A Study on the Shape of Parabolic Aeration Facilities with Local Steepness in Slow Slope Chutes
Abstract
1. Introduction
2. The Principle of the Double Parabolic Aerator Shape Design
3. The Lower Jet Trajectory
4. Calculation Formulas of the Parabolic Bottom Plate
4.1. The Length of the Platform Bottom Plate
4.2. Calculation Formulas of the Convex Parabolic Bottom Plate
4.3. Calculation Formula of the Concave Parabolic Bottom Plate
5. Engineering Application
5.1. The Shape Design Based on This Paper’s Approach
5.1.1. Known Conditions
5.1.2. The Control Parameters Calculation
- ①
- LAF length
- ②
- LAB length
- ③
- LAG length
- ④
- ZAG height
5.1.3. The Design Parameters Calculation
- ①
- Calculate ZAC
- ②
- Calculate LBC and β2
- ③
- Calculation formula of the convex parabolic segment
- ④
- Calculate LCD
- ⑤
- Calculation formula of the concave parabolic section
5.2. The Influence of the Jet Landing Point C Position on the Bottom Plate Shape Parameters
5.3. Numerical Simulation
5.3.1. Computational Model
5.3.2. Grid Division and Boundary Conditions
5.3.3. Numerical Simulation Calculation Results
Calculate Cavity Shape
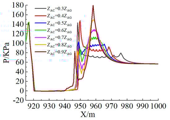
Distribution Characteristics of Bottom Plate Pressure
6. Discussion
7. Conclusions
Author Contributions
Funding
Data Availability Statement
Conflicts of Interest
References
- Xu, W.L.; Zhang, Y.L.; Luo, J.; Arong Zhang, Q. The impact of particles on the collapse characteristics of cavitation bubbles. Ocean. Eng. 2017, 131, 15–24. [Google Scholar] [CrossRef]
- Zhang, H.; Hu, H. Simulation of cavitation collapse process based on lattice Boltzmann method. J. Huazhong Univ. Sci. Tech. 2024, 52, 42–48. (In Chinese) [Google Scholar]
- Zhang, J.M. Hydraulics of high-speed flows: Recent achievements and future Outlook. J. Hydroelectr. Eng. 2021, 40, 1–16. (In Chinese) [Google Scholar]
- Bai, R.; Zhang, F.; Liu, S.; Wang, W. Air concentration and bubble characteristics downstream of a chute aerator. Int. J. Multiph. Flow 2016, 87, 156–166. [Google Scholar] [CrossRef]
- Shi, Q. High-Velocity Aerated Flow; China Water Resources and Hydropower Press: Beijing, China, 2007. [Google Scholar]
- Wei, W.R.; Deng, J. Wedge Aerator at the Bottom Outlet in Flat Tunnels. J. Hydraul. Eng. 2023, 149, 04022037. [Google Scholar] [CrossRef]
- Pfister, M.; Hager, W.H. Chute aerators. I: Air transport characteristics. Hydraul. Eng. 2010, 136, 352–359. [Google Scholar] [CrossRef]
- Pfister, M.; Hager, W.H. Chute aerators. II: Hydraulic design. Hydraul. Eng. 2010, 136, 360–367. [Google Scholar] [CrossRef]
- Zang, L.H.; Xu, W.L. Experimental investigation on the backwater behind aeration facility. J. Sci. Technol. Eng. 2006, 6, 2387–2389. (In Chinese) [Google Scholar]
- Pan, C.J.; Yuan, Y.Z. The study on the layout of aerators in free-flow spillway tunnel with inlet raised and the mild slope. J. Hydraul. Eng. 1993, 6, 61–66. (In Chinese) [Google Scholar]
