Enhanced Degradation of Deltamethrin in Water through Ferrous Ion Activated Sulfite: Efficiency and Mechanistic Insights
Abstract
1. Introduction
2. Material and Methods
2.1. Materials
2.2. Experimental Procedure
2.3. Analysis
3. Results and Discussion
3.1. Degradation of Deltamethrin by Fe(III)-Activated Systems
3.1.1. Comparison of Deltamethrin Degradation in Different Systems
3.1.2. Changes of Fe(III)/Fe(II) and Sulfite Species during the Reaction Process
3.2. Effect of Initial pH
3.3. Effect of Initial Fe(III) Concentration, Initial Sulfite Concentration on Deltamethrin Removal
3.4. Effect of , HA, Dissolved Oxygen and Photo Radiation on Deltamethrin Removal
3.5. Identification of the Radicals
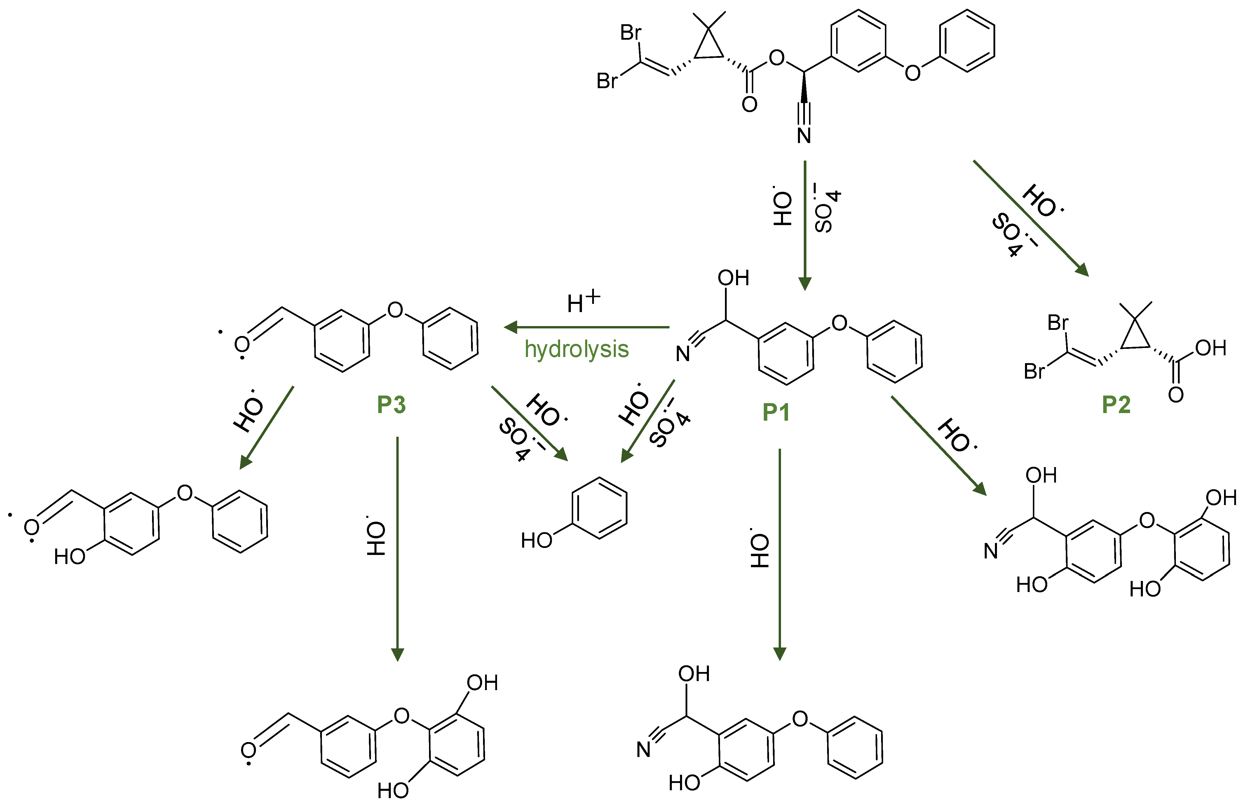
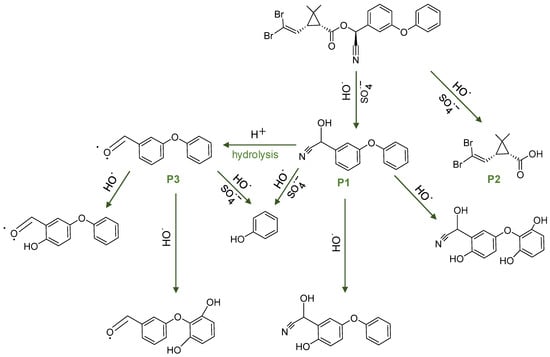
3.6. Deltamethrin Degradation Pathways
3.7. The Degradation Efficiency in Secondary Effluent
3.8. Control of Formation
4. Conclusions
Supplementary Materials
Author Contributions
Funding
Data Availability Statement
Conflicts of Interest
References
- Felten, V.; Toumi, H.; Masfaraud, J.-F.; Billoir, E.; Camara, B.I.; Férard, J.-F. Microplastics enhance Daphnia magna sensitivity to the pyrethroid insecticide deltamethrin: Effects on life history traits. Sci. Total Environ. 2020, 714, 136567. [Google Scholar] [CrossRef] [PubMed]
- Lu, Q.; Sun, Y.; Ares, I.; Anadón, A.; Martínez, M.; Martínez-Larrañaga, M.-R.; Yuan, Z.; Wang, X.; Martínez, M.-A. Deltamethrin toxicity: A review of oxidative stress and metabolism. Environ. Res. 2019, 170, 260–281. [Google Scholar] [CrossRef] [PubMed]
- Chernistry, P. Cypermethrin and Deltamethrin Insecticides in Male Rats. J. Pharmacol. Toxicol. 2012, 7, 312–321. [Google Scholar] [CrossRef][Green Version]
- Hassan, A.; Youssef, A.; Priecel, P. Removal of deltamethrin insecticide over highly porous activated carbon prepared from pistachio nutshells. Carbon Lett. 2013, 14, 234–242. [Google Scholar] [CrossRef]
- Lafi, W.K.; Al-Qodah, Z. Combined advanced oxidation and biological treatment processes for the removal of pesticides from aqueous solutions. J. Hazard Mater. 2006, 137, 489–497. [Google Scholar] [CrossRef] [PubMed]
- Giannakis, S.; Lin, K.-Y.A.; Ghanbari, F. A review of the recent advances on the treatment of industrial wastewaters by Sulfate Radical-based Advanced Oxidation Processes (SR-AOPs). Chem. Eng. J. 2021, 406, 127083. [Google Scholar] [CrossRef]
- Wang, Z.; Jiang, J.; Pang, S.; Zhou, Y.; Guan, C.; Gao, Y.; Li, J.; Yang, Y.; Qiu, W.; Jiang, C. Is sulfate radical really generated from peroxydisulfate activated by iron (II) for environmental decontamination? Environ. Sci. Technol. 2018, 52, 11276–11284. [Google Scholar] [CrossRef] [PubMed]
