Next Article in Journal
An Integrated Approach for Saturation Modeling Using Hydraulic Flow Units: Examples from the Upper Messinian Reservoir
Previous Article in Journal
Marine Copepods as a Microbiome Hotspot: Revealing Their Interactions and Biotechnological Applications
 
 
Font Type:
Arial Georgia Verdana
Font Size:
Aa Aa Aa
Line Spacing:
Column Width:
Background:
Article

Evaluation and Improvement of the Method for Selecting the Ridge Parameter in System Differential Response Curves

1
College of Hydrology and Water Resources, Hohai University, Nanjing 210024, China
2
Research Institute of Disaster Prevention and Reduction, Beijing Water Science & Technology Institute, Beijing 100000, China
3
Department of Water Resources of Jiangsu Province, Nanjing 210024, China
4
Xin’anjiang Power Plant in Jiande, Hangzhou 311699, China
5
Yangtze Institute for Conservation and Development, Hohai University, Nanjing 210024, China
*
Author to whom correspondence should be addressed.
Water 2023, 15(24), 4205; https://doi.org/10.3390/w15244205
Submission received: 30 October 2023 / Revised: 20 November 2023 / Accepted: 24 November 2023 / Published: 5 December 2023

Abstract

The selection of an appropriate ridge parameter plays a crucial role in ridge estimation. A smaller ridge parameter leads to larger residuals, while a larger ridge parameter reduces the unbiasedness of the estimation. This paper proposes a constrained L-curve method to accurately select the optimal ridge parameter. Additionally, the constrained L-curve method, traditional L-curve method, and ridge trace method are individually coupled with the system differential response curve to update the streamflow in the Jianyang Basin using the SWAT model. Multiple evaluation criteria are employed to analyze the efficacy of the three methods for correction. The results demonstrate that the constrained L-curve method accurately identifies the optimal ridge parameter in the actual model. Furthermore, the coupling of the constrained L-curve method with the system differential response curve exhibits markedly superior accuracy of simulated streamflow compared to the traditional L-curve and ridge trace methods, with the mean Nash–Sutcliffe efficiency (NSE) improving from 0.71 to 0.88 after correction. The constrained L-curve method, which incorporates the physical interpretation of the estimated parameters, effectively identifies the optimal ridge parameter in practical scenarios. As a result, it demonstrates superior usability and applicability when compared to the traditional L-curve method.

1. Introduction

Errors in model inputs, structure, and parameters often lead to unsatisfactory predictions in hydrological flood forecasting [1]. Consequently, the introduction of error correction methods becomes crucial for improving the accuracy of forecasted outcomes. One such method is the System Differential Response Curve (SRC), proposed by Weimin Bao, with several advantages, including a simple structure, the absence of additional parameters, clear physical interpretation, and no loss of foresight [2,3]. Currently, this method is widely applied in various research areas, such as parameter calibration, correction of streamflow error], correction of a real mean rainfall error, and correction of state variables. [4,5,6,7] The hydrological model is regarded as a system in the context of the SRC analysis. In this framework, the model’s input corresponds to the independent variable, while the model’s output represents the dependent variable. To perform inverse analysis and rectify the model’s input, a functional relationship called the response matrix is established, which characterizes the relationship between the model’s input and output. During the process of inverse analysis, the response matrix may suffer from multicollinearity, which arises when the vectors of the response matrix exhibit strong linear dependencies. The presence of multicollinearity results in the response matrix becoming ill-conditioned, making it impossible to calculate the corrected value of the independent variable. Furthermore, insufficient information in the response matrix can lead to significant amplification of small errors, thereby endangering the stability of the solution [8]. In order to address the issue of ill-conditioning in the response matrix and avoid excessive correction of the model’s input, Bao et al. [8] proposed the ridge estimation-SRC method by incorporating ridge estimation into the SRC method. Ridge estimation [9,10] is a regression analysis technique used to handle the problem of multicollinearity. In ordinary least squares estimation, when the design matrix (also known as the independent variable matrix) exhibits multicollinearity, the inverse matrix of the design matrix cannot be computed. To address this issue, ridge estimation sacrifices the unbiasedness of ordinary least squares estimation by introducing a bias term to the design matrix. This trade-off allows for obtaining more reliable regression coefficients at the cost of sacrificing some information from the design matrix and reducing estimation precision when multicollinearity is present. Thus, ridge estimation solves the problem of the non-invertibility of the design matrix in ordinary least squares estimation [9,11,12]. Furthermore, ridge estimation serves the purpose of introducing a penalty function that constrains the range of the estimated parameter.
Currently, there are several methods available for automatically selecting the ridge parameter in ridge estimation, such as the ridge trace method, the generalized cross-validation method (GCV) [13,14], and the L-curve method [15,16], among others. The ridge trace method determines the optimal ridge parameter by plotting curves of different ridge parameters against the corresponding regression coefficient components. The subjective nature of this approach hinders its efficiency, especially when dealing with a large number of variables in the design matrix. As the number of variables increases, the creation of ridge trace plots becomes more time-consuming and challenging due to the need for manual intervention. The GCV method determines the optimal ridge parameter by minimizing the cross-validation error. However, locating the minimum of the GCV function can sometimes be challenging due to its flatness, and it is prone to overfitting [17]. Hansen et al. [18,19] proposed the L-curve method as a more robust approach for determining the optimal ridge parameter in ill-conditioned matrices, especially in the presence of measurement errors. Compared to the two methods mentioned above, the L-curve has rigorous mathematical derivation and clear mathematical significance. It exhibits good applicability in solving the problem of ill-conditioning in the design matrix. The L-curve method calculates the estimated parameters and model’s residuals using least squares by selecting multiple sets of different ridge parameters. By plotting the value of the model’s residuals on the X-axis and the value of the estimated parameters on the Y-axis, a curve is fitted to determine the optimal value of the ridge parameter. This method takes into account the fluctuations in the residuals and estimated parameters, enabling accurate identification of the optimal ridge parameter in general scenarios. Currently, the L-curve method is extensively employed for selecting ridge parameters [20,21]. The L-curve criterion aims to minimize the sum of the model’s residuals and estimated terms. The residual term represents the error between observed and simulated values, while the estimated term represents the parameters that need to be estimated. The traditional L-curve method considers the change in the estimated term and emphasizes that a good estimation should limit this change, achieving an appropriate size for the estimated terms while minimizing the residual term. This perspective is persuasive in hydrological studies. However, the traditional L-curve method does not incorporate the physical meaning of the estimated parameters and fails to capture information about the parameters’ range of the estimated term. When coupled with SRC, the selected optimal ridge parameters often exhibit a bias towards smaller values. This bias can result in certain components of the estimated term exceeding the allowable parameter range during calculations, thereby resulting in poorer fitting accuracy between the measured and simulated data after correction. To address this issue, this study proposes the constrained L-curve (CL-curve) method, which incorporates a constraint term to consider the physical interpretation of the model parameters. By introducing this constraint, it restricts the variation in the estimated term, ensuring that the estimated parameters remain within a reasonable range. In addition, coupling the CL-curve with the SRC aims to enhance the accuracy of updating streamflow for the SRC.
Accurate hydrological models play a crucial role in water resource planning and management, reservoir operation planning, and flood control management. As a result, they have become a highly sought-after research topic in the field of hydrology. Moreover, the development of these models contributes to a deeper understanding of ongoing hydrological processes within watersheds. Generally, hydrological models can be categorized into two groups: (a) conceptual and physically based models, such as the Xin-Anjiang (XAJ) model and the Soil and Water Assessment Tool (SWAT) model; and (b) empirical or data-driven models, including support vector machines (SVM) and artificial neural networks (ANN). A thorough review of these hydrological models can be found in the literature [22,23]. Conceptual and physically-based models are widely utilized in hydrological studies due to their ability to effectively simulate the hydrological processes of watersheds while considering the physical mechanisms and hydrological characteristics. The SWAT model, developed by the US Department of Agriculture, is a distributed hydrological model that incorporates strong physical mechanisms. This model utilizes geographic information systems and remote sensing to simulate the hydrological processes of a basin based on spatial information and surface characteristics. It comprehensively accounts for the influence of underlying surfaces on streamflow, making it a widely applied tool in the simulation of streamflow and sediment in large basins. Consequently, in this study, the SWAT model is used as the research model to simulate daily streamflow in this study area.
This study selects the Jianyang basin of the Minjiang River as this study area and presents the Constrained L-curve-SRC(CL-SRC) method for verification. The main objectives of this research are as follows: (1) To establish an ideal model that tests the effectiveness of the SRC in modeled correcting streamflow by adjusting areal mean rainfall. (2) Introducing ridge estimation solves the issue of the inability to invert the matrix in the SRC method when there is multicollinearity in the design matrix. Additionally, a comparative analysis is conducted between the ridge trace method and the traditional L-curve method to evaluate the strengths and weaknesses of selecting ridge parameters. (3) Through an analysis of the issues inherent in the L-curve and drawing on the physical implications of the estimated parameters, this study proposes a constrained L-curve method by incorporating a constraint term. The purpose is to enhance the accuracy and suitability of selecting the optimal ridge parameter. Additionally, the ridge trace method, L-curve method, and constrained L-curve method are coupling with the SRC, comparing their respective effects on updating streamflow.

