Abstract
The aim of this study was to determine the biological, morphometric, and shape characteristics of the bivalve Rangia cuneata in the initial phase of colonisation. A total of 504 specimens were caught for the study. Their average length was 31.06 mm (range 12.7–43.2 mm) and weight 6.0 g (0.5–15.3 g). The population was dominated by individuals of 25–30 mm and 30–35 mm in length and the age of 3+ and 4+. The standard major axis regression for measurable traits describing shell cross-section indicate the allometric nature of growth for most parameters. Elongation and convexity indices by age group indicate a change in the shell shape as it becomes more elongated and convex in individuals that have already reached sexual maturity. The collected specimens were of larger sizes compared to other Baltic populations of the species, and similar in size to populations found in the neighboring Pomeranian Bay. The increase in length of R. cuneata in the Oder estuary is smaller compared to the species native sites, probably due to the lower water temperature in the study area. Considering the invasive potential of R. cuneata, it seems necessary to monitor closely its population and distribution in the estuary of Western Baltic.
1. Introduction
The Baltic Sea was formed around a few thousand years ago (since the end of the last ice age) [1], and for this reason, many niches available to macrozoobenthos are empty, which facilitates the entry of new species [2]. According to Colautti and MacIsaac [3], for the new territory to be colonized, a potentially invasive species must go through several stages. First, (i) it needs to be present within the transfer vector and actually be transferred to a new territory, (ii) individuals need to survive in the new environment, and (iii) reproduce. Such species may have a detrimental impact on animal communities present in the study area [4,5]. However, some of them, after a long period of coexistence with species native to the Baltic Sea, find their ecological niche and no longer compete with native species (e.g., barnacle Amphibalanus improvisus, sandpiper Mya arenaria) [6]. In the case of Rangia cuneata, its biology and population structure in the Baltic Sea and its impact on other organisms during the colonisation of new water bodies, are not yet well understood due to the different adaptability to new conditions of this bivalve. Rangia cuneata (G. B. Sowerby I, 1832) (Venerida, Mactridae) is native into the brackish water of the Mexico Gulf, and it extended its range northward to the Chesapeake Bay and to the Hudson River [7]. It first appeared in European waters, in the port of Antwerp, in the early 2000s [8]. According to [9], this species adapts readily to new environmental conditions (tolerating salinities of 0 to 33‰ with water temperature of 1 to 35 °C [10]. In Baltic waters, this species was found in the Russian part of the Vistula Lagoon in 2010 [11] and in the coastal zone of the Gulf of Gdańsk, while in the western part of the Baltic Sea in 2018 [12]. In parallel with the movement of R. cuneata along the Polish coast, an expansion towards the north was recorded. The expansion along the Swedish and Lithuanian coast was noted by [13] demonstrating the presence of R. cuneata in the Bay of Pärnu (in 2013), but Mőller and Kotta [14] recorded it in the same year in the Gulf of Riga.
Morphometric and population analyses for non-native aquatic organisms aim to determine trait variability in relation to growth in length and species adaptation to its new habitat [15]. The variability of body length in relation to age is very important for identifying changes determined by the physiology of aquatic organisms. This type of study has been systematized and implemented in the environment by Ogle [16] who proposed many different experimental set-ups, such as the study of individual growth, length-age relationship, and recruitment. Such studies are also common on the topic of bivalves. For example, analyses of the length, width, and height of the pointed scaphopod Unio tumidus and individual growth examination were carried out [17]. They showed that growth rates can be analyzed on both contemporary bivalves and those from archaeological sites. In the case of R. cuneata, growth, and population structure in its native areas have been provided by [10,18,19], and in the last decade, non-native populations were analyzed to find high variability in individual and population traits under different environmental conditions [11,14,20]. Nevertheless, there is little information in the literature regarding changes in R. cuneata shell shape during the growth period. While taking the above into account and the emergence of the species in the Oder estuary, a study was carried out to determine basic biological characteristics (including growth rate and condition) and morphometric features that define the shape of bivalves during the initial phase of colonisation of R. cuneata in the Oder estuary and to compare these values with those from the literature. Depending on the length of a shell, information about changes in width and height of a shell and elongation and convexity indices can be used to distinguish alien and invasive Rangia cuneata from indigenous species, especially from Limecola balthica. In addition, in different populations of the species, changes of measurable features enable one to trace changes of shape in different environments as a consequence of adaptation to water in the new environment.
2. Materials and Methods
2.1. Material
Between 12 November and 20 December 2022, 504 specimens of Rangia cuneata were collected during sampling of benthic organisms in the Szczecin Lagoon (Oder estuary) (Figure 1) using a Van Veen grab sampler within a sample area of 0.1 m2. Sampling was made at the depth of 3.0–4.0 m on silt and sandy bottom. The specimens were taxonomically identified and transported to the laboratory of the Department of Commodity Science, Quality Assessment, Process Engineering, and Human Nutrition (West Pomeranian University of Technology in Szczecin) for further analysis.
Figure 1.
Location of Rangia cuneata sampling sites in the Oder Estuary.
2.2. Morphology and Species Identification
Clams were measured precisely using calipers. The measurements of clam shells were divided into the following two groups: basic, and additional measurements. The latter is a novelty described in the article as no such measurements of R. cuneata shells have been done previously. Three standard measurements (shell length, height, and width) were made with an accuracy of 0.1 mm [17] (Figure 2), and additional measurements were made according to [21]. In regard to additional measurements, the umbo length (UL), anterior length (AL), posterior length (PL), cardinal tooth length (LCT), anterior adductor muscle scar width (AW), posterior adductor muscle scar width (PW), length from anterior adductor muscle scar to anterior margin (AAAM), and the length from the posterior adductor muscle scar to a posterior margin (PAPM) were measured (Figure 3). Additional measurements were performed on all 504 specimens examined. In addition to the results of the measurements, results were converted relative to the shell length (in %). Regression equations were also calculated for logarithmic (log10) values of morphometric traits and shell length (L) to determine the type of growth (isometric, allometric) [17].
Figure 2.
Standard measurements of the shell: H-maximum height, W-maximum width, L-maximum length [17].
Figure 3.
