Determination of Chemical Species Dominating the Corrosivity of Japanese Tap Water by Multiple Regression Analysis
Abstract
1. Introduction
2. Materials and Methods
2.1. Materials
2.2. Sampling and Measurement of Tap Waters Used for Corrosion Tests
2.3. Method of Immersion Test
2.4. Measurement of Corrosion
2.5. Multiple Regression Analysis
3. Results
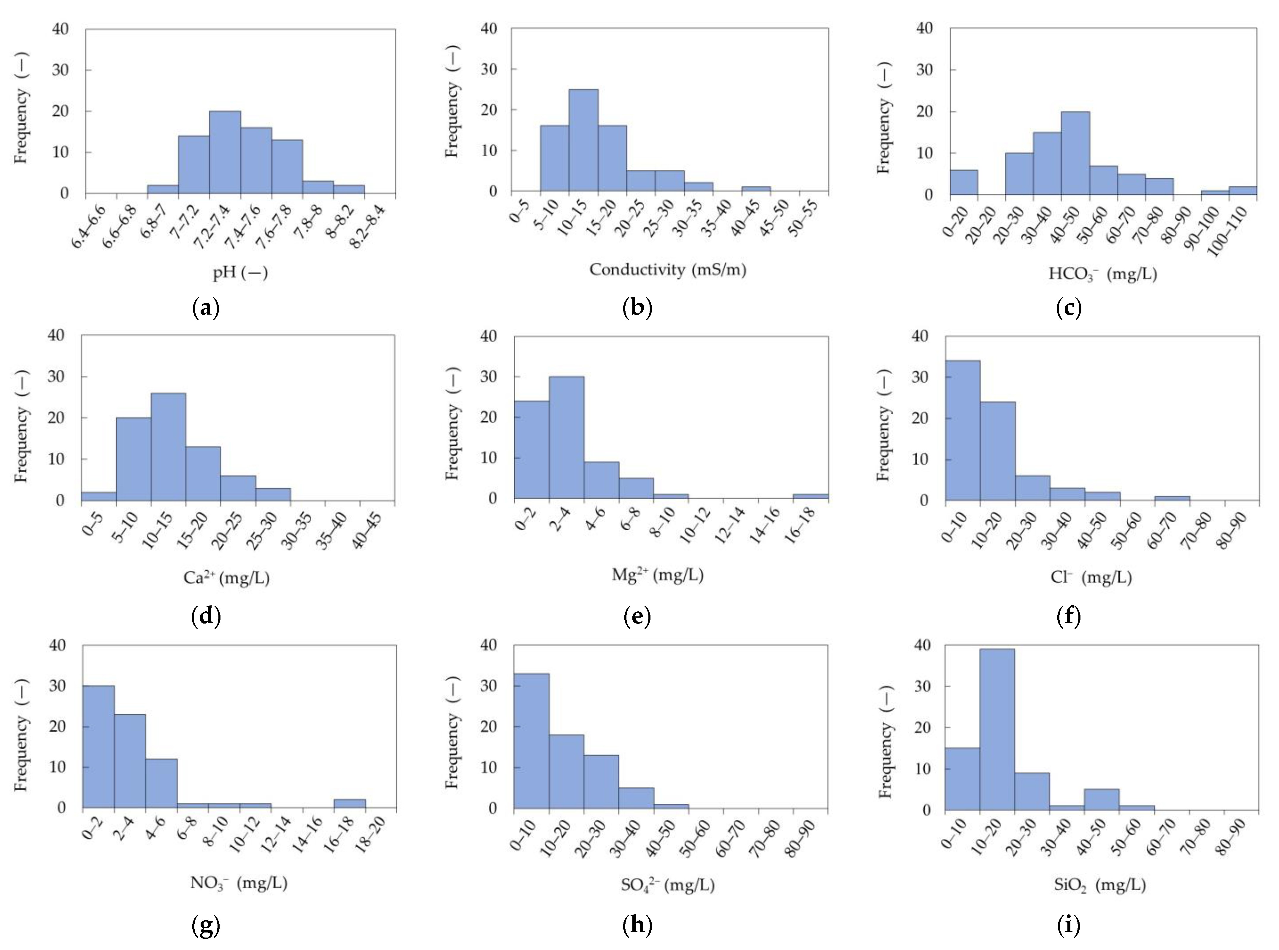
3.1. Quality of Japanese Tap Waters
3.2. Corrosivity of Japanese Tap Waters
3.3. Relationships between Water Quality and Corrosivity
3.4. Extraction of Dominant Species Affecting Corrosivity of Waters
3.4.1. Constructing Multiple Regression Models
3.4.2. Multiple Regression Analysis on Chemical Species and vavg
3.4.3. Multiple Regression Analysis on Chemical Species and vmax
3.4.4. Multiple Regression Analysis on Chemical Species and LCF
4. Conclusions
Author Contributions
Funding
Data Availability Statement
Conflicts of Interest
References
- Hori, M.; Shozugawa, K.; Sugimori, K.; Watanabe, Y. A survey of monitoring tap water hardness in Japan and its distribution patterns. Sci. Rep. 2021, 11, 13546. [Google Scholar] [CrossRef] [PubMed]
- Banks, D.; Birke, M.; Flem, B.; Reimann, C. Inorganic chemical quality of European tap-water: 1. Distribution of parameters and regulatory compliance. Appl. Geochem. 2015, 59, 200–210. [Google Scholar] [CrossRef]
- Flem, B.; Reimann, C.; Birle, D.; Banks, D.; Filzmoser, P.; Frengstad, B. Inorganic chemical quality of European tap-water: 2. Geographical distribution. Appl. Geochem. 2015, 59, 211–224. [Google Scholar] [CrossRef]
- Brigges, C.J.; Ficke, F.J. Quality of Rivers of the United States, 1975 Water Year—Based on the National Stream Quality Accounting Network; U.S. GEOLOGICAL SURVEY: Reston, VA, USA, 1977; pp. 24–25.
- Ogura, K. The Water Quality in the world and Japan. Heat. Air-Cond. Sanit. Eng. 2013, 3, 17–19. [Google Scholar]
- Larson, T.E.; Skold, R.V. Laboratory Studies Relating Mineral Quality of Water to Corrosion of Steel and Cast Iron. Corrosion 1958, 14, 285–288. [Google Scholar] [CrossRef]
