Abstract
Xilinhot City is a significant pastoral city in China where groundwater serves as the primary water source for the cold and arid pastoral regions. The formation and evolution of material components in groundwater, as well as groundwater quality, are directly linked to the health of pastoral residents. This study is based on the physical and chemical test results of 22 groundwater samples collected from the Xilinhot River Basin in Inner Mongolia. Various statistical analyses, including Piper and Chadha diagrams, as well as hydrogeochemical simulation methods, were employed to assess the hydrogeochemical characteristics and material composition sources of groundwater, evaluate groundwater quality and non-carcinogenic risks, and comprehensively discuss the impact of macro- and microelements on human health. The findings indicate that igneous rocks containing minerals such as potassium feldspar, plagioclase, and pyroxene contribute Na+, Cl−, and K+ to the groundwater, while sedimentary rocks containing minerals like dolomite and calcite supply ions such as Ca2+, Mg2+, and HCO3−. The groundwater quality is primarily classified as Class II–V, with F− and NO3− exhibiting varying hazard quotients for children and adults in the study area, though they do not pose a non-carcinogenic risk. Additionally, the enrichment of hardness, Ca2+, Mg2+, Na+, SO42−, and other indicators in localized areas exceeds the recommended values for drinking water, potentially impacting the digestive and urinary systems of the human body. There is a risk of excessive fluoride in areas where F levels exceed 1 mg/L. Furthermore, the content of beneficial micronutrients such as selenium (Se), zinc (Zn), boron (B), and germanium (Ge) is relatively low. Based on the elemental abundance characteristics and a comparative analysis of the chemical properties of groundwater across five regions of China, this comparison facilitates a discussion on the definition of healthy groundwater, particularly in relation to safe consumption in cold and arid regions. This study aims to highlight the health issues associated with drinking groundwater in the cold and arid regions of Mongolia. The findings serve as a valuable reference for efforts aimed at reducing the incidence of endemic diseases and enhancing human lifespan.
1. Introduction
The Earth system is often perceived as a unified entity [1] characterized by the similarity in the composition and prevalence of human-related elements and the typical composition and prevalence of elements within crustal rocks [2]. The relationship between the hydrosphere, which acts as a vital connector, and elements like the lithosphere and human organisms shows a stronger regression coefficient [3]. The human body takes in a variety of chemical elements from the geological surroundings mainly through the intake of food and water. Importantly, the elements found in water are absorbed more efficiently by the human body than those sourced from food [4]. In pastoral areas where groundwater is typically the primary drinking water source, the elements contained in groundwater play a crucial role in supporting human biological functions and overall health. An inadequate or surplus intake of specific chemical elements can result in abnormal growth or health issues in humans [5]. Human activities can significantly influence hydrogeochemistry [6,7]; however, the presence and forms of elements in groundwater under natural conditions are shaped by the hydrogeological and hydrogeochemical context [8]. Therefore, examining the conditions that influence the formation and evolution of groundwater hydrochemistry can shed light on the connection between the abundant and scarcity of macro-elements and trace elements in groundwater and their impacts on human health. This analysis ultimately offers a robust geological framework for decreasing the prevalence of endemic diseases and promoting a longer human lifespan.
The inland river basins in Inner Mongolia have developed a unique water cycle system in cold and arid regions characterized by relatively closed circulation conditions, exhibiting significant regional differentiation patterns in precipitation, surface runoff, and groundwater [9]. Groundwater resources, along with their extraction outputs, are key attributes of groundwater as a resource [10], serving as strategic resources that support domestic water needs for humans and livestock [11]. When groundwater is utilized as a water source for a region, evaluating its quality becomes a crucial consideration [12]. Furthermore, the abundance or deficiency of certain elements is vital for human health [13,14]. Existing research on the genesis mechanisms of groundwater and drinking water health aimed to elucidate the chemical characteristics of groundwater [15], analyze the formation and evolution mechanisms of health-related major and trace elements [16], and explore the relationship between human health and the elemental content of groundwater in regions where it has been used as a drinking water source over extended periods. This research primarily focuses on hydrogeochemistry, examining the formation of groundwater chemical components and the migration of various chemical elements within them [17], to uncover the chemical characteristics and origins of groundwater [18]. The interactions among ions in groundwater reflect the outcomes of water–rock transformation [19], thus allowing researchers to trace its sources and infer the mechanisms of its formation and evolution through the elemental composition of groundwater [20]. The mineral saturation index in groundwater serves as a key parameter indicating the interactions between groundwater and aquifer media [21]. Various mineral saturation indices also reflect the stages and evolutionary trends of groundwater chemical formation. In the realm of investigating the relationship between heterogeneous elements in groundwater and human health, the assessment of risks associated with anthropogenic pollutants—such as inorganic contaminants like nitrates and heavy metals [22,23], as well as organic pollutants including petroleum hydrocarbons and aromatic hydrocarbons [24,25]—has consistently been a focal point of research. Additionally, the investigation of site pollution and the development of soil and water remediation methods have reached a relatively advanced stage. Studies examining native groundwater with high concentrations of arsenic, fluoride, and chromium [26,27,28] have emerged as critical components in understanding the interplay between groundwater quality and human health. The toxicity threshold theory for each element delineates optimal nutrition levels and their respective positive and negative impacts on human health [29,30]. Furthermore, macro-elements in groundwater are intricately linked to human health; their inherent characteristics lead to significant absorption and utilization by the human body, with their abundance or deficiency manifesting distinctly in health outcomes. Nevertheless, current research lacks sufficient examples that simultaneously analyze human health in relation to both macro-elements and trace elements in groundwater. An integrated study of these elements would enhance the relevance of hydrogeological and hydrogeochemical research, thereby providing a scientific foundation for health geology.
Groundwater serves as the primary source of drinking water, as well as for agricultural and livestock needs, in Xilinhot City and the inland river basins of Inner Mongolia. Its quality directly influences the safety and health of local residents [31]. This study aims to investigate the impact of groundwater on the health of local inhabitants and herdsmen while also reducing the adverse effects of utilizing unhealthy groundwater. By examining the geological and hydrogeological conditions of the Xilinhot area, we elucidate the distribution characteristics of key macro and micro ions present in the groundwater. A statistical analysis was conducted to explore the correlations among major ions affecting groundwater quality, alongside an assessment of groundwater quality and health risks. Furthermore, we characterized the abundance and deficiency of hydrochemical elements in the groundwater. Utilizing the theory of element poisoning thresholds, we examined the relationship between the water environment and the abundance and deficiency of macro- and microelements in relation to human health. This research proposes recommendations for ensuring safe drinking water derived from groundwater sources. By framing the health of drinking water in terms of a comparative analysis of element abundance, this study emphasizes a comprehensive and scientific approach to understanding the implications for human health across all relevant elements.
2. Materials and Methods
2.1. Study Area
The study area is located in Xilinhot, Inner Mongolia, China (Figure 1). Xilinhot City is situated in the western section of the Shengli Maodeng Basin, characterized by its surrounding low mountains, hills, and lava plateaus. The central and eastern regions of the city comprise an inclined plain that transitions into the mountains, while the central and western sections feature valley plains. The overall topography exhibits a gradient, with higher elevations in the south and east, and lower elevations in the north and west. Based on geological genesis and morphological characteristics, the monitoring area can be categorized into four genetic types and six morphological types (Figure 2): (1) The hilly region predominantly consists of light metamorphic rocks from the Lower Permian, as well as sandstone and conglomerate from the Middle and Lower Jurassic, tuff and basalt from the Upper Jurassic, and granite from the Yanshanian period. (2) The lithology of the wavy high plain is primarily composed of detrital rocks from the Tertiary and Cretaceous periods, with certain areas covered by thin layers of Quaternary strata. (3) The sloping plain in front of the mountains is characterized by Upper Pleistocene alluvial deposits and lacustrine deposits. (4) The valleys and depressions between the hills are formed from Upper Pleistocene alluvial sand and gravel, as well as fine sand mixed with gravel. (5) The river valley plain consists of Holocene alluvial deposits, Upper Pleistocene alluvial lacustrine deposits, and additional alluvial materials. (6) The volcanic-accumulation-type lava platform is formed from Quaternary Upper Pleistocene basalt.
Figure 1.
Location map of the study area.
Figure 2.
Geological map and sampling location map of the study area.
The temperate grassland region is characterized by arid climate conditions that result in insufficient moisture, leading to sparse vegetation and limited humus. This environment is typically alkaline and strongly oxidizing. Under conditions of low rainfall intensity, significant evaporation, and minimal surface runoff, leaching processes are weak, allowing for the accumulation of various elements, with chloride (Cl), sulfate (SO4), calcium (Ca), and sodium (Na) being particularly prevalent. Consequently, the degree of mineralization in natural water sources is generally high. Biogeochemical endemic diseases in arid grasslands are primarily associated with the enrichment of certain elements and a deficiency of humus [32].