Additional measurements of the shell and picture of the shell of Rangia cuneata specimens [21], modified by authors (abbreviations used are in the text above): umbo length (UL), anterior length (AL) posterior length (PL), cardinal tooth length (LCT), anterior adductor muscle scar width (AW), posterior adductor muscle scar width (PW), length from anterior adductor muscle scar to anterior margin (AAAM), and length from posterior adductor muscle scar to posterior margin (PAPM).
In addition, following the work by Klishko et al. and Caill-Milly [22,23], an Elongation index and a Convexity index were calculated.
where L—shell length, H—shell height
where W—shell width, and H—shell height in the age group.
Elongation index = (L/H) × 100,
Convexity index = (W/H) × 100,
During the measurements, individual specimens were weighed on a WPS 600/C/2 electronic scale (RadWag, Radom, Poland) to determine their wet weight (g) (including shell, entrails, and soft tissues with an accuracy of 0.01 g). Weighing was performed 15 min into the drying of an open specimen on a paper towel. To determine the condition of bivalves (condition index CI), soft tissues and shells were dried in an oven at 60 °C for 72 h to obtain dry weight [24].
The condition index (CI) is commonly used to assess the health and quality of bivalves [24,25,26], and was calculated according to the following equation:
CI = Tissue dry weight/Shell dry weight × 100
2.3. Age and Growth
Age was determined by counting annual rings on the surface of the shells [17,27] Figure 3). Thin sections were created following standard methods for bivalves [28,29] Each thin section was viewed and interpreted using a dissecting microscope by two individuals. True annuli were differentiated from non annual rings following criteria in [30]. Once the true annuli were agreed upon, we measured the annual growth increments using a linear encoder and digital readout in NIS-elements 3.0 (by Nikon, Tokyo, Japan).
The growth rate of Rangia cuneata was determined according to the von Bertalanffy formula [31]:
where is length (mm) at time t (age in years), is length (mm) at infinity (predicted mean maximum length per population), K is a growth constant that describes the rate at which is attained (mm, year−1), t is age (years), and to is the time at which length = 0.
The parameters in the above equation were calculated in the R programming environment with FSA, nlstools, magrittr, dplyr, packages [16]. Growth rate calculations were based not only on the L parameter but also H and W.
The data obtained were used to calculate the maximum age (Amax that R. cuneata reached in the Oder Estuary and other water bodies, using the equation) [32]:
where is the maximum age and is the maximum length.
Furthermore, to compare the growth in length across different sites we used the following commonly applied indices of growth: the phi-prime index (φ′) and overall growth performance (index P), calculated from the von Bertalanffy growth parameters K and L∞ [33]
φ′ = log10(K) + 2∗log10(L∞)
P = log10(K∗L∞3)
The index is commonly used to assess the health and quality of bivalves [24,25,26].
2.4. Statistical Analysis
All analyses were performed in the R programming environment [34] and Statistica 13.0 (Statsoft Inc. Kraków, Poland). The data were tested for normality and homogeneity of variances with the Kolmogorov–Smirnov test, Levene test, and Breusch-Pagan test for heteroscedasticity, respectively [35]. Growth type analysis (SMA) of bivalve length, width, and height was performed in the SMATR package [36,37], and the inclination of the regression line expressed by the allometric coefficient was used as an indicator of a growth type. FSA, nlstools, magrittr, and dplyr packages were used while developing the von Bertalanffy model (model building—FSA, nlstools, magrittr, dplyr for data preparation and their possible modification). Charts presented in the article were made in R commander, an overlay that provides more flexibility while developing charts.
3. Results
3.1. Length, Weight, and Condition of R. cuneata in the Szczecin Lagoon
The mean length of R. cuneata in the Oder Estuary was 31.06 mm (range 12.7–43.2 mm). When subdivided into length classes every 5 mm, R. cuneata occurred in seven classes, among which individuals of 30–35 mm (53.85%) and 25–30 mm (27.60%) in length predominated (Figure 4).
Figure 4.
Length structure of R. cuneata population in the Oder estuary.
The average weight of the clams was 6.00g, while the range was 0.50–15.30 g.
In the wet weight structure, Figure 5 (16 classes in 1 g increments) shows specimens of R. cuneata in 3 classes with 5.0–8.0 g dominated, accounting for a total of 50.3%.
Figure 5.
Wet weight structure of R. cuneata population.
The condition index (CI) for R. cuneata from the Oder estuary was 3.02 (range 1.16–5.23), and it was noted that the value increased with the increase of shell length. The equation for the dependence of CI on shell length L had the following form: CI = 1.025 + 0.5218∗L[mm]; the correlation coefficient was 0.634; L explains 40.3% of the variation in CI.
3.2. Shell Morphology
Table 1 shows measurable parameters describing the shape of R. cuneata shells. All absolute parameters were characterized by high variability (coefficient of variation CV > 10) resulting from the large spread in the shell size. The same high variability in linear dimensions was recorded for six traits values which were presented as % of shell length (AL, LCT, AW, PW, AAAM, PAMP). Only for the shell height (H), a low coefficient of variation value was obtained (CV < 5).
Table 1.
Mean values of measurable traits (±standard deviation SD) together with a coefficient of variation (CV) for R. cuneata from the Oder estuary.
For R. cuneata, elongation, and convexity indices were 124.87% ± 4.82 and 70.51% ± 4.35, respectively, with CVs of 3.86% and 6.16%, respectively. The values obtained for these indices indicate that the shells of R. cuneata are elongated and convex.
All the measurable traits examined were significantly correlated with shell length, and growth can be considered allometrically positive, except for Log H ~ Log L and Log UL ~ Log L models, where isometric growth was recorded (Table 2). The probable cause of the high values of the slope parameter for Log AAAM ~ Log L and Log PAMP ~ Log L is the rapid increase in the AAAM and PAMP parameters relative to the shell length. The AAAM and PAMP distances characterize, in a sense, the bulging of the shell.
Table 2.
Values of regression equations for R. cuneata shell morphology and p-values of slope tests.
3.3. Age and Structure of Growth
The studied population of R. cuneata consists of individuals from 6 age groups, among which individuals aged 3+ dominate, accounting for 58.42% (Figure 6).
