Performance Evaluation of a National Seven-Day Ensemble Streamflow Forecast Service for Australia
Abstract
1. Introduction
2. Operational Forecast System and Model
2.1. Description of the System’s Architecture
2.2. Input Data
2.3. Rainfall–Runoff and Routing Model
2.4. Operational Platform
3. Performance Evaluation Methodology
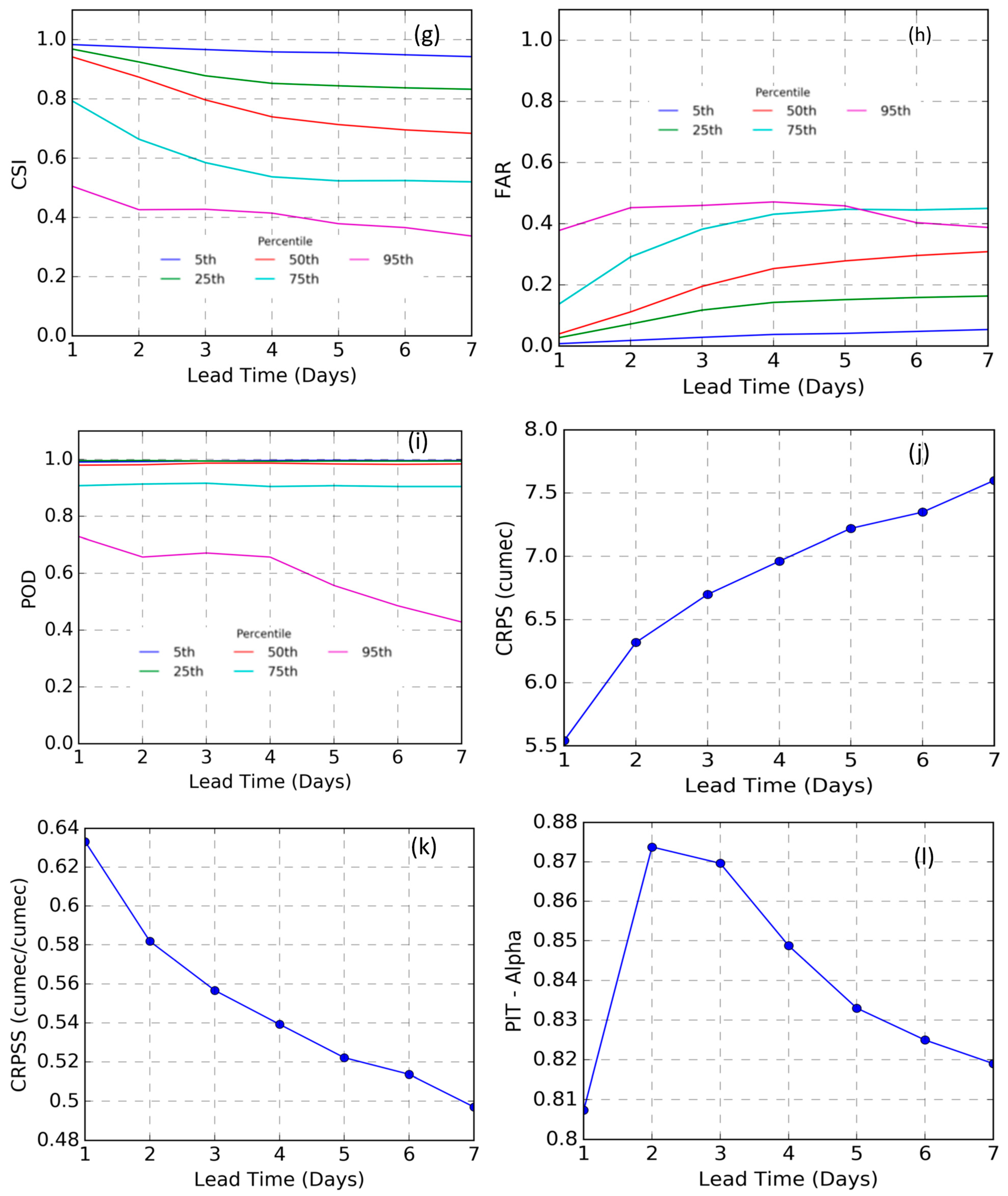
3.1. Performance Evaluation Metrics
- Deterministic: We considered the mean of the ensemble members and assessed the performance using the PBias, NSE, KGE, PCC, RMSE, and MAE metrics.
- Ensemble: The metrics included were CRPS, relative CRPS, CRPSS, and PIT-Alpha.
- Categorical: Three metrics were included—POD, FAR, and CSI.