This area is characterized by a Quaternary loose rock pore aquifer, a basalt pore fissure aquifer, and a bedrock fissure aquifer (Figure 3). The Quaternary pore groundwater aquifer serves as the primary monitoring target layer, with a lithology primarily consisting of alluvial and lacustrine fine sand. Drilling indicates that the maximum thickness of the aquifer does not exceed 100 m, and it gradually thins toward the periphery of the basin, ultimately disappearing at the basin’s edge. In September 2022, the water level was recorded at depths ranging from 0.96 to 39.74 m, with water volume varying from scarce to abundant. The next layer is the pore fissure water aquifer of Cenozoic basalt, which is primarily developed along both sides of the river valley. At their junction, this aquifer lies beneath the Quaternary loose rock pore aquifer, exhibiting a certain degree of local hydraulic connectivity. However, drilling did not reveal this aquifer, and the water level burial depth was measured at 7.1 to 51.32 m in September 2022. Groundwater flow is directed from south to north (Figure 4). Currently, no relevant studies have been conducted on the zoning of the basalt pore fissure aquifer and the bedrock fissure aquifer.
Figure 3.
Typical hydrogeological profile.
Figure 4.
Hydrogeological and groundwater level map.
2.2. Experimental Methods
In 2022, chemical analysis involved the collection of water samples from 22 monitoring wells (Figure 2). The monitoring wells are all complete wells, with depths ranging from 70 to 130 m. To ensure sample quality, each well was rinsed three times with raw water prior to sampling to prevent contamination. The original sample was collected in a 2.5 L white polyethylene bucket, and an alkaline sample was transferred to a 1 L transparent polyethylene plastic bottle, to which 0.2 g of sodium hydroxide (Tianjin Zhiyuan Chemical Reagent Co., Ltd., Tianjin, China) was added using a spoon. For each water sample, two parallel samples were taken, labeled accordingly, and stored at low temperatures.
Necessary tests were performed in line with the “Groundwater Quality Standards” GB/T 14848-2017 [33]. The laboratory evaluated the primary ions sodium (Na+), potassium (K+), calcium (Ca2+), magnesium (Mg2+), sulfate (SO42−), bicarbonate (HCO3−), and chloride (Cl−) along with nitrate (NO3−), nitrite (NO2−), phosphate (PO43−), silica (SO2), dissolved oxygen (DO), total dissolved solids (TDS), suspended solids, and trace elements present in the sample. Measurements were conducted within 48 h post-collection. The ICP-OES (PerkinElmer, Optima 5300 DV, MA, USA) was used to determine the concentrations of key cations (Ca2+, Mg2+, SiO2), while trace element concentrations were assessed using ICP-MS (PerkinElmer, Elan DRC-e). For determining the concentration of Cl−, the electrode method was used; flame photometry facilitated the analysis of Na+ and K+; and the spectrophotometric turbidity method was employed for measuring SO42−. The detection limit for the primary cations and anions is set at 0.01 mg/L, whereas the minimum detectable level for Cl− stands at 5.00 mg/L. TDS are derived by summing the primary ions plus SiO2 minus half of the HCO3−. The calculation of total hardness (TH) is based on the levels of Ca2+ and Mg2+.
2.3. Mineral Saturation Index
To further analyze the chemical characteristics of groundwater, it is essential to calculate the saturation index of the primary minerals present. The specific formula for this calculation is as follows [34,35,36]:
In the formula, SIi represents the saturation index of the i mineral, Ki denotes the equilibrium constant for the dissolution reaction of the i mineral, and IAP refers to the ion activity product involved in mineral dissolution reactions.
2.4. Groundwater Quality Evaluation
In line with the national groundwater quality standards of China (GB/T 14848-2017) [33], the water quality within the study region is categorized into five classes (I–V) based on its status and the related health risks to humans. This classification derives from the quality requirements set for drinking water meant for domestic use, agriculture, and industrial purposes, as well as the concentration of various elements (excluding pH levels). Class I signifies excellent quality, permitting direct consumption with no need for treatment. Class II reflects good quality which is safe for consumption following minimal treatment. Class III is identified as medium quality, necessitating suitable treatment prior to consumption. Class IV is classified as poor quality, considered inappropriate for drinking yet acceptable for industrial use. Lastly, Class V is defined as very poor quality, rendering it unsuitable for any purpose unless extensive treatment is applied.
The Nemerow Composite Pollution Index (NCPI) serves as a tool for assessing overall environmental quality, formulated by combining evaluations of individual pollution indices. This index provides insights into the integrated pollution scenario by taking into account both average and peak values of various indicators, thus offering a more comprehensive and representative evaluation of groundwater quality. The assessment process is divided into two primary steps; the initial step focuses on evaluating the single factor pollution index, and the subsequent step involves the evaluation of the combined pollution index. The evaluation for each individual indicator was performed according to China’s standards for groundwater quality (Classes I–V), with each category being classified based on the concentration levels of a single factor found in groundwater samples.
Composite score value F calculations were performed using the Nemerow composite index method:
2.5. Health Risk Assessment
Taking into account the broad and specific aspects of the study region, a health risk assessment for non-carcinogenic effects was formulated. The anticipated health risks were evaluated by employing the model suggested by the USEPA (1989) [37]. The calculation of the average daily intake for an individual contaminant is performed using Equation (4).
where CDI is the chronic daily intake (mg/kg/day); C represents the concentration of a particular contaminant in water (mg/L). The ingestion rates (IR) are 2.457 L/day for adults and 0.780 L/day for children, representing the annual average daily total drinking water intake in both urban and rural areas of the Inner Mongolia Autonomous Region. The exposure duration (ED) is 74.44 years, based on the 2010 life expectancy for adults in the region, and 12 years for children. Given that groundwater is utilized for drinking and domestic consumption on a daily basis, the exposure frequency (EF) is set at 365 days per year. The average body weight (AW) is 66.1 kg for adults and 20.3 kg for children, reflecting the average body weight in urban and rural areas of Inner Mongolia, with the median weight of children aged 5–6 years taken into account. The average exposure duration (AT) is calculated as 27,171 days for adults and 4380 days for children. The data above are sourced from the Exposure Factors Handbook of the Chinese Population (adult volume) by 3045 samples and the Highlights of the Chinese Exposure Factors Handbook (children volume).
Toxic effects of a contaminant are most likely to manifest when the exposure dosage exceeds the reference dose for that specific contaminant. The safety factor (SF) is set at 10 [38]. The non-carcinogenic toxic effects of a contaminant are quantified using the hazard quotient (HQ), which is calculated according to Equation (5).
where RfD represents the reference dose for non-carcinogens. Ultimately, the total hazard index (THI) for non-carcinogens, which reflects the integrated effects of water quality evaluation results, is calculated using Equation (6).
According to the recommendations set forth by the USEPA [39], THI values should be maintained below 1. Elevated values indicate that individuals using the contaminated water may face non-carcinogenic health hazards [40].
3. Results
3.1. Hydrochemical Characteristics and Mineral Saturation Index
The pH value of groundwater in the research area ranges from 6.38 to 7.54, indicating that it is neutral water. The degree of mineralization in pore water is relatively high, while the mineralization degree of pore fissure water is comparatively low, with values ranging from 41.85 to 1980.87 mg/L (Table 1). The concentration range of HCO3− among anions is 196.04 to 765.8 mg/L; the concentration range of Cl− is 33.68 to 391.72 mg/L; the concentration range of SO42− is 21.29 to 1206.98 mg/L; and the concentration range of NO3− is 1.27 to 81.97 mg/L, with some samples not detected (Table 1). The concentrations of Ca2+ and Mg2+ among cations are 26.24 to 262.4 mg/L and 11.91 to 159.19 mg/L, respectively. The concentration range of Na+ is 44.02 to 386.26 mg/L, and the concentration range of K+ is 2.3 to 34.25 mg/L. The saturation index of dolomite ranges from −1.17 to 1.39; the saturation index of calcite is between −0.57 and 0.68; the saturation index of gypsum is between −2.37 and −0.47; and the saturation index of rock salt ranges from −7.37 to −5.62 (Table 1).
Table 1.
Descriptive statistics of physical and chemical properties of groundwater.
Descriptive statistics were calculated for nine physical and chemical parameters of groundwater samples, along with four common mineral saturation indices. The standard deviation (SD) and coefficient of variation (CV) for each groundwater parameter were calculated (Table 1). The results for the physical and chemical indicators reveal a notable degree of variability, suggesting significant changes in the hydrochemical characteristics and groundwater transport patterns within the region. The variation values for K+ and SO42− are the highest, followed by total dissolved solids (TDS), indicating that these ions exhibit the greatest level of activity in groundwater runoff processes, influenced by dissolution, exchange adsorption, and other mechanisms.
