate water resources would be available for irrigation under optimistic conditions, implying no significant contributions to the planting schemes. Nevertheless, increasing food loss rates would result in more planting areas to satisfy food requirements and thus a greater system benefit under advantageous conditions. Compared with the developed IFCCP-WFN model, the interval-linear-programming-based water–food nexus (ILP-WFN) model can merely reflect the lower and upper bounds of uncertain parameters and neglects the inherent distributional information within the fuzzy parameters. Thus, the ILP-WFN model is unable to reveal the inherent impacts of the fuzzy parameters on the resulting planting strategies.
1. Introduction
Water and food are two of the most critical resources to support human life and socio-economic development, and their demands have been steadily increasing worldwide in the past few decades, especially in developing countries. A recent report from the United Nations (UN) estimated that more than 2 billion people live in countries with high water stress, and about 4 billion people experience severe water scarcity at least one month of the year [1]. Moreover, the global report on food crises showed that at least 155 million people were food-insecure and in need of urgent assistance [2]. However, managing water and food systems is becoming more challenging due to limited resources, such as water and arable land, and growing environmental concerns [3,4]. The interdependence between water and food systems will further complicate the management of the water–food nexus (WFN) [5,6,7,8,9,10]. For example, fresh water is essential for agricultural irrigation in order to meet the food demand, whilst the effluents from farming will need to be managed/controlled to avoid pollution issues for water systems [9]. In addition, efficient strategies for managing the WFN also face extensive uncertainties that are embedded in different system components and presented in different formats [11,12,13,14,15]. Therefore, developing effective policies for managing the WFN requires the consideration of various uncertainties. This highlights the need to explore innovative methods for managing the WFN that can handle uncertainties and provide efficient strategies for decision makers.
Several studies have been conducted to investigate efficient management strategies for the water–food nexus (i.e., WFN) or the water–energy–food nexus (WEFN). For example, Zhang and Vesselinov [13] developed an integrated model called WEFO (Water, Energy and Food security nexus Optimization model) to support decision making and address trade-offs in managing water, energy, and food resources. Salmoral and Yan [8] used the theory of virtual water and embedded energy to explore water and energy allocations in the economic system. Mortada et al. [15] developed an optimization model to allocate resources to sustainable water and food security while considering various constraints. Govindan and Al-Ansari [16] developed a computational framework that uses advanced techniques in computational intelligence to model the interactions between the energy, water, and food sectors. Núñez-López et al. [17] developed a nonlinear programming model to optimize resilience for the WEFN and improve the system’s functionality.
Due to the extensive uncertainties existing in WFN or WEFN systems, inexact optimization methods have been proposed to address various uncertainties in these systems. For example, Sun et al. [18] developed a possibilistic-flexible chance-constrained programming approach to investigate the impacts of irrigation efficiency on the management of agricultural water–land nexus systems in the Amu Darya River basin in Central Asia. This approach adopted possibilistic distributions, flexible variables, and probabilistic distributions to address different uncertainties in water–land nexus systems. Using intuitionistic fuzzy numbers to handle system uncertainties, an agricultural water–energy–food sustainable management (AWEFSM) model was proposed by Li et al. [19] for the WEFN’s sustainable management with limited resources in agricultural systems. The multistage stochastic fuzzy random programming (MSFRP) model proposed by Ji et al. [20] is able to deal with both fuzzy and random uncertainties in the WEFN system. Deeper uncertainties were reflected by a mixture of fuzzy and random fuzzy variables. Gu et al. [21] developed interval parameter multistage joint-probability programming (IMJP) to deal with water resource allocation under uncertainty.
Although several studies have attempted to address uncertainties in WFN management, challenges remain. Firstly, the presentation of uncertain parameters in different formats (e.g., interval, fuzzy, or random variables) due to data availability requires efficient approaches to incorporate multiple uncertainties in the WFN system. Additionally, the preferences of decision makers will have significant impacts on WFN management strategies, especially in an uncertain environment, which has yet to be addressed. For instance, the IMJP method developed by Gu et al. [21] can deal with both interval and random variables. However, some uncertain parameters may not be quantified as probability distributions due to insufficient data availability. Moreover, such a method can hardly reflect the subjective/linguistic attitudes of decision makers. To overcome these challenges, this study proposes an inexact fuzzy chance constraint programming model for water–food nexus (IFCCP-WFN) management. The IFCCP-WFN model is developed by considering constraints on water consumption and fertilizer and pesticide utilization. The uncertainties in the model parameters are reflected by both interval and fuzzy variables. The interactive two-step method, coupled with measures of possibility and necessity, is further adopted to solve the proposed IFCCP-WFN model to generate the desired planting structure under the different preferences of decision makers. The IFCCP-WFN model is then applied to develop management strategies for the WFN in the City of Jinan, China.
2. Model Development and Solution Method
2.1. IFCCP-WFN Modeling Formulation
The water–food nexus (WFN) system is complex and subject to various uncertainties, which can be presented in different formats across its components. Additionally, management strategies for the WFN system need to account for numerous restrictions and requirements, such as water availability, food demand, arable land, and environmental concerns. As a result, decision makers must balance the trade-offs between water and food systems while also maximizing overall profits and considering the associated uncertainties. To address these challenges, the proposed IFCCP-WFN model aims to support the management of agricultural activities by considering constraints on water consumption, as well as fertilizer and pesticide utilization, and the associated uncertainties. Following previous studies [7,8,22,23], the IFCCP-WFN model’s objective function includes crop sales revenues and the costs of using various resources, excluding labor costs. Therefore, the objective of the IFCCP-WFN model can be formulated as follows [7,8,22,23]:
(1) Revenues from agricultural products
(2) Cost of water supply
(3) Cost of water treatment
(4) Cost of fertilizer utilization
(5) Cost of pesticide utilization
where t = planning period, i = water sources, v = the type of crops, = sown areas of crop v in period t (ha), = unit weight of the crop product (kg∙ha−1), = unit revenue of the crop product (CNY∙kg−1), = water supply cost (CNY∙m−3), = water treatment cost (CNY∙m−3), = water supply amount (m3), = the cost of fertilizer (CNY∙kg−1), = fertilizer utilization amount for different crops (kg∙ha−1), = the cost of pesticide (CNY∙kg−1), and = pesticide utilization amount for different crops (kg∙ha−1).
The IFCCP-WFN model considers multifaceted and comprehensive constraints related to current circumstances and future development alternatives, including restricted farming areas for different crops, limited water resources, and other environmental and food security concerns [8,22]. These constraints support agricultural development and mitigate conflicts among socio-economic development, environmental protection, and other aspects, ultimately leading to the sustainable development of the WFN system. The detailed constraints are as follows:
(1) Arable land constraint [7,8,22,23]
where and , respectively, represent the minimum and maximum planting areas of crops in order to avoid large price fluctuations for agricultural products. indicates the total arable land availability.