- Takasaki, S.; Yamada, Y. Effects of temperature and aggressive anions on corrosion of carbon steel in potable water. Corros. Sci. 2007, 49, 240–247. [Google Scholar] [CrossRef]
- Haruna, T.; Domoto, K.; Shibata, T. Effect of Sulfate Ion on Corrosion of Carbon Steel in Carbonate/Bicarbonate Solutions. Zairyo-to-Kankyo 2002, 51, 350–355. [Google Scholar] [CrossRef]
- Fukaya, Y.; Akashi, M. Passivation Behavior of Carbon Steel in Aqueous Carbonate Solutions. Zairyo-to-Kankyo 2002, 56, 521–528. [Google Scholar] [CrossRef]
- Takasaki, S.; Ueki, H.; Yamamoto, D. Corrosion of mild steel in demineralized water. In Proceedings of the 76th Japan Corrosion Conference, Tokyo, Japan, 12 May 1976. [Google Scholar]
- Agata, K.; Kazama, M.; Nakajima, H.; Hosoya, K.; Matsukawa, Y. Corrosion of building equipment and water quality. In Proceedings of the JSCE Materials and Environments 2001, Ibaraki, Japan, 30 May 2001. [Google Scholar]
- Videm, K.; Koren, A.M. Corrosion, Passivity, and Pitting of Carbon Steel in Aqueous Solutions of HCO3−, CO2, and Cl−. Corrosion 1993, 49, 746–755. [Google Scholar] [CrossRef]
- Fujii, T.; Kodama, T.; Baba, H. Influence of water quality and flow conditions on corrosion of carbon steel pipes in fresh water. Boshoku-Gijyutsu Present. Zair.-Kankyo 1982, 31, 637–642. [Google Scholar]
- Langelier, W.F. The analytical control of anticorrosion water treatment. J. Am. Water Works Asson. 1936, 28, 1500–1521. [Google Scholar] [CrossRef]
- Langelier, W.F. Effect of Temperature on the pH of Natural Waters. J. Am. Water Works Asson. 1946, 38, 179–185. [Google Scholar] [CrossRef]
- Ryzner, J.W. A new index for determining amount of calcium carbonate formed by water. J. Am. Water Works Asson. 1944, 36, 472–483. [Google Scholar] [CrossRef]
- Alum, O.L.; Abugu, H.O.; Onwujiogu, V.C.; Ezugwu, A.L.; Egbueri, J.C.; Aralu, C.C.; Ucheana, I.A.; Okenwa, J.C.; Ezeofor, C.C.; Orjiocha, S.I.; et al. Characterization of the Hydrochemistry, Scaling and Corrosivity Tendencies, and Irrigation Suitability of the Water of the Rivers Karawa and Iyiaji. Sustainability 2023, 15, 9366. [Google Scholar] [CrossRef]
