High-Performance Crown Ether-Modified Membranes for Selective Lithium Recovery from High Na+ and Mg2+ Brines Using Electrodialysis
Abstract
1. Introduction
2. Methods and Materials
2.1. Materials
2.2. Membrane Modifications
2.3. Membrane Characterization
2.3.1. Functionality and Thermogravimetric Analysis
2.3.2. Surface Charge
2.3.3. Ion Exchange Capacity
2.3.4. Water Adsorption Capacities
2.3.5. EIS Analysis
2.4. Bench-Scale Electrodialysis and Calculations
3. Results and Discussion
3.1. Characterization of the Membranes
3.1.1. The Analysis of EIS
In Lower-Concentration Solutions
In Higher-Concentration Solutions
3.1.2. Physiochemical Properties
3.1.3. Water Adsorption Capacity Analysis in Different Solutions
3.2. Permselectivity and Performance of the Membranes in Electrodialysis
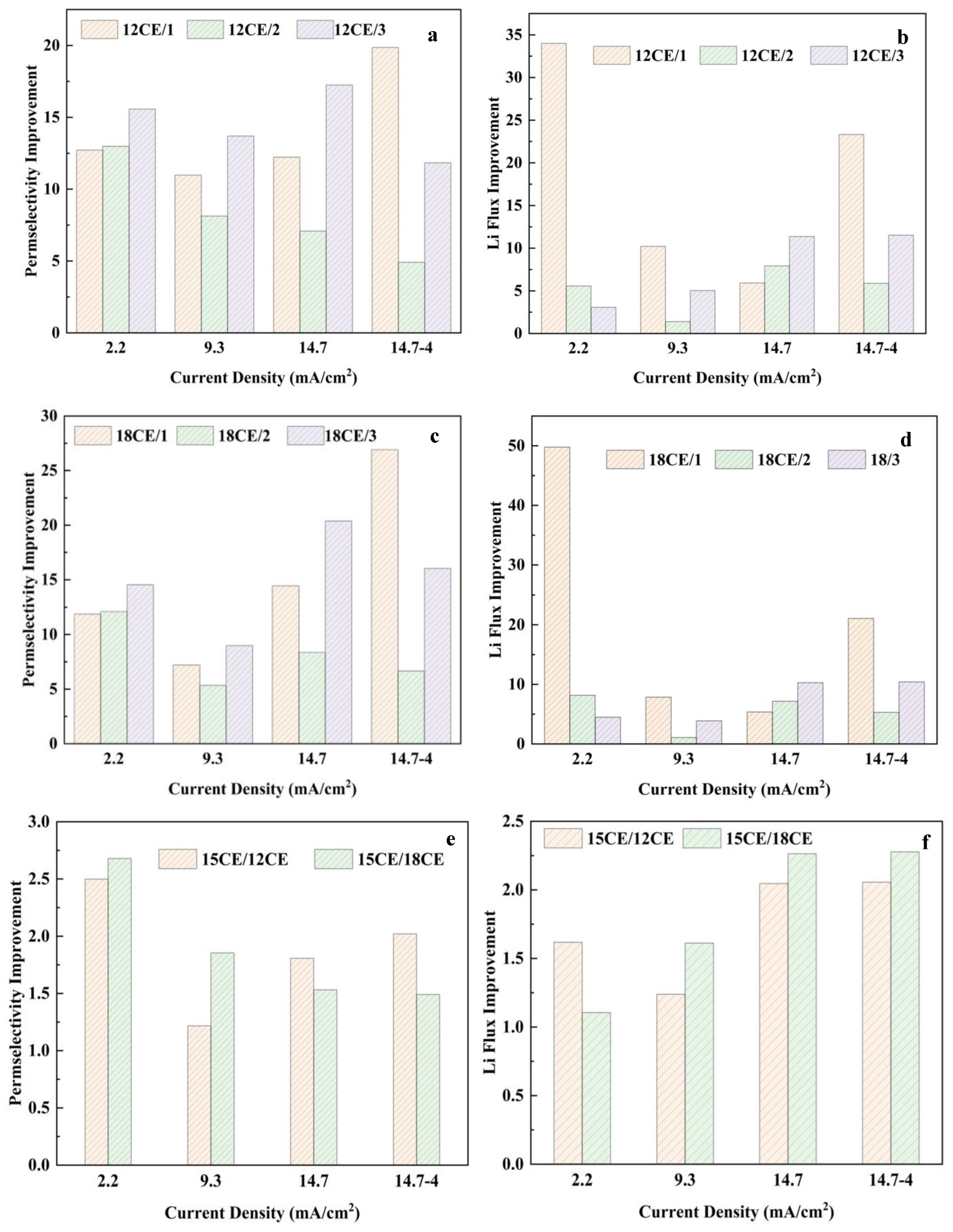
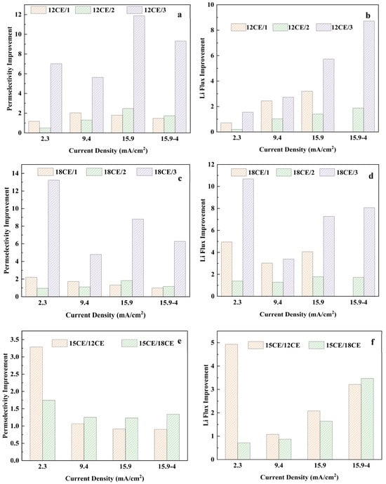
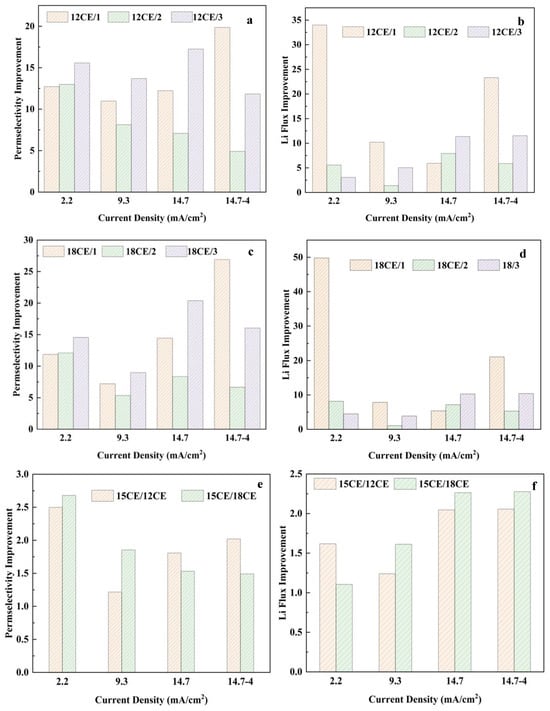
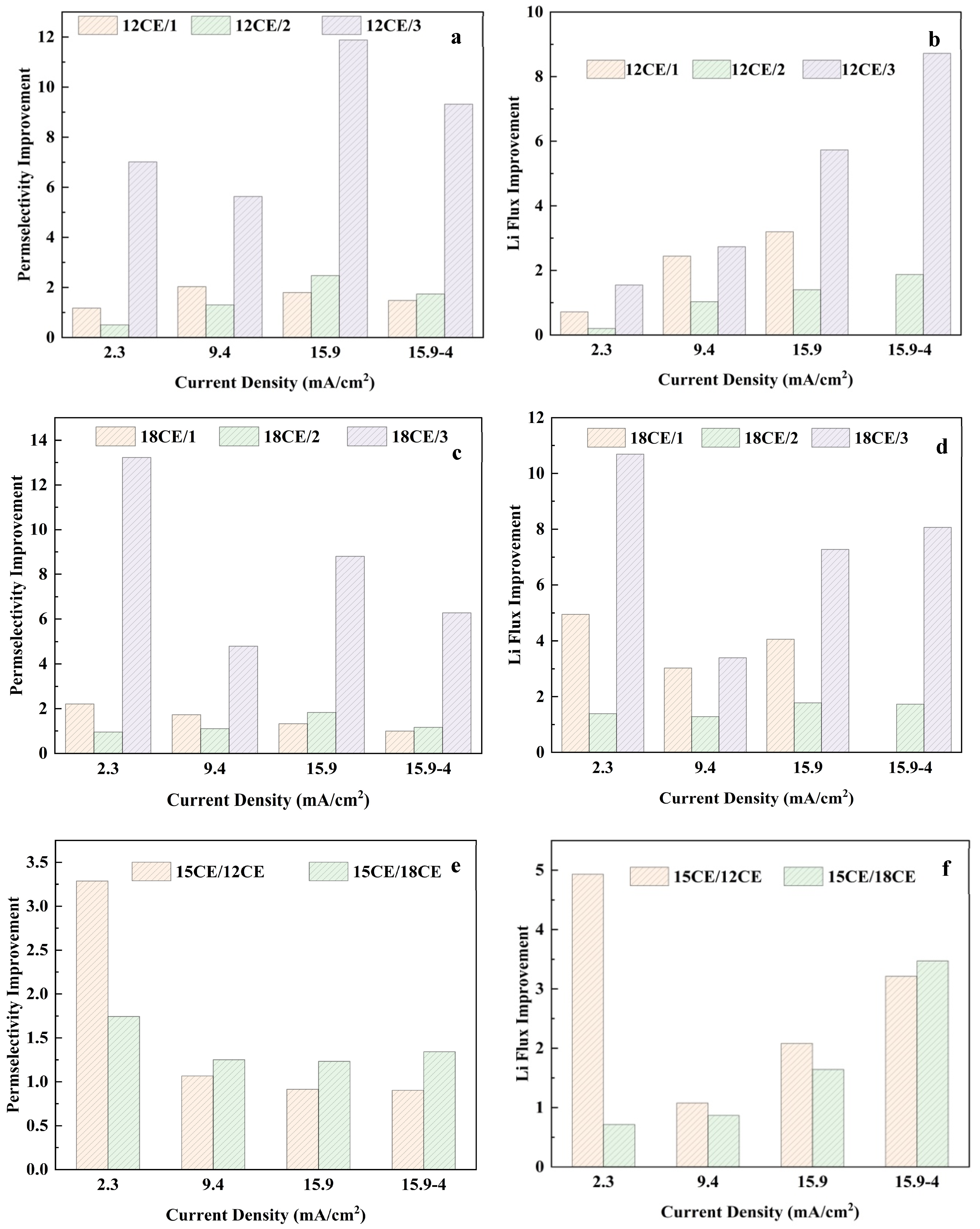
3.2.1. Li Separation from High Na+ Brines
3.2.2. Li Separation from High Mg2+ Brines
3.3. Comparison of the Performance and Energy Costs of Different Methods for Li+ Recovery
4. Conclusions
Supplementary Materials
Author Contributions
Funding
Data Availability Statement
Conflicts of Interest
References
- Hossain, M.H.; Chowdhury, M.A.; Hossain, N.; Islam, M.A.; Mobarak, M.H. Advances of lithium-ion batteries anode materials—A review. Chem. Eng. J. Adv. 2023, 16, 100569. [Google Scholar] [CrossRef]
- Meng, F.; McNeice, J.; Zadeh, S.S.; Ghahreman, A. Review of lithium production and recovery from minerals, brines, and lithium-ion batteries. Miner. Process. Extr. Metall. Rev. 2021, 42, 123–141. [Google Scholar] [CrossRef]
- Garcia, L.V.; Ho, Y.C.; Myo Thant, M.M.; Han, D.S.; Lim, J.W. Lithium in a sustainable circular economy: A comprehensive review. Processes 2023, 11, 418. [Google Scholar] [CrossRef]
- Zhang, J.; Cheng, Z.; Qin, X.; Gao, X.; Wang, M.; Xiang, X. Recent advances in lithium extraction from salt lake brine using coupled and tandem technologies. Desalination 2023, 547, 116225. [Google Scholar] [CrossRef]
- Bai, R.; Wang, J.; Wang, D.; Cui, J.; Zhang, Y. Recovery of lithium from high Mg/Li ratio salt-lake brines using ion-exchange with NaNTf2 and TBP. Hydrometallurgy 2022, 213, 105914. [Google Scholar] [CrossRef]
- U.S. Geological Survey, Mineral Commodity Summaries, January 2024. Available online: https://pubs.usgs.gov/periodicals/mcs2024/mcs2024-lithium.pdf (accessed on 13 January 2024).
- U.S. Geological Survey, Mineral Commodity Summaries, January 2023. Available online: https://pubs.usgs.gov/periodicals/mcs2023/mcs2023-lithium.pdf (accessed on 13 January 2024).