Figure 6.
Age structure of R. cuneata.
To demonstrate changes in shell elongation and convexity with increasing length, elongation, and convexity indices were determined for each age group (Figure 7 and Figure 8). Considering age groups (2+, 3+, and 4+), representative in terms of quantity, changes in these parameters were observed in bivalves from a length of about 25–30 mm. Values of these parameters in bivalves aged 2+ are relatively constant, irrespective of their length, while in older bivalves (of more than 25 mm), elongation and curving of the shell can be noted. The ANCOVA analysis shows statistically significant differences between age classes relative to L: Elongation index (for Elongation index p-value: 0.000000002627, and for age, p-value: 2.2 × 10−16, both values are statistically significant at the alpha level of 0.001).
Figure 7.
Relationship between shell length and elongation index in age groups.
Figure 8.
Relationship between shell length and convexity index in age groups.
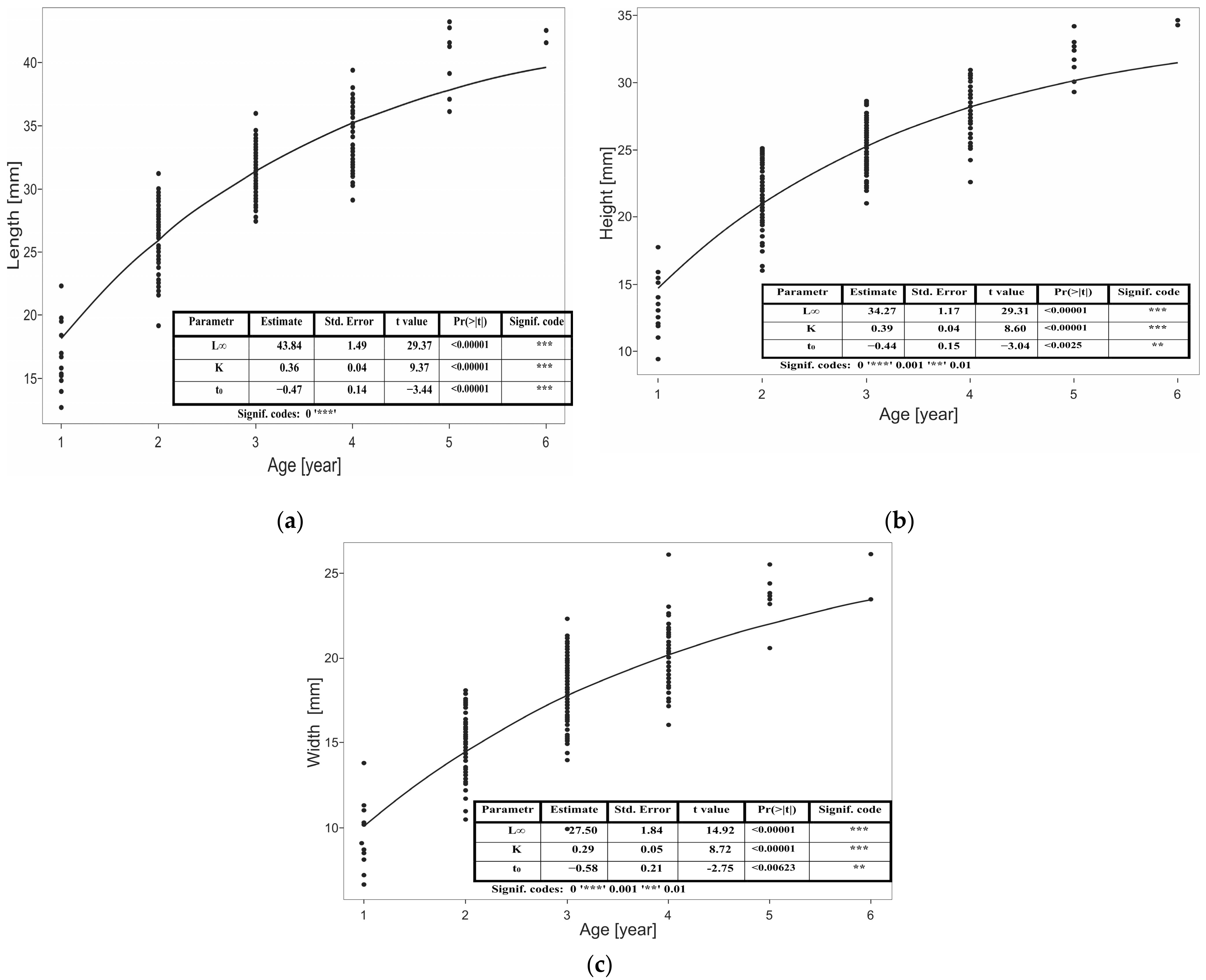
Figure 9 shows the results of the von Bertalanffy model for the increase in length, height, and width of R. cuneata shells. According to the model, the maximum length, height, and width of these bivalves in the Oder estuary are 43.84, 34.27, and 27.50 mm, respectively, with the highest value of growth coefficient (K) for the increase in bivalve height (H). On the other hand, to values ranged from −0.44 to −0.58. It should be emphasized that in all cases the parameters describing the growth of bivalves are statistically significant. However, the longevity (Amax) for the population was 11.74 years. The phi-prime index (ϕ) and the overall growth performance (index P), calculated from the von Bertalanffy growth parameters K and L∞ for the R. cuneata population from the Oder estuary, were 2.840 and 4.482, respectively.
Figure 9.
Growth in length (a), height (b), and width (c) of R. cuneata shells together with growth parameters according to the von Bertalanffy model for R. cuneata in the Oder estuary.
Changes in the annual growth of L, H, and W of R. cuneata indicate rapid growth of the clams in the first 3 years of life, followed by slower growth in subsequent years. The model presented in Figure 9a–c illustrates the growth rate in length classes where many individuals were observed (age groups 1–4), and does not illustrate as clearly the growth rate of individuals from less numerous age classes, which, as in the case of age group 6, are greater than predicted by the model.