2. Materials and Methods

This study focuses on the Jianyang basin as the study area and utilizes the SWAT model to simulate daily streamflow. In the first step, the SRC method is applied to update the streamflow and analyze any existing issues. Subsequently, the CL-Curve, RT, L-Curve, and SRC are coupled to form three methods: CL-SRC, RT-SRC, and L-SRC. The paper compares the corrective effects of the three methods that have been constructed. The specific research framework is shown in Figure 1.

2.1. Study Area

The Jianyang Basin, situated in Fujian Province, China, is positioned in the upstream region of the Minjiang River, with coordinates ranging from 117°31′ to 118°19′ east longitude and 27°10′ to 28°5′ north latitude. This basin encompasses a drainage area of 4848 km2, with an average annual rainfall of 1702 mm and an annual streamflow coefficient ranging from 0.5 to 0.6. It experiences a subtropical monsoon humid climate, characterized by substantial vegetation coverage and shallow groundwater depths. Rainfall within the basin exhibits significant interannual variability and a spatial distribution that generally decreases from north to south. Earlier studies have effectively employed the SWAT model for runoff simulation in this basin [24]. For this study, meteorological data from nearby stations, including Shaowu, Qixianshan, Wuyishan, Pucheng, and Jianou meteorological stations were utilized. Furthermore, rainfall data were collected from 17 rainfall stations located within the basin, as depicted in Figure 2.

2.2. Data

The hydrological data used in this study were obtained from the measured daily data of the Jianyang Station in the Hydrological Yearbook from 1993 to 2000. The topographic data utilized the 30 m resolution original elevation data from the Geospatial Data Cloud SRTMDEM (https://www.gscloud.cn, accessed on 16 July 2022). The meteorological data were sourced from the China Surface Climate Data Set (V3.0) (https://data.tpdc.ac.cn, accessed on 20 March 2022). The soil data were selected from the Second National Land Survey Data of Nanjing Soil Research Institute (http://www.ncdc.ac.cn, accessed on 10 November 2021) with a resolution of 1 km x 1 km. The land use data were acquired from the Research Center for Resources and Environment Science Data of the Chinese Academy of Sciences (https://www.resdc.cn, accessed on 10 November 2021) for the year 1995 at a resolution of 1 km × 1 km. For more details, please refer to Table 1.

2.3. Least Squares Method

Assuming that the observation equation can be expressed as:
  A X = b + Δ
where A represents the design matrix, X represents the parameter to be estimated, b represents the observed value, and Δ represents the observed error, which follows a zero-mean white noise distribution.
At this juncture, the estimation criterion can be expressed as:
min = | | A X b | | 2
The estimated item can be calculated by the least squares method as:
X ^ = A T A 1 A T b
The fluctuation of the estimated item, measured by the mean square error, can be represented as:
  M S E = E x ^ x 2
where E represents expectation, Equation (4) can be expressed after equation transformation as:
  M S E = E x ^ E x ^ 2 + E ( x ^ ) x 2
where   E x ^ E x ^ 2 represents the sum of the variance of the estimated item, reflecting the fluctuation of the parameter to be estimated; E ( x ^ ) x 2 is the sum of the squares of the deviations of the estimated quantity x ^ from the observed value x , reflecting the difference between the estimated item and the true value and the deviation is 0 in the unbiased estimation.

2.4. System Differential Response Curve (SRC)

The precision of hydrological forecasts is greatly affected by the accuracy of rainfall, which is the most crucial input for basin hydrological models. Thus, this paper primarily focuses on improving the accuracy of simulated streamflow by correcting rainfall data.
The SRC method considers the hydrological model as a system. By perturbing the input (an independent variable) and studying the response of the output (a dependent variable) to this perturbation, the relationship between the response and the perturbation is then formulated as a function. Subsequently, the correction of the independent variable is obtained through the inversion of this function, thus achieving the correction of the output.
To simplify the calculations, this paper only considers rainfall as the input error and simplifies the hydrological system into the following functional relationship:
Q P = f P
where P denotes the observed rainfall series and serves as input for the model, while Q represents the model’s simulated streamflow series and serves as output for the model.
Assuming that the observed rainfall series is represented by P t = [ P 1 , P 2 , P n ] T , and the measured streamflow series is represented by   Q P = [ Q 1 , Q 2 , Q L ] T , By taking the areal mean rainfall as the independent variable and performing differentiation on Equation (1), the differential equation for the relationship between streamflow and areal mean rainfall can be represented as:
d Q = Q P P d P
where Q P P represents the differential response of the streamflow with respect to the areal mean rainfall.
The differentiation of rainfall for each time period is calculated using Equation (7), then the relationship between rainfall and streamflow can be written in matrix form as follows:
Q = U Δ P + E
where Δ Q represents the streamflow error series, Δ P denotes the areal mean rainfall error series, E is the residual series, and U is the system response matrix, Specifically,   U = [ u 1 , u 2 , u n ] , where each u i is the differential response at time i when the independent variable P changes by one unit. More precisely, u i = [ Q 1 P i , Q 2 P i , Q L P i ] T , as defined previously [1].
By utilizing the least squares method to solve Equation (8), the value of the corrected error series   Δ P for areal mean rainfall can be formulated as follows:
Δ P = U T U 1 U T Δ Q
where Δ P represents the value of the corrected error for the areal mean rainfall, and Δ Q represents the difference between measured streamflow and simulated streamflow. The process of calculation involves a large number of variables, which can potentially cause the designed matrix U to become ill-conditioned. Furthermore, the inclusion of harmful information in the U matrix can cause oscillations in the process of correction.
In order to rectify the aforementioned issue, ridge estimation has been incorporated into the process of solution; thus, the estimated term can be represented as follows:
  Δ P = U T U + β I 1 U T Δ Q
where β represents the ridge parameter [8], and I represents the Identity matrix with the same dimensions as the U matrix.
According to Equation (10), the corrected value of areal mean rainfall in the basin can be represented as:
P c i = P i + Δ P i
where P c i represents the areal mean rainfall series after corrected.