- Parker, S.S.; Clifford, M.J.; Cohen, B.S. Potential impacts of proposed lithium extraction on biodiversity and conservation in the contiguous United States. Sci. Total Environ. 2024, 911, 168639. [Google Scholar] [CrossRef] [PubMed]
- Foo, Z.H.; Thomas, J.B.; Heath, S.M.; Garcia, J.A.; Lienhard, J.H. Sustainable lithium recovery from hypersaline salt-lakes by selective electrodialysis: Transport and thermodynamics. Environ. Sci. Technol. 2023, 57, 14747–14759. [Google Scholar] [CrossRef]
- Xu, X.; Lin, L.; Ma, G.; Wang, H.; Jiang, W.; He, Q.; Nirmalakhandan, N.; Xu, P. Study of polyethyleneimine coating on membrane perm-selectivity and desalination performance during pilot-scale electrodialysis of reverse osmosis concentrate. Sep. Purif. Technol. 2018, 207, 396–405. [Google Scholar] [CrossRef]
- Zhu, S.G.; He, W.Z.; Li, G.M.; Xu, Z.; Zhang, X.J.; Huang, J.W. Recovery of Co and Li from spent lithium-ion batteries by combination method of acid leaching and chemical precipitation. Trans. Nonferrous Met. Soc. China 2012, 22, 2274–2281. [Google Scholar] [CrossRef]
- Ooi, K.; Makita, Y.; Sonoda, A.; Chitrakar, R.; Tasaki-Handa, Y.; Nakazato, T. Modelling of column lithium desorption from Li+-loaded adsorbent obtained by adsorption from salt brine. Hydrometallurgy 2017, 169, 31–40. [Google Scholar] [CrossRef]
- Zhai, J.; Balogun, A.; Bhattacharjee, S.; Vogler, R.J.; Khare, R.; Malmali, M.; Deonarine, A.; Shen, Y.X. Nanofiltration as pretreatment for lithium recovery from salt lake brine. J. Membr. Sci. 2024, 710, 123150. [Google Scholar] [CrossRef]
- Zhao, X.; Yang, H.; Wang, Y.; Sha, Z. Review on the electrochemical extraction of lithium from seawater/brine. J. Electroanal. Chem. 2019, 850, 113389. [Google Scholar] [CrossRef]
- Nie, X.Y.; Sun, S.Y.; Sun, Z.; Song, X.; Yu, J.G. Ion-fractionation of lithium ions from magnesium ions by electrodialysis using monovalent selective ion-exchange membranes. Desalination 2017, 403, 128–135. [Google Scholar] [CrossRef]
- Zhong, J.; Lin, S.; Yu, J. Lithium recovery from ultrahigh Mg2+/Li+ ratio brine using a novel granulated Li/Al-LDHs adsorbent. Sep. Purif. Technol. 2021, 256, 117780. [Google Scholar] [CrossRef]
- Wu, L.; Zhang, C.; Kim, S.; Hatton, T.A.; Mo, H.; Waite, T.D. Lithium recovery using electrochemical technologies: Advances and challenges. Water Res. 2022, 221, 118822. [Google Scholar] [CrossRef] [PubMed]
- Li, Y.; Wang, M.; Xiang, X.; Zhao, Y.J.; Peng, Z.J. Separation performance and fouling analyses of nanofiltration membrane for lithium extraction from salt lake brine. J. Water Process Eng. 2023, 54, 104009. [Google Scholar] [CrossRef]