- Lin, Q.; Deng, Y. Is sulfate radical a ROS? Environ. Sci. Technol. 2021, 55, 15010–15012. [Google Scholar] [CrossRef]
- Xu, Y.; Che, T.; Li, Y.; Fang, C.; Dai, Z.; Li, H.; Xu, L.; Hu, F. Remediation of polycyclic aromatic hydrocarbons by sulfate radical advanced oxidation: Evaluation of efficiency and ecological impact. Ecotoxicol. Environ. Saf. 2021, 223, 112594. [Google Scholar] [CrossRef]
- Ushani, U.; Lu, X.; Wang, J.; Zhang, Z.; Dai, J.; Tan, Y.; Wang, S.; Li, W.; Niu, C.; Cai, T. Sulfate radicals-based advanced oxidation technology in various environmental remediation: A state-of-the–art review. Chem. Eng. J. 2020, 402, 126232. [Google Scholar] [CrossRef]
- Zhang, J.; Zhu, L.; Shi, Z.; Gao, Y. Rapid removal of organic pollutants by activation sulfite with ferrate. Chemosphere 2017, 186, 576–579. [Google Scholar] [CrossRef] [PubMed]
- Huang, L.-Z.; Wei, X.; Gao, E.; Zhang, C.; Hu, X.-M.; Chen, Y.; Liu, Z.; Finck, N.; Luetzenkirchen, J.; Dionysiou, D.D. Single Fe atoms confined in two-dimensional MoS2 for sulfite activation: A biomimetic approach towards efficient radical generation. Appl. Catal. B 2020, 268, 118459. [Google Scholar] [CrossRef]
- Chen, H.; Lin, T.; Wang, P.; Zhang, X.; Jiang, F.; Wang, Y. Novel solar/sulfite advanced oxidation process for carbamazepine degradation: Radical chemistry, transformation pathways, influence on disinfection byproducts and toxic changes. Chem. Eng. J. 2023, 451, 138634. [Google Scholar] [CrossRef]
- Tong, R.; Fu, R.; Yang, Z.; Jiang, Y.; Jiang, K.; Sun, X. Efficient degradation of sulfachloropyridazine by sulfite activation with CuO-Al2O3 composites under neutral pH conditions: Radical and non-radical. J. Environ. Chem. Eng. 2022, 10, 107276. [Google Scholar] [CrossRef]
- Cong, Y.; Shen, L.; Wang, B.; Cao, J.; Pan, Z.; Wang, Z.; Wang, K.; Li, Q.; Li, X. Efficient removal of Cr (VI) at alkaline pHs by sulfite/iodide/UV: Mechanism and modeling. Water Res. 2022, 222, 118919. [Google Scholar] [CrossRef] [PubMed]
- Dong, Q.; Dong, H.; Li, Y.; Xiao, J.; Xiang, S.; Hou, X.; Chu, D. Degradation of sulfamethazine in water by sulfite activated with zero-valent Fe-Cu bimetallic nanoparticles. J. Hazard. Mater. 2022, 431, 128601. [Google Scholar] [CrossRef] [PubMed]
- Zhou, A.; Liu, H.; Varrone, C.; Shyryn, A.; Defemur, Z.; Wang, S.; Liu, W.; Yue, X. New insight into waste activated sludge acetogenesis triggered by coupling sulfite/ferrate oxidation with sulfate reduction-mediated syntrophic consortia. Chem. Eng. J. 2020, 400, 125885. [Google Scholar] [CrossRef]
