A Multi-Functional Fluorescence Sensing Platform Based on a Defective UiO-66 for Tetracycline and Moxifloxacin
Abstract
:1. Introduction
2. Experimental
2.1. Materials and Methods
2.2. Preparation of Defective UiO-66 (UiO-66-D)
2.3. Fluorescence Detection of TC and MXF
2.4. Recognition of TC and MFX in Environmental Water Samples
3. Results and Discussion
3.1. Characterization
3.2. Optical Properties of UiO-66-D
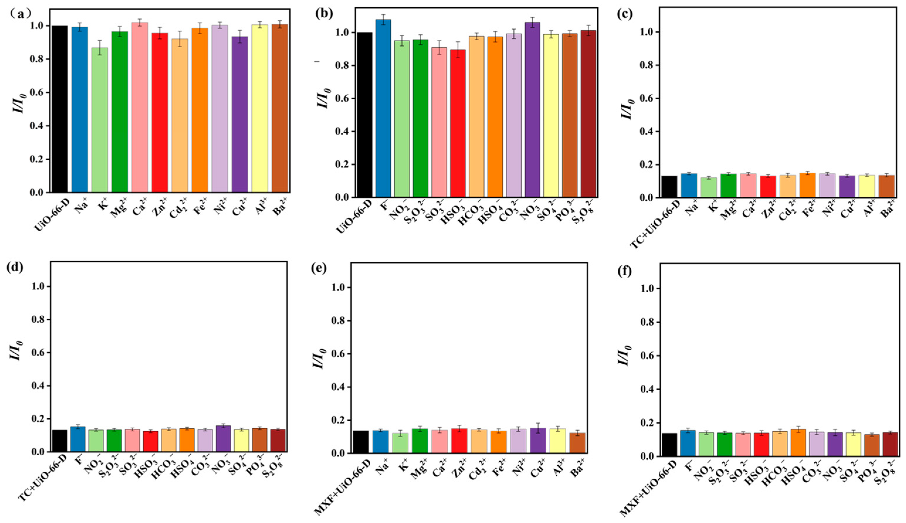
3.3. Fluorescence Response of UiO-66-D towards TC and MXF
3.4. Supposed Mechanism of UiO-66-D for TC and MXF Sensing
3.5. Sensing TC and MXF in Lake Water
4. Conclusions
Supplementary Materials
Author Contributions
Funding
Data Availability Statement
Acknowledgments
Conflicts of Interest
References
- Li, J.; Dai, Y.; Cui, J.; Abrha, H.; Kang, N.; Liu, X. Dye-encapsulated Zr-based MOFs composites as a sensitive platform for ratiometric luminescent sensing of antibiotics in water. Talanta 2023, 251, 123817. [Google Scholar] [CrossRef] [PubMed]
- Danner, M.-C.; Robertson, A.; Behrends, V.; Reiss, J. Antibiotic pollution in surface fresh waters: Occurrence and effects. Sci. Total Environ. 2019, 664, 793–804. [Google Scholar] [CrossRef] [PubMed]
- Yang, Y.; Zhang, X.; Jiang, J.; Han, J.; Li, W.; Li, X.; Yee Leung, K.M.; Snyder, S.A.; Alvarez, P.J.J. Which Micropollutants in Water Environments Deserve More Attention Globally? Environ. Sci. Technol. 2022, 56, 13–29. [Google Scholar] [CrossRef] [PubMed]
- Ali, H.; Masar, M.; Yasir, M.; Machovsky, M.; Monteiro, O.C.; Kuritka, I. Current trends in environmental and energy photocatalysis and ISO standardization. J. Environ. Chem. Eng. 2023, 11, 111541. [Google Scholar]
- Hua-Liang, L.; Run, Y.; Fang, L.I. Determination of Seven Antibiotics in Cosmetics by Ultra Performance Liquid Chromatography. J. Environ. Health 2009, 26, 453–454. [Google Scholar]
- Nakata, H.; Kannan, K.; Jones, P.; Giesy, J. Determination of fluoroquinolone antibiotics in wastewater effluents by liquid chromatography-mass spectrometry and fluorescence detection. Chemosphere 2005, 58, 759–766. [Google Scholar] [CrossRef] [PubMed]
- Mónica, D.-B.; Rocío, B.; Manuel, M.J.; Alberto, C.; Patricia, R. Fast HPLC-MS/MS Method for Determining Penicillin Antibiotics in Infant Formulas Using Molecularly Imprinted Solid-Phase Extraction. J. Anal. Methods Chem. 2015, 2015, 959675. [Google Scholar]
- Zhang, Y.; Sheng, S.; Mao, S.; Wu, X.; Li, Z.; Tao, W.; Jenkinson, I.R. Highly sensitive and selective fluorescent detection of phosphate in water environment by a functionalized coordination polymer. Water Res. 2019, 163, 114883. [Google Scholar] [CrossRef]
- Zhang, Y.; Liu, J.; Wu, X.; Tao, W.; Li, Z. Ultrasensitive detection of Cr(VI) (Cr2O72−/CrO42−) ions in water environment with a fluorescent sensor based on metal-organic frameworks combined with sulfur quantum dots. Anal. Chim. Acta 2020, 1131, 68–79. [Google Scholar] [CrossRef]
- Wang, C.-Y.; Wang, C.-C.; Zhang, X.-W.; Ren, X.-Y.; Yu, B.; Wang, P.; Zhao, Z.-X.; Fu, H. A new Eu-MOF for ratiometrically fluorescent detection toward quinolone antibiotics and selective detection toward tetracycline antibiotics. Chin. Chem. Lett. 2022, 33, 1353–1357. [Google Scholar] [CrossRef]