3.2. Diagnostic Plots
3.3. Forecast Data and Observations
4. Results of Predictive Performance
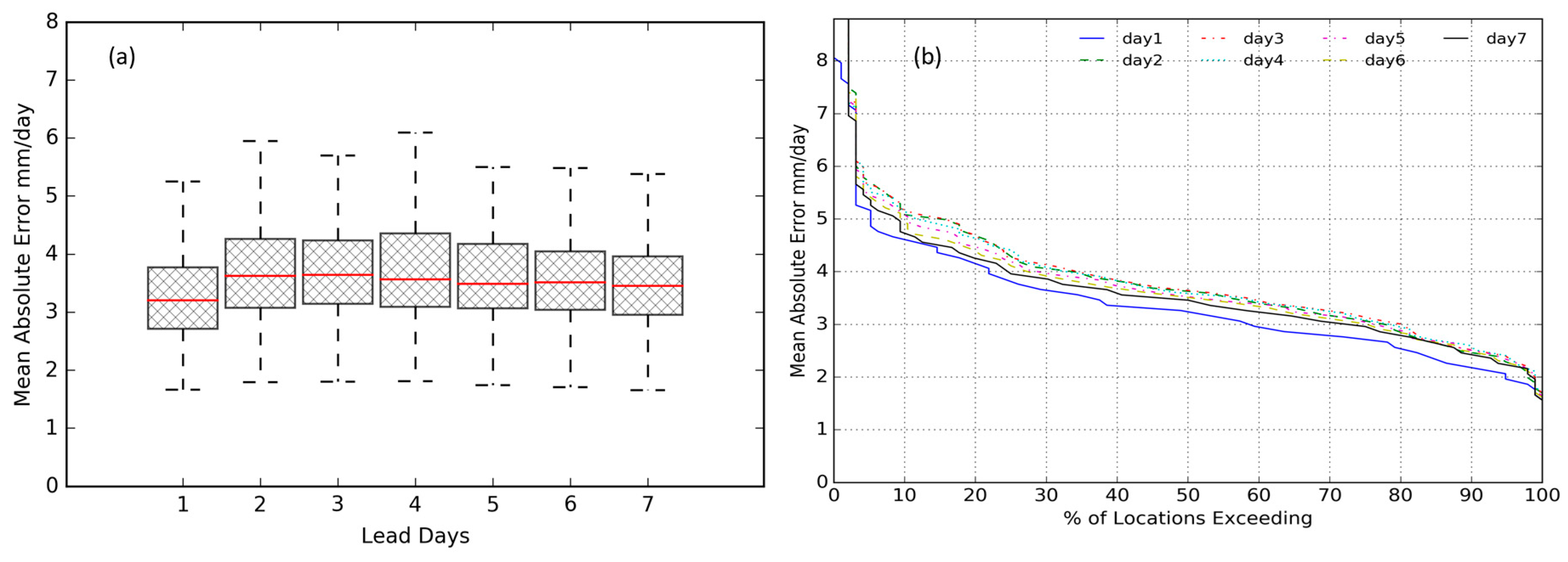
4.1. Evaluation of Rainfall Forecasts
4.1.1. Performance of Ensemble Mean
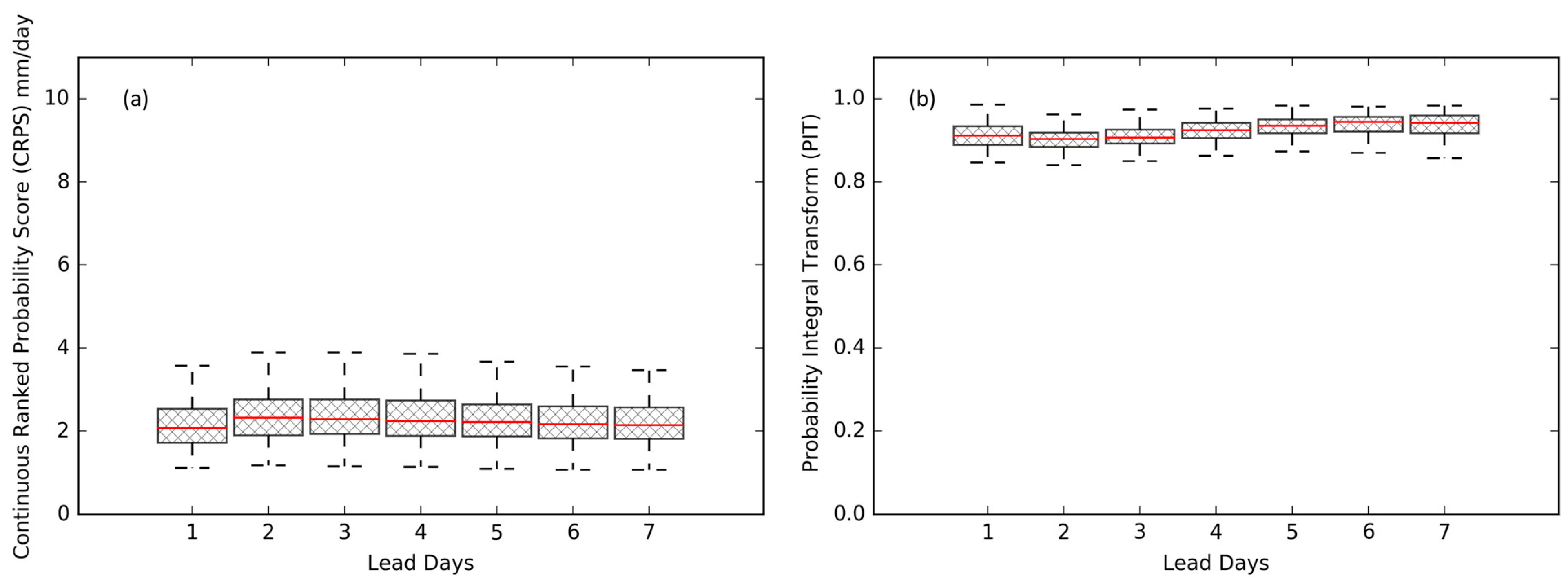
4.1.2. Performance of Ensemble Forecasts
4.1.3. Skills and Catchment Areas
4.2. Evaluation of Streamflow Forecasts
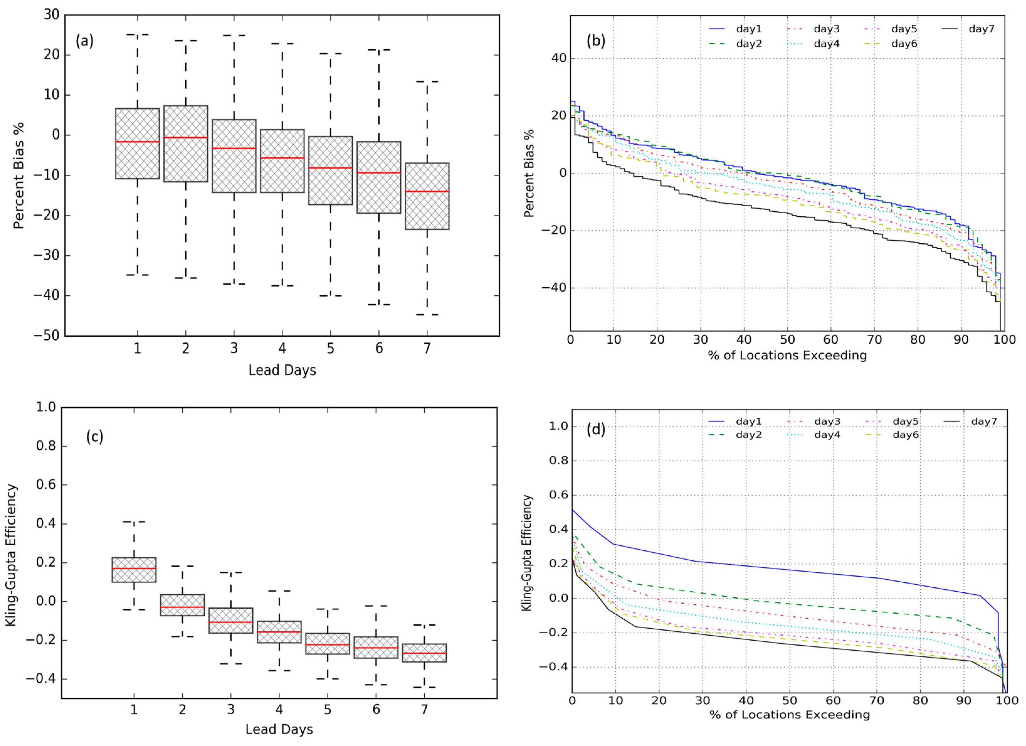
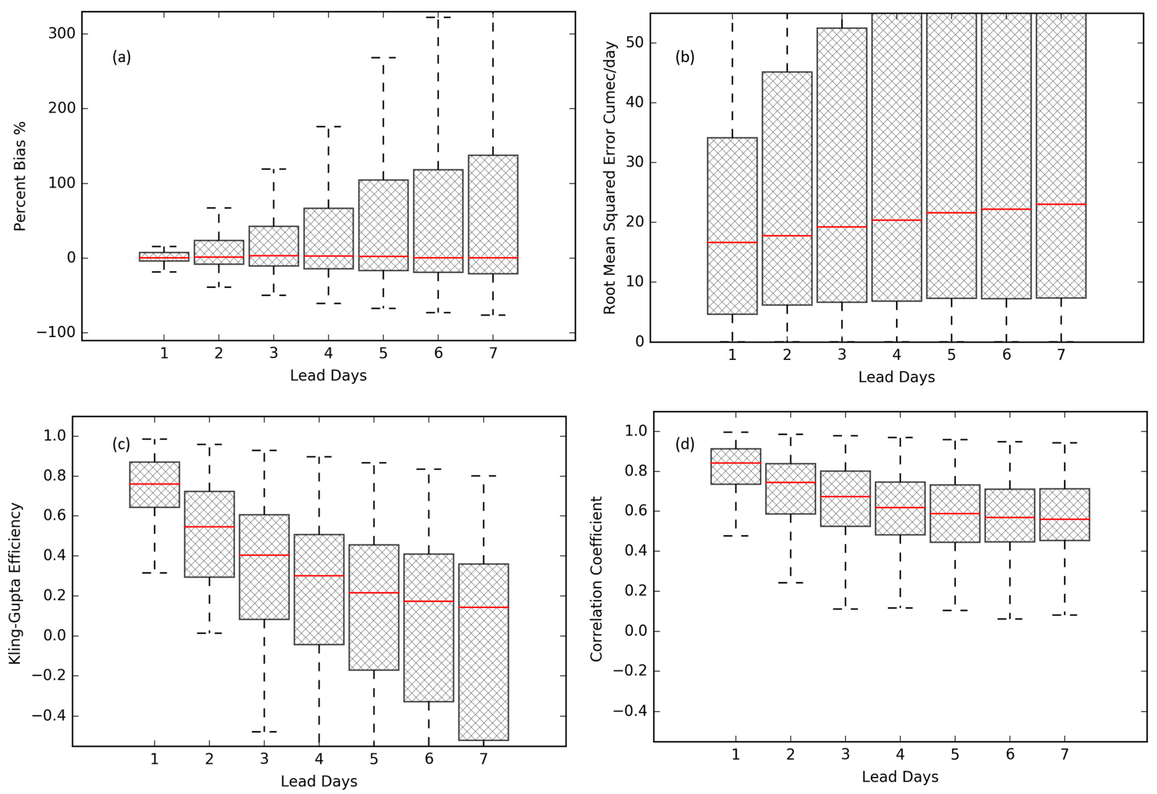
4.2.1. Performance of Ensemble Mean
4.2.2. Performance of Ensemble Forecasts
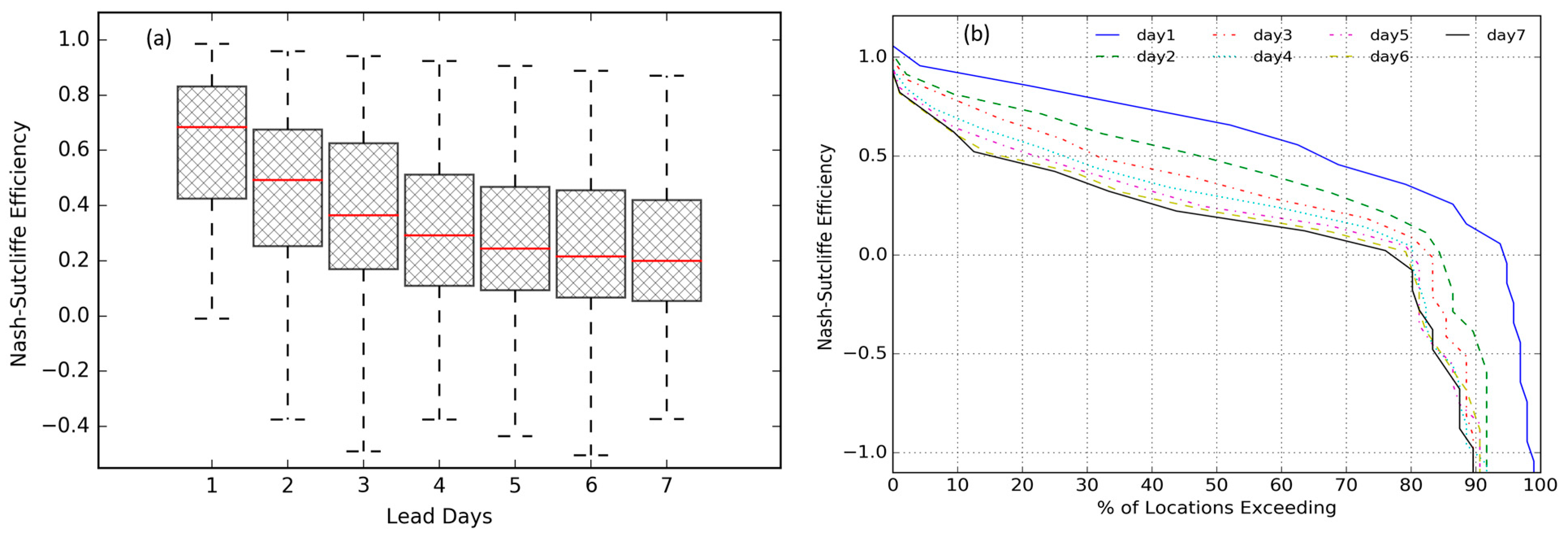
4.2.3. Spatial and Temporal Performance
4.2.4. Performance and Catchment Area
4.2.5. Comparison of Forecast Rainfall and Streamflow Forecast Metrics
5. Discussion and Future Directions
5.1. Service Expansion
5.2. Benefits and Adoption of Forecasting
5.3. Understanding Forecast Skills and Uncertainties
5.4. Adoption for Flood Forecasting Guidance
- Accuracy and timing: We must improve flood forecast accuracy and skills in terms of the magnitude and timing peaks. Achieving precise predictions for flood peaks is crucial for effective preparedness and response.