- Zavahir, S.; Elmakki, T.; Gulied, M.; Ahmad, Z.; Al-Sulaiti, L.; Shon, H.K.; Chen, Y.; Park, H.; Batchelor, B.; Han, D.S. A review on lithium recovery using electrochemical capturing systems. Desalination 2021, 500, 114883. [Google Scholar] [CrossRef]
- Juve JM, A.; Christensen FM, S.; Wang, Y.; Wei, Z. Electrodialysis for metal removal and recovery: A review. Chem. Eng. J. 2022, 435, 134857. [Google Scholar] [CrossRef]
- Wang, W.; Hong, G.; Zhang, Y.; Yang, X.; Hu, N.; Zhang, J.; Sorokin, P.; Shao, L. Designing an energy-efficient multi-stage selective electrodialysis process based on high-performance materials for lithium extraction. J. Membr. Sci. 2023, 675, 121534. [Google Scholar] [CrossRef]
- Kumar, R.; Chakrabortty, S.; Chakrabortty, P.; Nayak, J.; Liu, C.; Khan, M.A.; Ha, G.S.; Kim, K.H.; Son, M.; Roh, H.S.; et al. Sustainable recovery of high-valued resources from spent lithium-ion batteries: A review of the membrane-integrated hybrid approach. Chem. Eng. J. 2023, 470, 144169. [Google Scholar] [CrossRef]
- Tabelin, C.B.; Dallas, J.; Casanova, S.; Pelech, T.; Bournival, G.; Saydam, S.; Canbulat, I. Towards a low-carbon society: A review of lithium resource availability, challenges and innovations in mining, extraction and recycling, and future perspectives. Miner. Eng. 2021, 163, 106743. [Google Scholar] [CrossRef]
- Chen, Q.B.; Ji, Z.Y.; Liu, J.; Zhao, Y.Y.; Wang, S.Z.; Yuan, J.S. Development of recovering lithium from brines by selective-electrodialysis: Effect of coexisting cations on the migration of lithium. J. Membr. Sci. 2018, 548, 408–420. [Google Scholar] [CrossRef]
- Baudino, L.; Pedico, A.; Bianco, S.; Periolatto, M.; Pirri, C.F.; Lamberti, A. Crown-ether functionalized graphene oxide membrane for lithium recovery from water. Membranes 2022, 12, 233. [Google Scholar] [CrossRef]
- Pei, H.; Yan, F.; Ma, X.; Li, X.; Liu, C.; Li, J.; Cui, Z.; He, B. In situ one-pot formation of crown ether functionalized polysulfone membranes for highly efficient lithium isotope adsorptive separation. Eur. Polym. J. 2018, 109, 288–296. [Google Scholar] [CrossRef]
- Peng, H.; Yu, K.; Liu, X.; Li, J.; Hu, X.; Zhao, Q. Quaternization-spiro design of chlorine-resistant and high-permeance lithium separation membranes. Nat. Commun. 2023, 14, 5483. [Google Scholar] [CrossRef] [PubMed]
- Hua, J.; He, J.; Pei, H.; Du, J.; Ma, X.; Li, J. A remarkable improved Li+/Mg2+ selectivity and Li+ recovery simultaneously by adding crown ether to tributyl phosphate-ionic liquid extraction system as co-extractant. Sep. Purif. Technol. 2024, 335, 126162. [Google Scholar] [CrossRef]