(2) Food balance constraint [22,23]:
where is the food demand (kg/person) in different periods; , expressed as fuzzy variables, indicates population sizes over the planning horizon; indicates the cereal loss rate in production, transportation, and other processes, estimated as a fuzzy number; means the food self-sufficiency rate; is the loss rate for vegetables, which is also estimated a fuzzy number; and denotes the vegetable demand in kg/person.
(3) Water resource availability [20]:
where , estimated as a fuzzy parameter, indicates the reliability of irrigation; denotes the irrigation quota for different crops in different planning periods; represents the water availability in period t.
(4) Technical constraints
There are several underlying assumptions in the IFCCP-WFN model. Firstly, the model considers water availability that is specifically allocated to agricultural production, excluding the water used by other sectors. Future water supplies from surface, ground, and recycled water sources are estimated using regression methods based on historical data on water resources allocated to agricultural production. Secondly, there are additional costs associated with agricultural production, such as irrigation costs. In this study, it is assumed that these irrigation costs are included in the overall water supply costs of different water resources. Finally, the crop product prices (e.g., wheat, corn, vegetables) and raw materials (e.g., fertilizers, pesticides) are expected to have a complex relationship with their respective supply–demand curves [22]. However, the crop product prices in the future are estimated by adding an inflation rate to historical revenues with variation ranges incorporated to account for price volatility in this study. The introduction of uncertain parameters in the developed WFN model is primarily driven by the need to capture these price fluctuations. These assumptions may not capture all of the complexities and nuances of the real-world dynamics and interactions within the WFN system. They are simplifications made in order to create a manageable model for analysis.
2.2. Solution Method for IFCCP-WFN Model
Extensive uncertainties exist in the management practices of the WFN system. Moreover, different parameters may be presented in different formats, such as intervals or fuzzy numbers, due to data availability. For example, the unit weights (i.e., ) and unit prices (i.e., ) are intervals, while the reliability of irrigation (i.e., ), population (i.e., ), and loss rates (i.e., ) of food and vegetables (i.e., ) are fuzzy numbers. Consequently, the IFCCP method was employed to address these multiple uncertainties in the WFN system. The IFCCP method was developed by integrating fuzzy chance constraints into the interval linear programming (ILP) method, in which measures of necessity and possibility were adopted to reflect the constraints with fuzzy parameters. The IFCCP method can reflect multiple uncertainties expressed as interval and fuzzy variables. In particular, this method is able to reveal the impact of people’s preferences on the obtained WFN management strategies through fuzzy chance constraints [24].
Consider general inexact fuzzy chance constraint programming, which has both interval and fuzzy parameters, as follows:
subject to
The interactive two-step method is commonly used to handle interval parameters in Model (6a)–(6d), generating solutions for the lower and upper bounds of the objective functions [25,26,27,28]. To handle inequality constraints with the fuzzy parameters presented in Equation (6c), different techniques were developed, such as the α-cut scheme [29], lexicographic criteria [30], and possibility and necessity measures [31,32]. Possibility and necessity measures are employed to tackle fuzzy parameters in constraints, which have been widely used in practical management problems with fuzzy uncertainties, such as portfolio selection and production–inventory control [30,33,34,35].
Based on the interactive two-step method for solving interval programming [25] and the measures of possibility and necessity for reflecting fuzzy inequality [36,37], Huang et al. [24] converted the IFCCP model into two submodels, respectively, corresponding to optimistic and pessimistic conditions. Therefore, Model (6a)–(6d) can be converted into two conventional submodels with deterministic parameters as follows [24]:
Pessimistic submodel:
subject to
where for j = 1, 2, …, k and for j = k + 1, …, n. Nes{.} is the measure of necessity for fuzzy numbers. α is the fuzzy confidence level to reflect the preference of decision makers. Consider two fuzzy numbers and , with their membership functions being and . For a confidence level , the measure of necessity can be expressed as [31,32]:
where is the upper bound of the (1−α)-cut of fuzzy number , is the lower bound of the α-cut of fuzzy number .
Optimistic submodel:
subject to
where (j = 1, 2, …, k) and (j = k + 1, …, n) are the solutions obtained from the pessimistic submodel (i.e., Model (7)). Pos{.} is the measure of possibility for fuzzy numbers, which can be expressed as follows [31,32]:
where is the lower bound of the α-cut of fuzzy number , and is the upper bound of the α-cut for fuzzy number .
Based on Submodels (7) and (9), the interval solutions for Model (7) can be obtained as
2.3. Illustrative Example
To illustrate the solution process of the IFCCP method, a numerical example is proposed to show how an IFCCP model would be converted into two submodels, respectively, corresponding to the optimistic and pessimistic conditions.
subject to
where = [2.5, 4], = [2, 3.5], = [0.5, 1.5], = [0.5, 1.5], and = [2.2, 4] are interval parameters. Additionally, = (1, 0.5, 0.4)LR, = (1.5, 0.5, 0.5)LR, and = (5, 1, 2)LR indicate triangular fuzzy numbers, with their membership functions presented in Figure 1.
Figure 1.
Memberships of fuzzy numbers in the illustrative example.
Based on the solution method outlined in Section 2.2, the illustrative example described by Equation (12) can be transformed into two submodels representing the lower and upper bounds of the objective function. The initial submodel corresponds to the lower bounds of the objective function and is designed for pessimistic or demanding conditions. This submodel can be formulated as follows:
subject to
Likewise, the optimistic submodel can be formulated as follows:
subject to
where and are solutions from Submodel (13). For Model (12), a set of interval solutions will be obtained through Submodels (13) and (14) under each fuzzy confidence level (i.e., α). For instance, if two fuzzy confidence levels of 0.3 and 0.5 are selected, the detailed submodels and final solutions are those presented in Table 1.
Table 1.
Solution process of Model (12) under fuzzy confidence levels of 0.3 and 0.5.
3. Case Study
3.1. Overview of the Study System
The proposed IFCCP-WFN model was applied in Jinan, Shandong Province, to manage the local WFN system. Jinan (Figure 2) is the capital of Shandong, with a population size of 8.9 million and a gross domestic product (GDP) of over 1000 billion Chinese yuan (CNY). The major crops are wheat, corn, and vegetables, with their sown areas accounting for more than 85% of the total cultivation area. Figure 3 presents the variations in crop areas for wheat, corn, and vegetables. It indicates that even though crop prices have complex relationships with the supply–demand curves, there are no visible increasing or decreasing trends observed in the past few years. This implies that simplifying the relationship between crop prices and supply–demand curves would be valid in the proposed IFCCP-WFN model in Equations (1)–(5). The water demands in the agricultural, industrial, municipal, and environmental sectors were, respectively, 8.24 × 108, 2.95 × 108, 3.59 × 108, and 2.51 × 108 m3, which were satisfied by surface water, groundwater, and recycled water, with the supplies from the three water sources, respectively, being 11.64 × 108, 6.44 × 108 and 1.52 × 108 m3 in 2019 [38]. Effective management strategies are required to ensure food security and achieve a sustainable water system.