- Enhanced communication and support: Effective communication with end-users is essential. Providing timely and actionable information to decision makers, emergency services, and the flood preparedness community is vital. The focus typically lies on time scales ranging between hours and a couple of days.
6. Summary and Conclusions
Author Contributions
Funding
Data Availability Statement
Acknowledgments
Conflicts of Interest
Appendix A. Forecast Performance Evaluation Metrics
- DETERMINISTIC FORECAST
- ENSEMBLE FORECAST
- CATEGORICAL METRICS




References
- Van Dijk, A.I.J.M.; Beck, H.E.; Crosbie, R.S.; De Jeu, R.A.M.; Liu, Y.Y.; Podger, G.M.; Timbal, B.; Viney, N.R. The Millennium Drought in Southeast Australia (2001–2009): Natural and Human Causes and Implications for Water Resources, Ecosystems, Economy, and Society. Water Resour. Res. 2013, 49, 1040–1057. [Google Scholar] [CrossRef]
- Low, K.G.; Grant, S.B.; Hamilton, A.J.; Gan, K.; Saphores, J.D.; Arora, M.; Feldman, D.L. Fighting Drought with Innovation: Melbourne’s Response to the Millennium Drought in Southeast Australia. Wiley Interdiscip. Rev. Water 2015, 2, 315–328. [Google Scholar] [CrossRef]
- Kirby, J.M.; Connor, J.; Ahmad, M.D.; Gao, L.; Mainuddin, M. Climate Change and Environmental Water Reallocation in the Murray-Darling Basin: Impacts on Flows, Diversions and Economic Returns to Irrigation. J. Hydrol. 2014, 518, 120–129. [Google Scholar] [CrossRef]
- Wang, J.; Horne, A.; Nathan, R.; Peel, M.; Neave, I. Vulnerability of Ecological Condition to the Sequencing of Wet and Dry Spells Prior to and during the Murray-Darling Basin Millennium Drought. J. Water Resour. Plan. Manag. 2018, 144, 04018049. [Google Scholar] [CrossRef]
- Kabir, A.; Hasan, M.M.; Hapuarachchi, H.A.P.; Zhang, X.S.; Liyanage, J.; Gamage, N.; Laugesen, R.; Plastow, K.; MacDonald, A.; Bari, M.A.; et al. Evaluation of Multi-Model Rainfall Forecasts for the National 7-Day Ensemble Streamflow Forecasting Service. In Proceedings of the Hydrology and Water Resources Symposium (HWRS) 2018, Melbourne, Australia, 3–8 December 2018; pp. 393–406. [Google Scholar]
- Hapuarachchi, H.A.P.; Kabir, A.; Zhang, X.S.; Kent, D.; Bari, M.A.; Tuteja, N.K.; Hasan, M.M.; Enever, D.; Shin, D.; Plastow, K.; et al. Performance Evaluation of the National 7-Day Water Forecast Service. In Proceedings of the 22nd International Congress on Modelling and Simulation, Hobart, Tasmania, Australia, 3–8 December 2017; pp. 1815–1821. [Google Scholar] [CrossRef]
- Boucher, M.A.; Anctil, F.; Perreault, L.; Tremblay, D. A Comparison between Ensemble and Deterministic Hydrological Forecasts in an Operational Context. Adv. Geosci. 2011, 29, 85–94. [Google Scholar] [CrossRef]
- Hapuarachchi, H.A.P.; Bari, M.A.; Kabir, A.; Hasan, M.M.; Woldemeskel, F.M.; Gamage, N.; Sunter, P.D.; Zhang, X.S.; Robertson, D.E.; Bennett, J.C.; et al. Development of a National 7-Day Ensemble Streamflow Forecasting Service for Australia. Hydrol. Earth Syst. Sci. 2022, 26, 4801–4821. [Google Scholar] [CrossRef]
- Daley, J.; Wood, D.; Chivers, C. Regional Patterns of Australia’s Economy and Population; Grattan Institute: Melbourne, Australia, 2017; ISBN 9780987612151. [Google Scholar]
- Stern, H.; De Hoedt, G.; Ernst, J. Objective Classification of Australian Climates. Aust. Meteorol. Mag. 2000, 49, 87–96. [Google Scholar]
- Milly, P.C.D.; Dunne, K.A.; Vecchia, A.V. Global Pattern of Trends in Streamflow and Water Availability in a Changing Climate. Nature 2005, 438, 347–350. [Google Scholar] [CrossRef]
- Troin, M.; Arsenault, R.; Wood, A.W.; Brissette, F.; Martel, J.L. Generating Ensemble Streamflow Forecasts: A Review of Methods and Approaches Over the Past 40 Years. Water Resour. Res. 2021, 57, e2020WR028392. [Google Scholar] [CrossRef]
- Kumar, V.; Sharma, K.V.; Caloiero, T.; Mehta, D.J. Comprehensive Overview of Flood Modeling Approaches: A Review of Recent Advances. Hydrology 2023, 10, 141. [Google Scholar] [CrossRef]
- Pappenberger, F.; Ramos, M.H.; Cloke, H.L.; Wetterhall, F.; Alfieri, L.; Bogner, K.; Mueller, A.; Salamon, P. How Do I Know If My Forecasts Are Better? Using Benchmarks in Hydrological Ensemble Prediction. J. Hydrol. 2015, 522, 697–713. [Google Scholar] [CrossRef]
- Wu, W.; Emerton, R.; Duan, Q.; Wood, A.W.; Wetterhall, F.; Robertson, D.E. Ensemble Flood Forecasting: Current Status and Future Opportunities. Wiley Interdiscip. Rev. Water 2020, 7, e1432. [Google Scholar] [CrossRef]
- Emerton, R.E.; Stephens, E.M.; Pappenberger, F.; Pagano, T.C.; Weerts, A.H.; Wood, A.W.; Salamon, P.; Brown, J.D.; Hjerdt, N.; Donnelly, C.; et al. Continental and Global Scale Flood Forecasting Systems. Wiley Interdiscip. Rev. Water 2016, 3, 391–418. [Google Scholar] [CrossRef]