- Yao, D.; Ge, T.; Xu, L.; Chen, G.; Yao, C.; Yang, C.; Tian, Y.; Zhao, Z. Complexation mechanism of crown ether with indium in the presence of KI: Toward efficient recovery of indium from secondary resources. Sep. Purif. Technol. 2023, 308, 122936. [Google Scholar] [CrossRef]
- Zha, Z.; Li, T.; Hussein, I.; Wang, Y.; Zhao, S. Aza-crown ether-coupled polyamide nanofiltration membrane for efficient Li+/Mg2+ separation. J. Membr. Sci. 2024, 695, 122484. [Google Scholar] [CrossRef]
- Dong, Y.; Liu, Y.; Li, H.; Zhu, Q.; Luo, M.; Zhang, H.; Ye, B.; Yang, Z.; Xu, T. Crown ether-based Tröger’s base membranes for efficient Li+/Mg2+ separation. J. Membr. Sci. 2023, 665, 121113. [Google Scholar] [CrossRef]
- Li, H.; Wang, Y.; Li, T.; Ren, X.K.; Wang, J.; Wang, Z.; Zhao, S. Nanofiltration membrane with crown ether as exclusive Li+ transport channels achieving efficient extraction of lithium from salt lake brine. Chem. Eng. J. 2022, 438, 135658. [Google Scholar] [CrossRef]
- Mao, L.; Chen, R.; He, J.; Pei, H.; He, B.; Ma, X.; Li, J. Remarkably High Li+ Adsorptive Separation Polyamide Membrane by Improving the Crown Ether Concentration and Electron Density. ACS Sustain. Chem. Eng. 2022, 10, 10047–10056. [Google Scholar] [CrossRef]
- Pedersen, C.J. Cyclic polyethers and their complexes with metal salts. J. Am. Chem. Soc. 1967, 89, 7017–7036. [Google Scholar] [CrossRef]
- Li, J.; Yi, H.; Wang, M.; Yan, F.; Zhu, Q.; Wang, S.; Li, J.; He, B.; Cui, Z. Preparation of Crown-Ether-Functionalized Polysulfone Membrane by In Situ Surface Grafting for Selective Adsorption and Separation of Li+. ChemistrySelect 2020, 5, 3321–3329. [Google Scholar] [CrossRef]
- Yin, X.; Xu, P.; Wang, H. Modification of cation exchange membranes for enhanced extraction of lithium from magnesium and sodium brine solutions via selective electrodialysis. J. Membr. Sci. 2024, 701, 122705. [Google Scholar] [CrossRef]
- Xu, X.; Tesfai, M.; Ma, G.; Jiang, W.; Lin, L.; Wang, H.; Xu, P. Polydopamine-Assisted Modification of Anion-Exchange Membranes with Nanomaterials for Improved Biofouling Resistance and Electrodialysis Performance. ACS EST Eng. 2021, 1, 1009–1020. [Google Scholar] [CrossRef]
- Ma, G.; Xu, X.; Tesfai, M.; Wang, H.; Xu, P. Developing anti-biofouling and energy-efficient cation-exchange membranes using conductive polymers and nanomaterials. J. Membr. Sci. 2020, 603, 118034. [Google Scholar] [CrossRef]
- Wang, S.; Zhang, J.; Gharbi, O.; Vivier, V.; Gao, M.; Orazem, M.E. Electrochemical impedance spectroscopy. Nat. Rev. Methods Primers 2021, 1, 41. [Google Scholar] [CrossRef]
- Sigurdardottir, S.B.; DuChanois, R.M.; Epsztein, R.; Pinelo, M.; Elimelech, M. Energy barriers to anion transport in polyelectrolyte multilayer nanofiltration membranes: Role of intra-pore diffusion. J. Membr. Sci. 2020, 603, 117921. [Google Scholar] [CrossRef]