- Zhang, S.; Cui, J.; Zhou, S.; Zhao, Y.; Li, J.L.; Wu, D. A dual-functional module cellular electrochemical sensing platform for simultaneous detection guanine and xanthine. Biosens. Bioelectron. 2023, 226, 115104. [Google Scholar] [CrossRef] [PubMed]
- Tran, T.T.T.; Do, M.N.; Dang, T.N.H.; Tran, Q.H.; Le, V.T.; Dao, A.Q.; Vasseghian, Y. A state-of-the-art review on graphene-based nanomaterials to determine antibiotics by electrochemical techniques. Environ. Res. 2022, 208, 112744. [Google Scholar] [CrossRef] [PubMed]
- Fu, L.; Mao, S.; Chen, F.; Zhao, S.; Su, W.; Lai, G.; Yu, A.; Lin, C.-T. Graphene-based electrochemical sensors for antibiotic detection in water, food and soil: A scientometric analysis in CiteSpace (2011–2021). Chemosphere 2022, 297, 134127. [Google Scholar] [CrossRef] [PubMed]
- Zhang, Y.; Sun, M.; Peng, M.; Du, E.; Xu, X.; Wang, C.-C. The fabrication strategies and enhanced performances of metal-organic frameworks and carbon dots composites: State of the art review. Chin. Chem. Lett. 2023, 34, 107478. [Google Scholar] [CrossRef]
- Wang, G.-D.; Li, Y.-Z.; Shi, W.-J.; Zhang, B.; Hou, L.; Wang, Y.-Y. A robust cluster-based Eu-MOF as multi-functional fluorescence sensor for detection of antibiotics and pesticides in water. Sens. Actuat. B Chem. 2021, 331, 129377. [Google Scholar] [CrossRef]
- Wang, B.; Gu, C.; Jiao, Y.; Gao, Y.; Liu, X.; Guo, J.; Qian, T. Novel preparation of red fluorescent carbon dots for tetracycline sensing and its application in trace determination. Talanta 2023, 253, 123975. [Google Scholar] [CrossRef]
- Taranova, N.A.; Berlina, A.N.; Zherdev, A.V.; Dzantiev, B.B. ‘Traffic light’ immunochromatographic test based on multicolor quantum dots for the simultaneous detection of several antibiotics in milk. Biosens. Bioelectron. 2015, 63, 255–261. [Google Scholar] [CrossRef]
- Li, Y.; Wang, Y.; Du, P.; Zhang, L.; Liu, Y.; Lu, X. Fabrication of carbon dots@hierarchical mesoporous ZIF-8 for simultaneous ratiometric fluorescence detection and removal of tetracycline antibiotics. Sens. Actuat. B Chem. 2022, 358, 131526. [Google Scholar] [CrossRef]
- Guo, J.; Lu, W.; Zhang, H.; Meng, Y.; Du, F.; Shuang, S.; Dong, C. Copper doped carbon dots as the multi-functional fluorescent sensing platform for tetracyclines and pH. Sens. Actuat. B Chem. 2021, 330, 129360. [Google Scholar] [CrossRef]
- Han, S.; Yang, L.; Wen, Z.; Chu, S.; Wang, M.; Wang, Z.; Jiang, C. A dual-response ratiometric fluorescent sensor by europium-doped CdTe quantum dots for visual and colorimetric detection of tetracycline. J. Hazard. Mater. 2020, 398, 122894. [Google Scholar] [CrossRef]
- Si, Y.; Li, Y.; Yang, G.; Zhang, S.; Yang, L.; Dai, W.; Wang, H. Zeolitic imidazolate framework-8 for ratiometric fluorescence sensing tetracyclines in environmental water based on AIE effects. Anal. Chim. Acta 2022, 1199, 339576. [Google Scholar] [CrossRef] [PubMed]
- Li, C.; Zhang, X.; Wen, S.; Xiang, R.; Han, Y.; Tang, W.; Yue, T.; Li, Z. Interface engineering of zeolite imidazolate framework−8 on two-dimensional Al−metal−organic framework nanoplates enhancing performance for simultaneous capture and sensing tetracyclines. J. Hazard. Mater. 2020, 395, 122615. [Google Scholar] [CrossRef] [PubMed]