4. Discussion
4.1. Morphology
The population of R. cuneata inhabiting the Oder estuary under this study has a mean shell length of 31.06 mm (SD ± 4.12), with a mean wet weight of 6.0 g (SD ± 2.46). The mean sizes of individuals in the Szczecin Lagoon (Oder estuary) are slightly smaller compared to other water bodies where R. cuneata occurs, although their length was similar. For example, the mean and length range for individuals from the native population in Mexico Bay were 34.2 mm and 25.0–47.0 mm, respectively [18], while those from Clear Lake, East Bay, Trinity Bay, and Trinity River Delta (USA) ranged between 30 mm (in East Bay) and 50 mm (in Trinity River Delta [19]. In contrast, surveys of R. cuneata in Galveston Bay (USA) showed similar sizes for the species compared to bivalves from the Oder estuary. Auil-Marshalleck et al. [38] reported a mean length of 30.7 mm, with a range of 26.0–59.0 mm. In contrast, in areas colonized by R. cuneata, the population from the Atlantic coast of France stands out in terms of individual sizes. Faillettaz et al. [20] report that the mean individual length of the species was larger than in the Oder estuary, at 37.26 mm ±8.82 and average weight 21.42 g ± 14.18. Moreover, individuals from the waters of the Pomeranian Bay were slightly longer than those from the Oder estuary where its spread is believed to start. Individuals in this population have an average length of 35.53 mm (±5.71) [12]. However, it should be noted that the length of this species in the Oder estuary was like the length reported by [13] for the Curonian Lagoon (range 2–37 mm), populations from the Bay of Pärnu (range 6–33 mm; [14], and the Vistula Lagoon (13–40 mm; [39,40]. This variability in the bivalve size may be due to different environmental conditions (e.g., water temperature or salinity) in these reservoirs, among other things, as highlighted by [20,41].
Body shape is an important feature for bivalve species identification [42], and in alien species, it may indicate adaptive changes to the new environment [15]. In invertebrates, measurable traits, as well as growth, are parameters that differentiate populations within a species [43,44]. For example, the bivalve Corbicula fluminea in Laguna de Bay (Philippines), [21] showed the presence of two populations differing in shell shape, which was most influenced by NO3−, pH, suspended solids, Cr (VI), and NH4. Unfortunately, no previous studies on shell shape in different populations of R. cuneata have been conducted, and it is difficult to compare our results. It should be emphasized that the increase in shell length for this species (with the exception of shell height (H) and umbo length (UL)) is allometric as in other bivalves [17]. Therefore, comparisons of the measurable traits between populations of this species are appropriate if the collected material shows a similar range of length and age.
The mean elongation index and convexity index for R. cuneata were 124.87% of shell length (102.00–144.44%) and 70.51% (40.74–87.80%), respectively. These indices characterize the elongation and bulging of bivalve shells. For example, in species with elongated shells, the elongation index ranges from 182.87% (for Unio crassus; [45]) to 205.77% (for Unio tumidus; [17]), while the convexity index is 65.91% and 77.99% [46]. In bivalve species having shells with a large curvature, the range index for elongation is from 117.18% (Cerastoderma glaucum) to119.59% (Pisidium casertanum), and the convexity index 83.32% (C. glaucum) and 73.68% (for P. casertanum), respectively [47,48]. The values of these indices for R. cuneata from the Oder estuary are similar to bivalve species with higher elongation, e.g., C. glaucum [47] and Pisidium casertanum [48]. As shown in our study, the elongation and convexity indices change with increasing shell length across age groups. The change in both indices is most significant in individuals around 25–30 mm in length. It is likely that the elongation and bulging of bivalve shells are influenced by physiological processes that occur in the period of sexual maturity. In the area of natural occurrence Cain and Fairbanks [49,50] indicate that R. cuneata reaches maturity at 2–3 years and the length is about 25–30 mm. In the case of Mytilus edulis, this phenomenon has been confirmed by [51].
4.2. Age Structure, Condition and Growth of Rangia cuneata
The age structure of R. cuneata populations in different areas varies and depends on environmental factors [52]. In newly colonized areas, it also depends on the timing [14]. In the mid-Atlantic region, ref. [53] found a dominance of these bivalves at the age of 1+ and 2+. In the Galveston Bay and Trinity River, ref. [54] recorded dominance of individuals aged 3+ and 4+. The analyses of the age structure in the Oder estuary showed a clear (over 50%) dominance of individuals aged 3+. A similar age structure was observed in other non-native populations of R. cuneata in the Baltic Sea. For example, the Pomeranian Bay is dominated by individuals aged 4+ (52.50%) as well as 3+ (17.28%) and 5+ (17.53%) [12].
However, in some areas, older individuals dominate in the natural range. For example, according to [41], clams aged 4+ (29.21%) and 5+ (36.70%) were dominant in some sections of the Neches River (USA), and even in the same river above the dam, a small group of individuals aged 8+ was recorded as dominating in the area (64.63%). Moreover, [10] found the oldest individuals of 8 years, with their shell length of about 75 mm in the Trent River, USA. A probable reason for the different age structure, especially the lack of older individuals in European populations compared to regions of natural occurrence, is water temperature [11,41,55]. According to [8], the range of 6.4–23.5 °C is considered optimal for the species. In Central Europe, water temperature at R. cuneata sites in winter falls below 4 °C, which increases mortality in the population [11,13]. It should be mentioned that water temperatures in the Szczecin Lagoon range from 0.5 °C (in winter) to 26 °C (in summer), with an annual average of approximately 11 °C [56]. Table 3 shows the average temperatures of water in the Szczecin Lagoon in the vicinity of Stepnica, Nowe Warpno, and Wolin from 12 November to 20 December 2020–2022. Except for 12–18 November 2022, the analysis of 2022 data in Table 4 did not show differences in average temperatures of water in various parts of the Szczecin Lagoon.
Table 3.
Comparison of water temperatures from 12 November to 20 December in 2020–2022 [from: www.temperaturamorza.pl, access date: 21 August 2023].
Table 4.
Comparison of von Bertalanffy equation parameters for different native and non-native populations of R. cuneata.
The main reason for low temperature-induced mortality is the reduction of filtration efficiency as temperature decreases [55].