- Guo, H.Y.; Gao, X.Q.; Yu, K.C.; Wang, X.M.; Liu, S.M. Ion adsorption on nanofiltration membrane surface and its effect on rejection of charged solutes: A zeta potential approach. Sep. Purif. Technol. 2023, 326, 124830. [Google Scholar] [CrossRef]
- Chen, D.; Werber, J.R.; Zhao, X.; Elimelech, M. A facile method to quantify the carboxyl group areal density in the active layer of polyamide thin-film composite membranes. J. Membr. Sci. 2017, 534, 100–108. [Google Scholar] [CrossRef]
- Childress, A.E.; Elimelech, M. Relating nanofiltration membrane performance to membrane charge (electrokinetic) characteristics. Environ. Sci. Technol. 2000, 34, 3710–3716. [Google Scholar] [CrossRef]
- Golubenko, D.V.; Pourcelly, G.; Yaroslavtsev, A.B. Perm-selectivity and ion-conductivity of grafted cation-exchange membranes based on UV-oxidized polymethylpenten and sulfonated polystyrene. Sep. Purif. Technol. 2018, 207, 329–335. [Google Scholar] [CrossRef]
- Li, J.; Zhu, J.; Yuan, S.; Lin, J.; Shen, J.; Van der Bruggen, B. Cation-exchange membranes with controlled porosity in electrodialysis application. Ind. Eng. Chem. Res. 2017, 56, 8111–8120. [Google Scholar] [CrossRef]
- Izquierdo-Gil, M.A.; Barragán, V.M.; Villaluenga, J.P.G.; Godino, M.P. Water uptake and salt transport through Nafion cation-exchange membranes with different thicknesses. Chem. Eng. Sci. 2012, 72, 1–9. [Google Scholar] [CrossRef]
- Ding, S.; Dai, X.; Tian, Y.; Chen, J.; Wang, L.; Li, G.; Li, S.; Meng, A.; Li, Z. Study on synergy effect of hydrated ionic radius and oxidation state for pre-intercalated cations towards highly reversible magnesium ions batteries. Chem. Eng. J. 2023, 471, 144615. [Google Scholar] [CrossRef]
- Lawagon, C.P.; Nisola, G.M.; Mun, J.; Tron, A.; Torrejos RE, C.; Seo, J.G.; Kim, H.; Chung, W.J. Adsorptive Li+ mining from liquid resources by H2TiO3: Equilibrium, kinetics, thermodynamics, and mechanisms. J. Ind. Eng. Chem. 2016, 35, 347–356. [Google Scholar] [CrossRef]
- Warnock, S.J.; Sujanani, R.; Zofchak, E.S.; Zhao, S.; Dilenschneider, T.J.; Hanson, K.G.; Mukherjee, S.; Ganesan, V.; Freeman, B.D.; Abu-Omar, M.M.; et al. Engineering Li/Na selectivity in 12-Crown-4–functionalized polymer membranes. Proc. Natl. Acad. Sci. USA 2021, 118, e2022197118. [Google Scholar] [CrossRef]
- Jing, Z.; Wang, G.; Zhou, Y.; Pang, D.; Zhu, F.; Liu, H. Selectivity of 18-crown-6 ether to alkali ions by density functional theory and molecular dynamics simulation. J. Mol. Liq. 2020, 311, 113305. [Google Scholar] [CrossRef]