- Duan, S.; Hou, P.; Yuan, X.; Stanić, M.H.; Qiang, Z.; Dong, H. Homogeneous activation of bisulfite by transition metals for micro-pollutant degradation: Mn (VII) versus Cr (VI). Chem. Eng. J. 2020, 394, 124814. [Google Scholar] [CrossRef]
- Wang, H.; Wang, S.; Liu, Y.; Fu, Y.; Wu, P.; Zhou, G. Degradation of diclofenac by Fe (II)-activated bisulfite: Kinetics, mechanism and transformation products. Chemosphere 2019, 237, 124518. [Google Scholar] [CrossRef]
- Chen, L.; Peng, X.; Liu, J.; Li, J.; Wu, F. Decolorization of orange II in aqueous solution by an Fe (II)/sulfite system: Replacement of persulfate. Ind. Eng. Chem. Res. 2012, 51, 13632–13638. [Google Scholar] [CrossRef]
- Grgićc, I.; Pozničc, M.; Bizjak, M. S (IV) autoxidation in atmospheric liquid water: The role of Fe (II) and the effect of oxalate. J. Atmos. Chem. 1999, 33, 89–102. [Google Scholar] [CrossRef]
- Neta, P.; Huie, R.E.; Ross, A.B. Rate constants for reactions of inorganic radicals in aqueous solution. J. Phys. Chem. Ref. Data 1988, 17, 1027–1284. [Google Scholar] [CrossRef]
- Warneck, P.; Ziajka, J. Reaction Mechanism of the Iron (III)-Catalyzed Autoxidation of Bisulfite in Aqueous Solution: Steady State Description for Benzene as Radical Scavenger. Berichte Bunsenges. Phys. Chem. 1995, 99, 59–65. [Google Scholar] [CrossRef]
- Xie, P.; Zhang, L.; Wang, J.; Zou, Y.; Wang, S.; Yue, S.; Wang, Z.; Ma, J. Transformation of tetrabromobisphenol a in the iron ions-catalyzed auto-oxidation of HSO32−/SO32− process. Sep. Purif. Technol. 2020, 235, 116197. [Google Scholar] [CrossRef]
- Yermakov, A.N.; Poskrebyshev, G.A.; Stoliarov, S.I. Temperature dependence of the branching ratio of SO5−radicals self-reaction in aqueous solution. J. Phys. Chem. 1996, 100, 3557–3560. [Google Scholar] [CrossRef]
- Brandt, C.; Van Eldik, R. Transition metal-catalyzed oxidation of sulfur (IV) oxides. Atmospheric-relevant processes and mechanisms. Chem. Rev. 1995, 95, 119–190. [Google Scholar] [CrossRef]
- Zhang, Y.; Zhou, J.; Li, C.; Guo, S.; Wang, G. Reaction kinetics and mechanism of iron (II)-induced catalytic oxidation of sulfur (IV) during wet desulfurization. Ind. Eng. Chem. Res. 2012, 51, 1158–1165. [Google Scholar] [CrossRef]
- Kuo, D.T.; Kirk, D.W.; Jia, C.Q. The chemistry of aqueous S (IV)-Fe-O2 system: State of the art. J. Sulfur Chem. 2006, 27, 461–530. [Google Scholar] [CrossRef]