2.5. The Ideal Model

Due to the inherent complexity and uncertainty of practical hydrological basins, hydrological models are bound to contain errors in their inputs, structures, and parameters. This complexity, coupled with the multitude of sources of error, complicates the identification of essential components and key variables for error analysis. An “ideal” model, in this context, refers to a model in which the inputs, structure, and parameters are accurately known, which can be further studied through targeted research by deliberately introducing parameter errors. In this paper, an ideal model was constructed using SWAT to evaluate the effectiveness of the SRC method. The ideal model was utilized to evaluate the performance of the SRC method by intentionally introducing errors in areal mean rainfall series, and it provides a comprehensive explanation of the SRC.

2.6. Method for Selecting Ridge Parameters

2.6.1. Ridge Trace Method

The regression coefficient for the ridge trace method is defined as:
  β ^ λ = A T A + λ E 1 A T b
where β ^ λ represents the regression coefficient.
The ridge trace method involves setting multiple sets of different ridge parameters ( λ ) to obtain the corresponding regression coefficients ( β ^ λ ) by using Equation (12). The resulting ridge traces are depicted with λ as the X-axis and β ^ λ i (the component of β ^ λ ) as the Y-axis. The optimal ridge parameter is identified at the point of convergence where all components of the regression coefficients ( β ^ λ i ) converge to a steady state. In this study, the initial value of the ridge parameter was set to 0.01, the iteration step was set to 0.1, and the maximum value was set to 400. These values were chosen to facilitate the calculation of the regression coefficient components for each ridge parameter.

2.6.2. L-Curve

When the condition number of the designed matrix in Equation (9) is large, it may make matrix Ill-conditioned and the designed matrix cannot be properly inverted. In order to tackle this problem, a ridge parameter, also known as L2 regularization, is introduced. This, in turn, reformulates Equation (3) as follows:
X ^ = A T A + λ E 1 A T b
where λ represents the ridge parameter, which can improve the problem of ill-conditioned. At the same time, adding a penalty function can restrict adjustments to the model and prevent the estimated parameters from exceeding a reasonable range. Smaller values of λ will produce estimates that are closer to being unbiased.
The introduction of the ridge estimation leads to a modified estimation criterion, which is given by:
min = | | A X ^ b | | 2 + λ | | X ^ | | 2
where | | | | all denote 2-norms, | | A X ^ b | | represents the residual term, and | | X ^ | | represents the estimated term.
According to the definition provided by the L-curve [19], it is evident that as λ approaches 0, the penalty function has a diminished impact, leading to an estimate that is nearly unbiased. At this point, the curve is characterized by a vertical segment dominated by the condition of the matrix. As λ gradually increases, the ridge parameter begins to exert its influence, causing the curve to transition into a horizontal segment that is predominantly governed by the ridge parameter.
The steps to determine the optimal ridge parameter using the L-curve are as follows:
(1)
Selecting different ridge parameters and calculating the corresponding | | A X ^ b | | and | | X ^ | | . In this study, the minimum ridge parameter is set to 0.001, the maximum value is set to 200, and the iteration step size is set to 0.01.
(2)
Plotting the residual item ( | | A X ^ b | | ) on the horizontal axis and the estimated norm ( | | X ^ | | ) on the vertical axis. Subsequently, fitting the points into a curve will yield the computed L-curve.
(3)
Calculating the curvature of the curve and the ridge parameter corresponding to the point with the maximum curvature of the curve is the optimal ridge parameter.

2.6.3. Constrained L-Curve (CL-Curve)

Although the traditional L-curve method takes into account the change of the estimated parameters during the process of selection, it does not consider the physical meaning of the model’s parameters and ignores information about the range of values for these parameters. By using the optimal ridge parameter in the SRC, it can lead to excessive correction of the estimated parameters, exceeding the parameter range, and ultimately reducing the accuracy of the simulated streamflow. Therefore, the optimal ridge parameter is not necessarily the actual optimal point. To tackle these challenges, this paper suggests enhancements to the L-curve method. Specifically, the estimated parameter in this study pertains to areal mean rainfall, a quantity with a clear physical interpretation. It is essential to note that areal mean rainfall must always possess values greater than or equal to 0. Therefore, a constraint term Δ P is introduced to limit the range of variation for the estimated parameter. Based on the λ , Equation (10) yields the corrected rainfall series X ^ . By comparing X ^ with Δ P , it is determined that the absolute value of the negative values in X ^ is always less than or equal to the corresponding values in Δ P . After incorporating the constraint term, the estimated parameter term is denoted as X ^ 1 .
X ^ 1 i = X ^ i   X ^ i 0 ; X ^ i < 0   a n d   X ^ i < P i P i   ( X ^ i < 0   and   X ^ i > P i )
Based on the steps of the L-curve mentioned above, the actual optimal ridge parameter of the CL-curve can be obtained.
At this point, the constrained L-curve exhibits the following traits:
(1)
If all the constraint terms P i are greater than or equal to the absolute value of the negative of X ^ i , which means that the constraints are not in effect, then the L-curve can be obtained, and the result of the optimal ridge parameter is consistent with the traditional L-curve.
(2)
When the constraint term comes into effect and λ approaches 0, the left side is no longer a line close to being perpendicular. Instead, as λ gradually increases, | | A X ^ 1 b | | and | | X ^ 1 | | decrease until a turning point appears in the fitted curve. This is different from the traditional L curve. Subsequently, as λ continues to increase, | | X ^ 1 | | keeps decreasing while | | A X ^ 1 b | | starts to increase.
(3)
The graph of the constrained L-curve is no longer an “L” shape. Instead, it assumes a U-shaped form that tilts towards the right.

2.7. SWAT Model

2.7.1. The Theory of Model

The SWAT (Soil and Water Assessment Tool) model is a distributed hydrological model developed by the United States Department of Agriculture with a strong physical mechanism. The model is based on geographic information systems and remote sensing, using spatial information and land surface information from the study watershed to simulate hydrological processes [25,26,27]. The model includes modules for meteorology, hydrology, sediment transport, vegetation growth, nutrients, pollutants, and crop management. This study mainly applies the hydrological simulation module of the model, and its water balance equation is as follows:
S W t = S W 0 + i = 1 t ( R d a y , i Q s u r f , i E a , i W s e e p , i Q g w , i )
where S W t represents the soil water content in mm on day t , while S W 0 represents the initial soil water content in mm on day i , R d a y , i denotes rainfall in mm on day i , Q s u r f , i represents the surface runoff in mm on day i , E a , i indicates the evapotranspiration loss in mm on day i , W s e e p , i refers to the infiltration of soil profile in mm on day i , and Q g w , i represents the volume of water from return flow in mm on day i .

2.7.2. Configuration of the SWAT Model

(1) The collected land use data and soil data were reclassified. The SPAW is utilized to calculate the soil properties of the basin. The properties of land use are derived from the corresponding data in the SWAT database to construct the basin-specific SWAT database. Meteorological station data are employed to compute rainfall, solar radiation, temperature, wind speed, and dew point with the assistance of SWAT Weather software. A weather generator is constructed based on the calculated data.
(2) According to the hydrological data obtained from the Jianyang basin, this study divided the basin into 31 sub-basins with a threshold of 10,000 hm2. The outlet was identified in sub-basin number 28, as shown in Figure 3. By applying a threshold of 10%, this paper overlaid and analyzed the spatial data, resulting in the division of the basin into 274 Hydrologic Response Units (HRUs). Subsequently, a SWAT model was constructed to simulate daily streamflow.

2.7.3. Parameter Calibration of the SWAT Model

The Jianyang basin was divided into three periods for modeling: a warm-up period in 1992, a calibration period from 1993 to 1998, and a validation period from 1998 to 2000. For parameter calibration, the SWAT-CUP software was used in conjunction with the SUFI2 algorithm, which facilitated the selection of 11 sensitive parameters that exerted a significant influence on streamflow. Each iteration included 500 cycles, resulting in a total of 2000 iterations performed to identify the optimal parameters. The results of the parameter calibration are presented in Table 2.