Bivalve growth rates and conditions depend on environmental conditions and physiological factors, such as temperature, salinity, food ability, tides, day/night cycles, and biological clocks [57]. The rapid growth of shells and the good condition of the bivalves occur in particular at optimal temperatures and abundant food supply [57]. The CI value for Rangia cuneata found in the Oder estuary is 3.02, which is lower than the values reported for the southern Baltic and the Pomeranian Bay (4.33) [12]. The difference in the condition of these bivalves between the Szczecin Lagoon and the Pomeranian Bay is probably due to the adaptation to the new habitat of the Oder estuary which has different hydrology and water physicochemical parameters.
Rangia cuneata is a thermophilic species that for optimal growth requires water temperatures above 6.4 °C [8] or even above 10 °C [11]. Nevertheless, it can be found in waters where temperature ranges from 1° to 35 °C [10,49]. In water bodies of higher temperatures, the species usually reaches a higher condition index (CI). For example, Wong et al. [58] report that for populations inhabiting different parts of the Barataria Estuary in Louisiana, the USA, the CI ranges from 3.3 in Lac des Allemands to 6.3 in Lake Cataouatche, the reservoir with the highest mean water temperatures. In contrast, mortality of the species increases at suboptimal temperatures [11]. For example, Solovjova et al. [13] observed high mortality in the bivalves of the Curonian Lagoon at water temperatures below 5 °C. Thus, it seems that this parameter, together with the availability and quantity of food, is also decisive as regards the growth of these bivalves. This is especially true since R. cuneata has a high tolerance to salinity [52]. Wolfe & Petteway [10] indicate that the range of salinity in which the Atlantic rangia may occur is between 0 and 33‰. The higher water temperature in reservoirs of the natural distribution (Delaware and Trend rivers) compared to non-native populations (Oder estuary, English Channel) indirectly explains the higher growth parameters ϕ′ and P of the different populations (Table 4). As shown by the regression analysis, a 1 °C increase in temperature results in an increase in ϕ′ and P by 0.1 and 0.11, respectively (Figure 10).
Figure 10.
Relationship between the growth indexes (φ′ and P) of Rangia cuneata from Oder estuary and water temperature.
The von Bertalanffy growth parameters for R. cuneata, i.e., growth constant (K), maximum predicted length (L∞), and longevity (Amax), were within the previously reported range for this species from other regions of distribution (Table 4). Apart from the obvious volatility caused by water temperature, the reason for major differences, in particular, the average maximum value L∞ between data from particular stations may be attributed to the population size (this Study—504 specimens, Faillettaz et al. [20]—121 specimens, Fritz et al. [53]—503 specimens and Ortega-Salas [18]—4514 specimens).
Among clams, long-living species mainly belong to the Margaritiferidae family (28 to 190 years), while short-living species with a life span under 14 years belong to Anodontini [31] and Unionini [59]. Considering the data in Table 4, R. cuneata can be considered a short-living species.
According to Wolnomiejski and Witek [60], the Szczecin Lagoon connects with the Pomeranian Bay, a part of the Baltic Sea, through 3 straits: Peene, Świna and Dziwna. Based on data from 1998–2002, the average annual outflow of water from the Oder River to the Szczecin Lagoon is 18.38 km3. The largest outflow of water from the Szczecin Lagoon to the Pomeranian Bay takes place through the Świna Strait (78%), followed by Peene (14%) and Dziwna (8%). According to Wielgat (2002) [61], sea waters penetrate up to 100 km, and occasionally up to 160 km upstream from the mouth of the Oder. Thus, it can be considered that they penetrate into every part of the Szczecin Lagoon.
5. Conclusions
The Morphometric analysis of Rangia cuneata in the initial phase of colonizing the waters of the Szczecin Lagoon revealed significant differences compared to other habitats of this invasive species. Both in the entire sample and in individual age groups, slightly shorter lengths of individual specimens were observed, which may be due, among other things, to different environmental conditions present in these reservoirs, especially the lower water temperature compared to other water bodies.
The elongation and convexity indices of the bivalve shells were 124.87% and 70.51%, respectively, and they changed with increasing shell length in each age group and are similar to bivalve species with greater convexity. The largest changes in both indices were recorded in individuals around 25–30 mm in length, and the effect was most likely related to the reaching of their sexual maturity.
As in other non-native populations of R. cuneata in the Baltic Sea, analyses of the age structure in the Oder estuary showed a clear dominance of individuals in the age group 3+, while the condition index was relatively low at 3.02 (±0.879). The differences between habitats may be due to the adaptation of the species to its new habitat of the Oder estuary which has different hydrology, water salinity, and lower water temperature.
The studies presented have increased knowledge of the R. cuneata invasive species and its distribution in the new habitat of the Oder estuary. They also indicate the need for further exploratory analyses in the context of environmental and climate change to determine the scale of expansion of this invasive species.
The impact of this species on ecosystems in the southern estuaries of the Baltic Sea still remains unknown. On the one hand, in new areas, R. cuneata may compete with native species for food and substrate, and on the other hand, it may be food for benthic fish.
Due to the biological diversity between R. cuneata populations living in different conditions and its fairly recent spread in estuaries of the Baltic Sea, the study on the species should enable to determine the role of the clam in the new aquatic environment.
Author Contributions
Conceptualization, P.C., A.B. and J.D.; methodology, J.D., P.C. and A.B.; software, J.D.; validation, P.C., A.B., B.W. and J.D.; formal analysis, J.D. and P.C.; investigation, J.D. and P.C.; resources, P.C., A.B. and J.D.; data curation, J.D.; writing—original draft preparation, P.C. and J.D.; writing—review and editing, A.B. and B.W.; visualization, J.D.; supervision, P.C., A.B. and B.W.; project administration, P.C.; funding acquisition, B.W. All authors have read and agreed to the published version of the manuscript.
Funding
The project was co-financed under the EU Operational Programme “Fisheries and the Sea 2014–2020”, Specific objective 1.3. Contract number 00001-6520.3-OR1600003/19/20.
Data Availability Statement
Data sharing is not applicable to this article.