3.2. Sources of Substances in Groundwater
3.2.1. The Main Source of Ions
- (1)
- The source of Na+
The average Na+/Cl− millimolar equivalent ratio in groundwater is 1.83, with 91% of groundwater samples exhibiting a ratio greater than 1 (Figure 5a). This finding suggests that the dissolution of silicate minerals is the primary source of Na+ in groundwater [41,42]. Samples with an Na+/Cl− ratio of less than 1 were predominantly collected from the central pore aquifer of the study area. Conversely, samples with an Na+/Cl− ratio exceeding 2 were primarily obtained from pore fissure aquifers, particularly in regions adjacent to the second-stage basalt and Jurassic granite of the Abaga Formation, where the ratio is notably higher and may locally exceed 3.

Figure 5.
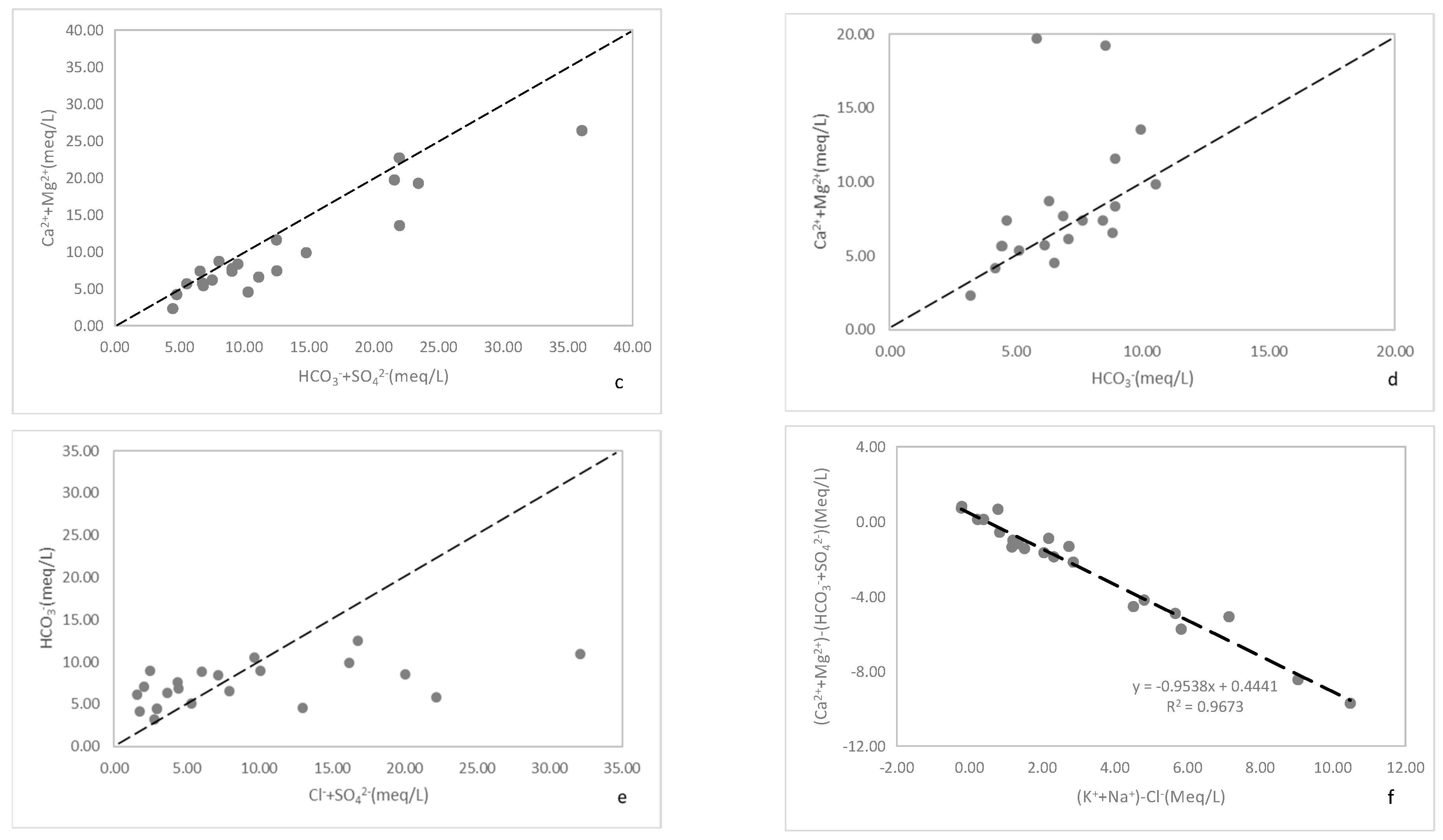
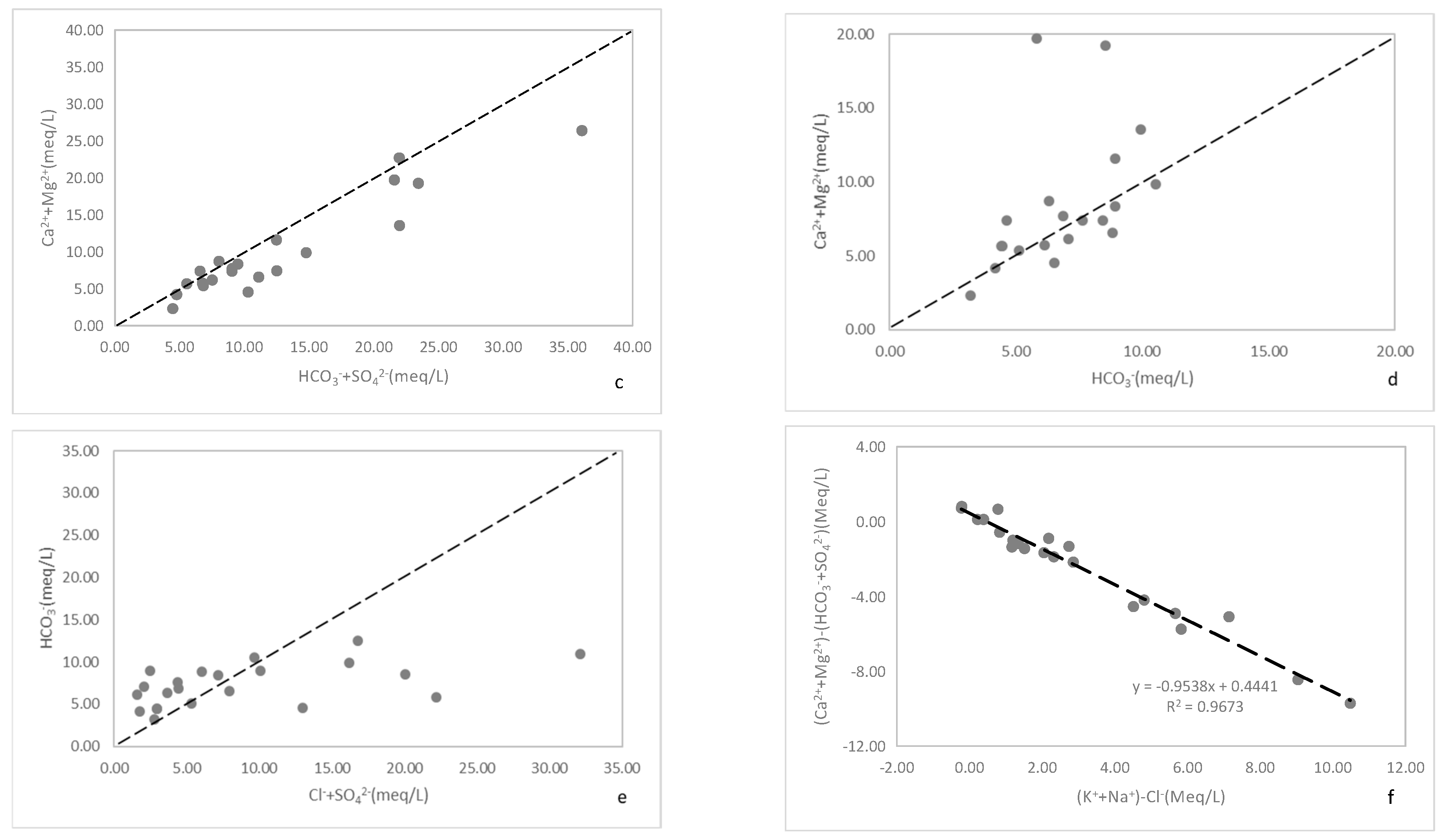
Correlation diagram of main ions in groundwater (mg/L). (a) The relationship between Na+ and Cl−; (b) The relationship between Ca2+ and Mg2+; (c) The relationship between Ca2+ + Mg2+ and HCO3− + SO42−; (d) The relationship between Ca2+ + Mg2+ and HCO3−; (e) The relationship between HCO3− and Cl− + SO42−; (f) The relationship between (Ca2+ + Mg2+)-(HCO3− + SO42−) and (K+ + Na+)-Cl−.