- Li, C.; Zeng, C.; Chen, Z.; Jiang, Y.; Yao, H.; Yang, Y.; Wong, W.-T. Luminescent lanthanide metal-organic framework test strip for immediate detection of tetracycline antibiotics in water. J. Hazard. Mater. 2020, 384, 121498. [Google Scholar] [CrossRef] [PubMed]
- Cavka, J.H.; Jakobsen, S.; Olsbye, U.; Guillou, N.; Lamberti, C.; Bordiga, S.; Lillerud, K.P. A New Zirconium Inorganic Building Brick Forming Metal Organic Frameworks with Exceptional Stability. J. Am. Chem. Soc. 2008, 130, 13850–13851. [Google Scholar] [CrossRef] [PubMed]
- Cheng, S.; Xie, P.; Yu, Z.; Gu, R.; Su, Y. Enhanced adsorption performance of UiO-66 via modification with functional groups and integration into hydrogels. Environ. Res. 2022, 212, 113354. [Google Scholar] [CrossRef] [PubMed]
- Li, Y.-H.; Yi, X.-H.; Li, Y.-X.; Wang, C.-C.; Wang, P.; Zhao, C.; Zheng, W. Robust Cr(VI) reduction over hydroxyl modified UiO-66 photocatalyst constructed from mixed ligands: Performances and mechanism insight with or without tartaric acid. Environ. Res. 2021, 201, 111596. [Google Scholar] [CrossRef] [PubMed]
- Bariki, R.; Majhi, D.; Das, K.; Behera, A.; Mishra, B.G. Facile synthesis and photocatalytic efficacy of UiO-66/CdIn2S4 nanocomposites with flowerlike 3D-microspheres towards aqueous phase decontamination of triclosan and H2 evolution. Appl. Catal. B Environ. 2020, 270, 118882. [Google Scholar] [CrossRef]
- Shen, L.; Liang, R.; Luo, M.; Jing, F.; Wu, L. Electronic effects of ligand substitution on metal–organic framework photocatalysts: The case study of UiO-66. Phys. Chem. Chem. Phys. 2015, 17, 117–121. [Google Scholar] [CrossRef]
- Clark, C.A.; Heck, K.N.; Powell, C.D.; Wong, M.S. Highly Defective UiO-66 Materials for the Adsorptive Removal of PFOS. ACS Sustain. Chemi. Eng. 2019, 7, 6619–6628. [Google Scholar] [CrossRef]
- Shearer, G.C.; Chavan, S.; Ethiraj, J.; Vitillo, J.G.; Svelle, S.; Olsbye, U.; Lamberti, C.; Bordiga, S.; Lillerud, K.P. Tuned to Perfection: Ironing Out the Defects in Metal–Organic Framework UiO-66. Chem. Mater. 2014, 26, 4068–4071. [Google Scholar] [CrossRef]
- Zhao, H.X.; Liu, L.Q.; Liu, Z.D.; Wang, Y.; Zhao, X.J.; Huang, C.Z. Highly selective detection of phosphate in very complicated matrixes with an off–on fluorescent probe of europium-adjusted carbon dots. Chem. Commun. 2011, 47, 2604–2606. [Google Scholar] [CrossRef] [PubMed]
- Wang, X.-S.; Li, L.; Yuan, D.-Q.; Huang, Y.-B.; Cao, R. Fast, highly selective and sensitive anionic metal-organic framework with nitrogen-rich sites fluorescent chemosensor for nitro explosives detection. J. Hazard. Mater. 2018, 344, 283–290. [Google Scholar] [CrossRef] [PubMed]
- Chen, J.; Xu, Y.; Li, S.; Xu, F.; Zhang, Q. Ratio fluorescence detection of tetracycline by a Eu3+/NH2-MIL-53(Al) composite. RSC Adv. 2021, 11, 2397–2404. [Google Scholar] [CrossRef]
- Meng, L.; Lan, C.; Liu, Z.; Xu, N.; Wu, Y. A novel ratiometric fluorescence probe for highly sensitive and specific detection of chlorotetracycline among tetracycline antibiotics. Anal. Chim. Acta 2019, 1089, 144–151. [Google Scholar] [CrossRef]
- Sianglam, P.; Ngamdee, K.; Ittisanronnachai, S.; Promarak, V.; Ren, X.-K.; Ngeontae, W. An effective strategy for the detection of tetracycline by N,S-doped carbon nanodots after preconcentration with a hybrid functional nanocomposite. Microchem. J. 2022, 183, 108025. [Google Scholar] [CrossRef]