- Chen, X.; Miao, W.; Yang, Y.; Hao, S.; Mao, S. Aeration-assisted sulfite activation with ferrous for enhanced chloramphenicol degradation. Chemosphere 2020, 238, 124599. [Google Scholar] [CrossRef]
- Ren, Y.; Chu, Y.; Li, N.; Lai, B.; Zhang, W.; Liu, C.; Li, J. A critical review of environmental remediation via iron-mediated sulfite advanced oxidation processes. Chem. Eng. J. 2023, 455, 140859. [Google Scholar] [CrossRef]
- Zhang, L.; Chen, L.; Xiao, M.; Zhang, L.; Wu, F.; Ge, L. Enhanced Decolorization of Orange II Solutions by the Fe(II)–Sulfite System under Xenon Lamp Irradiation. Ind. Eng. Chem. Res. 2013, 52, 10089–10094. [Google Scholar] [CrossRef]
- Wu, S.; Shen, L.; Lin, Y.; Yin, K.; Yang, C. Sulfite-based advanced oxidation and reduction processes for water treatment. Chem. Eng. J. 2021, 414, 128872. [Google Scholar] [CrossRef]
- Fang, J.-Y.; Shang, C. Bromate formation from bromide oxidation by the UV/persulfate process. Environ. Sci. Technol. 2012, 46, 8976–8983. [Google Scholar] [CrossRef] [PubMed]
- Wu, H.; Gao, X.; Wu, M.; Zhu, Y.; Xiong, R.; Ye, S. The efficiency and risk to groundwater of constructed wetland system for domestic sewage treatment-A case study in Xiantao, China. J. Clean. Prod. 2020, 277, 123384. [Google Scholar] [CrossRef]
- Tozer, D.J.; De Proft, F. Modeling temporary anions in density functional theory: Calculation of the Fukui function. J. Chem. Phys. 2007, 127, 034108. [Google Scholar] [CrossRef] [PubMed]
- Du, J.; Guo, W.; Wang, H.; Yin, R.; Zheng, H.; Feng, X.; Che, D.; Ren, N. Hydroxyl radical dominated degradation of aquatic sulfamethoxazole by Fe0/bisulfite/O2: Kinetics, mechanisms, and pathways. Water Res. 2018, 138, 323–332. [Google Scholar] [CrossRef] [PubMed]
- Lee, C.; Keenan, C.R.; Sedlak, D.L. Polyoxometalate-enhanced oxidation of organic compounds by nanoparticulate zero-valent iron and ferrous ion in the presence of oxygen. Environ. Sci. Technol. 2008, 42, 4921–4926. [Google Scholar] [CrossRef]
- Zhou, T.; Li, Y.; Ji, J.; Wong, F.-S.; Lu, X. Oxidation of 4-chlorophenol in a heterogeneous zero valent iron/H2O2 Fenton-like system: Kinetic, pathway and effect factors. Sep. Purif. Technol. 2008, 62, 551–558. [Google Scholar] [CrossRef]
- Zhang, H.; Zhang, Y.; Hou, Z.; Wang, X.; Wang, J.; Lu, Z.; Zhao, X.; Sun, F.; Pan, H. Biodegradation potential of deltamethrin by the Bacillus cereus strain Y1 in both culture and contaminated soil. Int. Biodeterior. Biodegrad. 2016, 106, 53–59. [Google Scholar] [CrossRef]
- Xie, P.; Zhang, L.; Chen, J.; Ding, J.; Wan, Y.; Wang, S.; Wang, Z.; Zhou, A.; Ma, J. Enhanced degradation of organic contaminants by zero-valent iron/sulfite process under simulated sunlight irradiation. Water Res. 2019, 149, 169–178. [Google Scholar] [CrossRef]