Acknowledgments
The authors are thankful to Paweł Kuźmicki for technical assistance during the collecting clams, Anna Łabęcka for the verification of all clams specimens, and Derek H. Oggle for his help in the interpretation of growth rate assessment using the von Bertalanffy method.
Conflicts of Interest
The authors declare no conflict of interest.
References
- Szaniawska, A. Baltic Crustaceans, 1st ed.; Springer Nature: Cham, Switzerland, 2018; p. 199. [Google Scholar]
- Ojaveer, H.; Olenin, S.; Narscius, A.; Florin, A.-B.; Ezhova, E.; Gollasch, S.; Jensen, K.R.; Lehtiniemi, M.; Minchin, D.; Normant-Saremba, M.; et al. Dynamics of biological invasions and pathways over time: A case study of a temperate coastal sea. Biol. Invasions 2017, 19, 799–813. [Google Scholar] [CrossRef]
- Colautti, R.J.; MacIsaac, H.J. A neutral terminology to define invasive species. Divers. Distrib. 2004, 10, 135–141. [Google Scholar] [CrossRef]
- Holt, B.G.; Lessard, J.-F.; Borregaard, M.K.; Fritz, S.A.; Araujo, M.B.; Dimitrov, D.; Fabre, P.-H.; Graham, C.H.; Graves, G.R.; Jønsson, K.A.; et al. An Update of Wallace’s Zoogeographic Regions of the World. Science 2013, 339, 74–78. [Google Scholar] [CrossRef] [PubMed]
- Ojaveer, H.; Galil, B.S.; Campbell, M.L.; Carlton, J.T.; Canning-Code, J.; Cook, E.J.; Daidson, A.D.; Hewitt, C.L.; Jelmert, A.; Marchini, A.; et al. Classification of Non-Indigenous Species Based on Their Impacts: Considerations for Application in Marine Management. PLoS Biol 2015, 13, e1002130. [Google Scholar] [CrossRef] [PubMed]
- Janas, U.; Kendzierska, H. Benthic non-indigenous species among indigenous species and their habitat preferences in Puck Bay (southern Baltic Sea). Oceanologia 2014, 56, 603–628. [Google Scholar] [CrossRef]
- Carlton, J.T. Introduced Marine and Estuarine Molluscs of North America: An End-of-the-20th-Century Perspective. J. Shellfish Res. 1992, 11, 489–505. [Google Scholar]
- Verween, A.; Kerckhof, F.; Vincx, M.; Degraer, S. First European record of the invasive brackish water clam Rangia cuneata (G.B. Sowerby I, 1831) (Mollusca: Bivalvia). Aquat Invasions 2006, 1, 198–203. [Google Scholar] [CrossRef]
- Guillen, G.; Gordon, A.; Oakley, J.; Mokrech, M. Trinity River Delta and Upper Trinity Bay Rangia Population Assessment, 1st ed.; EIH Report #16-001; National Wildlife Federation: Austin, TX, USA, 2016; p. 58. [Google Scholar]
- Wolfe, D.A.; Petteway, E.N. Growth of Rangia cuneata Gray. Chesapeake Sci. 1968, 9, 99–102. [Google Scholar] [CrossRef]
- Kornijów, R.; Pawlikowski, K.; Drgas, A.; Rolbiecki, L.; Rychter, A. Mortality of post-settlement clams Rangia cuneata (Mactridae, Bivalvia) at an early stage of invasion in the Vistula Lagoon (South Baltic) due to biotic and abiotic factors. Hydrobiologia 2018, 811, 207–219. [Google Scholar] [CrossRef]
- Panicz, R.; Eljasik, P.; Wrzecionkowski, K.; Śmietana, N.; Biernaczyk, M. First report and molecular analysis of population stability of the invasive Gulf wedge clam, Rangia cuneata (G.B. Sowerby I, 1832) in the Pomeranian Bay (Southern Baltic Sea). Eur. Zool. J. 2022, 89, 568–578. [Google Scholar] [CrossRef]
- Solovjova, S.; Samuilovienė, A.; Srėbalienė, G.; Minchin, D.; Olenin, S. Limited success of the non-indigenous bivalve clam Rangia cuneata in the Lithuanian coastal waters of the Baltic Sea and the Curonian Lagoon. Oceanologia 2019, 61, 341–349. [Google Scholar] [CrossRef]
- Mőller, T.; Kotta, J. Rangia cuneata (G. B. Sowerby I, 1831) continues its invasion in the Baltic Sea: The first record in Pärnu Bay, Estonia. Bioinvasions Rec. 2017, 6, 167–172. [Google Scholar] [CrossRef]
- Czerniejewski, P. Adaptacje Biologiczne Inwazyjnych Gatunków Krabów, Eriocheir sinensis (H. Milne Edwards, 1853) i Rhithropanopeus Harrisii (Gould, 1841) w Środowisku Estuarium Odry, 1st ed.; ZAPOL: Szczecin, Poland, 2013; p. 132. [Google Scholar]
- Ogle, D.H. Introductory Fisheries Analyses with R, 1st ed.; Chapmann & Hall: New York, NY, USA, 2016; p. 338. [Google Scholar]
- Czerniejewski, P.; Dąbrowski, J.; Wawrzyniak, W.; Brysiewicz, A.; Surma, O. Shell morphology, growth and longevity of Unio tumidus (Bivalvia: Unionidae) from an archaeological site and contemporary population inhabiting the Oder estuary. Hydrobiologia 2021, 848, 3555–3569. [Google Scholar] [CrossRef]
- Ortega-Salas, A.A. An estimation to calculate the rate of growth of the clam, Rangia cuneata, at the southeast of México. Rev. Soc. Mex. Hist. Nat. 1992, 43, 109–113. [Google Scholar]
- Windham, R.; Nunnally, A.P.; Quigg, A. Investigating Rangia cuneata clams as ecological response bioindicators to three decades of variable freshwater inflows. J. Coast. Res. 2019, 35, 1260–1270. [Google Scholar] [CrossRef]
- Faillettaz, R.; Roger, C.; Mathieu, M.; Robin, J.P.; Costil, K. Establishment and population features of the non-native Atlantic rangia, Rangia cuneata (Mollusca: Bivalvia), in northwestern France. Aquat. Invasions 2020, 15, 367–381. [Google Scholar] [CrossRef]