- Sun, Y.; Zhu, M.; Yao, Y.; Wang, H.; Tong, B.; Zhao, Z. A novel approach for the selective extraction of Li+ from the leaching solution of spent lithium-ion batteries using benzo-15-crown-5 ether as extractant. Sep. Purif. Technol. 2020, 237, 116325. [Google Scholar] [CrossRef]
- Smetana, A.J.; Popov, A.I. Lithium-7 nuclear magnetic resonance and calorimetric study of lithium crown complexes in various solvents. J. Solut. Chem. 1980, 9, 183–196. [Google Scholar] [CrossRef]
- Lin, J.D.; Popov, A.I. Nuclear magnetic resonance studies of some sodium ion complexes with crown ethers and [2]-cryptands in various solvents. J. Am. Chem. Soc. 1981, 103, 3773–3777. [Google Scholar] [CrossRef]
- Yang, J.; Qu, G.; Liu, C.; Zhou, S.; Li, B.; Wei, Y. An effective lithium ion-imprinted membrane containing 12-crown ether-4 for selective recovery of lithium. Chem. Eng. Res. Des. 2022, 184, 639–650. [Google Scholar] [CrossRef]
- Xiong, Y.; Ge, T.; Xu, L.; Wang, L.; He, J.; Zhou, X.; Tian, Y.; Zhao, Z. A fundamental study on selective extraction of Li+ with dibenzo-14-crown-4 ether: Toward new technology development for lithium recovery from brines. J. Environ. Manag. 2022, 310, 114705. [Google Scholar] [CrossRef]
- Liu, C.; Min, F.; Liu, L.; Chen, J. Hydration properties of alkali and alkaline earth metal ions in aqueous solution: A molecular dynamics study. Chem. Phys. Lett. 2019, 727, 31–37. [Google Scholar] [CrossRef]
- Parsa, N.; Moheb, A.; Mehrabani-Zeinabad, A.; Masigol, M.A. Recovery of lithium ions from sodium-contaminated lithium bromide solution by using electrodialysis process. Chem. Eng. Res. Des. 2015, 98, 81–88. [Google Scholar] [CrossRef]
- Guo, Z.Y.; Ji, Z.Y.; Chen, Q.B.; Liu, J.; Zhao, Y.Y.; Li, F.; Liu, Z.Y.; Yuan, J.S. Prefractionation of LiCl from concentrated seawater/Salt Lake brines by electrodialysis with monovalent selective ion exchange membranes. J. Clean. Prod. 2018, 193, 338–350. [Google Scholar] [CrossRef]
- Ji, Z.Y.; Chen, Q.B.; Yuan, J.S.; Liu, J.; Zhao, Y.Y.; Feng, W.X. Preliminary study on recovering lithium from high Mg2+/Li+ ratio brines by electrodialysis. Sep. Purif. Technol. 2017, 172, 168–177. [Google Scholar] [CrossRef]
- Bunani, S.; Yoshizuka, K.; Nishihama, S.; Arda, M.; Kabay, N. Application of bipolar membrane electrodialysis (BMED) for simultaneous separation and recovery of boron and lithium from aqueous solutions. Desalination 2017, 424, 37–44. [Google Scholar] [CrossRef]
- Xing, Z.; Srinivasan, M. Lithium recovery from spent lithium-ion batteries leachate by chelating agents facilitated electrodialysis. Chem. Eng. J. 2023, 474, 145306. [Google Scholar] [CrossRef]