- Jayaweera, S.; Yin, K.; Ng, W.J. Nitrogen-doped durian shell derived carbon dots for inner filter effect mediated sensing of tetracycline and fluorescent ink. J. Fluoresc. 2019, 29, 221–229. [Google Scholar] [CrossRef]
- Li, Z.; Zhang, J.; Sun, Q.; Shi, W.; Tao, T.; Fu, Y. Moxifloxacin detection based on fluorescence resonance energy transfer from carbon quantum dots to moxifloxacin using a ratiometric fluorescence probe. New J. Chem. 2022, 46, 4226–4232. [Google Scholar] [CrossRef]
- Tan, Z.; Gao, C.; Wang, Q.; Wang, X.; Yang, T.; Ge, J.; Zhou, X.; Xiao, H.; You, Y. A multifunctional fluorescence MOF material: Triple-channel pH detection for strong acid and strong base, recognition of moxifloxacin and tannic acid. J. Photoch. Photobio. A Chem. 2023, 441, 114708. [Google Scholar] [CrossRef]






| Material | Analytes | LOD (nM) | Linear Range (μM) | Ref. | 
|---|---|---|---|---|
| NH2-MIL-53(Al) | TC | 920 | 1.5–70 | [33] | 
| BSA-AuNCs | 65 | 0.2–10 | [34] | |
| N,S-doped carbon nanodots | 160 | 0.8–10 | [35] | |
| Nitrogen-doped durian shell-derived carbon dots | 75 | 0–30 | [36] | |
| UiO-66-D | 70.9 | 0–115 | This work | |
| Carbon quantum dots | MXF | 2.59 | 0.33–2 | [37] | 
| [Co(apba)2(H2O)2] | 43 | 0–100 | [38] | |
| UiO-66-D | 33.1 | 0–24 | This work | 
| Antibiotics | Spiked Concentration (μM) | Measured (μM) | Recovery (%) | RSD (%) | 
|---|---|---|---|---|
| TC | 3.175 | 3.114 | 98.1 | 1.6 | 
| 6.299 | 6.024 | 95.6 | 0.6 | |
| 9.375 | 9.053 | 96.6 | 0.9 | |
| MXF | 3.175 | 3.231 | 101.8 | 1.1 | 
| 6.299 | 6.488 | 103.0 | 1.5 | |
| 9.375 | 9.407 | 100.3 | 0.6 | 
| Disclaimer/Publisher’s Note: The statements, opinions and data contained in all publications are solely those of the individual author(s) and contributor(s) and not of MDPI and/or the editor(s). MDPI and/or the editor(s) disclaim responsibility for any injury to people or property resulting from any ideas, methods, instructions or products referred to in the content. | 
© 2023 by the authors. Licensee MDPI, Basel, Switzerland. This article is an open access article distributed under the terms and conditions of the Creative Commons Attribution (CC BY) license (https://creativecommons.org/licenses/by/4.0/).
Share and Cite
Zhang, Y.; Lu, Y.; Sun, M.; Zeng, D. A Multi-Functional Fluorescence Sensing Platform Based on a Defective UiO-66 for Tetracycline and Moxifloxacin. Water 2024, 16, 145. https://doi.org/10.3390/w16010145
Zhang Y, Lu Y, Sun M, Zeng D. A Multi-Functional Fluorescence Sensing Platform Based on a Defective UiO-66 for Tetracycline and Moxifloxacin. Water. 2024; 16(1):145. https://doi.org/10.3390/w16010145
Chicago/Turabian StyleZhang, Yanqiu, Yang Lu, Minrui Sun, and Dechang Zeng. 2024. "A Multi-Functional Fluorescence Sensing Platform Based on a Defective UiO-66 for Tetracycline and Moxifloxacin" Water 16, no. 1: 145. https://doi.org/10.3390/w16010145
APA StyleZhang, Y., Lu, Y., Sun, M., & Zeng, D. (2024). A Multi-Functional Fluorescence Sensing Platform Based on a Defective UiO-66 for Tetracycline and Moxifloxacin. Water, 16(1), 145. https://doi.org/10.3390/w16010145
 
        

 
       