Figure 2.
The location of the study area.
Figure 3.
Variation in crop sown areas from 2013 to 2019.
3.2. Data Collection
Table 2 presents the parameters related to agricultural activities in the Jinan area. Economic parameters, such as the prices of agricultural products, fertilizers, and pesticides, as well as fertilizer and pesticide utilization for different crops, are also included. The crop irrigation quotas were collected from local irrigation standards released by the Shandong Water Resources Department. All parameters were collected from provincial and local statistical yearbooks and the relevant literature [23,37,38,39,40,41,42]. The planning horizon is divided into five planning periods, covering the five years from 2022 to 2026.
Table 2.
Agriculture-related coefficients [23,38,39,40,41].
Table 3 presents water-related parameters, such as the costs of water supply and treatment [20,21,22,23,24], and water availability projected through statistical regression based on historical supply data for surface, ground, and recycled water from 2011 to 2018 [38]. Table 4 shows future food demands for wheat, corn, and vegetables adopted from China Agricultural Outlook (2020–2029), where cereal (i.e., wheat and corn) demands include both direct usage for food production and indirect utilization for livestock [43]. The food self-sufficiency rate for the City of Jinan is set to 0.7.
Table 3.
Water-related parameters [20,21,22,23,24].
Table 4.
Demands for cereals and vegetables in the planning periods [23,43].
This study uses triangular fuzzy numbers to represent uncertain parameters, such as irrigation reliability, loss rates for food and vegetables, and the local population in Jinan. The triangular fuzzy number method has been widely used in a number of studies [26,27,44] due to its simplicity in representing lower and upper bounds as well as the most probable value of a fuzzy number. The parameters are presented in Table 5 and are based on past data and reports, as well as local policies.
Table 5.
Fuzzy parameters used in this study.
4. Results Analysis
Based on the constraints (i.e., (1) arable land constraint, (2) food balance constraint, and (3) water resource availability), the crop planting areas and the water supplies from different sources could be obtained by solving the IFCCP-WFN model in order to achieve a maximized system benefit. More specifically, three α-cut levels (i.e., 0.2, 0.5, and 0.8) are chosen in this study to reflect decision makers’ preferences for fuzzy uncertainty in the developed IFCCP-WFN model. These three α-cut levels were chosen in order to reflect low, median, and high confidence/preference for fuzzy parameters from decision makers. Here, the α-cut of a fuzzy parameter includes all elements in the fuzzy parameter set whose membership functions are larger than or equal to α. Taking the fuzzy parameter (its membership function is expressed as ) as an example, its α-cut can be expressed as . Under each α-cut level, two submodels corresponding to the optimistic and pessimistic conditions are formulated based on the solution method presented in Section 2.2. The detailed submodels for the IFCCP-WFN model under each α-cut level are presented in the Appendix A. Under each α-cut level, the IFCCP-WFN model will generate interval solutions to indicate farming and water supply patterns in different periods.
4.1. Crop Cultivation Patterns under Decision Makers’ Preferences
Table 6 presents the crop planting areas in different periods under different α-cut levels. It can be observed that wheat and corn tend to have different sown areas in different periods under different fuzzy confidence levels (i.e., α-cut levels), whilst the sown areas for vegetables tend to be relatively stable. In detail, under a fuzzy confidence level of 0.2, the sown area for wheat will decrease in the first three periods (i.e., 2.093 × 105, 2.067 × 105, and 2.057 × 105 ha) and then increase in periods 4 and 5 (i.e., 2.065 × 105 and 2.089 × 105 ha). At the same time, the sown area for corn will correspondingly show an increasing trend (i.e., 2.26 × 105, 2.285 × 105, and 2.296 × 105 ha in periods 1, 2, and 3) and then change to a decreasing trend (i.e., 2.288 × 105 and 2.264 × 105 ha in periods 4 and 5). This is because, in the IFCCP-WFN model, both wheat and corn are used for food production, and thus, they are exchangeable between each other. Consequently, to guarantee food production, a cultivation reduction in one cereal will correspondingly lead to a cultivation increase in the other cereal. However, in comparison with the production of cereal (i.e., wheat or corn), the sown areas for vegetables will remain constant in all planning periods. Moreover, under this fuzzy confidence level, parameter uncertainties in the IFCCP-WFN model will only impact the cultivation of vegetables.
Table 6.
The sown areas for different crops in different planning periods (105 ha).
When the fuzzy confidence level increases to 0.5, the cultivation patterns for wheat and corn differ from those obtained under an α-cut = 0.2. In detail, a lower cultivation area can be planned for wheat, with the upper bound reaching 2.019 × 105 ha over the planning periods, while a larger planting area (i.e., 2.318 × 105 ha over the planning horizon) can be planned for corn to guarantee food production. Moreover, the lower bound for wheat cultivation shows the same variation trend under α-cut = 0.5 as that obtained under an α-cut = 0.2, presenting a decreasing trend in the first three periods (i.e., 1.857 × 105, 1.843 × 105, and 1.837 × 105 ha in periods 1, 2, and 3) but an increasing trend in the last two periods (i.e., 1.841 × 105 and 1.855 × 105 ha in periods 4 and 5). In comparison, the cultivation areas for vegetables are the same as those obtained under an α-cut = 0.2. Moreover, the parametric uncertainties in the IFCCP-WFN model would impose impacts on the planting areas for both wheat and vegetables. However, when the fuzzy confidence level increases to 0.8, the planting patterns for wheat, corn, and vegetables present different features from those obtained under fuzzy confidence levels of 0.2 and 0.5. More specifically, the lower bound, corresponding to demanding conditions, for wheat cultivation would remain the same, whilst the planting area of corn would present a decreasing trend in the first three periods (2.289 × 105, 2.257 × 105, and 2.244 × 105 ha in periods 1, 2, and 3) but an increasing trend in the last two periods (2.254 × 105 and 2.295 × 105 ha). Such a distinguishable feature for corn cultivation may be due to the trade-off between the higher loss rate for food production but a smaller population than the corresponding values under α-cuts = 0.2 and 0.5. Taking the comparison between α-cut = 0.2 and 0.8 as an example, but in Equation (A1d) in the Appendix A, which implies that lower food requirements would be required, but a higher food loss rate may occur under an α-cut = 0.8. Consequently, the corn cultivation pattern shows a decreasing trend and then an increasing trend under this scenario. In comparison, the upper bounds, corresponding to advantageous conditions, for wheat cultivation present the opposite trend to the planting pattern of corn due to the total availability of arable land.