- Cao, Y.; Qiu, W.; Li, J.; Jiang, J.; Pang, S. Review on UV/sulfite process for water and wastewater treatments in the presence or absence of O2. Sci. Total Environ. 2021, 765, 142762. [Google Scholar] [CrossRef] [PubMed]
- Liu, Z.; Guo, Y.; Shang, R.; Fang, Z.; Wu, F.; Wang, Z. A triple system of Fe (III)/sulfite/persulfate: Decolorization and mineralization of reactive Brilliant Red X-3B in aqueous solution at near-neutral pH values. J. Taiwan Inst. Chem. Eng. 2016, 68, 162–168. [Google Scholar] [CrossRef]
- Deng, W.; Zhao, H.; Pan, F.; Feng, X.; Jung, B.; Abdel-Wahab, A.; Batchelor, B.; Li, Y. Visible-light-driven photocatalytic degradation of organic water pollutants promoted by sulfite addition. Environ. Sci. Technol. 2017, 51, 13372–13379. [Google Scholar] [CrossRef] [PubMed]
- Gao, Y.; Fan, W.; Zhang, Z.; Zhou, Y.; Zeng, Z.; Yan, K.; Ma, J.; Hanna, K. Transformation mechanisms of iopamidol by iron/sulfite systems: Involvement of multiple reactive species and efficiency in real water. J. Hazard. Mater. 2022, 426, 128114. [Google Scholar] [CrossRef] [PubMed]
- Ren, Z.; Bergmann, U.; Leiviskä, T. Reductive degradation of perfluorooctanoic acid in complex water matrices by using the UV/sulfite process. Water Res. 2021, 205, 117676. [Google Scholar] [CrossRef] [PubMed]
- Jiang, B.; Liu, Y.; Zheng, J.; Tan, M.; Wang, Z.; Wu, M. Synergetic transformations of multiple pollutants driven by Cr (VI)–sulfite reactions. Environ. Sci. Technol. 2015, 49, 12363–12371. [Google Scholar] [CrossRef] [PubMed]
- Xu, J.; Ding, W.; Wu, F.; Mailhot, G.; Zhou, D.; Hanna, K. Rapid catalytic oxidation of arsenite to arsenate in an iron (III)/sulfite system under visible light. Appl. Catal. B 2016, 186, 56–61. [Google Scholar] [CrossRef]
- Zhu, C.; Zhu, F.; Dionysiou, D.D.; Zhou, D.; Fang, G.; Gao, J. Contribution of alcohol radicals to contaminant degradation in quenching studies of persulfate activation process. Water Res. 2018, 139, 66–73. [Google Scholar] [CrossRef]
- Tan, C.; Jian, X.; Dong, Y.; Lu, X.; Liu, X.; Xiang, H.; Cui, X.; Deng, J.; Gao, H. Activation of peroxymonosulfate by a novel EGCE@ Fe3O4 nanocomposite: Free radical reactions and implication for the degradation of sulfadiazine. Chem. Eng. J. 2019, 359, 594–603. [Google Scholar] [CrossRef]
- GB18918-2002; Discharge Standard of Pollutants for Municipal Wastewater Treatment Plant. Ministry of Ecology and Environment, The People’s Republic of China: Beijing, China, 2003.