- Vasconcelos, H.C.; Fernández-Pérez, B.M.; González, S.; Souto, R.M.; Santana, J.J. Characterization of the Corrosive Action of Mineral Waters from Thermal Sources: A Case Study at Azores Archipelago, Portuga. Water 2015, 7, 3515–3530. [Google Scholar] [CrossRef]
- Nakamura, Y.; Matsukawa, Y.; Okazaki, S.; Asakura, S. Proposal of a New Corrosion Index for Domestic Tap water in Japan. In Proceedings of the AMPP Annual Conference + Expo2023, Denver, CO, USA, 19–23 March 2023. [Google Scholar]
- Sobue, K.; Magaino, S.; Sugahara, A.; Imai, H. The Effect of components Dissolved in Tap Water on Copper-corrosion Rate. Zairyo-to-Kankyo 2002, 56, 521–528. [Google Scholar]
- So, Y.S.; Lim, J.M.; Kang, S.J.; Kim, W.C.; Kim, J.G. Derivation of Corrosion Depth Formula According to Corrosion Factors in District Heating Water through Regression Analysis. Materials 2023, 16, 3254. [Google Scholar] [CrossRef] [PubMed]
- JIS R 6253:2006; Japanese Industrial Standards Committee (JISC), Waterproof Abrasive Papers. JISC: Tokyo, Japan, 2006; pp. 1–6.
- Ministry of Health, Labour and Welfare of Japan. Available online: https://www.mhlw.go.jp/english/policy/health/water_supply/4.html (accessed on 6 December 2023).
- ASTM G31-72; Standard Practice for Laboratory Immersion Corrosion Testing of Metals. ASTM International: West Conshohocken, PA, USA, 2004; pp. 1–8.
- NACE Standard TM-01-69; Standard Guide for Laboratory Immersion Corrosion Testing of Metals. NACE International: Houston, TX, USA, 2000; pp. 1–9.
- Uhlig, H.; Revie, R. Corrosion and Corrosion Control, 3rd ed.; Japanese Edition; Okamoto, G., Ed.; Sangyo Tosho: Tokyo, Japan, 1994; pp. 98–99. [Google Scholar]
- Multiple Linear Regression (MLR) Definition, Formula, and Example. Available online: https://www.investopedia.com/terms/m/mlr.asp (accessed on 14 September 2023).
- Variance Inflation Factor (VIF) A Measure of the Severity of Multicollinearity in Regression Analysis. Available online: https://corporatefinanceinstitute.com/resources/data-science/variance-inflation-factor-vif/ (accessed on 14 September 2023).