The basalt in the second section of the Abaga Formation is characterized by gray-black porous basalt, almond-shaped basalt, and purple-red porous basalt, primarily composed of pyroxene and plagioclase. The Middle Jurassic potassium feldspar granite rocks exhibit a flesh-red color, featuring a medium-coarse grain structure with a blocky texture. The potassium feldspar content is approximately 55%, while plagioclase accounts for about 15%, quartz for around 25%, and biotite for about 2.5%. It is theorized that plagioclase plays a pivotal role in contributing to the Na+ content. The equation representing the dissolution of plagioclase can be found in Equation (7).
- (2)
- Sources of Ca2+ and Mg2+
The ratio of Ca2+/Mg2+ found in groundwater varies between 0.57 and 1.56 (Figure 5b). Predominantly, samples exhibiting a ratio exceeding 1 were sourced from the pore aquifer and the northeast pore fissure aquifer, representing 59% of the overall sample size. Conversely, the regions in which the Ca2+/Mg2+ ratio is below 1 constituted 41% of the total sample collection. The presence of Ca2+ and Mg2+ in the groundwater across the study site is mainly due to the combined dissolution of dolomite and calcite [43] (Equations (8) and (9)). Additionally, during the replenishment phase, the dissolution of pyroxene further introduces Mg2+ into the groundwater (Equation (10)). Around 72% of the analyzed water samples revealed a saturation index above 0 for dolomite, while approximately 68% indicated a saturation index exceeding 0 for calcite, implying that the precipitation of both dolomite and calcite has occurred concurrently.
When dolomite dissolution occurs,
When calcite dissolution occurs,
When pyroxene dissolution occurs,
- (3)
- Contribution of mineral dissolution
Figure 5c demonstrates that the curves for Ca2+ + Mg2+ and HCO3− + SO42− millimolar equivalents decline and approach a 1:1 equimolar relationship. As a result, the dissolution processes of calcite, dolomite, and gypsum are the most significant, whereas the dissolution of rock salt appears in a less prominent manner. The saturation index for rock salt throughout all areas remains considerably lower than the precipitation threshold. Below the contour line, the weathering of silicate minerals takes place [44], where Ca2+ + Mg2+ does not adequately bind with all HCO3− + SO42−, and the dissolved Na+ from silicates acts as an extra source of cations.
- (4)
- Distribution relationship of anions and cations
The overall relationship between Ca2+ + Mg2+ and HCO3− demonstrates that the primary source of HCO3− is the dissolution of calcite and dolomite. Around 41% of the samples showed higher levels of Ca2+ + Mg2+ compared to HCO3− (Figure 5d), which implies that carbonate weathering was the dominant process, contributing Ca2+ and Mg2+ to the groundwater [45]. The surplus of Ca2+ + Mg2+ present in the groundwater samples was compensated for by SO42− + Cl− (Figure 5e). In contrast, nearly 59% of the samples revealed that the concentrations of Ca2+ + Mg2+ fell below that of HCO3−, suggesting that the excess negative charge from HCO3− must be neutralized by alkali metals (such as Na+ and K+) [46], which results in the dissolution of silicate minerals. Interestingly, the amount of HCO3− did not show an increase alongside the rising concentrations of SO42− + Cl− (Figure 5e).
- (5)
- Ion exchange
The relationship curve between Ca2+ + Mg2+ and HCO3− + SO42− in Figure 5f exhibits a slope of −0.9538. In the absence of silicate mineral weathering and/or cation exchange adsorption, all data points should cluster near the origin. The data are predominantly distributed along a straight line with a slope of −1, suggesting that Ca2+, Mg2+, and Na+ are interrelated through reverse ion exchange reactions.
3.2.2. Piper Diagram
The Piper trilinear diagram (Figure 6) depicts the different processes that affect groundwater characteristics [47]. In the eastern area, the pore fissure water is primarily made up of HCO3-Ca·Mg·Na, along with other types such as HCO3-Ca·Na·Mg. On the other hand, the pore water is chiefly characterized by HCO3·SO4-Ca·Na·Mg, as well as by variations including HCO3·Cl-Na·Ca·Mg, among others. In the western area, the pore fissure water predominantly features HCO3·Cl·SO4 along with sodium. This distribution highlights a distinct zoning of hydrochemical types, where anions shift from HCO3 to HCO3·Cl·SO4, and cations transition from Ca·Mg·Na to Na.
Figure 6.
Piper map of Xilinhot in groundwater.
3.2.3. Chadha Diagram
The Chadha diagram [48] reveals that around 41% of groundwater is categorized as recharge water (HCO3-Ca·Mg), while 32% is recognized as reverse ion exchange (Cl-Ca·Mg type) (Figure 7). Recharge water is mainly stored in the aquifers that contain pore fissure water, situated in the northeast and southwest areas of Xilinhot. In these locations, the saturation index of groundwater—especially for minerals like dolomite and calcite—typically falls below 0, indicating that this water remains unsaturated. On the other hand, reverse ion exchange water predominantly exists in the majority of porous aquifers, where the saturation index for dolomite and calcite frequently surpasses 0. Findings from both the Piper plot and the Chadha plot indicate that the levels of alkaline earth metals and weakly acidic anions in groundwater samples are greater than those of alkaline and strongly acidic anions, pointing to the presence of temporary hardness in the groundwater.
Figure 7.
Chadha diagram of groundwater hydrochemical process. 1. Alkaline earth exceeds alkali metal; 2. alkali metal exceeds alkaline earth; 3. weak acidic anions exceed strong acidic anions; 4. strong acidic anions are greater than weak acidic anions; 5. recharging water (HCO3-Ca·Mg type); 6. counter ion exchange water (Cl-Ca·Mg type); 7. seawater (Cl-Na type); 8. ion exchange water (HCO3-Na type).
3.2.4. The Formation and Evolution Law of Groundwater
In the groundwater of the southern region’s upper reaches, the predominant cation is Na+. This ion, along with some Mg2+, mainly comes from the basalt of the second rock segment of the Abaga Formation and the Middle Jurassic potassium feldspar granite. Moreover, Ca2+ and the rest of the Mg2+ are sourced from both dolomite and calcite. The principal anion present is HCO3−, which originates also from carbonate minerals. In the downstream layers, particularly in porous aquifers, some degree of inverse ion exchange occurs, leading to a decrease in the relative content of Na+. As Ca2+ and Mg2+ accumulate, certain regions may hit saturation thresholds, resulting in precipitation. Additionally, the level of SO42− is affected by the dissolution and alteration of sulfate minerals. Although these minerals are not widely distributed, the concentration of SO42− rises with groundwater runoff, even though the gypsum saturation index has not reached full saturation. Cl− is liberated from specific igneous rocks after extended periods of weathering and leaching, where it remains tightly bound within the mineral crystallization lattice and engages in the cycling of elements in the surface geochemical context.
The substances found in the water can be divided into equisoluble and non-equisoluble minerals. Once these substances dissolve in water, they are influenced by the principles of mineral solubility products, the common ion effect, and the salt effect. In the upstream watershed area, characterized by volcanic rocks, Na+ shows considerable activity, with 91% of water samples classified as containing Na+ according to the Shukalev classification. Certain minerals made up of Ca2+, Mg2+, and HCO3− ions precipitate when their saturation values are met or exceeded in the aquifer pores, while Na+ and K+ persist in dissolving and accumulating, leading to a horizontal zoning characteristic of hydrochemical types.
3.2.5. Hydrogeochemical Modeling
In this research, PHREEQC (Version 2) was utilized to model the restoration of water quality and source materials. The paths being simulated are designated as XJ24 and XJ19, as depicted in Figure 3. Key minerals associated with the restoration of water quality sources encompass rock salt, gypsum, sodium feldspar, kaolinite, carbon dioxide (g), calcite, dolomite, quartz, plagioclase, potassium feldspar, and pyroxene. Silicate minerals within this list undergo enforced dissolution, while clay minerals are subjected to enforced precipitation. Regarding reverse ion exchange processes, NaX is allocated for enforced precipitation, while CaX2 and MgX2 are chosen for enforced dissolution.
The simulation outcomes reveal that the dissolution of plagioclase, potassium feldspar, and pyroxene plays a crucial role in supplying substances in the water, with plagioclase exerting the most pronounced effect, followed by minor dissolution of dolomite and calcite. Furthermore, gypsum dissolution adds to the substance sources in groundwater, leading to the precipitation of sodium-containing aluminosilicates. During the transport process, plagioclase dissolved 1092 mg, potassium feldspar dissolved 168 mg, and gypsum dissolved 818 mg, with clay minerals precipitating at 985 mg. Although this is not the only solution available, it stands out as one of the more plausible outcomes in the simulations.
3.3. The Relationship between Groundwater Components and Human Health
3.3.1. Endemic Diseases and Target Ion Screening
The Inner Mongolia Groundwater Resources Evaluation Report reveals that groundwater quality is linked primarily to endemic diseases such as fluorosis, iodine deficiency (which causes endemic goiter), and Keshan disease. This research focuses on two specific conditions: fluorosis and iodine deficiency. Reports indicate that fluorosis has been observed in every city within the league, with Xilinhot City exhibiting a dental fluorosis prevalence rate of 71.4% and a skeletal fluorosis prevalence of 0.11%. Furthermore, the recorded prevalence of iodine deficiency in Xilinhot stands at 16.88%.