2.7.4. Evaluation Criteria

In this study, the accuracy of simulated streamflow was evaluated through the use of three metrics: the Nash-Sutcliffe efficiency coefficient (NSE), relative error (RE), and mean square error (MSE).
(1) N S E is used to measure the degree of fit between the simulated and measured values, with a value closer to 1 indicating a better simulation. N S E is calculated as follows:
  N S E = 1 i = 1 L Q 0 i Q s i 2 i = 1 L Q 0 i Q ¯ 0 2
where L denotes the length of the streamflow series; Q 0 i represents the measured value; Q s i represents the simulated value; Q ¯ 0 is the average value of the measured values obtained in the experiment.
(2) R E reflects the error between simulated and measured values, and can be calculated using the following formula:
  R E = i = 1 L Q s i i = 1 L Q 0 i i = 1 L Q 0 i
(3) M S E is a metric utilized to quantify the degree of data variability by measuring the “average error”. A smaller MSE indicates a higher level of precision in the calculated values of the model. The formula for calculating MSE is as follows:
  M S E = 1 L i = 1 L ( Q 0 i Q x z i ) 2
where Q x z i represents the corrected value.

3. Result

3.1. Validation of the Ideal Model

To verify the efficacy of correcting rainfall using SRC and explain the process of SRC, this study utilizes the well-constructed SWAT model of the Jianyang basin as the foundation. A series of length 15, following a normal distribution with a mean of 20 and a standard deviation of 5, is selected as the observed rainfall series ( P o b s ). As mentioned earlier, assuming that the error originates solely from rainfall, the simulated streamflow obtained by inputting the aforementioned observed rainfall series into the SWAT model is considered the observed value ( Q o b s ). By adding a random error series ( E ) , to the observed rainfall series P o b s , a rainfall series with error ( P s i m ), is created as the input value for the SWAT model. The simulated streamflow resulting from this rainfall series P s i m is denoted as Q s i m . The random error series, E , is a Gaussian random series with a mean of 0 and values ranging within ±10% of the corresponding values of rainfall series. To validate the effectiveness of the SRC method, this study applies the SRC method to correct P s i m based on Q o b s and Q s i m , resulting in an estimated error series ( E 1 ) . By adding the estimated error series E 1 to P s i m , a corrected rainfall series ( P c ) is obtained and compared with P o b s for validation. Additionally, the corrected rainfall series P c is used as input in the SWAT model for calculation, resulting in the corrected streamflow series ( Q c ) , which is then compared with Q o b s to verify the effectiveness of the SRC method in modeling correcting streamflow through correcting rainfall. The results of the ideal model’s calculations are presented in Table 3. Figure 4 shows three rainfall series, while Figure 5 displays the corresponding simulated streamflow for these three rainfall series.
The rainfall series obtained after being corrected by SRC, as shown in Table 3 and Figure 4, closely matches the observed rainfall series, with only minor discrepancies on a few specific days, like the 10th and 15th days. For the majority of the days, the corrected rainfall series aligns perfectly with the observed data. These findings demonstrate the effectiveness of the SRC method in adjusting rainfall inputs for SWAT. Additionally, Figure 5 illustrates a good fit between the corrected streamflow and the observed streamflow, providing further evidence of the effectiveness of using the SRC method to correct streamflow by adjusting rainfall.

3.2. The Simulated Results of the SWAT Model

Taking Jianyang basin as the study area, this paper constructs a SWAT model to simulate daily streamflow, and the results of the evaluation coefficients are shown in Table 4.
The analysis of the data from Table 4 highlights the satisfactory performance of the SWAT model in simulating daily streamflow in the Jianyang basin. The multi-year average NSE is 0.71, with the exception of 1998, when it decreased to 0.43. In all other years, the NSE exceeded 0.7, demonstrating the model’s effectiveness in the Jianyang basin. Furthermore, the multi-year average RE of streamflow depth is 6.7%, with the exception of 1996, when it was 16.1%. For the remaining years, the RE of streamflow depth is below 10%. Overall, these results collectively indicate a positive outcome for the simulated streamflow.

3.3. The Corrected Results of SRC

The response matrix is calculated using the SRC method, and the rank of each year’s response matrix is presented in Table 5. Subsequently, the streamflow is updated by correcting the areal mean rainfall, and the effectiveness of this adjustment is analyzed. Table 6 presents the evaluation coefficients of the simulated streamflow, which were corrected by SRC.
Analysis of the data in Table 5 reveals that the SRC method encountered an ill-conditioned issue with the response matrix in 1993, 1994, and 1995. This issue resulted in the inability to calculate the inverse matrix of the coefficient matrix, thereby hindering the derivation of corrected results for these years. Looking at Table 6, it is apparent that the SRC did not yield satisfactory results. The average NSE over multiple years was −306.02, with negative values for NSE observed each year. The average RE of streamflow depth over multiple years was 596.38%, and the RE for each year exceeded 100%. Furthermore, comparing the MSE, it can be observed that after correction, the average MSE was 7,556,838, whereas before correction, it amounted to 19,747. This indicates that the accuracy of the model’s simulated streamflow is reduced when the matrix becomes ill-conditioned and when there are no constraints on the values of the estimated parameters.

3.4. The Corrected Results of RT-SRC

Based on the computation of the SRC, the response matrix is used to calculate the regression coefficient components for each year. Table 7 presents the selected ridge parameters, while Table 8 shows the evaluation metrics of simulated streamflow, which were corrected by RT-SRC. Additionally, Figure 6 displays the ridge trace plots for each year, along with the corresponding values of the ridge parameter. Only 10 components of the ridge trace are shown for each year in Figure 6.
From the results presented in Table 8, it is evident that the RT-SRC method significantly enhances the accuracy of simulated streamflow. After correction, the average NSE over multiple years is 0.84, with all years except 1998 having a NSE above 0.8. This indicates a substantial enhancement in accuracy compared to the initial simulated streamflow. On the other hand, the average RE of streamflow depth over multiple years is 14.7%, which is higher than the initial simulated streamflow. From the perspective of mean-square error (MSE), the corrected average MSE for multiple years is 10,443. This reduction effect is significant compared to the initial streamflow, indicating that the RT-SRC is effective in correcting the streamflow of the SWAT model.