- Demargne, J.; Wu, L.; Regonda, S.K.; Brown, J.D.; Lee, H.; He, M.; Seo, D.J.; Hartman, R.; Herr, H.D.; Fresch, M.; et al. The Science of NOAA’s Operational Hydrologic Ensemble Forecast Service. Bull. Am. Meteorol. Soc. 2014, 95, 79–98. [Google Scholar] [CrossRef]
- Zahmatkesh, Z.; Jha, S.K.; Coulibaly, P.; Stadnyk, T. 17 CrossRef Citations to Date 1 Altmetric Articles An Overview of River Flood Forecasting Procedures in Canadian Watersheds. Can. Water Resour. J. 2019, 44, 219–229. [Google Scholar] [CrossRef]
- Siqueira, V.A.; Fan, F.M.; de Paiva, R.C.D.; Ramos, M.H.; Collischonn, W. Potential Skill of Continental-Scale, Medium-Range Ensemble Streamflow Forecasts for Flood Prediction in South America. J. Hydrol. 2020, 590, 125430. [Google Scholar] [CrossRef]
- Siddique, R.; Mejia, A. Ensemble Streamflow Forecasting across the U.S. Mid-Atlantic Region with a Distributed Hydrological Model Forced by GEFS Reforecasts. J. Hydrometeorol. 2017, 18, 1905–1928. [Google Scholar] [CrossRef]
- Mai, J.; Arsenault, R.; Tolson, B.A.; Latraverse, M.; Demeester, K. Application of Parameter Screening to Derive Optimal Initial State Adjustments for Streamflow Forecasting. Water Resour. Res. 2020, 56, e2020WR027960. [Google Scholar] [CrossRef]
- Liu, L.; Ping Xu, Y.; Li Pan, S.; Xu Bai, Z. Potential Application of Hydrological Ensemble Prediction in Forecasting Floods and Its Components over the Yarlung Zangbo River Basin, China. Hydrol. Earth Syst. Sci. 2019, 23, 3335–3352. [Google Scholar] [CrossRef]
- Raupach, M.R.; Briggs, P.R.; Haverd, V.; King, E.A.; Paget, M.; Trudinger, C.M. The Centre for Australian Weather and Climate Research A Partnership between CSIRO and the Bureau of Meteorology. In Australian Water Availability Project (AWAP): CSIRO Marine and Atmospheric Research Component: Final Report for Phase 3; Centre for Australian Weather and Climate Research: Canberra, Australia, 2009. [Google Scholar]
- Robertson, D.E.; Shrestha, D.L.; Wang, Q.J. Post-Processing Rainfall Forecasts from Numerical Weather Prediction Models for Short-Term Streamflow Forecasting. Hydrol. Earth Syst. Sci. 2013, 17, 3587–3603. [Google Scholar] [CrossRef]
- Perraud, J.M.; Bridgart, R.; Bennett, J.C.; Robertson, D. Swift2: High Performance Software for Short-Medium Term Ensemble Streamflow Forecasting Research and Operations. In Proceedings of the 21st International Congress on Modelling and Simulation, Modelling and Simulation Society of Australia and New Zealand, Gold Coast, Australia, 29 November–4 December 2015. [Google Scholar]
- Perrin, C.; Michel, C.; Andréassian, V. Improvement of a Parsimonious Model for Streamflow Simulation. J. Hydrol. 2003, 279, 275–289. [Google Scholar] [CrossRef]
- Coron, L.; Andréassian, V.; Perrin, C.; Lerat, J.; Vaze, J.; Bourqui, M.; Hendrickx, F. Crash Testing Hydrological Models in Contrasted Climate Conditions: An Experiment on 216 Australian Catchments. Water Resour. Res. 2012, 48, 1–17. [Google Scholar] [CrossRef]
- Li, M.; Wang, Q.J.; Bennett, J.C.; Robertson, D.E. Error Reduction and Representation in Stages (ERRIS) in Hydrological Modelling for Ensemble Streamflow Forecasting. Hydrol. Earth Syst. Sci. 2016, 20, 3561–3579. [Google Scholar] [CrossRef]
- Lucatero, D.; Madsen, H.; Refsgaard, J.C.; Kidmose, J.; Jensen, K.H. Seasonal Streamflow Forecasts in the Ahlergaarde Catchment, Denmark: The Effect of Preprocessing and Post-Processing on Skill and Statistical Consistency. Hydrol. Earth Syst. Sci. 2018, 22, 3601–3617. [Google Scholar] [CrossRef]
- Roy, T.; He, X.; Lin, P.; Beck, H.E.; Castro, C.; Wood, E.F. Global Evaluation of Seasonal Precipitation and Temperature Forecasts from Nmme. J. Hydrometeorol. 2020, 21, 2473–2486. [Google Scholar] [CrossRef]
- Wilks, D.S. Statistical Methods in the Atmospheric Sciences, 2nd ed.; Academic Press: Cambridge, MA, USA, 2007; Volume 14, ISBN 0127519653. [Google Scholar]
- Manubens, N.; Caron, L.P.; Hunter, A.; Bellprat, O.; Exarchou, E.; Fučkar, N.S.; Garcia-Serrano, J.; Massonnet, F.; Ménégoz, M.; Sicardi, V.; et al. An R Package for Climate Forecast Verification. Environ. Model. Softw. 2018, 103, 29–42. [Google Scholar] [CrossRef]
- Jackson, E.K.; Roberts, W.; Nelsen, B.; Williams, G.P.; Nelson, E.J.; Ames, D.P. Introductory Overview: Error Metrics for Hydrologic Modelling—A Review of Common Practices and an Open Source Library to Facilitate Use and Adoption. Environ. Model. Softw. 2019, 119, 32–48. [Google Scholar] [CrossRef]
- Murphy, A.H. What Is a Good Forecast? An Essay on the Nature of Goodness in Weather Forecasting. Am. Meteorol. Soc. 1993, 8, 281–293. [Google Scholar] [CrossRef]