- Elvira, M.V.; de Chavez, E.R.; Faustino-Eslava, D.V.; Espaldon, M.V.; Cui, L.E. Morphological Changes in Corbicula fluminea (Muller 1774) Shells from Laguna de Bay, Philippines Due to Elevated Nitrate and Hexavalent Chromium. J. Environ. Sci. Manag. 2019, 1, 40–57. [Google Scholar] [CrossRef]
- Klishko, O.K.; Lopes-Lima, M.; Bogan, A.E.; Matafonov, D.V.; Froufe, E. Morphological and molecular analyses of Anodontinae species (Bivalvia, Unionidae) of Lake Baikal and Transbaikalia. PLoS ONE 2018, 13, e0194944. [Google Scholar] [CrossRef]
- Caill-Milly, N.; Bru, N.; Mahé, K.; Borie, C.; D’Amico, F. Shell Shape Analysis and Spatial Allometry Patterns of Manila Clam (Ruditapes philippinarum) in a Mesotidal Coastal Lagoon. J. Mar. Biol. 2012, 2012, 281206. [Google Scholar] [CrossRef]
- Peharda, M.; Żupan, I.; Bavcevic, L.; Frankic, A.; Klanjscek, T. Growth and condition index of mussel Mytilus galloprovincialis in experimental integrated aquaculture. Aquac. Res. 2007, 38, 1714–1720. [Google Scholar] [CrossRef]
- Lucas, A.; Beninger, P.G. The Use of Physiological Condition Indices in Marine Bivalve Aquaculture. Aquaculture 1985, 44, 187–200. [Google Scholar] [CrossRef]
- Yildiz, H.; Vural, P.; Acarli, S. Condition Index, Meat Yield and Biochemical Composition of Mediterranean Mussel (Mytilus galloprovincialis Lamarck, 1819) from Canakkale Strait, Turkey. Alinteri J. Agric. Sci. 2021, 36, 308–314. [Google Scholar] [CrossRef]
- Johnsson, A.; Bertilsson, A.; Mats, R. Spatial distribution and age structure of the freshwater unionid mussels Anodonta anatina and Unio tumidus: Implications for environmental monitoring. Hydrobiologia 2013, 711, 61–70. [Google Scholar]
- Clark II, G.R. The study of shell structure and growth lines using thin sections. In Skeletal Growth in Aquatic Organisms, 1st ed.; Rhoads, D.C., Lutz, R.A., Eds.; Springer Science: New York, NY, USA, 1980; pp. 603–606. [Google Scholar]
- Neves, R.J.; Moyer, S.N. Evaluation of Techniques for Age Determination of Freshwater Mussels (Unionidae). Am. Malacol. Bull. 1988, 6, 179–188. [Google Scholar]
- Haag, W.R.; Commens-Carson, A.M. Testing the assumption of annual shell ring deposition in freshwater mussels. Can. J. Fish. Aquat. Sci. 2008, 65, 493–508. [Google Scholar] [CrossRef]
- Haag, W.R.; Rypel, A.L. Growth and longevity in freshwater mussels: Evolutionary and conservation implications. Biol. Rev. 2011, 86, 225–247. [Google Scholar] [CrossRef]
- Ziuganov, V.; Zotin, A.; Nezlin, L.; Tretiakov, V. The Freshwater Pearl Mussels and Their Relationship with Salmonid Fish, 1st ed.; VNIRO Publishing House: Moscow, Russia, 1994; p. 104. [Google Scholar]
- Moura, P.; Garaulet, L.L.; Vasconcelos, P.; Chainho, P.; Costa, J.L.; Gaspar, M.B. Age and growth of highly successful invasive species: The Manila clam Ruditapes philippinarum (Adams & Reeve) in the Tagus Estuary (Portugal). Aquat. Invasions 2017, 12, 133–146. [Google Scholar]
- R Core Team. R: A Language and Environment for Statistical Computing; R Foundation for Statistical Computing: Vienna, Austria, 2018; Available online: https://www.gbif.org/tool/81287/r-a-language-and-environment-for-statistical-computing (accessed on 27 December 2022).
- Lewis, N.D. 100 Statistical Tests in R. Easy R Series, 1st ed.; Heather Hills Press: Bradenton, FL, USA, 2013; p. 332. [Google Scholar]
- Warton, D.J.; Duursma, R.A.; Falster, D.S.; Taskinen, S. Smatr 3–an R package for estimation and interference about allometric lines. Methods Ecol. Evol. 2012, 3, 257–259. [Google Scholar] [CrossRef]
- Wu, X.; Ali, I.; Iqbal, A.; Ullach, S.; Youan, P.; Xu, A.; Xie, D.; Zhou, Y.; Long, X.; Zhang, H.; et al. Allometric Characteristics of Rice Seedlings under Different Transplanted Hills and Row Spacing: Impacts on Nitrogen Use Efficiency and Yield. Plants 2022, 11, 2508. [Google Scholar] [CrossRef]
- Auil-Marshalleck, S.; Robertson, C.; Sunley, A.; Robinson, L. Preliminary Review of Life History and Abundance of the Atlantic Rangia (Rangia cuneata) with Implications for Management in Galveston Bay, Texas, 1st ed.; Management Data Series No. 171; Texas Parks & Wildlife: Austin, TX, USA, 2000; p. 31. [Google Scholar]
- Warzocha, J.; Drgas, A. The Alien Gulf Wedge Clam (Rangia cuneata G. B. Sowerby I, 1831) (Mollusca: Bivalvia: Mactridae) In The Polish Part Of The Vistula Lagoon (SE. Baltic). Folia Malacol. 2013, 21, 291–292. [Google Scholar] [CrossRef]
- Ezhova, E.E. Novyjv selenets v Baltiyskye Morye–mollusc Rangia cuneata (Bivalvia: Mactridae). Marine. Ecol. J. 2012, 11, 29–32. [Google Scholar]
- Christensen, A.B.; Pyne, M.I. The effect of a permanent saltwater barrier on Rangia cuneata, an indicator species of brackish conditions. Estuar. Coast. Shelf. S. 2020, 243, 106800. [Google Scholar] [CrossRef]