- Fujii, T. Water Quality and Corrosion of Metals. J. Surf. Finish. Soc. Jpn. 2000, 51, 134–140. [Google Scholar] [CrossRef]
- Yuasa, M.; Sakai, Y.; Sekine, I.; Monozawa, N.; Wake, T.; Murata, H.; Shibara, Y.; Someya, S. Influence of Water Quality Factors on Stability Index of Water and Corrosion Rate of Steel. Zairyo-to-Kankyo 2000, 49, 568–571. [Google Scholar] [CrossRef][Green Version]







| Element | Fe | C | Si | Mn | P | S |
|---|---|---|---|---|---|---|
| Content [wt%] | 99.3 | 0.08 | 0.03 | 0.37 | 0.08 | 0.14 |
| Species | Unit | Average | Maximum | Minimum |
|---|---|---|---|---|
| pH (25 °C) | - | 7.46 | 8.1 | 7.0 |
| Conductivity | mS/m | 15.3 | 43.9 | 5.7 |
| HCO3− | mg/L | 43.6 | 106.1 | 13.4 |
| mmol/L | 0.714 | 1.740 | 0.220 | |
| Ca2+ | mg/L | 13.0 | 28.4 | 3.6 |
| mmol/L | 0.324 | 0.709 | 0.090 | |
| Mg2+ | mg/L | 3.1 | 17.2 | 0.7 |
| mmol/L | 0.129 | 0.709 | 0.030 | |
| Cl− | mg/L | 13.9 | 62 | 2 |
| mmol/L | 0.391 | 1.749 | 0.056 | |
| SO42− | mg/L | 14.9 | 41.4 | 1.3 |
| mmol/L | 0.155 | 0.431 | 0.014 | |
| NO3− | mg/L | 3.1 | 18 | 0.1 |
| mmol/L | 0.050 | 0.290 | 0.002 | |
| SiO2 | mg/L | 17.1 | 59 | 2 |
| mmol/L | 0.284 | 0.982 | 0.033 |
| Corrosivity | H+ | HCO3− | Ca2+ | Mg2+ | Cl− | SO42− | NO3− | SiO2 |
|---|---|---|---|---|---|---|---|---|
| vavg | 0.124 | −0.166 | 0.102 | −0.031 | 0.226 | 0.302 | −0.243 | −0.468 |
| vmax | −0.081 | 0.005 | −0.342 | −0.211 | −0.328 | −0.432 | −0.152 | 0.401 |
| LCF | −0.145 | 0.066 | −0.289 | −0.111 | −0.316 | −0.440 | 0.030 | 0.506 |
| Model | H+ | HCO3− | Ca2+ | Mg2+ | Cl− | SO42− | NO3− | SiO2 |
|---|---|---|---|---|---|---|---|---|
| A | 1.63 | 4.30 | 6.73 | 5.81 | 3.53 | 3.40 | 3.22 | 2.22 |
| B | 1.57 | 2.64 | – | 5.81 | 3.48 | 1.94 | 2.67 | 1.62 |
| C | 1.57 | 2.53 | – | – | 1.55 | 1.92 | 1.98 | 1.49 |
| D | 1.03 | – | – | – | 1.47 | 1.84 | 1.79 | 1.39 |
| Model | R2 | SiO2 | NO3− | SO42− | Cl− | Mg2+ | Ca2+ | HCO3− | H+ | b | SE |
|---|---|---|---|---|---|---|---|---|---|---|---|
| A | 0.432 | −0.224 | −0.189 | 0.254 | 0.061 | −0.018 | 0.020 | −0.079 | 0.051 | 0.555 | 0.098 |
| B | 0.432 | −0.230 | −0.182 | 0.262 | 0.060 | −0.018 | – | −0.069 | 0.049 | 0.559 | 0.097 |
| C | 0.432 | −0.232 | −0.187 | 0.261 | 0.052 | – | – | −0.071 | 0.049 | 0.560 | 0.096 |
| D | 0.427 | −0.247 | −0.208 | 0.251 | 0.039 | – | – | – | 0.076 | 0.535 | 0.096 |
| Model | SiO2 | NO3− | SO42− | Cl− | Mg2+ | Ca2+ | HCO3− | H+ |
|---|---|---|---|---|---|---|---|---|
| A | 1.85 × 10−2 | 0.123 | 8.31 × 10−3 | 0.614 | 0.929 | 0.899 | 0.548 | 0.445 |
| B | 4.66 × 10−3 | 0.099 | 3.91 × 10−4 | 0.619 | 0.929 | – | 0.502 | 0.448 |
| C | 2.78 × 10−3 | 0.048 | 3.39 × 10−4 | 0.515 | – | – | 0.478 | 0.445 |
| D | 1.03 × 10−3 | 0.021 | 3.98 × 10−4 | 0.614 | – | – | – | 0.145 |
| Model | R2 | SiO2 | NO3− | SO42− | Cl− | Mg2+ | Ca2+ | HCO3− | H+ | b | SE |
|---|---|---|---|---|---|---|---|---|---|---|---|
| A | 0.474 | 0.592 | −0.329 | −0.283 | −0.172 | −0.038 | −0.115 | 0.255 | −0.012 | 0.446 | 0.165 |
| B | 0.472 | 0.627 | −0.365 | −0.328 | −0.162 | −0.037 | – | 0.195 | −0.002 | 0.424 | 0.164 |