3.5. The Corrected Results of L-SRC

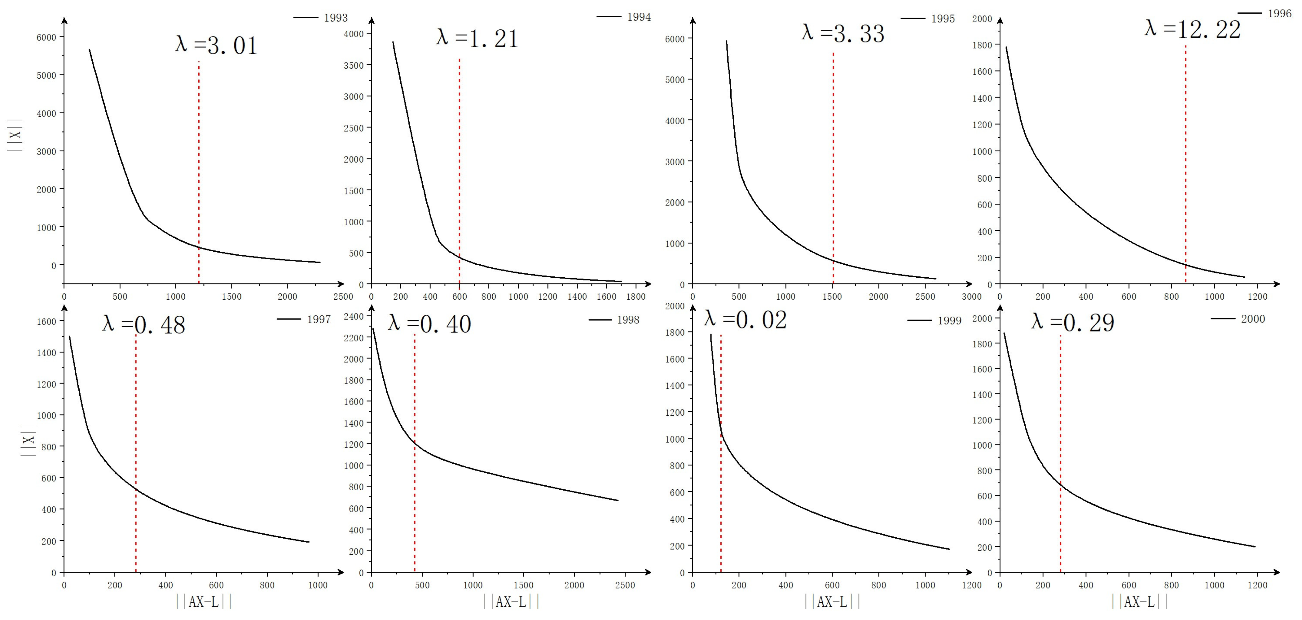
The initial value of the ridge parameter, denoted as λ, is set to 0.001 with an increment of 0.01 during the iteration process. The maximum value of λ is capped at 400. The L-curve method is employed for selecting the optimal ridge parameter. Once determined, the selected ridge parameter is utilized for the SRC. The optimal values of the ridge parameter for each year are presented in Table 9, while Figure 7 illustrates the L-curve plots and their corresponding values of the ridge parameter for each year. The specific evaluation metrics of simulated streamflow after correction can be found in Table 10.
Based on the analysis presented in Table 10, it is evident that the L-curve is not suitable for the SRC. After applying the L-SRC, the average NSE for multiple years is −6.33, the average RE of streamflow depth for multiple years is 140.6%, and the average MSE is 918,811. These results indicate a degradation of the fitting accuracy across all years.

3.6. The Corrected Results of CL-SRC

Using the CL-SRC, with an initial value of λ = 0.01, an iteration step of 0.1, and a maximum value of 400, the L-curve components are computed and fitted. The optimal ridge parameter is selected, as shown in Table 11. Figure 8 illustrates the CL-curve plots along with the corresponding ridge parameter for each year. The specific evaluation metrics of simulated streamflow after correction can be found in Table 12.
Based on the data presented in Table 12, it can be observed that the CL-SRC method has yielded good results for correction. Following the correction, the average NSE for multiple years is 0.88, with each individual year’s NSE surpassing 0.8. This demonstrates a significant improvement in the accuracy of streamflow compared to the uncorrected streamflow. Additionally, the average RE of streamflow depth for multiple years stands at 11.0%, suggesting an enhancement in streamflow error compared to the pre-correction stage. Analyzing the results, it can be inferred that the SWAT model overestimates the simulated base flow in this basin while underestimating the peak flow. When correcting the peak flow, if not properly constrained, it may lead to an overestimation of the base flow and an increase in error in the streamflow depth.
Compared to the L-SRC and the RT-SRC, after being corrected using the CL-SRC method, the multi-year average NSE is 0.88, consistently exceeding 0.8 each year. The multi-year average NSE of the L-SRC is −6.33 after correction, while the multi-year average NSE of the RT-SRC is 0.84 after correction, with NSE consistently above 0.8 each year except for 1998. From the perspective of mean square error, the average MSE after correction of the CL-SRC for multiple years is 15,522, whereas the L-SRC has a value of 918,811. The analysis shows that the ridge parameter selected by the L-curve method is smaller compared to that selected by the CL-curve method. The chosen optimal ridge parameter by L-curve merely represents a mathematical solution, disregarding the parameter range information necessary for estimated parameters. Consequently, this results in unsatisfactory outcomes when applied to SRC, as certain estimated parameters surpass their valid range. On the other hand, the CL-SRC method incorporates this information, resulting in precise identification of the optimal point in practical applications. As a result, the CL-SRC method demonstrates superior corrective effects compared to the L-SRC method. In hydrological models, it is common practice to exclude or restrict unreasonable data before inputting the parameters into the model. However, this consideration is not accounted for in the traditional L-curve. Hence, the introduction of constraints is a reasonable modification to make.
According to Figure 8, the CL-curve exhibits a right-leaning U-shape. As the ridge parameter approaches 0, the change in the estimated parameters is primarily influenced by the response matrix. At the same time, the estimated parameters are constrained by the perturbation of smaller eigenvalues in the matrix, resulting in the involvement of a large number of constraint terms in the calculation of the residual terms. As the ridge parameter gradually increases, the value of the estimated parameters is increasingly determined by the ridge parameter, and the change in the estimated parameters gradually decreases, thereby reducing the influence of the constraint terms on the residual terms. Hence, the residual terms initially decrease as the ridge parameter increases until a turning point is reached. Beyond this point, the residual terms increase as the ridge parameter continues to increase. At this turning point, the optimal ridge parameter for practical applications is obtained. This behavior differs significantly from the traditional L-curve.