- Moore, M.M.; Chen, T. Mutagenicity of bromate: Implications for cancer risk assessment. Toxicology 2006, 221, 190–196. [Google Scholar] [CrossRef]
- Pinkernell, U.; Von Gunten, U. Bromate minimization during ozonation: Mechanistic considerations. Environ. Sci. Technol. 2001, 35, 2525–2531. [Google Scholar] [CrossRef] [PubMed]
- Liu, K.; Lu, J.; Ji, Y. Formation of brominated disinfection by-products and bromate in cobalt catalyzed peroxymonosulfate oxidation of phenol. Water Res. 2015, 84, 1–7. [Google Scholar] [CrossRef] [PubMed]
- He, J.; Zhang, Y.; Guo, Y.; Rhodes, G.; Yeom, J.; Li, H.; Zhang, W. Photocatalytic degradation of cephalexin by ZnO nanowires under simulated sunlight: Kinetics, influencing factors, and mechanisms. Environ. Int. 2019, 132, 105105. [Google Scholar] [CrossRef] [PubMed]
- Birkigt, J.; Gilevska, T.; Ricken, B.; Richnow, H.H.; Vione, D.; Corvini, P.F.X.; Nijenhuis, I.; Cichocka, D. Carbon stable isotope fractionation of sulfamethoxazole during biodegradation by Microbacterium sp. strain BR1 and upon direct photolysis. Environ. Sci. Tech. 2015, 49, 6029–6036. [Google Scholar] [CrossRef] [PubMed]
- Méndez-Díaz, J.D.; Shimabuku, K.K.; Ma, J.; Enumah, Z.O.; Pignatello, J.J.; Mitch, W.A.; Dodd, M.C. Sunlight-driven photochemical halogenation of dissolved organic matter in seawater: A natural abiotic source of organobromine and organoiodine. Environ. Sci. Tech. 2014, 48, 7418–7427. [Google Scholar] [CrossRef]










| (1) | |
| (2) | |
| (3) | |
| (4) | |
| (5) | |
| (6) | |
| (7) | |
| (8) | |
| (9) | |
| (10) | |
| (11) | |
| (12) | 
| Disclaimer/Publisher’s Note: The statements, opinions and data contained in all publications are solely those of the individual author(s) and contributor(s) and not of MDPI and/or the editor(s). MDPI and/or the editor(s) disclaim responsibility for any injury to people or property resulting from any ideas, methods, instructions or products referred to in the content. | 
© 2023 by the authors. Licensee MDPI, Basel, Switzerland. This article is an open access article distributed under the terms and conditions of the Creative Commons Attribution (CC BY) license (https://creativecommons.org/licenses/by/4.0/).
Share and Cite
Wan, Y.; Shang, F.; Yin, L.; Wang, H.; Ping, Y.; Ding, J.; Wang, Z.; Xie, P. Enhanced Degradation of Deltamethrin in Water through Ferrous Ion Activated Sulfite: Efficiency and Mechanistic Insights. Water 2024, 16, 8. https://doi.org/10.3390/w16010008
Wan Y, Shang F, Yin L, Wang H, Ping Y, Ding J, Wang Z, Xie P. Enhanced Degradation of Deltamethrin in Water through Ferrous Ion Activated Sulfite: Efficiency and Mechanistic Insights. Water. 2024; 16(1):8. https://doi.org/10.3390/w16010008
Chicago/Turabian StyleWan, Ying, Fangze Shang, Luming Yin, Hantao Wang, Yang Ping, Jiaqi Ding, Zongping Wang, and Pengchao Xie. 2024. "Enhanced Degradation of Deltamethrin in Water through Ferrous Ion Activated Sulfite: Efficiency and Mechanistic Insights" Water 16, no. 1: 8. https://doi.org/10.3390/w16010008
APA StyleWan, Y., Shang, F., Yin, L., Wang, H., Ping, Y., Ding, J., Wang, Z., & Xie, P. (2024). Enhanced Degradation of Deltamethrin in Water through Ferrous Ion Activated Sulfite: Efficiency and Mechanistic Insights. Water, 16(1), 8. https://doi.org/10.3390/w16010008
 
        


 
       