- Zhang, Y.; Xu, R.; Sun, W.; Wang, L.; Tang, H. Li extraction from model brine via electrocoagulation: Processing, kinetics, and mechanism. Sep. Purif. Technol. 2020, 250, 117234. [Google Scholar] [CrossRef]
- Lee, D.H.; Ryu, T.; Shin, J.; Ryu, J.C.; Chung, K.S.; Kim, Y.H. Selective lithium recovery from aqueous solution using a modified membrane capacitive deionization system. Hydrometallurgy 2017, 173, 283–288. [Google Scholar] [CrossRef]
- Shi, W.; Liu, X.; Ye, C.; Cao, X.; Gao, C.; Shen, J. Efficient lithium extraction by membrane capacitive deionization incorporated with monovalent selective cation exchange membrane. Sep. Purif. Technol. 2019, 210, 885–890. [Google Scholar] [CrossRef]
- Sata, T.; Teshima, K.; Yamaguchi, T. Permselectivity between two anions in anion exchange membranes crosslinked with various diamines in electrodialysis. J. Polym. Sci. Part A Polym. Chem. 1996, 34, 1475–1482. [Google Scholar] [CrossRef]
- Pramanik, B.K.; Nghiem, L.D.; Hai, F.I. Extraction of strategically important elements from brines: Constraints and opportunities. Water Res. 2020, 168, 115149. [Google Scholar] [CrossRef]
- Song, J.F.; Nghiem, L.D.; Li, X.M.; He, T. Lithium extraction from Chinese salt-lake brines: Opportunities, challenges, and future outlook. Environ. Sci. Water Res. Technol. 2017, 3, 593–597. [Google Scholar] [CrossRef]








| Membranes | Current Density (mA/cm2) | Current Efficiency (%) | tLi | tNa | tNa/tLi | Li Flux (meq/s-m2) | Li Recovery Efficiency (%) | Na Leaking Rate (%) | Energy Consumption (kWh/kg-Li) |
|---|---|---|---|---|---|---|---|---|---|
| 12CE/CR671 | 2.3 | 20.3 ± 3.9 | 0.12 | 0.88 | 2.00 | 4.7 ± 1.2 | 0.84 | 1.7 | 2.81 |
| 9.4 | 14.8 ± 2.8 | 0.26 | 0.74 | 0.81 | 34.3 ± 5.7 | 11.1 | 4.9 | 7.05 | |
| 15.9 | 17.3 ± 1.6 | 0.25 | 0.75 | 0.85 | 62.3 ± 9.8 | 17.4 | 9.4 | 14.84 | |
| 15.9–4 * | 35.8 ± 8.5 | 0.25 | 0.75 | 0.88 | 126.9 ± 11.4 | 22.7 | 19.6 | 16.56 | |
| 15CE/CR671 | 2.3 | 38.4 ± 3.9 | 0.32 | 0.68 | 0.61 | 23.1 ± 3.7 | 5.1 | 3.1 | 0.48 |
| 9.4 | 17.0 ± 2.9 | 0.28 | 0.72 | 0.76 | 37.0 ± 7.3 | 8.2 | 6.2 | 5.07 | |
| 15.9 | 39.4 ± 7.4 | 0.24 | 0.76 | 0.93 | 129.7 ± 14.7 | 28.8 | 26.6 | 5.74 | |
| 15.9–4 * | 127.4 ± 6.3 | 0.23 | 0.77 | 0.97 | 407.5 ± 21.5 | 90.5 | 86.9 | 4.26 | |
| 18CE/ CR671 | 2.3 | 80.3 ± 8.5 | 0.21 | 0.79 | 1.06 | 32.3 ± 5.7 | 6.6 | 7.0 | 0.42 |
| 9.4 | 19.3 ± 3.9 | 0.23 | 0.77 | 0.96 | 42.6 ± 7.8 | 8.6 | 8.3 | 5.22 | |
| 15.9 | 17.8 ± 4.0 | 0.19 | 0.81 | 1.15 | 79.1 ± 9.4 | 16.0 | 18.7 | 10.71 | |
| 15.9–4 * | 33.4 ± 5.0 | 0.17 | 0.83 | 1.30 | 117.4 ± 11.4 | 23.8 | 32.2 | 16.85 |
| Membranes | Current Density (mA/cm2) | Current Efficiency | tLi | tMg | tMg/tLi | Li Flux (meq/s-m2) | Li Recovery Efficiency (%) | Mg Leaking Rate (%) | Energy Consumption (kWh/kg-Li) |