4. Discussion

In Section 3.1 of this paper, an ideal model was constructed, and the results showed that SRC can accurately identify errors in rainfall series and improve the accuracy of simulated streamflow by reducing rainfall errors. According to the result of the simulated streamflow in Section 3.2, it can be concluded that SWAT performs well in the Jianyang basin, with only a lower fitting accuracy in 1998. Upon analysis, it is revealed that the anomalous performance in 1998 can be attributed to a severe flood that ravaged southern China. The Jianyang basin, positioned upstream of the Min River in Fujian Province, was significantly impacted by this catastrophic event, resulting in suboptimal simulation outcomes for that particular year.
The SRC method encounters two issues during the computational process: The ill-condition of the designed matrix and the inability to constrain the fluctuation of the estimated parameters. When applied to estimated parameters in hydrological models, this method tends to excessively adjust the estimated parameters, leading to a degradation of the fitting accuracy. In Section 3.3, the aforementioned two issues are encountered, resulting in a phenomenon of decreasing accuracy in simulated streamflow after correction. The phenomenon of reverse correction in the SRC can be examined from three perspectives: (1) The SRC method relies on a first-order Taylor series expansion to approximate the response functions of the input and output. While this approximation works well for linear systems, it leads to larger errors for highly nonlinear systems like the SWAT model. This larger approximation error contributes to the phenomenon of reverse correction. (2) When calculating the response matrix for input and output, errors originating from input data, the model’s structure, and the model’s parameters are introduced. These errors contaminate the response matrix with detrimental information, resulting in significant biases when applying the least squares method for estimation. As a consequence, the SRC method, driven by its aim to maximize the accuracy of the fit, induces oscillations in the estimated parameters, thereby leading to a reduction in the accuracy of the fit. (3) The SRC method does not take into account the changes in the estimated parameters when solving for the values of correction. It focuses solely on achieving better accuracy of the simulated streamflow without considering the impact on the estimated parameters. This approach leads to substantial fluctuations in the estimated parameters, some of which may exceed their valid ranges after correction. By imposing constraints on the estimated parameters within predefined upper and lower bounds and subsequently incorporating them into the SWAT model, a certain degree of parameter information is forfeited, contributing to the phenomenon of reverse correction.
To summarize, the absence of constraints on the changes in estimated parameters is the main factor contributing to reverse correction. In order to address this problem, ridge estimation is introduced, which serves a dual purpose. Firstly, it resolves the issue of the non-invertibility of the response matrix. Secondly, the ridge parameter functions as a penalty function, effectively constraining fluctuations in the estimated parameters, limiting their values to a reasonable range, and enhancing the robustness of the SRC.
In Section 3.4, Section 3.5 and Section 3.6, this paper respectively constructs three methods, namely RT-SRC, L-SRC, and CL-SRC, to update the simulated streamflow. From the analysis of the three methods for selecting the optimal ridge parameter discussed above, it can be concluded that the presence of multicollinearity in the design matrix leads to a large MSE for the least squares estimate, resulting in unstable performance. Although the least squares estimate is unbiased in this case, it does not satisfy the criteria of MSE. However, by introducing ridge estimation, although it becomes a biased estimate, the MSE is smaller compared to the unbiased estimate, making the estimated results more acceptable. When the ridge parameter is set to a large value, the estimates become stable, yet the bias of the ridge estimate becomes substantial, deviating from the unbiased estimate, which is also unreasonable. Therefore, the selection of an appropriate ridge parameter is of utmost importance in ridge estimation. The ridge trace method is used to determine the optimal ridge parameter by evaluating the stability of the components of the regression coefficients. At this point, the application of RT-SRC has demonstrated its effectiveness in enhancing the accuracy of simulated streamflow. Following the correction, there was a notable improvement in the NSE for all years. However, it should be noted that the correction also resulted in an increase in the RE of streamflow depth. This disparity can be attributed to the fact that the SWAT model developed for this basin has a higher base flow and a lower peak flow. These characteristics result in an elevation of average mean rainfall after correction and, subsequently, an increase in the error of streamflow. Also, the ridge trace method currently only allows for identifying the unclear range of the optimal ridge parameter, and selecting the precise ridge parameter is susceptible to subjective interference, resulting in a lack of accuracy in choosing the optimal ridge parameter. Furthermore, if there are numerous components of the regression coefficients, plotting the ridge trace becomes complicated and burdensome. The coupled L-curve and SRC approaches demonstrate unsatisfactory performance in updating streamflow. While the L-curve effectively addresses the problem of an ill-conditioned design matrix, it ultimately diminishes the accuracy of the simulated streamflow after correction. Further examination of the estimated parameters highlights the limitations of the traditional L-curve method. While it considers the fluctuation of the estimated parameters, it also assumes that these parameters should not be excessively large. However, the traditional L-curve solely focuses on selecting the numerically optimal point as the optimal ridge parameter, disregarding the physical significance of the estimated parameters in the actual hydrological model. As a result, the valid range of the estimated parameters is neglected in the computation process, leading some estimated parameters to exceed their valid range when employed in the SRC. Consequently, these factors have resulted in a decrease in the fitting accuracy of simulated streamflow after being updated. The CL-curve, unlike the traditional L-curve, considers the physical significance of estimated parameters. As a result, it accurately identifies the optimal ridge parameter of the model and ensures that the estimated parameters are adjusted within a reasonable range. This approach prevents excessive corrections during the modification of independent variables, which could lead to poor simulation results in the dependent variable. In terms of the system differential response curve, the CL-curve demonstrates superior applicability compared to the traditional L-curve, making it more suitable for practical problems.

5. Conclusions

The main conclusions of this study are as follows:
(1)
The SRC method establishes a functional relationship between rainfall and streamflow through the analysis of the streamflow’s response to minor perturbations in rainfall. By inverting this relationship, it becomes possible to extract error series in rainfall with precision. As a result, updating streamflow by reducing the error in rainfall proves to be both feasible and effective.
(2)
The ridge trace method proves to be effective in the system differential response curve, with a corrected average NSE of 0.84 and an average RE of 14.7% for runoff depth over multiple years. However, the subjective nature of selecting the optimal ridge parameter makes precise localization challenging. Additionally, the complexity of ridge trace plots increases as the number of variables increases.
(3)
The traditional L-curve is not suitable for the system differential response curve as it tends to fall into numerically optimal points, which leads to insufficient constraints on the regularization term and degradation of the fitting accuracy of the model.
(4)
By introducing constrained terms, the constrained L-curve demonstrates better applicability and accuracy in the selection of the ridge parameter. It accurately identifies the actual optimal ridge parameter and effectively limits excessive correction, resulting in an average NSE of 0.88 and an average runoff depth RE of 11.0% over multiple years. Compared to the L-curve, the constrained L-curve exhibits better applicability.

6. Impacts and Limitations

Despite variations in hydrological characteristics and climatic conditions across different regions, the CL-SRC method incorporates the evolving hydrological processes of the specific region and model when calculating the response matrix of independent and dependent variables. This adaptability enables the CL-SRC method to enhance the accuracy of simulated streamflow for diverse models and regions. In subsequent studies, enhancing the precision of simulated streamflow can also result in improved accuracy in simulating pollutants such as sediment, nitrogen, phosphorus, and others.
Moreover, it is important to acknowledge that when employing the CL-SRC method in models like SWAT, which exhibit less pronounced linear characteristics, a progressive approximation principle should be adopted through multiple adjustments. Furthermore, errors can stem from various sources, including the model’s structure and parameters. However, the CL-SRC method assumes that errors solely arise from input variables, such as rainfall. Consequently, this may lead to residual errors even after correction, impeding a complete alignment with the observed streamflow. The aforementioned data further corroborates this assertion.

Author Contributions

The research presented here was carried out in collaboration between all authors. H.X. processed the data and carried out the statistical analysis of results; S.Q., X.Z., P.S., Y.Y., F.L., X.Y. and Q.C. provided sufficient data and many significant suggestions on the methodology and structure of the manuscript. All authors have read and agreed to the published version of the manuscript.

Funding

This research was funded by THE NATIONAL NATURAL SCIENCE FOUNDATION OF CHINA (52179011 and U2243229).

Data Availability Statement

No new data were created or analyzed in this study. Data sharing is not applicable to this article.

Conflicts of Interest

The authors declare no conflict of interest.