- Sun, S.K.; Liu, H.T.; Wang, X.S. Optimistic study on the layout of aeration facilities under mild gradient. J. Water Resour. Hydropower Eng. 2004, 35, 26–29. (In Chinese) [Google Scholar]
- Wang, H.Y.; Dang, G.Q.; Yang, Q. Experimental study on V-type aerator for spillway tunnel with inlet raised. J. Hydraul. Eng. 2005, 36, 1371–1374. (In Chinese) [Google Scholar]
- Gao, A.; Wu, S.; Wang, F. Research progress of aeration cavitation reduction technology and aeration devices. Adv. Sci. Technol. Water Resour. 2019, 39, 86–94. (In Chinese) [Google Scholar]
- Sun, Z.; Wang, F.; Sun, C.; Feng, Y.; Fan, G.; Wu, S. Experimental analysis of hydraulic characteristics of aerators in spillway tunnels with mild slope. J. Hydroelectr. Eng. 2023, 42, 57–66. (In Chinese) [Google Scholar]
- Liu, S.B. Study on the Configuration of Aeration Facility on Small Bottom Slope. Master’s Thesis, Xi’an University of Technology, Xi’an, China, 2013. (In Chinese). [Google Scholar]
- Wang, H.Y.; Dai, G.Q.; Liu, C.; Yang, Q. Discussion of aerator bottom cavity backflow of discharge structures. Chin. J. Hydro Dyn. 2009, 24, 425–431. (In Chinese) [Google Scholar]
- Pfister, M.; Hager, W.H. Deflector-generated jets. J. Hydraul. Res. 2009, 47, 466–475. [Google Scholar] [CrossRef]
- Yang, Y.S.; Yang, Y.Q.; Shuang, Q.H. The hydraulic and aeration characteristics of low froude number over a step aerator. J. Hydraul. Eng. 2000, 2, 27–31. (In Chinese) [Google Scholar]
- Chanson, H. Predicting the filling of ventilated cavities behind spillway aerators. J. Hydraul. Res. 1995, 33, 361–372. [Google Scholar] [CrossRef]
- Steiner, R.; Heller, V.; Hager, W.H.; Minor, H.-E. De-flector ski jump hydraulics. J. Hydraul. Eng. ASCE 2008, 134, 562–571. [Google Scholar] [CrossRef]
- Rutschmann, P.; Hager, W.H. Air entrainment by spillway aerators. J. Hydraul. Eng. 1990, 116, 765–782. [Google Scholar] [CrossRef]
- Wu, J.H.; Ruan, S.P. Cavity length below chute aerators. J. Sci. China Technol. Sci. 2008, 51, 170–178. (In Chinese) [Google Scholar] [CrossRef]
- Pfister, M. Jet impact angel on chute downstream of aerator. In Proceedings of the 4th IAHR International Symposium on Hydraulic Structures, Porto, Portugal, 12–13 January 2012. [Google Scholar]
- Long, L.C.; Liu, C.; Deng, J.; Wei, W.R.; Ran, Y.B. Study on takeoff angle characteristics of continuous flip bucket’s ski-jump nappe. J. China Inst. Water Resour. Hydropower Res. 2023, 21, 83–91. (In Chinese) [Google Scholar]
- Deng, J.; Xu, W.L.; Lei, J.; Diao, M.J. Numerical simulation of hydraulic characteristics of high spillway tunnel. J. Hydraul. Eng. 2005, 36, 1209–1218. (In Chinese) [Google Scholar]
- Luo, Y.Q.; Diao, M.J.; He, D.M.; Bai, S.X. Three-dimensional numerical simulation analysis of air entrainment and erosion reduction of high dam open flow spillway tunnel. Adv. Water Sci. 2012, 23, 110–116. (In Chinese) [Google Scholar]
- Gao, X.P.; Jia, L.F.; Song, H.F.; Cui, G.H. Three-dimensional numerical simulation of aerated water flow behind the aerated sill of a spillway. J. Hydroelectr. Eng. 2014, 33, 90–96. (In Chinese) [Google Scholar]