- Vitart, F.; Ardilouze, C.; Bonet, A.; Brookshaw, A.; Chen, M.; Codorean, C.; Déqué, M.; Ferranti, L.; Fucile, E.; Fuentes, M.; et al. The Subseasonal to Seasonal (S2S) Prediction Project Database. Bull. Am. Meteorol. Soc. 2017, 98, 163–173. [Google Scholar] [CrossRef]
- Becker, E.; van den Dool, H. Probabilistic Seasonal Forecasts in the North American Multimodel Ensemble: A Baseline Skill Assessment. J. Clim. 2016, 29, 3015–3026. [Google Scholar] [CrossRef]
- Bennett, J.C.; Robertson, D.E.; Wang, Q.J.; Li, M.; Perraud, J.M. Propagating Reliable Estimates of Hydrological Forecast Uncertainty to Many Lead Times. J. Hydrol. 2021, 603, 126798. [Google Scholar] [CrossRef]
- Huang, Z.; Zhao, T. Predictive Performance of Ensemble Hydroclimatic Forecasts: Verification Metrics, Diagnostic Plots and Forecast Attributes. Wiley Interdiscip. Rev. Water 2022, 9, e1580. [Google Scholar] [CrossRef]
- Krzysztofowicz, R. Bayesian Theory of Probabilistic Forecasting via Deterministic Hydrologic Model. Water Resour. Res. 1999, 35, 2739–2750. [Google Scholar] [CrossRef]
- McMillan, H.K.; Booker, D.J.; Cattoën, C. Validation of a National Hydrological Model. J. Hydrol. 2016, 541, 800–815. [Google Scholar] [CrossRef]
- Hossain, M.M.; Faisal Anwar, A.H.M.; Garg, N.; Prakash, M.; Bari, M. Monthly Rainfall Prediction at Catchment Level with the Facebook Prophet Model Using Observed and CMIP5 Decadal Data. Hydrology 2022, 9, 111. [Google Scholar] [CrossRef]
- Wu, H.; Adler, R.F.; Tian, Y.; Gu, G.; Huffman, G.J. Evaluation of Quantitative Precipitation Estimations through Hydrological Modeling in IFloods River Basins. J. Hydrometeorol. 2017, 18, 529–553. [Google Scholar] [CrossRef]
- Piadeh, F.; Behzadian, K.; Alani, A.M. A Critical Review of Real-Time Modelling of Flood Forecasting in Urban Drainage Systems. J. Hydrol. 2022, 607, 127476. [Google Scholar] [CrossRef]
- Xu, J.; Ye, A.; Duan, Q.; Ma, F.; Zhou, Z. Improvement of Rank Histograms for Verifying the Reliability of Extreme Event Ensemble Forecasts. Environ. Model. Softw. 2017, 92, 152–162. [Google Scholar] [CrossRef]
- Yang, C.; Yuan, H.; Su, X. Bias Correction of Ensemble Precipitation Forecasts in the Improvement of Summer Streamflow Prediction Skill. J. Hydrol. 2020, 588, 124955. [Google Scholar] [CrossRef]
- Feng, J.; Li, J.; Zhang, J.; Liu, D.; Ding, R. The Relationship between Deterministic and Ensemble Mean Forecast Errors Revealed by Global and Local Attractor Radii. Adv. Atmos. Sci. 2019, 36, 271–278. [Google Scholar] [CrossRef]
- Duan, W.; Huo, Z. An Approach to Generating Mutually Independent Initial Perturbations for Ensemble Forecasts: Orthogonal Conditional Nonlinear Optimal Perturbations. J. Atmos. Sci. 2016, 73, 997–1014. [Google Scholar] [CrossRef]
- Singh, A.; Mondal, S.; Samal, N.; Jha, S.K. Evaluation of Precipitation Forecasts for Five-Day Streamflow Forecasting in Narmada River Basin. Hydrol. Sci. J. 2022, 68, 161–179. [Google Scholar] [CrossRef]
- Cai, C.; Wang, J.; Li, Z.; Shen, X.; Wen, J.; Wang, H.; Wu, C. A New Hybrid Framework for Error Correction and Uncertainty Analysis of Precipitation Forecasts with Combined Postprocessors. Water 2022, 14, 3072. [Google Scholar] [CrossRef]
- Acharya, S.C.; Nathan, R.; Wang, Q.J.; Su, C.H.; Eizenberg, N. An Evaluation of Daily Precipitation from a Regional Atmospheric Reanalysis over Australia. Hydrol. Earth Syst. Sci. 2019, 23, 3387–3403. [Google Scholar] [CrossRef]
- Liu, D. A Rational Performance Criterion for Hydrological Model. J. Hydrol. 2020, 590, 125488. [Google Scholar] [CrossRef]
- Cai, Y.; Jin, C.; Wang, A.; Guan, D.; Wu, J.; Yuan, F.; Xu, L. Spatio-Temporal Analysis of the Accuracy of Tropical Multisatellite Precipitation Analysis 3b42 Precipitation Data in Mid-High Latitudes of China. PLoS ONE 2015, 10, e0120026. [Google Scholar] [CrossRef]
- Ghajarnia, N.; Liaghat, A.; Daneshkar Arasteh, P. Comparison and Evaluation of High Resolution Precipitation Estimation Products in Urmia Basin-Iran. Atmos. Res. 2015, 158–159, 50–65. [Google Scholar] [CrossRef]
- Cattoën, C.; Conway, J.; Fedaeff, N.; Lagrava, D.; Blackett, P.; Montgomery, K.; Shankar, U.; Carey-Smith, T.; Moore, S.; Mari, A.; et al. A National Flood Awareness System for Ungauged Catchments in Complex Topography: The Case of Development, Communication and Evaluation in New Zealand. J. Flood Risk Manag. 2022, e12864. [Google Scholar] [CrossRef]
- Tian, B.; Chen, H.; Wang, J.; Xu, C.Y. Accuracy Assessment and Error Cause Analysis of GPM (V06) in Xiangjiang River Catchment. Hydrol. Res. 2021, 52, 1048–1065. [Google Scholar] [CrossRef]