3.3.2. Results of Groundwater Quality Evaluation
A thorough assessment of groundwater quality reveals that the water in this region can be mainly divided into Classes II, III, IV, and V. Within the analysis of the 22 monitoring points for water quality, one point is designated as Class II, which represents 8.7% of all monitoring locations. Moreover, there are six points identified as Class III, making up 26.1% of the total, nine points classified as Class IV, comprising 39.1%, and six points categorized as Class V, which also accounts for 26.1% of the overall monitoring sites (Figure 8). The primary factors influencing water quality evaluation include F−, NO3−, SO42−, DO, Cl−, Na+, and TDS. Among these, F− affected 23% of the samples, while both NO3− and SO42− impacted 18% of the water sample evaluation results.
Figure 8.
Groundwater quality evaluation map of Xilinhot.
3.3.3. Non-Carcinogenic Health Risks
The pollutants selected for this health risk evaluation should carefully take into account the findings from the water quality analysis and the occurrence of local diseases. Furthermore, extended exposure to these pollutants presents non-carcinogenic health hazards. Considering these elements, nitrate and fluoride have been identified as the pollutants for this assessment. These substances have the potential to expose water users in the study region to harmful health consequences [49].
The site-wise variation of the non-carcinogenic health risks posed by nitrate and fluoride for children and adults is presented in Table 2. HQNitrate varied between 0 and 0.148 (children) and 0 and 0.143 (adults). Similarly, the HQFluoride varied between 0 and 0.191 (children) and 0 and 0.185 (adults).
Table 2.
Results of potential health risks due to fluoride and nitrate.
The findings demonstrate that F− and NO3− exhibit distinct hazard quotients for children and adults within the studied region; nonetheless, neither HQNitrate, HQFluoride, nor THI values have led to any tangible risks. The health threats associated with nitrate and fluoride appear to be nearly equivalent for both adults and children. The hazard quotient for children is slightly higher than that for adults, likely due to their lower body weight [50].
3.3.4. Analysis of Drinking Groundwater and Human Health
- (1)
- Comprehensive analysis of healthy geological conditions
The examination and study of groundwater, along with its influence on human health, mainly concentrate on the following points: ① The buildup of specific elements may cause considerable damage, which might arise even in natural settings. The US EPA’s National Primary Drinking Water Regulations and the groundwater quality standards in China explicitly highlight the risk of such damage. ② The levels of these elements within the Earth’s crust are notably high. ③ This evaluation can incorporate available data, which yields relatively clear results. ④ Furthermore, there exist advantageous elements for human health. Therefore, it is essential to further explore the elements and compounds, such as Ca, Mg, Na, K, HCO3, CO3, Cl, SO4, F, I, Be, Cr, Cu, Se, Cd, Sb, Ba, Hg, and Pb, among others.
- (2)
- Macro-elements and their compounds and human health
The influence of macro-elements and their compounds on human health is frequently neglected; nonetheless, their significance cannot be ignored.
Calcium (Ca) is plentiful in the Earth’s crust, but the concentration of Ca in drinking water seldom surpasses 180 mg/L. The advised limit is 20 mg/L, and the rate of Ca exceeding this standard in groundwater is 32%. Sufficient intake of Ca is crucial for human growth, development, and the sustenance of normal metabolic functions. In contrast, elevated levels of water hardness may result in negative health consequences, such as a higher likelihood of kidney stones, gastrointestinal issues, and skin problems [51].
The amount of magnesium (Mg) found in natural water is typically low, with 27% of samples from the study area surpassing 65 mg/L. While higher Mg levels can contribute to endemic diarrhea, its presence in natural water is also advantageous for human health, and the prevalence of endemic diseases remains low.
For drinking water, the ideal sodium (Na) concentration should be less than 20 mg/L. In the study region, groundwater Na levels exceed this guideline, with the peak concentration reaching 15 times the recommended amount.
Consuming excessive sodium over extended periods can negatively impact the health of both humans and animals. Levels of potassium (K) need to be kept between 10 and 12 mg/L. In the study area, the overall K content stays within this recommended range; however, samples XJ13, XJ19, XJ25, and XJ34 surpassed this limit.
Water that contains over 1000 mg/L of bicarbonate compounds (Na, Mg) can be categorized as bicarbonate mineral water, known for enhancing gastrointestinal function and assisting in the management of hepatobiliary conditions. Moreover, bicarbonate has demonstrated a hypoglycemic effect [52]. In this study area, bicarbonate levels remained below 1000 mg/L, suggesting no harmful health consequences.
The permissible limit for Cl− concentration in drinking water within China is set at 250 mg/L. In the examined region, groundwater typically remains within the recommended safe levels, though two locations surpass the permissible threshold of 500 mg/L. Nevertheless, this minor exceedance does not interfere with normal physiological processes in humans since significant impacts on gastric juice production and metabolic functions only occur when concentrations rise above 500 mg/L.
Sulfur (S) acts as a vital biological element, being a key part of proteins and playing an essential role in the synthesis of chondroitin sulfate, making it crucial for living organisms. The guideline for sulfate levels in drinking water is <250 mg/L. Typically, sulfate concentrations under 500 mg/L do not pose negative effects on human physiological activities. However, when sulfate is present in the form of MgSO4 or Na2SO4, such levels can activate gastrointestinal functions and may lead to diarrhea [53]. Additionally, water with sulfate concentrations exceeding 960 mg/L is considered unsuitable for agricultural use as it hampers crop growth. In this investigation, samples XJ19 and XJ34 were above this critical limit.
The groundwater in this area shows no detectable carbonate, and, therefore, further discussion is not warranted.
- (3)
- Micronutrients and their compounds and human health
The level of nitrate found in groundwater is closely linked to pollution, mainly arising from sources like septic tanks, agricultural fertilizers, feedlots, and wastewater from industries [54]. The impact of grazing livestock is particularly pronounced in pastoral regions. The acceptable maximum limit for nitrate in potable water is established at 10 mg/L, while the excess concentration of nitrate reaches about 18%. Nitrate concentration below 100 mg/L, or within the interval of 100 to 200 mg/L, does not represent an immediate hazard to human health. Nonetheless, when nitrate transforms into nitrite, it poses a significant health threat. It is important to note that nitrite levels in drinking water are heightened in areas impacted by Keshan disease and Kashin–Beck disease. Furthermore, regions with elevated rates of liver and esophageal cancers have also reported significantly increased nitrite concentrations in their drinking water. Crucially, no nitrite was found in the area of study.
Fluorine (F) is a crucial element required by the human body; nevertheless, both high and low levels can negatively impact health [55]. In China, the acceptable range for F concentration in water is established between 0.5 and 1.0 mg/L. Within the investigated area, F levels are categorized as moderate to high, with 45% of the samples surpassing 1.0 mg/L. Regions with increased F levels are especially vulnerable to fluorosis.
Iodine (I) concentrations varied from 0.8 mg/L to 16.4 mg/L, presenting a median of 4.34 mg/L. The hydrogeological properties of the pores and fractures in the southeastern region of Xilinhot are mainly linked to iodine deficiency in the natural setting, shaped by geomorphological factors and an unfavorable geological environment for iodine accumulation. This iodine-deficient area is located in the low mountain and hilly terrains, where rapid groundwater runoff and discharge inhibit the enhancement of iodine levels.
Compared to water quality standards, the levels of beryllium (Be), chromium (Cr), copper (Cu), selenium (Se), cadmium (Cd), antimony (Sb), barium (Ba), mercury (Hg), and lead (Pb) remain within the acceptable limits.
- (4)
- Comprehensive
Based on the macro-elements, the geological health concerns observed in the study area include excessively high local hardness, along with increased concentrations of calcium (Ca), magnesium (Mg), and sodium (Na) ions. Moreover, the content of sulfate (SO4) is also significantly elevated. Long-term consumption of this water may lead to health issues, such as a higher prevalence of kidney stones and gastrointestinal ailments, including endemic diarrhea. Concerning micronutrients, nearly 50% of the water samples in this region presented health hazards, which may result in conditions like fluorosis. In contrast, the levels of advantageous micronutrients, such as selenium (Se), zinc (Zn), boron (B), and germanium (Ge), were not found to be elevated.
3.3.5. A Discussion of Healthy Groundwater
Humans are organic entities that are derived from and interact with their surroundings. When comparing the concentrations of elements in the Earth’s crust to those found in human blood, there is a very strong correlation in element concentrations, with exceptions for the primary components of biological protoplasm (C, H, O, N) and the key constituents of filling rocks (Si, Al) [56,57] (Figure 9). Based on the understanding of elemental abundances in humans, a deviation of certain elements from the standard abundance curve indicates potential pollution in the human body. Consequently, specific ions in groundwater might show significant deviations under natural conditions, particularly in areas where groundwater serves as the primary source of drinking water, potentially leading to endemic diseases.