References

  1. Bogner, K.; Pappenberger, F. Multiscale error analysis, correction, and predictive uncertainty estimation in a flood forecasting system. Water Resour. Res. 2011, 47. [Google Scholar] [CrossRef]
  2. Si, W.; Bao, W.M.; Wang, H.Y.; Qu, S. The Research of Rainfall Error Correction Based on System Response Curve. Appl. Mech. Mater. 2013, 368, 335–339. [Google Scholar] [CrossRef]
  3. Bao, W.; Si, W.; Qu, S. Flow Updating in Real-Time Flood Forecasting Based on Runoff Correction by a Dynamic System Response Curve. J. Hydrol. Eng. 2014, 19, 747–756. [Google Scholar]
  4. Bao, W.; Li, Q. Estimating Selected Parameters for the XAJ Model under Multicollinearity among Watershed Characteristics. J. Hydrol. Eng. 2012, 17, 118–128. [Google Scholar]
  5. Bao, W.; Zhao, L. Application of Linearized Calibration Method for Vertically Mixed Runoff Model Parameters. J. Hydrol. Eng. 2014, 19, 04014007. [Google Scholar] [CrossRef]
  6. Si, W.; Zhong, H.; Jiang, P.; Bao, W.; Shi, P.; Qu, S. A dynamic information extraction method for areal mean rainfall error and its application in basins of different scales for flood forecasting. Stoch. Environ. Res. Risk Assess. 2021, 35, 255–270. [Google Scholar] [CrossRef]
  7. Sun, Y.; Bao, W.; Jiang, P.; Ji, X.; Gao, S.; Xu, Y.; Zhang, Q.; Si, W. Development of Multivariable Dynamic System Response Curve Method for Real-Time Flood Forecasting Correction. Water Resour. Res. 2018, 54, 4730–4749. [Google Scholar] [CrossRef]
  8. Liu, K.; Bao, W.; Hu, Y.; Sun, Y.; Li, D.; Li, K.; Liang, L. Improvement in Ridge Coefficient Optimization Criterion for Ridge Estimation-Based Dynamic System Response Curve Method in Flood Forecasting. Water 2021, 13, 3483. [Google Scholar] [CrossRef]
  9. Tikhonov, A.N. On solving incorrectly posed problems and method of regularization. DokI. Acad. Nauk USSR 1963, 151, 501–504. [Google Scholar]
  10. Rong, Q.; Shi, J.; Ceglarek, D. Adjusted least squares approach for diagnosis of ill-conditioned compliant assemblies. J. Manuf. Sci. Eng. 2001, 123, 453–461. [Google Scholar] [CrossRef][Green Version]
  11. Salahi, M. Regularization tools and robust optimization for ill-conditioned least squares problem: A computational comparison. Appl. Math. Comput. 2011, 217, 7985–7990. [Google Scholar] [CrossRef]
  12. Tikhonov, A.N.; Arsenin, V.Y. Solutions of Ill-Posed Problems; John Wile and Sons: New York, NY, USA, 1977. [Google Scholar]
  13. Chen, G.Y.; Gan, M.; Chen, C.P.; Li, H.X. A Regularized Variable Projection Algorithm for Separable Nonlinear Least Squares Problems. IEEE Trans. Autom. Control 2018, 64, 526–537. [Google Scholar] [CrossRef]
  14. Novati, P.; Russo, R.M. A GCV based Arnoldi-Tikhonov regularization method. BIT Numer. Math. 2014, 54, 501–521. [Google Scholar] [CrossRef]
  15. Rezghi, M.; Hosseini, S.M. A new variant of L-curve for Tikhonov regularization. J. Comput. Appl. Math. 2009, 231, 914–924. [Google Scholar] [CrossRef]
  16. Antoni, J.; Idier, J.; Bourguignon, S. A Bayesian interpretation of the L-curve. Inverse Probl. 2023, 39, 065016. [Google Scholar] [CrossRef]
  17. Mitrouli, M.; Roupa, P. Estimates for the generalized cross-validation function via an extrapolation and statistical approach. Calcolo 2018, 55, 24. [Google Scholar] [CrossRef]
  18. Hansen, P.C. Analysis of Discrete Ill-Posed Problems by Means of the L-Curve. SIAM Rev. 2006, 34, 561–580. [Google Scholar] [CrossRef]
  19. Hansen, P.C.; O’Leary, D.P. The Use of the L-Curve in the Regularization of Discrete Ill-Posed Problems. SIAM J. Sci. Comput. 2006, 14, 1487–1503. [Google Scholar] [CrossRef]
  20. Calvetti, D.; Reichel, L.; Shuibi, A. L-Curve and Curvature Bounds for Tikhonov Regularization. Numer. Algorithms 2004, 35, 301–314. [Google Scholar] [CrossRef]
  21. Kindermann, S.; Raik, K. A simplified L-curve method as error estimator. arXiv 2019, arXiv:1908.10140. [Google Scholar] [CrossRef]
  22. Anaraki, M.V.; Achite, M.; Farzin, S.; Elshaboury, N.; Al-Ansari, N.; Elkhrachy, I. Modeling of Monthly Rainfall–Runoff Using Various Machine Learning Techniques in Wadi Ouahrane Basin, Algeria. Water 2023, 15, 3576. [Google Scholar] [CrossRef]
  23. Anaraki, M.V.; Farzin, S.; Mousavi, S.F.; Karami, H. Uncertainty analysis of climate change impacts on flood frequency by using hybrid machine learning methods. Water Resour. Manag. 2021, 35, 199–223. [Google Scholar] [CrossRef]
  24. Wang, Y.; Chen, Y.; Lu, W.; Tian, Y. The Hydrological Response to Different Land Use Scenarios in the Minjiang River Basin. J. Soil Water Conserv. 2020, 34, 30–36. [Google Scholar]
  25. Arnold, J.G.; Srinivasan, R.; Muttiah, R.S.; Williams, J.R. Large area hydrologic modeling and assessment, part I: Model development. JAWRA J. Am. Water Resour. Assoc. 1998, 34, 73–79. [Google Scholar] [CrossRef]
  26. Gassman, P.W.; Reyes, M.R.; Green, C.H.; Arnold, J.G. The soil and water assessment tool: Historical development, applications, and future research directions. Trans. ASABE 2007, 50, 1211–1250. [Google Scholar] [CrossRef]
  27. Yang, J.; Reichert, P.; Abbaspour, K.C.; Xia, J.; Yang, H. Comparing uncertainty analysis techniques for a SWAT application to the Chaohe Basin in China. J. Hydrol. 2008, 358, 1–23. [Google Scholar] [CrossRef]
Figure 1. Research Framework.
Figure 1. Research Framework.
Water 15 04205 g001
Figure 2. Drainage system of Jianyang Basin.
Figure 2. Drainage system of Jianyang Basin.
Water 15 04205 g002
Figure 3. Distribution of sub-basins.
Figure 3. Distribution of sub-basins.
Water 15 04205 g003
Figure 4. Comparison of rainfall series.
Figure 4. Comparison of rainfall series.
Water 15 04205 g004
Figure 5. Comparison of streamflow series.
Figure 5. Comparison of streamflow series.
Water 15 04205 g005
Figure 6. The optimal ridge parameters selected by the ridge trace method (Please note that in the legend, X i ( i = 1, …, 10) represent different components of the regression coefficients).
Figure 6. The optimal ridge parameters selected by the ridge trace method (Please note that in the legend, X i ( i = 1, …, 10) represent different components of the regression coefficients).
Water 15 04205 g006
Figure 7. The optimal ridge parameters selected by the L-curve.
Figure 7. The optimal ridge parameters selected by the L-curve.
Water 15 04205 g007
Figure 8. The optimal ridge parameters selected by the CL-curve.
Figure 8. The optimal ridge parameters selected by the CL-curve.
Water 15 04205 g008
Table 1. Resolution and source of research data.
Table 1. Resolution and source of research data.
Type of the DataResolution of the DataSource of the Data
Hydrological dataDaily ScaleHydrological Yearbook
Meteorological DataDaily ScaleChinese Surface Climate Daily Data Set
Data of Land Use 1 km × 1 km2015 Data from the Chinese Academy of Sciences Resource and Environmental Science Data Center
Data of soil1 km × 1 kmSecond National Land Survey Data from the Nanjing Institute of Soil Science
Table 2. Results of parameter calibration in SWAT model.
Table 2. Results of parameter calibration in SWAT model.
ParametersMeaning of ParametersRange of ParametersOptimal Values of Parameters
r__CN2.mgtSCS runoff curve number−0.2~0.20.198700
v__ALPHA_BF.gwBaseflow alpha factor0.0~1.00.949000
v__GW_DELAY.gwGroundwater delay30~450269.656342
v__GWQMN.gwTreshold depth of water in the shallow aquifer required for return flow to occur0.0~500088.500000
v__GW_REVAP.gwGroundwater revap coefficient.0.0~0.20.194300
v__ESCO.hruSoil evaporation compensation factor0.8~1.00.885584
v__CH_N2.rteManning’s n value for the main channel.0.0~0.30.298234
v__CH_K2.rteEffective hydraulic conductivity in main channel alluvium.5.0~130129.000000
r__SOL_AWC(1).solAvailable water capacity of the soil layer.−0.2~0.40.097000
Note: r and v represent two different methods of modifying parameters. r represents multiplying the initial parameters by (1 + r), while v represents directly replacing the initial parameters with the new parameter value. The suffixes, such as mgt and gw et al., indicate in which file the parameter is located.
Table 3. Corrected results of the ideal model.
Table 3. Corrected results of the ideal model.
Scale/Day P o b s (mm) E (mm) P s i m (mm) Q o b s (m³/s) Q s i m (m³/s) E 1 (mm) P c (mm) Q c ( m ³ / s )
113.8−0.213.6125 124 0.2 13.8 125
228.4−2.226.2239 223 2.2 28.4 239
315.70.716.4302 287 −0.7 15.7 302
415.7−0.115.6336 324 0.1 15.7 336
523.73.427.1399 417 −3.4 23.7 399
6220.522.5456 483 −0.5 22.0 456
720.6−1.219.4490 504 1.2 20.6 490
814.9−0.314.6468 474 0.3 14.9 468
925.25.430.6517 567 −5.3 25.3 518
1021.4−0.221.2541 589 0.4 21.6 544
1113.6−112.6498 528 1.0 13.6 500
1225.41.927.3539 575 −1.9 25.4 541
13192.121.1540 585 −2.1 19.0 541
1417.51.218.7521 568 −1.1 17.6 523
15241.525.5554 603 −1.6 23.9 554
Table 4. Evaluation coefficients for simulated streamflow in SWAT model.
Table 4. Evaluation coefficients for simulated streamflow in SWAT model.
Data’s Time19931994199519961997199819992000
NSE0.790.800.720.710.740.430.750.80
RE(%)−1.86.4−4.516.1−5.4−9.2−7.91.9
Table 5. Rank of the response matrix.
Table 5. Rank of the response matrix.
Data’s Time19931994199519961997199819992000
The rank of the response matrix362364363366365365365366
Whether the matrix is full rankNNNYYYYY
Table 6. Evaluation coefficients for simulated streamflow in SRC.
Table 6. Evaluation coefficients for simulated streamflow in SRC.
Basin’s NameData’s TimeNSRE of Streamflow Depth (%)MSE
Q s i m Q S R C Q s i m Q S R C Q s i m Q S R C
Jianyang19930.79/−1.8/24,869/
19940.80/6.4/14,268/
19950.72/−4.5/37,009/
19960.71−221.4316.1783.775215,847,849
19970.74−51.26−5.5452.723,4644,829,644
19980.43−30.42−9.2403.921,84011,784,026
19990.75−1106.98−7.9823.914,2456,376,510
20000.80−120.001.9517.714,7648,946,160
Average value0.71−306.026.7596.3819,7477,556,838
Note: Q s i m represents the initial streamflow simulated by SWAT, while Q S R C represents the streamflow after being corrected by SRC.
Table 7. The optimal ridge parameters selected by the ridge trace method.
Table 7. The optimal ridge parameters selected by the ridge trace method.
Data’s Time19931994199519961997199819992000
Optimal Ridge Parameters708070604070100100
Table 8. Evaluation coefficients for simulated streamflow in RT-SRC.
Table 8. Evaluation coefficients for simulated streamflow in RT-SRC.
Basin’s NameData’s TimeNSERE of Streamflow Depth (%)MSE
Q s i m Q R T S R C Q s i m Q R T S R C Q s i m Q R T S R C
Jianyang19930.790.88−1.821.124,86913,361
19940.800.906.417.414,2686710
19950.720.84−4.518.837,00920,827
19960.710.8216.121.475214608
19970.740.92−5.514.523,4647602
19980.430.54−9.2−3.421,84017,109
19990.750.88−7.99.914,2456830
20000.800.911.911.514,7646503
Average value0.710.846.714.719,74710,443
Note: Q s i m represents the initial streamflow simulated by SWAT, while Q R T S R C represents the streamflow after being corrected by RT-SRC.
Table 9. The optimal ridge parameters selected by the L-curve.
Table 9. The optimal ridge parameters selected by the L-curve.
Data’s Time19931994199519961997199819992000
Ridge Parameters3.01.213.3312.220.480.400.020.29
Table 10. Evaluation coefficients for simulated streamflow in L-SRC.
Table 10. Evaluation coefficients for simulated streamflow in L-SRC.
Basin’s NameData’s TimeNSERE of Runoff Depth (%)MSE
Q s i m Q L S R C Q s i m Q L S R C Q s i m Q L S R C
Jianyang19930.79−1.12−1.8123.724,869250,624
19940.80−0.406.4114.914,268103,147
19950.72−1.65−4.5118.337,009352,420
19960.710.6516.145.475219100
19970.74−1.27−5.5120.823,464209,820
19980.43−9.92−9.2151.221,8404,094,890
19990.75−32.2−7.9292.214,2451,908,889
20000.80−4.701.9158.514,764421,600
Average value0.71−6.336.7140.619,747918,811
Note: Q s i m represents the initial streamflow simulated by SWAT, while Q L S R C represents the streamflow after being corrected by L-SRC.
Table 11. The optimal ridge parameters selected by the CL-curve.
Table 11. The optimal ridge parameters selected by the CL-curve.
Data’s Time19931994199519961997199819992000
Ridge Parameters62.0192.899.659.839.542.390.782.3
Table 12. Evaluation coefficients for simulated streamflow in CL-SRC.
Table 12. Evaluation coefficients for simulated streamflow in CL-SRC.
Basin NameData’s TimeNSERE of Runoff Depth (%)MSE
Q s i m Q C L S R C Q s i m Q C L S R C Q s i m Q C L S R C
Jianyang19930.790.88−1.816.424,86914,349
19940.800.906.412.714,2687123
19950.720.84−4.510.037,00920,891
19960.710.8216.116.775214677
19970.740.94−5.57.023,4645764
19980.430.84−9.2−2.121,84058,536
19990.750.88−7.910.714,2456754
20000.800.921.912.714,7646084
Average value0.710.886.711.019,74715,522
Note: Q s i m represents the initial streamflow simulated by SWAT, while Q C L S R C represents the streamflow after being corrected by CL-SRC.
Disclaimer/Publisher’s Note: The statements, opinions and data contained in all publications are solely those of the individual author(s) and contributor(s) and not of MDPI and/or the editor(s). MDPI and/or the editor(s) disclaim responsibility for any injury to people or property resulting from any ideas, methods, instructions or products referred to in the content.