- Tedla, H.Z.; Taye, E.F.; Walker, D.W.; Haile, A.T. Evaluation of WRF Model Rainfall Forecast Using Citizen Science in a Data-Scarce Urban Catchment: Addis Ababa, Ethiopia. J. Hydrol. Reg. Stud. 2022, 44, 101273. [Google Scholar] [CrossRef]
- Hossain, S.; Cloke, H.L.; Ficchì, A.; Gupta, H.; Speight, L.; Hassan, A.; Stephens, E.M. A Decision-Led Evaluation Approach for Flood Forecasting System Developments: An Application to the Global Flood Awareness System in Bangladesh. J. Flood Risk Manag. 2023, e12959. [Google Scholar] [CrossRef]
- McMahon, T.A.; Peel, M.C. Uncertainty in Stage–Discharge Rating Curves: Application to Australian Hydrologic Reference Stations Data. Hydrol. Sci. J. 2019, 64, 255–275. [Google Scholar] [CrossRef]
- Matthews, G.; Barnard, C.; Cloke, H.; Dance, S.L.; Jurlina, T.; Mazzetti, C.; Prudhomme, C. Evaluating the Impact of Post-Processing Medium-Range Ensemble Streamflow Forecasts from the European Flood Awareness System. Hydrol. Earth Syst. Sci. 2022, 26, 2939–2968. [Google Scholar] [CrossRef]
- Dion, P.; Martel, J.L.; Arsenault, R. Hydrological Ensemble Forecasting Using a Multi-Model Framework. J. Hydrol. 2021, 600, 126537. [Google Scholar] [CrossRef]
- Dey, R.; Lewis, S.C.; Arblaster, J.M.; Abram, N.J. A Review of Past and Projected Changes in Australia’s Rainfall. Wiley Interdiscip. Rev. Clim. Chang. 2019, 10, e577. [Google Scholar] [CrossRef]
- Vivoni, E.R.; Entekhabi, D.; Bras, R.L.; Ivanov, V.Y.; Van Horne, M.P.; Grassotti, C.; Hoffman, R.N. Extending the Predictability of Hydrometeorological Flood Events Using Radar Rainfall Nowcasting. J. Hydrometeorol. 2006, 7, 660–677. [Google Scholar] [CrossRef]
- Peters-Lidard, C.D.; Clark, M.; Samaniego, L.; Verhoest, N.E.; Van Emmerik, T.; Uijlenhoet, R.; Achieng, K.; Franz, T.E.; Woods, R. Scaling, Similarity, and the Fourth Paradigm for Hydrology. Hydrol. Earth Syst. Sci. 2017, 21, 3701–3713. [Google Scholar] [CrossRef]
- Robertson, D.E.; Bennett, J.C.; Shrestha, D.L. Assimilating Observations from Multiple Stream Gauges into Semi-Distributed Hydrological Models for Streamflow Forecasting. Adv. Water Resour. 2015, 83, 323–339. [Google Scholar]
- Bruno Soares, M.; Dessai, S. Barriers and Enablers to the Use of Seasonal Climate Forecasts amongst Organisations in Europe. Clim. Chang. 2016, 137, 89–103. [Google Scholar] [CrossRef]
- Viel, C.; Beaulant, A.-L.; Soubeyroux, J.-M.; Céron, J.-P. How Seasonal Forecast Could Help a Decision Maker: An Example of Climate Service for Water Resource Management. Adv. Sci. Res. 2016, 13, 51–55. [Google Scholar] [CrossRef]
- Turner, S.W.D.; Bennett, J.C.; Robertson, D.E.; Galelli, S. Complex Relationship between Seasonal Streamflow Forecast Skill and Value in Reservoir Operations. Hydrol. Earth Syst. Sci. 2017, 21, 4841–4859. [Google Scholar] [CrossRef]
- Schepen, A.; Zhao, T.; Wang, Q.J.; Zhou, S.; Feikema, P. Optimising Seasonal Streamflow Forecast Lead Time for Operational Decision Making in Australia. Hydrol. Earth Syst. Sci. 2016, 20, 4117–4128. [Google Scholar] [CrossRef]
- Anghileri, D.; Voisin, N.; Castelletti, A.; Pianosi, F.; Nijssen, B.; Lettenmaier, D.P. Value of Long-Term Streamflow Forecasts to Reservoir Operations for Water Supply in Snow-Dominated River Catchments. Water Resour. Res. 2016, 52, 4209–4225. [Google Scholar] [CrossRef]
- Ahmad, S.K.; Hossain, F. A Web-Based Decision Support System for Smart Dam Operations Using Weather Forecasts. J. Hydroinform. 2019, 21, 687–707. [Google Scholar] [CrossRef]
- Woldemeskel, F.; Kabir, A.; Hapuarachchi, P.; Bari, M. Adoption of 7-Day Streamflow Forecasting Service for Operational Decision Making in the Murray Darling Basin, Australia. In Proceedings of the HWRS 2021: Digital Water: Hydrology and Water Resources Symposium 2021: Hydrology and Water Resources Symposium 2021, Virtual, 31 August–1 September 2021. [Google Scholar]
- Lorenz, E.N. The Predictability of a Flow Which Possesses Many Scales of Motion. Tellus A Dyn. Meteorol. Oceanogr. 1969, 21, 289. [Google Scholar] [CrossRef]
- Cuo, L.; Pagano, T.C.; Wang, Q.J. A Review of Quantitative Precipitation Forecasts and Their Use in Short- to Medium-Range Streamflow Forecasting. J. Hydrometeorol. 2011, 12, 713–728. [Google Scholar] [CrossRef]
- Kalnay, E. Historical Perspective: Earlier Ensembles and Forecasting Forecast Skill. Q. J. R. Meteorol. Soc. 2019, 145, 25–34. [Google Scholar] [CrossRef]
- Specq, D.; Batté, L.; Déqué, M.; Ardilouze, C. Multimodel Forecasting of Precipitation at Subseasonal Timescales Over the Southwest Tropical Pacific. Earth Sp. Sci. 2020, 7, e2019EA001003. [Google Scholar] [CrossRef]