- Xu, J.; Wu, J.; Yu, P.; Fei, M. Fin performance of 3D aerator devices with backward lateral deflectors. J. Hydrodyn. 2020, 32, 410–413. [Google Scholar] [CrossRef]
- Teng, P.; Yang, J. CFD Modeling of Two-phase Flow of a Spillway Chute Aerator of Large Width. J. Appl. Water Eng. Res. 2016, 4, 163–177. [Google Scholar] [CrossRef]
- Teng, P.; Yang, J.; Pfister, M. Studies of Two-phase Flow at a Chute Aerator with Experiments and CFD Modelling. Model. Simul. Eng. J. 2016, 2016, 4729128. [Google Scholar] [CrossRef]










| Design Shape | Convex Parabolic Bottom Plates | Concave Parabolic Bottom Plates | β2/° | |||||
|---|---|---|---|---|---|---|---|---|
| ZAC /m | LAB/m | LBC /m | Calculation Formulas | LCD /m | Calculation Formulas | ZCD /m | ||
| M0.3 | 1.206 | 11.806 | 13.861 | −0.00628x2 | 37.292 | 0.000994x2 − 0.1741x | 5.108 | 9.876 |
| M0.4 | 1.608 | 11.806 | 16.305 | −0.00605x2 | 25.140 | 0.001936x2 − 0.1972x | 3.736 | 11.163 |
| M0.5 | 2.010 | 11.806 | 18.461 | −0.00590x2 | 17.601 | 0.003347x2 − 0.2177x | 2.796 | 12.289 |
| M0.6 | 2.412 | 11.806 | 20.416 | −0.00579x2 | 12.163 | 0.005608x2 − 0.2363x | 2.045 | 13.301 |
| M0.7 | 2.814 | 11.806 | 22.214 | −0.00571x2 | 7.909 | 0.009704x2 − 0.2534x | 1.397 | 14.225 |
| M0.8 | 3.216 | 11.806 | 23.887 | −0.00564x2 | 4.394 | 0.019277x2 − 0.26926x | 0.811 | 15.078 |
| M0.9 | 3.618 | 11.806 | 25.460 | −0.00558x2 | 1.380 | 0.066795x2 − 0.28420x | 0.265 | 15.873 |
Disclaimer/Publisher’s Note: The statements, opinions and data contained in all publications are solely those of the individual author(s) and contributor(s) and not of MDPI and/or the editor(s). MDPI and/or the editor(s) disclaim responsibility for any injury to people or property resulting from any ideas, methods, instructions or products referred to in the content. |
© 2024 by the authors. Licensee MDPI, Basel, Switzerland. This article is an open access article distributed under the terms and conditions of the Creative Commons Attribution (CC BY) license (https://creativecommons.org/licenses/by/4.0/).
Share and Cite
Dong, Y.; Li, G.; Liu, S.; Li, S.; Li, P.; Wei, Y. A Study on the Shape of Parabolic Aeration Facilities with Local Steepness in Slow Slope Chutes. Water 2024, 16, 1574. https://doi.org/10.3390/w16111574
Dong Y, Li G, Liu S, Li S, Li P, Wei Y. A Study on the Shape of Parabolic Aeration Facilities with Local Steepness in Slow Slope Chutes. Water. 2024; 16(11):1574. https://doi.org/10.3390/w16111574
Chicago/Turabian StyleDong, Yuping, Guodong Li, Shaobin Liu, Shanshan Li, Pengfeng Li, and Yong Wei. 2024. "A Study on the Shape of Parabolic Aeration Facilities with Local Steepness in Slow Slope Chutes" Water 16, no. 11: 1574. https://doi.org/10.3390/w16111574
APA StyleDong, Y., Li, G., Liu, S., Li, S., Li, P., & Wei, Y. (2024). A Study on the Shape of Parabolic Aeration Facilities with Local Steepness in Slow Slope Chutes. Water, 16(11), 1574. https://doi.org/10.3390/w16111574