Figure 9.
The abundance and atomic number variation curves of elements in the crust, human blood, and groundwater in study area.
The typical concentration of the main constituents of groundwater in the research area does not considerably differ from the typical concentrations observed in crust and human blood, indicating a stronger correlation with the average levels found in the crust. Sulfur (S) and Chlorine (Cl) show a propensity to transfer from the environment into the human system, whereas other elements maintain a state of equilibrium.
Based on the findings from the seventh national census carried out in 2020, in Xilinhot, 1.84% of the resident population is aged over 80, which is below the national average of 2.54% [58].
What defines healthy groundwater regarding its abundance? This research analyzes the ion concentrations of potable water in Jinxiang County of Jining, recognized as a region associated with longevity, and compares it with Jinan and the Guanzhong areas, emphasizing the indicators that reflect the health impacts of groundwater [59,60,61,62]. It is noteworthy that, as of 2020, the percentage of individuals aged over 80 in Xilinhot was lower than the Jinxiang County average of 2.36% recorded in 2010, but it was slightly higher than the figures of 1.69% for Jinan and 1.07% for Guanzhong. Concerning stable elements, the study region displays a comparable scale to Jinxiang County for elements like sodium (Na), magnesium (Mg), and calcium (Ca) (Figure 10). Research findings indicate that the concentration of native heavy metal contaminants in groundwater is not significant [63,64]. Nonetheless, the levels of micronutrient elements such as manganese (Mn), copper (Cu), zinc (Zn), selenium (Se), iodine (I), and lithium (Li) were found to be lower in the study area than in Jinxiang County. The deficiencies in these micronutrients may result in insufficient intake, which can undermine the health benefits linked with these vital elements. Therefore, groundwater deemed healthy for human consumption ought to be devoid of toxic, harmful, and foul-smelling substances while maintaining a suitable equilibrium of minerals crucial for human well-being. Optimal groundwater should have a rich presence of trace elements such as calcium (Ca), magnesium (Mg), potassium (K), and sodium (Na), along with essential micronutrients like iron (Fe), silicon (Si), fluorine (F), iodine (I), selenium (Se), and lithium (Li). It is advisable to boil groundwater before consumption. Additionally, it is advisable to avoid using fluoride toothpaste in areas with elevated fluoride levels, or to implement groundwater defluoridation treatment [65,66], and nitrogen reduction treatment [67]. Instead, opt for iodized table salt and ensure adequate intake of trace elements such as zinc, iron, and selenium through various means.
Figure 10.
Comparison chart of groundwater abundance.
4. Conclusions
Based on the test results of groundwater samples collected around Xilinhot City, along with a geological overview of the area and the primary mineral components of the aquifer, the formation and evolution of groundwater were investigated. The quality of the groundwater and non-carcinogenic health risks were assessed, and the impacts of macro-elements and trace elements on human health were examined. The following conclusions were drawn:
- (1)
- The dissolution and alteration of major minerals within the aquifer contribute to the characteristics of groundwater through various chemical reactions. Igneous rocks, which contain minerals such as potassium feldspar, plagioclase, and pyroxene, release Na+, Cl−, and K+ ions into the groundwater. In contrast, sedimentary rocks that contain minerals like dolomite and calcite provide ions such as Ca2+, Mg2+, and HCO3− to the groundwater, which can accumulate and precipitate with runoff.
- (2)
- A comprehensive assessment of groundwater quality indicates that the water in this region can be predominantly categorized into Classes II, III, IV, and V. The primary factors influencing the evaluation of water quality include fluoride (F−), nitrate (NO3−), sulfate (SO42−), dissolved oxygen (DO), chloride (Cl−), sodium (Na+), and total dissolved solids (TDS). Notably, fluoride affected 23% of the samples, while both nitrate and sulfate impacted 18% of the water sample evaluation results.
- (3)
- The results of the non-carcinogenic health risk assessment indicate that F− and NO3− exhibit distinct hazard quotients for children and adults within the studied region. However, neither HQNitrate, HQFluoride, nor THI values have resulted in any tangible risks. The health threats associated with nitrate and fluoride appear to be nearly equivalent for both adults and children, although the hazard quotient for children is slightly higher than that for adults.
- (4)
- The analysis of the relationship between drinking water and human health, based on macro-elements, reveals significant geological health concerns in the study area. These concerns include excessively high local hardness, along with increased concentrations of calcium (Ca), magnesium (Mg), and sodium (Na) ions. Additionally, the content of sulfate (SO4) is also markedly elevated. Regarding micronutrients, nearly 50% of the water samples in this region posed health hazards which could lead to conditions such as fluorosis. In contrast, the levels of beneficial micronutrients, including selenium (Se), zinc (Zn), boron (B), and germanium (Ge), were not found to be elevated.
- (5)
- Based on the elemental abundance characteristics of the Earth’s crust, human blood, and groundwater in the study area, we compared the hydrochemical characteristics of drinking groundwater in longevity areas with those in non-longevity areas. This comparison facilitated a discussion on the definition of healthy groundwater and led to recommendations for its consumption.
- (6)
- In the next phase of our research, we will continue to collect groundwater samples to analyze both intra-annual and inter-annual variations in groundwater quality. Additionally, we will collect aquifer rock samples and analyze their mineral composition to further elucidate the processes and intensities of water–salt interactions. During the survey, we will compile statistics on the types and frequencies of endemic disease occurrences and provide detailed recommendations based on the drinking water habits observed.
Author Contributions
Conceptualization, Y.X. and F.L.; methodology, Y.X. and H.N.; investigation, Y.X., J.Z. and H.N.; data curation, G.C. writing—original draft preparation, Y.X.; writing—review and editing, F.L. and Y.X.; supervision, F.L.; project administration, G.C.; resources, Y.X., G.C., F.L., J.Z. and H.N. All authors have read and agreed to the published version of the manuscript.
Funding
This research was funded by the Department of Natural Resources, Inner Mongolia, grant number 2022-TZH08. This research was funded by the China Geological Survey, grant number DD20230431. This research was funded by The Inner Mongolia Geological Survey Institute, grant numbers NDHX[2023]NMGDXS-JC-06.
Data Availability Statement
Data is contained within the article.
Conflicts of Interest
Author Guangfang Chen was employed by the company Inner Mongolia Ninth Geology Mineral Exploration and Development Co., Ltd. The remaining authors declare that the research was conducted in the absence of any commercial or financial relationships that could be construed as a potential conflict of interest.
References
- Wang, S.; Meng, J.; Chen, X.S.; Fan, J.F. An overview of complexity studies on Earth systems. J. Beijing Norm. Univ. (Nat. Sci.) 2023, 59, 796–805. [Google Scholar] [CrossRef]
- Hamilton, E.I. The chemical elements and human morbidity-water, air and places—A study of natural variability. Sci. Total Environ. 1974, 3, 3–85. [Google Scholar] [CrossRef]
- Wang, Z.M.; Liu, Y.S.; Lu, A.H.; Wang, Y. Water: The lifeblood of the Earth-human system revealed in elemental correlations. Sci. China Earth Sci. 2023, 66, 2386–2390. [Google Scholar] [CrossRef]
- Lin, N.F. Medical Environmental Geochemistry; Jilin Science and Technology Press: Changchun, China, 1991; pp. 239–240. [Google Scholar]
- Zhu, W.; Wang, C.; Wu, J.; Chen, S.; Mao, W.; Chen, Y.; Chen, M. Dietary copper intake and the prevalence of kidney stones among adult in the United States: A propensity score matching study. Front. Public Health 2022, 10, 973887. [Google Scholar] [CrossRef] [PubMed]
- Zhang, K.; Li, Y.; Yu, Z.; Yang, T.; Xu, J.; Chao, L.; Ni, J.; Wang, L.; Gao, Y.; Hu, Y.; et al. Xin’anjiang Nested Experimental Watershed (XAJ-NEW) for Understanding Multiscale Water Cycle: Scientific Objectives and Experimental Design. Engineering 2022, 18, 207–217. [Google Scholar] [CrossRef]
- Zhao, Y.; Zhang, M.; Liu, Z.; Ma, J.; Yang, F.; Guo, H.; Fu, Q. How Human Activities Affect Groundwater Storage. Research 2024, 7, 0369. [Google Scholar] [CrossRef]
- Zhang, B.Y.; Zeng, F.S.; Wei, X.Z.; Khan, U.; Zou, Y.H. Three-Dimensional Hierarchical Hydrogeological Static Modeling for Groundwater Resource Assessment: A Case Study in the Eastern Henan Plain, China. Water 2022, 14, 1651. [Google Scholar] [CrossRef]
- Chen, X.; Huang, R.C.; Huang, F.; Liu, X.F.; Zhang, Y.Y.; Zhang, R.R. A comprehensive study of the maintaining mechanisms for hydrological cycle and ecological evolution and function in the northwest inland river basins of China. Hydrogeol. Eng. Geol. 2022, 49, 12–21. [Google Scholar] [CrossRef]
- Dang, X.Y.; Zhang, J.; Chang, L.; Gu, X.F. Hydrogeological Survey and Water Resources Security in Northwest China. Northwest Geol. 2022, 55, 81–95. [Google Scholar] [CrossRef]
- Bodrud-Doza, M.; Didar-Ul Islam, S.M.; Rume, T.; Quraishi, S.B.; Rahman, M.S.; Bhuiyan, M.A.H. Groundwater quality and human health risk assessment for safe and sustainable water supply of Dhaka City dwellers in Bangladesh. Groundw. Sustain. Dev. 2020, 10, 100374. [Google Scholar] [CrossRef]
- Wu, C.; Tang, K.W.; Zhang, X.H. Water Quality assessment and variation characteristics of underground drinking water sources in Hebei Province based on self-defined classification criteria. Water Resour. Power 2022, 40, 116–119+160. [Google Scholar] [CrossRef]
- Li, Y.; Wu, P.; Zhang, B.; Huang, X.Q.; Han, Q.Q.; Li, Y.; Xu, Z.X.; Yu, K. Distribution characteristics and formation factors of high fluoride groundwater in the north of Lingwu City. Environ. Chem. 2020, 39, 2520–2528. [Google Scholar] [CrossRef]
- Yuan, H.Q.; Li, Q.; Tao, H.F.; Aihemaiti, M.; Yang, W.X.; Su, Y.P. Groundwater arsenic enrichment factors of Kuitun River basin, Xinjiang. Environ. Chem. 2020, 39, 524–530. [Google Scholar] [CrossRef]
- Li, Z.Y.; Cao, W.G.; Wang, Z.R.; Li, J.C.; Ren, Y. Hydrochemical Characterization and Irrigation Suitability Analysis of Shallow Groundwater in Hetao Irrigation District, Inner Mongolia. Geoscience 2022, 36, 418–426. [Google Scholar] [CrossRef]
- Xia, Y.B.; Wang, B.; Li, H.T.; Ma, Z.; Guo, X.; Zhao, K.; Zhao, C.R.; Zhang, X.; Wang, X.X. Study on hydrochemical origins and health geology regionalization of shallow groundwater in Xiong’an New Area. China Geol. 2023, 1–18. Available online: https://www.cnki.com.cn/Article/CJFDTotal-DIZI20220619002.htm (accessed on 1 August 2023).