Figure 4 presents the farming patterns for wheat, corn, and vegetables under demanding/pessimistic conditions. Demanding/pessimistic conditions are subject to strict or conservative restrictions with lower bounds for resource availability (e.g., sown areas, water resources). Moreover, measures of necessity, as presented in Equation (10), are employed to deal with those fuzzy parameters. It can be observed in Figure 4 that, once the decision makers’ preference is predefined, the proportions of sown areas for different crops will not change significantly in different planning periods under demanding conditions, even though the particular sown areas may be different. For instance, the proportions for wheat cultivation would, respectively, be 42.2%, 42.7%, 42.9%, 42.7%, and 42.3% in the five planning periods under an α-cut = 0.2. In comparison, for different preferences/fuzzy confidence levels, the proportion patterns for these three crops would vary significantly under demanding conditions, especially when the α-cut changes from 0.2 to 0.5. In detail, as the preference increases for decision makers, the cultivation proportions for both corn and vegetables tend to increase, whilst the sown area of wheat is expected to decrease. This is because a smaller population needs to be fed under demanding conditions with an increase in the fuzzy confidence level (from Equation (A1d)), leading to lower requirements for the total cultivation area and also an increasing portion for vegetable planting. For cereal production (i.e., wheat and corn), corn would generally have higher priority than wheat in this area under demanding conditions due to its higher unit production rate.
Figure 4.
Sown area contributions for different crops under demanding/pessimistic conditions.
Figure 5 presents the farming patterns for wheat, corn, and vegetables under advantageous/optimistic conditions. In comparison to demanding/pessimistic conditions, advantageous/optimistic conditions correspond to looser or optimistic restrictions, in which the upper bounds of resource availability (e.g., water resources, sown areas) would be used. Also, the measure of possibility, as presented in Equation (8), would be employed to deal with fuzzy parameters. As presented in Figure 5, there are no visible changes in the planting proportions for the three crops in different planning periods under different fuzzy confidence levels. There are only slight variations for vegetables under different fuzzy confidence levels (21.4% for α-cut = 0.2, and 21.7% for α-cut = 0.5 and 0.8), with the detailed proportions not changing in different planning periods under a specific fuzzy confidence level. These results are consistent with the vegetable sown areas in Table 6. Such results indicate that the vegetable sown area would reach its arable land availability, with other resource restrictions not affecting vegetable planting. This is mainly because vegetable planting has the highest unit benefit among the three crops. Also, the planting proportions for wheat and corn present slight changes under α-cuts = 0.2 and 0.8, as different changing trends are obtained in these two scenarios, as presented in Table 6. These results indicate that, when sufficient resources are available, the cultivation proportions for the three crops would not be visibly affected by the preferences of decision makers.
Figure 5.
Sown area contributions for different crops under advantageous/optimistic conditions.
4.2. Water Supplies under Decision Makers’ Preferences
Table 7 exhibits the water allocation schemes from different resources in different planning periods under different α-cut levels. The results suggest that, under demanding conditions, where the lower bound of water resource availability is adopted, all quotas from the three water resources will be utilized for agricultural irrigation. This implies that, under demanding conditions, water resource availability would be the dominant factor impacting the planting schemes in this study region. In comparison, under advantageous conditions, which correspond to higher water availability and a small population, recycled water is recommended to be irrigated first, followed by surface water and groundwater. For instance, at t = 5 under an α-cut = 0.2, all recycled water (i.e., 2.047 × 108 m3) will be used for irrigation, while a large proportion of surface water (i.e., 4.442 × 108 m3 from 4.712 × 108 m3 in total) will also be utilized for agricultural irrigation. In comparison, no groundwater would be used in this period. This would be due to the highest unit cost being for groundwater utilization. Moreover, with the increasing availability of recycled water, decreasing trends can be observed in the usage of surface water and groundwater. Specifically, there are even some residues for surface water in periods 4 and 5 (i.e., 0.132 × 108 m3 and 0.270 × 108 m3, respectively) under an α-cut = 0.2 due to the smallest population size (i.e., ) under this fuzzy confidence level scenario. Conversely, with the increase in the fuzzy confidence level, more groundwater would be used in the time period due to the increase in population size under advantageous conditions. Figure 6 presents the water allocation schemes from different water sources under different preferences of decision makers. It can be observed that recycled water and surface water would first be abstracted for crop irrigation. Adaptable water, which is taken to satisfy irrigation requirements for fluctuations in sown areas, is mainly from the groundwater. Moreover, as shown in Figure 6, the fluctuation range for the groundwater supply during one planning period would decrease as the α-cut level increases, indicating greater irrigation requirements, even under advantageous conditions.
Table 7.
The water allocation schemes in different planning periods (108 m3).
Figure 6.
Variations in water allocation schemes under different α-cut levels. WS(t, i) indicates the water supplies from groundwater (i = 1), surface water (i = 2), or recycled water (i = 3) in period t.