|---|---|---|---|---|---|---|---|---|---|
| 12CE/CR671 | 2.2 | 19.6 ± 4.3 | 0.51 | 0.49 | 0.20 | 16.5 ± 1.3 | 4.7 | 0.9 | 0.56 |
| 9.3 | 15.3 ± 1.6 | 0.77 | 0.23 | 0.13 | 71.3 ± 6.7 | 20.0 | 2.4 | 2.21 | |
| 14.7 | 20.0 ± 5.3 | 0.73 | 0.27 | 0.18 | 121.5 ± 12.7 | 34.1 | 5.3 | 4.56 | |
| 14.7–4 * | 21.2 ± 4.2 | 0.71 | 0.29 | 0.20 | 155.0 ± 16.3 | 43.6 | 7.2 | 8.34 | |
| 15CE/CR671 | 2.2 | 38.4 ± 9.9 | 0.84 | 0.16 | 0.08 | 26.7 ± 5.9 | 6.8 | 0.5 | 0.36 |
| 9.3 | 17.0 ± 2.9 | 0.81 | 0.19 | 0.11 | 88.4 ± 15.7 | 22.3 | 2.2 | 1.81 | |
| 14.7 | 39.4 ± 7.4 | 0.85 | 0.15 | 0.10 | 248.6 ± 47.3 | 62.9 | 4.8 | 2.21 | |
| 14.7–4 * | 49.7 ± 9.3 | 0.74 | 0.26 | 0.10 | 318.7 ± 55.6 | 80.5 | 5.7 | 4.02 | |
| 18CE/CR671 | 2.2 | 30.9 ± 4.3 | 0.48 | 0.52 | 0.21 | 24.2 ± 5.7 | 6.5 | 1.3 | 0.40 |
| 9.3 | 11.7 ± 3.4 | 0.67 | 0.33 | 0.20 | 54.8 ± 6.8 | 14.7 | 2.8 | 2.99 | |
| 14.7 | 12.7 ± 2.8 | 0.74 | 0.26 | 0.15 | 109.8 ± 11.8 | 29.5 | 3.9 | 5.35 | |
| 14.7–4 * | 19.3 ± 4.9 | 0.75 | 0.25 | 0.14 | 140.0 ± 18.6 | 37.6 | 4.7 | 9.80 |
Disclaimer/Publisher’s Note: The statements, opinions and data contained in all publications are solely those of the individual author(s) and contributor(s) and not of MDPI and/or the editor(s). MDPI and/or the editor(s) disclaim responsibility for any injury to people or property resulting from any ideas, methods, instructions or products referred to in the content. |
© 2024 by the authors. Licensee MDPI, Basel, Switzerland. This article is an open access article distributed under the terms and conditions of the Creative Commons Attribution (CC BY) license (https://creativecommons.org/licenses/by/4.0/).
Share and Cite
Yin, X.; Xu, P.; Wang, H. High-Performance Crown Ether-Modified Membranes for Selective Lithium Recovery from High Na+ and Mg2+ Brines Using Electrodialysis. Water 2024, 16, 2489. https://doi.org/10.3390/w16172489
Yin X, Xu P, Wang H. High-Performance Crown Ether-Modified Membranes for Selective Lithium Recovery from High Na+ and Mg2+ Brines Using Electrodialysis. Water. 2024; 16(17):2489. https://doi.org/10.3390/w16172489
Chicago/Turabian StyleYin, Xiaochun, Pei Xu, and Huiyao Wang. 2024. "High-Performance Crown Ether-Modified Membranes for Selective Lithium Recovery from High Na+ and Mg2+ Brines Using Electrodialysis" Water 16, no. 17: 2489. https://doi.org/10.3390/w16172489
APA StyleYin, X., Xu, P., & Wang, H. (2024). High-Performance Crown Ether-Modified Membranes for Selective Lithium Recovery from High Na+ and Mg2+ Brines Using Electrodialysis. Water, 16(17), 2489. https://doi.org/10.3390/w16172489