- Meng, R.F.; Yang, H.F.; Bai, H.; Xu, B.H. Chemical characteristics and evolutionary patterns of groundwater in the Daqing River Plain Area of Haihe Basin. Rock Miner. Anal. 2023, 42, 383–395. [Google Scholar]
- Zhang, C.C.; Hou, X.W.; Li, X.Q.; Wang, Z.X.; Gui, C.L.; Zuo, X.F. Hydrogeochemical characteristics and evolution mechanism of karst groundwater in the catchment area of the Sangu Spring. Hydrogeol. Eng. Geol. 2021, 48, 62–71. [Google Scholar] [CrossRef]
- Lakhvinder, K.; Madhuri, S.; Sakshi, S.; Bhavika, S.; Renu, L.; Gagandeep, S. Hydrogeochemical characterization of groundwater in alluvial plains of river Yamuna in northern India: An insight of controlling processes. J. King Saud Univ. Sci. 2019, 31, 1245–1253. [Google Scholar] [CrossRef]
- Κατσάνου, Κ.; Siavalas, G.; Panagopoulos, G.; Lambrakis, N. Rare earth element patterns in a rapidly changing karst environment. Appl. Geochem. 2022, 146, 105462. [Google Scholar] [CrossRef]
- Gayathri, J.A.; Raj, V.T.; Sreelash, K.; Maya, K.; Vandana, M.; Padmalal, D. Spatiotemporal variability in groundwater chemistry of a mountainous catchment with complex geologic and climate gradients in south west India. Environ. Earth Sci. 2021, 80, 18–28. [Google Scholar] [CrossRef]
- Jiang, W.J.; Meng, L.S.; Liu, F.T.; Sheng, Y.Z.; Chen, S.M.; Yang, J.L.; Mao, H.R.; Zhang, J.; Zhang, Z.; Ning, H. Distribution, source investigation, and risk assessment of topsoil heavy metals in areas with intensive anthropogenic activities using the positive matrix factorization (PMF) model coupled with self-organizing map (SOM). Environ. Geochem. Health 2023, 45, 6353–6370. [Google Scholar] [CrossRef] [PubMed]
- Ning, H.; Jiang, W.J.; Sheng, Y.Z.; Wang, K.L.; Chen, S.M.; Zhang Zhuo Liu, F.T. Comprehensive evaluation of nitrogen contamination in water ecosystems of the Miyun reservoir watershed, northern China: Distribution, source apportionment and risk assessment. Environ. Geochem. Health 2024, 46, 278. [Google Scholar] [CrossRef] [PubMed]
- Li, X.Z. Distribution and Health Risk Assessment of Organic Pollutants in Groundwater in the Receiving Area of the South-to-North Water Transfer Project in Mihuaishun; China University of Geosciences: Beijing, China, 2021. [Google Scholar]
- Zhang, Q.M.; Zhao, R.P.; Wang, X.L.; Sun, X.P. Chemical and biological remediation of soil and groundwater organic pollution. Environ. Dev. 2020, 32, 55–56. [Google Scholar] [CrossRef]
- Zhang, Z.; Liu, F.; Jiang, W.; Chen, S.; Zhang, H.; Gao, Z.; Zhang, J.; Niu, X.; Cao, W.; Shan, Q. Quantifying the factors controlling groundwater fluoride and associated health risks in the coastal river delta, northern China. J. Asian Earth Sci. 2024, 259, 105929. [Google Scholar] [CrossRef]
- Han, Z.H.; Ma, T.; Shen, S.; Du, Y.; Wu, X.C.; Liu, W.H. Distribution characteristics and influencing factors of poor-quality native groundwater in river percolation system in the lower reaches of the Hanjiang River. Earth Sci. Front. 2021, 28, 035–048. [Google Scholar] [CrossRef]
- Zhang, Z.; Guo, H.; Han, S.; Gao, Z.; Niu, X. Controls of Geochemical and Hydrogeochemical Factors on Arsenic Mobility in the Hetao Basin, China. Groundwater 2022, 61, 44–55. [Google Scholar] [CrossRef]
- Banach, A.; Kuźniar, A.; Marzec-Grządziel, A.; Wolińska, A.; Gałazką, A. Phenotype switching in metal-tolerant bacteria isolated from a hyperaccumulator plant. Biology 2021, 10, 879. [Google Scholar] [CrossRef]
- Li, L.J.; Wang, H.J.; Ma, J.S. Pollution characteristics and health risk assessment of volatile organic compounds in groundwater in the Lower Liaohe River Plain. Rock Miner. Anal. 2021, 40, 930–943. [Google Scholar] [CrossRef]
- Zhao, C.; Zhang, X.; Fang, X.; Zhang, N.; Xu, X.; Li, L.; Liu, Y.; Su, X.; Xia, Y. Characterization of drinking groundwater quality in rural areas of Inner Mongolia and assessment of human health risks. Ecotoxicol. Environ. Saf. 2022, 234, 113360. [Google Scholar] [CrossRef]
- Dulamsuren, T.T.D. Effects of forest fragmentation on organic carbon pool densities in the Mongolian forest-steppe. For. Ecol. Manag. 2019, 433, 780–788. [Google Scholar] [CrossRef]
- GB/T 14848-2017; Groundwater Quality Standards. Standards Press of China: Beijing, China, 2018.