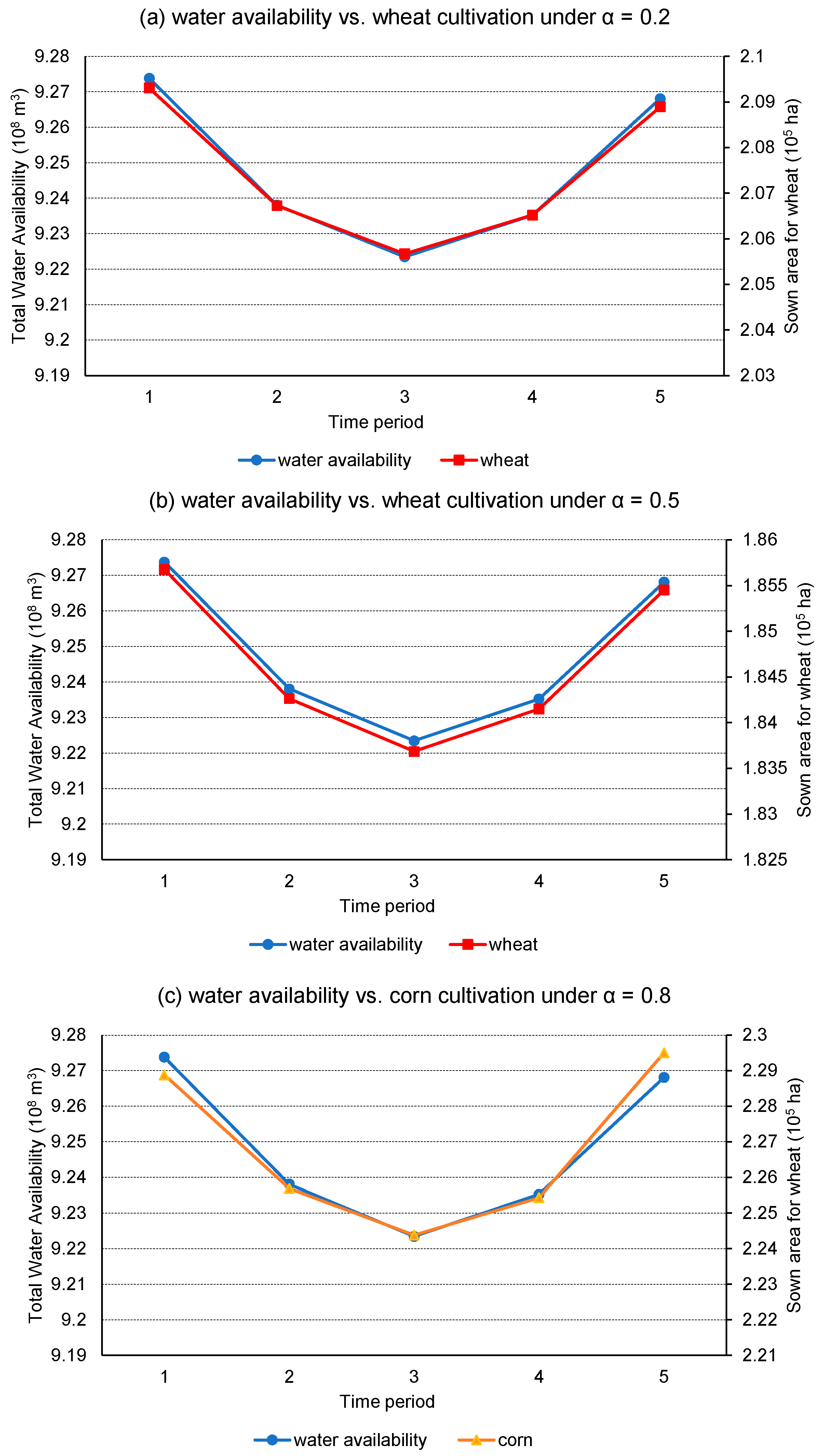
Based on the results in Table 7, it can be concluded that water availability would be one of the major factors impacting the planting schemes under demanding conditions since the water supply from all three sources tends to reach its availability. In comparison, under advantageous conditions, other factors (e.g., arable land limitation) may control the planting pattern in this study region, and there are some residues for irrigation. Figure 7 presents the variations in the total water availability in different planning periods and also the associated cultivation changes for wheat or corn under demanding conditions. It can be seen that under fuzzy confidence levels of 0.2 and 0.5, the planting areas for wheat would change approximately following the variations in total water availability. This implies that, under demanding conditions, the restriction of total water availability would mainly determine the changes in wheat cultivation, while the planting of the other two crops (i.e., corn and vegetables) may be dominated by other constraints, such as food requirements. However, when the fuzzy confidence level changes to 0.8, the irrigation water availability would control the planting scheme for corn, and the other two crops are directed by other factors. Such a feature may result from the trade-off between a higher loss rate for food production but a smaller population than the corresponding values under α-cuts = 0.2 and 0.5, as explained in the previous context.
Figure 7.
Variations in cereal cultivation and water availability under different α-cut levels.
5. Discussion
5.1. Validation of the IFCCP-WFN Model
In this study, the minimum planting area of one crop (i.e., ) was set to be 80~90% of the minimum planting of that crop in the period of 2013–2019, whilst the maximum planting area was set to be 100–120% of the maximum planting area in that period. These constraints can ensure that the obtained results do not show significant discrepancies from past planting areas so that the obtained cultivation structures from IFCCP-WFN are applicable and achievable.
Based on the statistical yearbooks of Jinan, the sown areas of wheat, corn, and vegetables vary, respectively, within [2.09, 2.2], [1.882, 2.318], and [0.905, 1.101] × 105 ha in 2013–2019, as shown in Figure 3. As shown in Table 6, the prospective cultivation areas for corn, as predicted by the developed IFCCP-WFN model, exhibit variability within the fluctuation ranges observed in recent years. This implies the feasibility of adjusting corn cultivation in the future. For wheat and vegetables, the cultivation areas predicted by the proposed model generally show fluctuations within the variation ranges observed in the past few years, with the exception of some wheat cultivation areas falling below the minimum value and vegetable cultivation areas exceeding the maximum observed in recent years. Nevertheless, those cultivation areas that fall below or exceed the specified ranges are within a 20% margin, making the model results practically feasible.
5.2. Comparison with Other Optimization Techniques
In the developed IFCCP-WFN model, both the interval and fuzzy parameters are reflected. Based on the two-step method and also the measures of necessity and possibility, two submodels will be generated, respectively, corresponding to demanding and advantageous conditions under different fuzzy confidence levels. Consequently, different agricultural planting and water supply schemes will be obtained under different fuzzy confidence levels, as presented in Table 6 and Table 7. In comparison, if only the lower and upper bounds for the fuzzy parameters (in Table 5) are considered without consideration of their inherent distributional information, an ILP-WFN model can be formulated and further solved by the two-step method presented by Fan et al. [18].
Table 8 presents the schemes for crop cultivation and water allocation obtained by the ILP-WFN model. The obtained crop schemes from ILP-WFN are significantly different from the crop planting structures from the IFCCP-WFN model shown in Table 6. Corn cultivation shows an increasing trend over the planning period, but the sown areas are apparently smaller than those generated by the IFCCP-WFN model. For instance, the corn cultivation area at t = 5, obtained by the ILP-WFN model, would be 2.07 × 105 ha, whereas the smallest corn cultivation area at t = 5, occurring under an α-cut of 0.2 based on the IFCCP-WFN model, would be 2.64 × 105 ha. Similarly, the wheat and vegetable planting patterns from ILP-WFN are significantly different from those obtained via the proposed IFCCP-WFN model. Specifically, the ILP-WFN model would generate smaller sown areas for vegetables than those obtained by the IFCCP-WFN model. This would further lead to a smaller system benefit since the vegetables have a higher unit benefit than wheat and corn. Compared with the crop cultivation pattern, the ILP-WFN model would generate similar water allocation schemes to those obtained by the IFCCP-WFN model, except a greater water supply is required from groundwater under demanding conditions with α-cuts of 0.5 and 0.8. This implies that the fuzzy confidence level would pose a significant impact on groundwater allocation.
Table 8.
Schemes for crop cultivation and water allocation obtained by ILP-WFN.