- Piechocki, A.; Wawrzyniak-Wydrowska, B. Guide to Freshwater and Marine Mollusca of Poland, 1st ed.; Bogucki Scientific Press: Poznań, Poland, 2016; p. 279. [Google Scholar]
- Gardner, J.P.A.; Thompson, R.J. Influence of genotype and geography on shell shape and morphometric trait variation among North Atlantic blue mussel (Mytilus spp.) populations. Biol. J. Linn. Soc. 2009, 96, 875–897. [Google Scholar] [CrossRef]
- Katolikova, M.; Khaitov, V.; Väinölä, R.; Gantsevich, M.; Strelkov, P. Genetic, Ecological and Morphological Distinctness of the Blue Mussels Mytilus trossulus Gould and Medulis L. in the White Sea. PLoS ONE 2016, 11, e0152963. [Google Scholar] [CrossRef]
- Helama, S.; Valovirta, I.; Nielsen, J.K. Growth characteristics of the endangered thick-shelled river mussel (Unio crassus) near the northern limit of its natural range. Aquat. Conserv. Mar. Freshw. 2017, 27, 293–568. [Google Scholar] [CrossRef]
- Zając, K.; Zając, T.; Ćmiel, A. What can we infer from the shell dimensions of the thick-shelled river mussel Unio crassus? Hydrobiologia 2018, 810, 415–431. [Google Scholar] [CrossRef]
- Bensaad-Bendjedid, L.; Belhaouses, S.; Kerdoussi, A.; Djebbari, N.; Tahri, M.; Bensouilah, M. Age structure, growth and shell form of Cerastoderma glaucum (Bivalvia: Cardiidae) from El Mellah lagoon, Algeria. AACL Bioflux 2018, 11, 894–904. [Google Scholar]
- Rassam, H.; Ghamizi, M.; Benaissa, H.; Clewing, C.; Albrecht, C. The fingernail clams (Bivalvia: Veneroida: Sphaeriidae) of Morocco: Diversity, distribution and conservation status. Biodivers. Data J. 2021, 9, e73346. [Google Scholar] [CrossRef]
- Cain, T.D. The Combined Effects of Temperature and Salinity on Embryos and Larvae of the Clam Rangia cuneata. Mar. Biol. 1973, 21, 1–6. [Google Scholar] [CrossRef]
- Fairbanks, L.D. Biodemographic studies on the clam Rangia cuneata Gray. Tulane Stud. Zool. Bot. 1963, 10, 3–47. [Google Scholar]
- Mills, S.C.; Cote, M.I. Sex-related differences in growth and morphology of blue mussels. J. Mar. Biol. Assoc. UK 2003, 83, 1053–1057. [Google Scholar] [CrossRef]
- Tuszer-Kunc, J.; Normandt-Salenda, M.; Rychter, A. The combination of low salinity and low temperature can limit the colonisation success of the non-native bivalve Rangia cuneata in brackish Baltic waters. J. Exp. Mar. Biol. Ecol. 2020, 524, 151228. [Google Scholar] [CrossRef]
- Fritz, L.W.; Calvo, L.M.; Wargo, L.; Lutz, R.A. Seasonal changes in shell microstructure of some common bivalve molluscs in the mid-Atlantic region. J. Shellfish. Res. 2022, 41, 1–59. [Google Scholar] [CrossRef]
- Omar, M.E.A.A. Modelling the Growth of Atlantic Rangia, Rangia cuneata, in Response to Freshwater Inflow, Trinity River Delta, Galveston Bay. Master’s Thesis, University of Houston-Clear Lake, Houston, TX, USA, 2020. [Google Scholar]
- Kittner, C.; Riisgård, H.U. Effect of temperature on filtration rate in the mussel Mytilus edulis: No evidence for -temperature compensation. Mar. Ecol. Prog. Ser 2005, 305, 147–152. [Google Scholar] [CrossRef]
- Radziejewska, T.; Schernewski, G. The Szczecin (Oder) Lagoon. In Ecology of Baltic Coastal Waters, 1st ed.; Schiewer, U., Ed.; Springer: Berlin/Heidelberg, Germany, 2008; pp. 115–129. [Google Scholar]
- Schőne, B.R.; Dunca, E.; Mutvei, H.; Norlund, U. A 217- year record of summer air temperature reconstructed from freshwater pearl mussels (M. margaritifera, Sweden). Quat. Sci. Rev. 2004, 23, 1803–1816. [Google Scholar] [CrossRef]
- Wong, W.H.; Rabalais, N.N.; Turner, R.E. Abundance and ecological significance of the clam Rangia cuneata (Sowerby, 1831) in the upper Barataria Estuary (Louisiana, USA). Hydrobiologia 2010, 651, 305–315. [Google Scholar] [CrossRef]
- Abraszewska-Kowalczyk, A. Małże skójkowate (Bivalvia, Unionidae) dorzecza Pilicy. Folia Malacol. 2002, 10, 92–174. [Google Scholar]
- Wolnomiejski, W.; Witek, Z. The Szczecin Lagoon Ecosystem: The Biotic Community of the Great Lagoon and Its Food Web Model, 1st ed.; Versita: London, UK, 2013; p. 293. [Google Scholar]
- Wielgat, M. Compilation of Nutrient Loads for the Szczecin Lagoon (Southern Baltic). In Baltic Coastal Ecosystems. Structure, Function and Coastal Zone Management, 1st ed.; Schernewski, G., Schiewer, U., Eds.; Springer: Berlin, Germany, 2002; pp. 75–91. [Google Scholar]
Disclaimer/Publisher’s Note: The statements, opinions and data contained in all publications are solely those of the individual author(s) and contributor(s) and not of MDPI and/or the editor(s). MDPI and/or the editor(s) disclaim responsibility for any injury to people or property resulting from any ideas, methods, instructions or products referred to in the content. |
© 2023 by the authors. Licensee MDPI, Basel, Switzerland. This article is an open access article distributed under the terms and conditions of the Creative Commons Attribution (CC BY) license (https://creativecommons.org/licenses/by/4.0/).