- Rajkumar, H.; Pradeep, K.N.; Gagandeep, S.; Rishi, M. Hydrogeochemical characterization, multi-exposure deterministic and probabilistic health hazard evaluation in groundwater in parts of Northern India. Toxin Rev. 2022, 42, 204–227. [Google Scholar] [CrossRef]
- Qureshi, A.; Maurice, C.; Öhlander, B. Co-disposal of lignite fly ash and coal mine waste rock for neutralisation of AMD. Environ. Sci. Pollut. Res. Int. 2021, 28, 48728–48741. [Google Scholar] [CrossRef]
- Choi, H.; Kim, J.; Shim, B.O.; Kim, D.H. Characterization of Aquifer Hydrochemistry from the Operation of a Shallow Geothermal System. Water 2020, 12, 1377. [Google Scholar] [CrossRef]
- USEPA. Risk Assessment: Guidance for Superfund Volume 1 Human Health Evaluation Manual (Part A); USEPA: Washington, DC, USA, 1989. [Google Scholar]
- Sun, L.; Ma, X.; Jin, H.Y.; Fan, C.J.; Li, X.D.; Zuo, T.T.; Ma, S.C.; Wang, S.C. Geographical origin differentiation of Chinese Angelica by specific metal element fingerprinting and risk assessment. Environ. Sci. Pollut. Res. 2020, 27, 45018–45030. [Google Scholar] [CrossRef]
- USEPA. Risk Assessment Guidance for Superfund, Volume 1: Human Health Evaluation Manual (Part B, Development of Risk-Based Preliminary Remediation Goals); USEPA: Washington, DC, USA, 1991. [Google Scholar]
- USEPA. Human Health Evaluation Manual, Supplemental Guidance: Update of Standard Default Exposure Factors-OSWER Directive 9200.1-120; USEPA: Washington, DC, USA, 2014. [Google Scholar]
- Li, Y.Z.; Liu, J.T.; Gao, Z.J.; Wang, M.; Yu, L.Q. Major ion chemistry and water quality assessment of groundwater in the Shigaze urban area, Qinghai-Tibetan Plateau, China. Water Sci. Technol. Water Supply 2019, 20, 335–347. [Google Scholar] [CrossRef]
- Sunkari, E.D.; Abu, M.; Zango, M.S.; Lomoro, W.; Alex, M. Hydrogeochemical characterization and assessment of groundwater quality in the Kwahu-Bombouaka Group of the Voltaian Supergroup, Ghana. J. Afr. Earth Sci. 2020, 169, 103899. [Google Scholar] [CrossRef]
- Boyd, E.S.; Hamilton, T.L.; Havig, J.R.; Skidmore, M.L.; Shock, E.L. Chemolithotrophic primary production in a subglacial ecosystem. Appl. Environ. Microbiol. 2014, 80, 6146–6153. [Google Scholar] [CrossRef]
- Suhendar, R.; Hadian, M.S.D.; Muljana, B.; Setiawan, T.; Hendarmawan, H. Geochemical Evolution and Groundwater Flow System in Batujajar Groundwater Basin Area, West Java, Indonesia. Indones. J. Geosci. 2020, 7, 87–104. [Google Scholar] [CrossRef]
- Kuznetsova, A.; Kuznetsov, P.; Young, R.F.; Semple, K.M.; Li, C.; Foght, J.M.; Siddique, T. Microbial transformation of solid phase impacts quality of recovered water during consolidation of bioreactor-treated oil sands tailings. J. Environ. Chem. Eng. 2021, 9, 104715. [Google Scholar] [CrossRef]
- Tiwari, A.K.; Singh, A.K. Hydrogeochemical investigation and groundwater quality assessment of Pratapgarh district, Uttar Pradesh. J. Geol. Soc. India 2014, 83, 329–343. [Google Scholar] [CrossRef]
- Su, G.F.; Liu, G.J.; Li, Y.L.; Wang, G.Y. Analysis of groundwater ion abnormality and its cause of centralized drinking water sources in Jieshou City, China. Front. Environ. Sci. 2023, 10, 1055623. [Google Scholar] [CrossRef]
- Hassan, A.M.; Ersoy, A.F. Hydrogeochemical and isotopic investigations on the origins of groundwater salinization in Çarşamba coastal aquifer (North Turkey). Environ. Earth Sci. 2022, 81, 128. [Google Scholar] [CrossRef]
- Susan, A.; Katya, C.; Natasha, C.W. Chemical Contamination of Drinking Water in Resource-Constrained Settings: Global Prevalence and Piloted Mitigation Strategies. Annu. Rev. Environ. Resour. 2020, 45, 195–226. [Google Scholar] [CrossRef]
- Zhai, Y.; Zhao, X.; Teng, Y.; Li, X.; Zhang, J.J.; Wu, J.; Zuo, R. Groundwater nitrate pollution and human health risk assessment by using HHRA model in an agricultural area, NE China. Ecotoxicol. Environ. Saf. 2017, 137, 130–142. [Google Scholar] [CrossRef] [PubMed]
- Guo, X.D. Analysis of the Relationship between Water Hardness and Human Life and Its Determination. Chem. Manag. 2021, 07, 48–49. [Google Scholar] [CrossRef]
- Paulson, W.D. Anion Gap-Bicarbonate Relation in Diabetic Ketoacidosis. Am. J. Med. 1986, 81, 995–1000. [Google Scholar] [CrossRef]
- Ahmad, M.I.; Chand, S.; Rafique, H. Predicting the spatial distribution of sulfate concentration in groundwater of Jampur-Pakistan using geostatistical methods. Desalination Water Treat. 2016, 57, 28195–28204. [Google Scholar] [CrossRef]
- Zhang, Q.Q.; Wang, H.W.; Zhai, T.L.; Hua, M.J. Characteristics and source apportionment of groundwater nitrate contamination in the Hutuo River alluvial-pluvial fan regions. Hydrogeol. Eng. Geol. 2017, 44, 110–117. [Google Scholar] [CrossRef]
- Jagadeshan, G.; Kalpana, L.; Elango, L. Hydrogeochemistry of High Fluoride Groundwater in Hard Rock Aquifer in a Part of Dharmapuri District, Tamil Nadu, India. Geochem. Int. 2015, 53, 554–564. [Google Scholar] [CrossRef]
- Li, T. The Earth Abundance of Chemical Elements. Geochemistry 1976, 3, 167–174. [Google Scholar]
- Heitland, P.; Köster, H.D. Human biomonitoring of 73 elements in blood, serum, erythrocytes and urine. J. Trace Elem. Med. Biol. 2021, 64, 126706. [Google Scholar] [CrossRef] [PubMed]
- Wang, S.; Luo, K.; Ni, R.; Yuan, T.; Xing, G. Assessment of elemental background values and their relation with lifespan indicators: A comparative study of Jining in Shandong Province and Guanzhong area in Shaanxi Province, northern China. Sci. Total Environ. 2017, 595, 315–324. [Google Scholar] [CrossRef] [PubMed]
- Wang, Y.W.; Yu, J.Y.; Bao, M.Z.; Bai, H.M.; Hao, J.Q.; Yu, Y.Q. Investigation and Study on Chronic Diseases and Risk Factors among Residents in Xilinhot City. Chin. J. Conval. Med. 2014, 23, 360–363. [Google Scholar] [CrossRef]
- Zheng, H.M.; Zhang, F.; Shi, Q.M.; Tong, L.; Meng, J. Analysis on the hydrochemical characteristics and genesis of shallow groundwater in coal resource-based cities: A case study of Jining urban area. Yangtze River 2024, 55, 51–56. [Google Scholar] [CrossRef]
- Li, Y.L. Groundwater Environmental Characteristics of Beiluo River Watershed (Guanzhong Plain Section) and Its Hydrochemical Evolution Mechanism. Master’s Thesis, Chang’an University, Xi’an, China, 2022. [Google Scholar] [CrossRef]
- Jia, C.; Wang, C.; Liu, M.; Yang, X.; Liu, W. Study on hydrogeochemical characteristics of groundwater in the alluvial plain of western Jinan. Water Resour. Hydropower Eng. 2022, 53, 49–60. [Google Scholar] [CrossRef]
- Ning, H.; Liu, F.T.; Wang, G.M.; Zhang, J.; Zhang, Z.; Chen, S.M. Evaluation of groundwater resources and analysis of related geological environment problems in Inner Mongolia Inland River Basin. N. China Geol. 2024, 47, 62–72. [Google Scholar] [CrossRef]
- Liu, Y.; Lu, N. Hot topics and frontier evolution on soil heavy metals risk assessment in China. N. China Geol. 2023, 46, 61–69. [Google Scholar] [CrossRef]
- Mousazadeh, M.; Alizadeh, S.M.; Frontistis, Z.; Kabdaşlı, I.; Niaragh, E.K.; Qodah, Z.A.; Naghdali, Z.; Mahmoud, A.E.D.; Sandoval, M.A.; Butler, E.; et al. Electrocoagulation as a promising defluoridation technology from water: A review of state of the art of removal mechanisms and performance trends. Water 2021, 13, 656. [Google Scholar] [CrossRef]
- Al-Shannag, M.; Al-Qodah, Z.; Nawasreh, M.; Al-Hamamreh, Z.; Bani-Melhem, K.; Alkasrawi, M. On the performance of Ballota undulata biomass for the removal of cadmium(II) ions from water. Desalination Water Treat. 2017, 67, 223–230. [Google Scholar] [CrossRef]
- Sheng, Y.; Baars, O.; Guo, D.; Whitham, J.; Srivastava, S.; Dong, H. Mineral-bound trace metals as cofactors for anaerobic biological nitrogen fixation. Environ. Sci. Technol. 2023, 57, 7206–7216. [Google Scholar] [CrossRef]
Disclaimer/Publisher’s Note: The statements, opinions and data contained in all publications are solely those of the individual author(s) and contributor(s) and not of MDPI and/or the editor(s). MDPI and/or the editor(s) disclaim responsibility for any injury to people or property resulting from any ideas, methods, instructions or products referred to in the content. |
© 2024 by the authors. Licensee MDPI, Basel, Switzerland. This article is an open access article distributed under the terms and conditions of the Creative Commons Attribution (CC BY) license (https://creativecommons.org/licenses/by/4.0/).