Figure 8 compares the total benefit of the studied WFN system in the City of Jinan under different modeling scenarios. The lower and upper bounds for the total benefit in the developed IFCCP-WFN model are denoted as different α-cut levels, while the benefit from the ILP-WFN model is denoted as ILP in Figure 8. The results suggest that, under different fuzzy confidence levels, a slightly increasing trend can be observed for the upper bound of the system benefit. For instance, the upper bounds of the system benefit would be CNY 9.815 × 1010, CNY 9.889 × 1010, and CNY 9.893 × 1010 under fuzzy confidence levels of 0.2, 0.5, and 0.8, respectively. Such an increasing trend may be due to two possible reasons: (i) There would be sufficient water resources under advantageous conditions, and thus, the reliability of irrigation (i.e., in Equation (4a)) would not affect the planting schemes of the crops. (ii) There would be a decreasing food production rate (i.e., in Equations (A2d) and (A2e)) as the fuzzy confidence level increases, leading to more cultivation areas to satisfy food requirements and thus a greater system benefit. In comparison, water resource availability would play a critical role in the WFN system under pessimistic conditions, as elaborated in Section 4. There would be less reliable water for irrigation ( in Equation (A1f)) with an increased fuzzy confidence level, limiting crop planting areas. This may lead to a decreasing trend in system revenue under such demanding conditions.
Figure 8.
The lower and upper bounds of the system benefit under different decision makers’ preferences (i.e., fuzzy confidence levels) compared to the ILP-WFN model.
However, if the distributional information of the fuzzy parameters is neglected and only their lower and upper bounds are considered, the resulting ILP-WFN model would only reflect either extremely demanding or advantageous conditions. This would lead to the largest fluctuation range for the system benefit (i.e., CNY [6.275, 9.962] × 1010), as presented in Figure 8. Moreover, the water supply schemes from the ILP-WFN model are similar to the water supply schemes generated by the IFCCP-WFN model under an α-cut of 0.2, as shown in Table 7 and Table 8. Nevertheless, the obtained system benefit from ILP-WFN under demanding conditions (CNY 6.275 × 1010) is much smaller than that obtained by the IFCCP-WFN model (CNY 7.534 × 1010), which would lead to a reduction rate of about 17% in the WFN system benefit. This implies that water resources may not be effectively utilized for the WFN management strategies obtained by the ILP-WFN model, which could further demonstrate the effectiveness of WFN management strategies generated by the IFCCP-WFN model.
One of the key contributions of the proposed IFCCP-WFN model is its incorporation of possibility and necessity measures to address fuzzy constraints in the advantageous and demanding submodels, respectively. In the possibilistic-flexible chance-constrained programming (PFCP) method developed by Sun [18], a potential violation term is introduced to handle fuzzy flexible constraints and reflect decision makers’ preferences. However, this violation term may struggle to accurately capture the distinctions between advantageous and demanding conditions in an uncertain environment. The generalized fuzzy linear programming utilized by Cheng et al. [45] employed the α-cut level method to convert fuzzy constraints into a series of interval constraints. However, this transformation method struggles to accurately reflect the risk preferences of decision makers. In the proposed IFCCP-WFN model, if a decision maker wishes to enforce resource constraints in a possibility sense, they should be willing to allocate the available imprecise resources at higher levels. Conversely, for necessity constraints, they will have the flexibility to allocate resources at lower levels.
5.3. Managerial Insights
The results of the IFCCP-WFN model have some implications for the WFN management in the City of Jinan. Firstly, decision makers should consider their confidence levels and preferences when planning crop cultivation and water allocation strategies. Wheat and corn exhibit different sown areas in different periods under different fuzzy confidence levels, while vegetable areas remain relatively stable. This study emphasizes the need to account for uncertainties and distributional information in decision-making models for more accurate and effective results. Neglecting the distributional information of fuzzy parameters may result in less effective water resource utilization and reduced system benefits. Effective water resource management is crucial for optimizing crop cultivation and ensuring system benefits, especially under demanding conditions. Water availability is a critical factor affecting crop planning under demanding conditions. Recycled water is recommended to be used first under advantageous conditions, followed by surface water and groundwater. There is a complex interplay between decision makers’ preferences, uncertainties, and resource constraints in the planning of a water–food nexus system in the studied region. Managers can use the obtained results to inform more robust and adaptive strategies for sustainable water and food management in the studied region. Managerial insights of this nature may also offer support for WFN management in North China, where the local circumstances are similar to those in the City of Jinan.
6. Conclusions
In this study, an IFCCP-WFN model was developed for farming management in Jinan, Shandong Province, in which the IFCCP method was used to (i) deal with uncertainties expressed as fuzzy and interval variables and (ii) explore the impacts of decision makers’ preferences through fuzzy chance constraints. An interactive two-step method coupled with possibility and necessity measures was used to solve the proposed IFCCP-WFN model to generate the desired planting structures under the different preferences of decision makers. Solutions for crop planting areas and water supplies were obtained to maximize the system benefit, subject to various management requirements.
The obtained results indicated that, under the different preferences of decision makers, different farming strategies would be obtained in different planning periods, and different irrigation water amounts are also required. In detail, the planting schemes for vegetables are expected to be stable to satisfy the local requirements for vegetables. But for cereal cultivation, including wheat and corn, different factors would dominate the planting schemes under demanding versus advantageous conditions. The availability of water resources would control the planting schemes under demanding schemes, which also lead to a decreasing system benefit. In detail, wheat cultivation would be dominated by water availability for irrigation under fuzzy confidence levels of 0.2 and 0.5, while the plant scheme for corn is controlled by this factor under a fuzzy confidence level of 0.8. In comparison, the food loss rates, working with the total arable land, would determine the planting schemes for the crops, which would also lead to an increase in the total system benefit. Compared with the developed IFCCP-WFN model, the ILP-WFN model can merely reflect extremely demanding or advantageous conditions and neglects the inherent distributional information of the fuzzy parameters, which would lead to the largest fluctuation range for the system benefit. Moreover, the ILP-WFN model can hardly investigate how the fuzzy parameters would impact the planting schemes for the WFN system.
The proposed IFCCP-WFN model is an attempt to establish a WFN management model for the City of Jinan. Moreover, the IFCCP-WFN model can also deal with various uncertainties present in fuzzy and interval variables. The preferences of decision makers, which are denoted as fuzzy confidence levels, are incorporated into the IFCCP-WFN model in developing the corresponding farming strategies. The obtained solutions can provide decision support to develop the desired farming practices with consideration of limited resources and relevant management requirements. In particular, the proposed IFCCP-WFN model can help reveal the impacts of fuzzy parameters on the planting schemes under demanding or advantageous conditions. However, the current IFCCP-WFN model is merely able to consider the interactions among water and agricultural systems. More studies are warranted to reflect the complex interactions among more systems, such as the water–food–energy nexus, the water–food–energy nexus with greenhouse gas (GHG) emissions, and so on. Moreover, our global community is confronting escalating water challenges propelled by climate change, population growth, and pollution [46], and climate-resilient WFN management is becoming increasingly urgent. Consequently, climate-related restrictions need to be further considered in modeling the WFN system.