- Zappa, M.; Jaun, S.; Germann, U.; Walser, A.; Fundel, F. Superposition of Three Sources of Uncertainties in Operational Flood Forecasting Chains. Atmos. Res. 2011, 100, 246–262. [Google Scholar] [CrossRef]
- Ghimire, G.R.; Krajewski, W.F. Exploring Persistence in Streamflow Forecasting. J. Am. Water Resour. Assoc. 2020, 56, 542–550. [Google Scholar] [CrossRef]
- Harrigan, S.; Prudhomme, C.; Parry, S.; Smith, K.; Tanguy, M. Benchmarking Ensemble Streamflow Prediction Skill in the UK. Hydrol. Earth Syst. Sci. 2018, 22, 2023–2039. [Google Scholar] [CrossRef]
- Demargne, J.; Wu, L.; Regonda, S.K.; Brown, J.D.; Lee, H.; He, M.; Seo, D.J.; Hartman, R.K.; Herr, H.D.; Fresch, M.; et al. Design and Implementation of an Operational Multimodel Multiproduct Real-Time Probabilistic Streamflow Forecasting Platform. J. Hydrometeorol. 2017, 56, 91–101. [Google Scholar] [CrossRef]
- Nash, J.E.; Sutcliffe, J.V. River Flow Forecasting through Conceptual Models Part I—A Discussion of Principles. J. Hydrol. 1970, 10, 282–290. [Google Scholar] [CrossRef]
- Gupta, H.V.; Kling, H. On Typical Range, Sensitivity, and Normalization of Mean Squared Error and Nash-Sutcliffe Efficiency Type Metrics. Water Resour. Res. 2011, 47, 2–4. [Google Scholar] [CrossRef]
- Hersbach, H. Decomposition of the Continuous Ranked Probability Score for Ensemble Prediction Systems. Weather Forecast. 2000, 15, 559–570. [Google Scholar] [CrossRef]
- Laio, F.; Tamea, S. Verification Tools for Probabilistic Forecasts of Continuous Hydrological Variables. Hydrol. Earth Syst. Sci. 2007, 11, 1267–1277. [Google Scholar] [CrossRef]
- Renard, B.; Kavetski, D.; Kuczera, G.; Thyer, M.; Franks, S.W. Understanding Predictive Uncertainty in Hydrologic Modeling: The Challenge of Identifying Input and Structural Errors. Water Resour. Res. 2010, 46, 1–22. [Google Scholar] [CrossRef]
- Schaefer, J. The Critical Success Index as an Indicator of Warning Skill. Weather Forecast. 1990, 5, 570–575. [Google Scholar] [CrossRef]














| Jurisdiction | Number of Locations | NSE (%) | CRPSS (%) | PIT-Alpha (%) | |||||||||
|---|---|---|---|---|---|---|---|---|---|---|---|---|---|
| 5th | 50th | 95th | Max | 5th | 50th | 95th | Max | 5th | 50th | 95th | Max | ||
| New South Wales | 28 | <0 | 29 | 63 | 68 | 13 | 39 | 57 | 63 | 57 | 81 | 91 | 92 |
| Northern Territory | 4 | 43 | 59 | 88 | 91 | 29 | 41 | 65 | 67 | 70 | 81 | 85 | 85 |
| Queensland | 15 | <0 | 13 | 82 | 83 | <0 | 20 | 60 | 70 | 50 | 81 | 93 | 94 |
| South Australia | 4 | <0 | 22 | 62 | 68 | 6 | 24 | 50 | 54 | 51 | 71 | 78 | 78 |
| Tasmania | 14 | <0 | 43 | 71 | 71 | <0 | 33 | 57 | 63 | 63 | 78 | 91 | 91 |
| Victoria | 19 | <0 | 38 | 72 | 82 | 21 | 47 | 60 | 63 | 55 | 79 | 91 | 93 |
| Western Australia | 12 | <0 | 75 | 88 | 94 | 12 | 44 | 84 | 92 | 45 | 83 | 91 | 96 |
Disclaimer/Publisher’s Note: The statements, opinions and data contained in all publications are solely those of the individual author(s) and contributor(s) and not of MDPI and/or the editor(s). MDPI and/or the editor(s) disclaim responsibility for any injury to people or property resulting from any ideas, methods, instructions or products referred to in the content. |
© 2024 by the authors. Licensee MDPI, Basel, Switzerland. This article is an open access article distributed under the terms and conditions of the Creative Commons Attribution (CC BY) license (https://creativecommons.org/licenses/by/4.0/).
Share and Cite
Bari, M.A.; Hasan, M.M.; Amirthanathan, G.E.; Hapuarachchi, H.A.P.; Kabir, A.; Cornish, A.D.; Sunter, P.; Feikema, P.M. Performance Evaluation of a National Seven-Day Ensemble Streamflow Forecast Service for Australia. Water 2024, 16, 1438. https://doi.org/10.3390/w16101438
Bari MA, Hasan MM, Amirthanathan GE, Hapuarachchi HAP, Kabir A, Cornish AD, Sunter P, Feikema PM. Performance Evaluation of a National Seven-Day Ensemble Streamflow Forecast Service for Australia. Water. 2024; 16(10):1438. https://doi.org/10.3390/w16101438
Chicago/Turabian StyleBari, Mohammed Abdul, Mohammad Mahadi Hasan, Gnanathikkam Emmanual Amirthanathan, Hapu Arachchige Prasantha Hapuarachchi, Aynul Kabir, Alex Daniel Cornish, Patrick Sunter, and Paul Martinus Feikema. 2024. "Performance Evaluation of a National Seven-Day Ensemble Streamflow Forecast Service for Australia" Water 16, no. 10: 1438. https://doi.org/10.3390/w16101438
APA StyleBari, M. A., Hasan, M. M., Amirthanathan, G. E., Hapuarachchi, H. A. P., Kabir, A., Cornish, A. D., Sunter, P., & Feikema, P. M. (2024). Performance Evaluation of a National Seven-Day Ensemble Streamflow Forecast Service for Australia. Water, 16(10), 1438. https://doi.org/10.3390/w16101438