| C | 0.472 | −0.232 | −0.187 | 0.261 | 0.052 | – | – | −0.071 | 0.049 | 0.560 | 0.163 |
| D | 0.461 | 0.661 | −0.320 | −0.301 | −0.143 | – | – | – | −0.075 | 0.496 | 0.163 |
| Model | SiO2 | NO3− | SO42− | Cl− | Mg2+ | Ca2+ | HCO3− | H+ |
|---|---|---|---|---|---|---|---|---|
| A | 3.69 × 10−4 | 0.113 | 7.79 × 10−2 | 0.405 | 0.913 | 0.665 | 0.254 | 0.915 |
| B | 1.43 × 10−5 | 5.23 × 10−2 | 7.40 × 10−3 | 0.427 | 0.913 | – | 0.263 | 0.984 |
| C | 6.52 × 10−6 | 2.03 × 10−2 | 6.48 × 10−3 | 0.189 | – | – | 0.259 | 0.982 |
| D | 1.01 × 10−6 | 3.72 × 10−2 | 1.07 × 10−2 | – | – | – | 0.277 | 0.395 |
| Model | R2 | SiO2 | NO3− | SO42− | Cl− | Mg2+ | Ca2+ | HCO3− | H+ | b | SE |
|---|---|---|---|---|---|---|---|---|---|---|---|
| A | 0.557 | 0.617 | −0.003 | −0.421 | −0.145 | 0.030 | −0.107 | 0.125 | −0.129 | 0.394 | 0.155 |
| B | 0.556 | 0.651 | −0.037 | −0.463 | −0.135 | 0.031 | – | 0.069 | −0.119 | 0.373 | 0.154 |
| C | 0.556 | 0.654 | −0.029 | −0.462 | −0.121 | – | – | 0.073 | −0.119 | 0.371 | 0.153 |
| D | 0.554 | 0.669 | −0.008 | −0.452 | −0.108 | – | – | – | −0.147 | 0.398 | 0.152 |
| Model | SiO2 | NO3− | SO42− | Cl− | Mg2+ | Ca2+ | HCO3− | H+ |
|---|---|---|---|---|---|---|---|---|
| A | 8.74 × 10−5 | 0.987 | 5.95 × 10−3 | 0.454 | 0.925 | 0.666 | 0.548 | 0.228 |
| B | 2.21 × 10−6 | 0.830 | 9.44 × 10−5 | 0.479 | 0.923 | – | 0.669 | 0.249 |
| C | 6.94 × 10−7 | 0.846 | 7.97 × 10−5 | 0.337 | – | – | 0.646 | 0.246 |
| D | 1.58 × 10−7 | 0.956 | 7.21 × 10−5 | – | – | – | 0.376 | 0.077 |
Disclaimer/Publisher’s Note: The statements, opinions and data contained in all publications are solely those of the individual author(s) and contributor(s) and not of MDPI and/or the editor(s). MDPI and/or the editor(s) disclaim responsibility for any injury to people or property resulting from any ideas, methods, instructions or products referred to in the content. |
© 2023 by the authors. Licensee MDPI, Basel, Switzerland. This article is an open access article distributed under the terms and conditions of the Creative Commons Attribution (CC BY) license (https://creativecommons.org/licenses/by/4.0/).
Share and Cite
Nakamura, Y.; Matsukawa, Y.; Okazaki, S.; Asakura, S. Determination of Chemical Species Dominating the Corrosivity of Japanese Tap Water by Multiple Regression Analysis. Water 2023, 15, 4299. https://doi.org/10.3390/w15244299
Nakamura Y, Matsukawa Y, Okazaki S, Asakura S. Determination of Chemical Species Dominating the Corrosivity of Japanese Tap Water by Multiple Regression Analysis. Water. 2023; 15(24):4299. https://doi.org/10.3390/w15244299
Chicago/Turabian StyleNakamura, Yuji, Yasuki Matsukawa, Shinji Okazaki, and Shukuji Asakura. 2023. "Determination of Chemical Species Dominating the Corrosivity of Japanese Tap Water by Multiple Regression Analysis" Water 15, no. 24: 4299. https://doi.org/10.3390/w15244299
APA StyleNakamura, Y., Matsukawa, Y., Okazaki, S., & Asakura, S. (2023). Determination of Chemical Species Dominating the Corrosivity of Japanese Tap Water by Multiple Regression Analysis. Water, 15(24), 4299. https://doi.org/10.3390/w15244299