Share and Cite

MDPI and ACS Style

Xiao, H.; Qu, S.; Zhang, X.; Shi, P.; You, Y.; Li, F.; Yang, X.; Chen, Q. Evaluation and Improvement of the Method for Selecting the Ridge Parameter in System Differential Response Curves. Water 2023, 15, 4205. https://doi.org/10.3390/w15244205

AMA Style

Xiao H, Qu S, Zhang X, Shi P, You Y, Li F, Yang X, Chen Q. Evaluation and Improvement of the Method for Selecting the Ridge Parameter in System Differential Response Curves. Water. 2023; 15(24):4205. https://doi.org/10.3390/w15244205

Chicago/Turabian Style

Xiao, Hao, Simin Qu, Xumin Zhang, Peng Shi, Yang You, Fugang Li, Xiaoqiang Yang, and Qihui Chen. 2023. "Evaluation and Improvement of the Method for Selecting the Ridge Parameter in System Differential Response Curves" Water 15, no. 24: 4205. https://doi.org/10.3390/w15244205

APA Style

Xiao, H., Qu, S., Zhang, X., Shi, P., You, Y., Li, F., Yang, X., & Chen, Q. (2023). Evaluation and Improvement of the Method for Selecting the Ridge Parameter in System Differential Response Curves. Water, 15(24), 4205. https://doi.org/10.3390/w15244205

Note that from the first issue of 2016, this journal uses article numbers instead of page numbers. See further details here.

Article Metrics

Back to TopTop