Author Contributions
Conceptualization, W.L. and F.L.; methodology, F.L. and W.L.; software, F.L. and X.W.; writing—original draft preparation, F.L., Y.Z. and Z.D.; writing—review and editing, Y.X. All authors have read and agreed to the published version of the manuscript.
Funding
This research was supported by the [National Natural Science Foundation of China] under Grant [number 62073134].
Data Availability Statement
Data are contained within the article.
Conflicts of Interest
The authors declare no conflicts of interest.
Appendix A
The submodel of the IFCCP-WFN model corresponding to demanding/pessimistic conditions can be generated as follows [24]:
subject to
The submodel of the IFCCP-WFN model corresponding to advantageous/optimistic conditions will be formulated as follows:
subject to
where and are solutions obtained from Submodel (A1).
References
- United Nations. The United Nations World Water Development Report 2019: Leaving on One Behind. 2019. Available online: https://www.unwater.org/publications/un-world-water-development-report-2019 (accessed on 15 January 2023).
- Food Security Information Network (FSIN). 2021 Global Report on Food Crises: Joint Analysis for Better Decisions; Food and Agriculture Organization (FAO): Rome, Italy; World Food Programme (WFP): Rome, Italy; International Food Policy Research Institute (IFPRI): Washington, DC, USA, 2021; Available online: https://www.fsinplatform.org/global-report-food-crises-2021 (accessed on 15 January 2023).
- Huang, W.W.; Chen, X.J.; Fan, Y.R.; Li, Y.P. Management of drinking water source in rural communities under climate change. J. Environ. Inform. 2021, 39, 136–151. [Google Scholar] [CrossRef]
- Liu, Y.L.; Du, J.Z.; Wang, Q.; Yang, W.; Cui, B.S. Toward an assessment of runoff and thermal connectivity in a river-lake system within an urban environment. J. Environ. Inform. 2022, 40, 125–140. [Google Scholar] [CrossRef]
- Keskinen, M.; Guillaume, J.H.A.; Kattelus, M.; Porkka, M.; Räsänen, T.A.; Varis, O. The Water-Energy-Food Nexus and the Transboundary Context: Insights from Large Asian Rivers. Water 2016, 8, 193. [Google Scholar] [CrossRef]
- Owen, A.; Scott, K.; Barrett, J. Identifying critical supply chains and final products: An input-output approach to exploring the energy-water-food nexus. Appl. Energy 2018, 210, 632–642. [Google Scholar] [CrossRef]
- Zuo, Q.T.; Wu, Q.S.; Yu, L.; Li, Y.P.; Fan, Y.R. Optimization of uncertain agricultural management considering the framework of water, energy and food. Agric. Water Manag. 2021, 253, 106907. [Google Scholar] [CrossRef]
- Huang, K.; Dai, L.; Yu, L.; Fan, Y.R.; Huang, G.H.; Xiao, Y.; Wu, Q. Planning regional-scale water-energy-food nexus system management under uncertainty: An inexact fractional programming method. J. Contam. Hydrol. 2021, 247, 103985. [Google Scholar] [CrossRef]
- Huang, C.Z.; Nie, S.; Guo, L.; Fan, Y.R. Inexact fuzzy stochastic chance constraint programming for emergency evacuation in qinshan nuclear power plant under uncertainty. J. Environ. Inform. 2017, 30, 63–78. [Google Scholar] [CrossRef]
- Yu, L.; Li, Q.W.; Jin, S.W.; Chen, C.; Li, Y.P.; Fan, Y.R.; Zuo, Q.T. Coupling the two-level programming and copula for optimizing energy-water nexus system management—A case study of Henan Province. J. Hydrol. 2020, 586, 124832. [Google Scholar] [CrossRef]
- Yu, L.; Xiao, Y.; Jiang, S.; Li, Y.P.; Fan, Y.R.; Huang, G.H.; Lv, J.; Zuo, Q.T.; Wang, F.Q. A copula-based fuzzy interval-random programming approach for planning water-energy nexus system under uncertainty. Energy 2020, 196, 117063. [Google Scholar] [CrossRef]
- Xiao, Z.; Du, J.Y.; Guo, Y.; Li, X.; Guo, L. Time variant interval linear programming for environmental management systems. J. Environ. Inform. 2022, 39, 22–34. [Google Scholar] [CrossRef]
- Zhang, X.; Vesselinov, V.V. Integrated modeling approach for optimal management of water, energy and food security nexus. Adv. Water Resour. 2017, 101, 1–10. [Google Scholar] [CrossRef]
- Salmoral, G.; Yan, X.Y. Food-energy-water nexus: A life cycle analysis on virtual water and embodied energy in food consumption in the Tamar catchment, UK. Resources. Conserv. Recycl. 2018, 133, 320–330. [Google Scholar] [CrossRef]
- Mortada, S.; Najm, M.A.; Yassine, A.; El Fadel, M.; Alamiddine, I. Towards sustainable water-food nexus: An optimization approach. J. Clean. Prod. 2018, 178, 408–418. [Google Scholar] [CrossRef]
- Govindan, R.; Al-Ansari, T. Computational decision framework for enhancing resilience of the energy, water and food nexus in risky environments. Renew. Sustain. Energy Rev. 2019, 112, 653–668. [Google Scholar] [CrossRef]
- Núñez-López, J.M.; Rubio-Castro, E.; Ponce-Ortega, J.M. Optimizing resilience at water-energy-food nexus. Comput. Chem. Eng. 2022, 160, 107710. [Google Scholar] [CrossRef]
- Sun, J.; Li, Y.P.; Suo, S.; Liu, Y.R. Impacts of irrigation efficiency on agricultural water-land nexus system management under multiple uncertainties—A case study in Amu Darya River basin, Central Asia. Agric. Water Manag. 2019, 216, 76–88. [Google Scholar] [CrossRef]
- Li, M.; Fu, Q.; Singh, V.P.; Ji, Y.; Liu, D.; Zhang, C.; Li, T. An optimal modelling approach for managing agricultural water-energy-food nexus under uncertainty. Sci. Total Environ. 2019, 651, 1416–1434. [Google Scholar] [CrossRef] [PubMed]
- Ji, L.; Zhang, B.; Huang, G.; Lu, Y. Multi-stage stochastic fuzzy random programming for food-water-energy nexus management under uncertainties. Resources. Conserv. Recycl. 2020, 155, 104665. [Google Scholar] [CrossRef]
- Gu, J.J.; Guo, P.; Huang, G.H. Inexact stochastic dynamic programming method and application to water resources management in Shandong China under uncertainty. Stoch. Environ. Res. Risk Assess. 2013, 27, 1207–1219. [Google Scholar] [CrossRef]
- Xu, Y.; Tan, J.; Wang, X.; Li, W.; He, X.; Hu, X.; Fan, Y. Synergetic management of water-energy-food nexus system and GHG emissions under multiple uncertainties: An inexact fractional fuzzy chance constraint programming method. Agric. Water Manag. 2021, 262, 107323. [Google Scholar] [CrossRef]
- Wang, Y.; Lu, Y.; Xu, Y.; Zheng, L.; Fan, Y. A factorial inexact copula stochastic programming (FICSP) approach for water-energy- food nexus system management. Agric. Water Manag. 2023, 277, 108069. [Google Scholar] [CrossRef]
- Huang, K.; Huang, G.; Dai, L.; Fan, Y. Inexact fuzzy integer chance constraint programming approach for noise control within an urban environment. Eng. Optim. 2016, 48, 1350–1364. [Google Scholar] [CrossRef]
- Fan, Y.R.; Huang, G.H.; Li, Y.P. Robust interval linear programming for environmental decision making under uncertainty. Eng. Optim. 2012, 44, 1321–1336. [Google Scholar] [CrossRef]
- Fan, Y.; Huang, G.; Veawab, A. A generalized fuzzy linear programming approach for environmental management problem under uncertainty. J. Air Waste Manag. Assoc. 2012, 62, 72–86. [Google Scholar] [CrossRef] [PubMed]
- Ma, X.; Wang, H.; Yu, L.; Li, Y.; Fan, Y.; Zhang, J.; Zhang, J. Multi-preference based interval fuzzy-credibility optimization for planning the management of multiple water resources with multiple water-receiving cities under uncertainty. J. Hydrol. 2020, 591, 125259. [Google Scholar] [CrossRef]
- Zhang, T.; Tan, Q.; Zhang, S.; Wang, S.; Gou, T. A robust multi-objective model for supporting agricultural water management with uncertain preferences. J. Clean. Prod. 2020, 255, 120204. [Google Scholar] [CrossRef]
- Ammar, E.E. On solutions of fuzzy random multiobjective quadratic programming with applications in portfolio problem. Inf. Sci. 2008, 178, 468–484. [Google Scholar] [CrossRef]
- Pérez-Cañedo, B.; Verdegay, J.L.; Miranda Pérez, R. An epsilon-constraint method for fully fuzzy multiobjective linear programming. Int. J. Intell. Syst. 2020, 35, 600–624. [Google Scholar] [CrossRef]
- Inuiguchi, M.; Ramik, J. Possibilistic Linear Programming: A Brief Review of Fuzzy Mathematical Programming and a Comparison with Stochastic Programming in Portfolio Selection Problem. Fuzzy Sets Syst. 2000, 111, 3–28. [Google Scholar] [CrossRef]
- Xu, J.; Zhou, X.; Li, S. A Class of Chance Constrained Multi-objective Portfolio Selection Model Under Fuzzy Random Environment. J. Optim. Theory Appl. 2011, 150, 530–552. [Google Scholar] [CrossRef]
- Dubois, D.; Prade, H. The mean value of a fuzzy number. Fuzzy Sets Syst. 1987, 24, 279–300. [Google Scholar] [CrossRef]
- Maity, K. Possibility and necessity representations of fuzzy inequality and its application to two warehouse production-inventory problem. Appl. Math. Model. 2011, 35, 1252–1263. [Google Scholar] [CrossRef]
- Maity, K.; Maiti, M. Possibility and necessity constraints and their defuzzification—A multi-item production-inventory scenario via optimal control theory. Eur. J. Oper. Res. 2007, 177, 882–896. [Google Scholar] [CrossRef]
- Xu, Y.; Huang, G.H.; Cheng, G.H.; Liu, Y.; Li, Y.F. A Two-Stage Fuzzy Chance-Constrained Model for Solid Waste Allocation Planning. J. Environ. Inform. 2014, 24, 101–110. [Google Scholar] [CrossRef]
- Liu, F.; Wen, Z.; Xu, Y. A Fuzzy Fractional Chance-Constrained Programming Model for Air Quality Management Under Uncertainty. Eng. Optim. 2016, 48, 135–153. [Google Scholar] [CrossRef]
- Shandong Water Resources Department. Shandong Province Water Resources Bulletin. 2019. Available online: https://wr.shandong.gov.cn/zwgk_319/fdzdgknr/tjsj/szygb/ (accessed on 20 September 2022).
- Jinan Municipal Bureau of Statistics. Jinan Statistic Yearbook-2020. 2020. Available online: https://jntj.jinan.gov.cn/col/col27523/index.html (accessed on 20 September 2022).
- National Development and Reform Commission. Cost-Benefit Yearbook for Agricultural Products-2018. 2018. Available online: http://www.tjcn.org/tjnj/QQQ/37615.html (accessed on 20 September 2022).
- National Development and Reform Commission. Cost-Benefit Yearbook for Agricultural Products-2019. 2019. Available online: http://www.tjcn.org/tjnj/QQQ/38270.html (accessed on 20 September 2022).
- Li, C.; Luo, T.; Yan, G.; Xu, S.; Zong, J.; Shao, Y. Carbon footprint analysis of wheat-maize double cropping system in different ecological regions of Henan province. Ecol. Environ. Sci. 2020, 29, 918–925. (In Chinese) [Google Scholar]
- Ministry of Agriculture and Rural Affairs (MARA). China Agricultural Outlook (2020–2029). 2020. Available online: https://www.agri-outlook.cn/portal/article/index/id/1376 (accessed on 1 October 2022).
- Fan, Y.R.; Huang, G.H.; Li, Y.P.; Cao, M.F.; Cheng, G.H. A fuzzy linear programming approach for municipal solid-waste management under uncertainty. Eng. Opt. 2009, 41, 1081–1101. [Google Scholar] [CrossRef]
- Cheng, Y.; Jin, L.; Fu, H.; Fan, Y.; Bai, R.; Wei, Y. Investigating the impact of climate change and policy orientation on energy–carbon–water nexus under multi-criteria analysis. Renew. Sustain. Energy Rev. 2024, 189 Pt B, 114032. [Google Scholar] [CrossRef]
- Pietrucha-Urbanik, K.; Rak, J. Water, Resources, and Resilience: Insights from Diverse Environmental Studies. Water 2023, 15, 3965. [Google Scholar] [CrossRef]
Disclaimer/Publisher’s Note: The statements, opinions and data contained in all publications are solely those of the individual author(s) and contributor(s) and not of MDPI and/or the editor(s). MDPI and/or the editor(s) disclaim responsibility for any injury to people or property resulting from any ideas, methods, instructions or products referred to in the content. |
© 2024 by the authors. Licensee MDPI, Basel, Switzerland. This article is an open access article distributed under the terms and conditions of the Creative Commons Attribution (CC BY) license (https://creativecommons.org/licenses/by/4.0/).







