Surface Condensation Water under Salix psammophila Is the Main Water Source in Addition to Rainfall in the Kubuqi Desert
Abstract
:1. Introduction
2. Materials and Methods
2.1. Study Area
2.2. Research Methodology
2.2.1. Experimental Design
2.2.2. Measurement Method
2.2.3. Meteorological Factors
2.2.4. Analysis Methods
3. Results
3.1. Daily Variations in Condensation Water
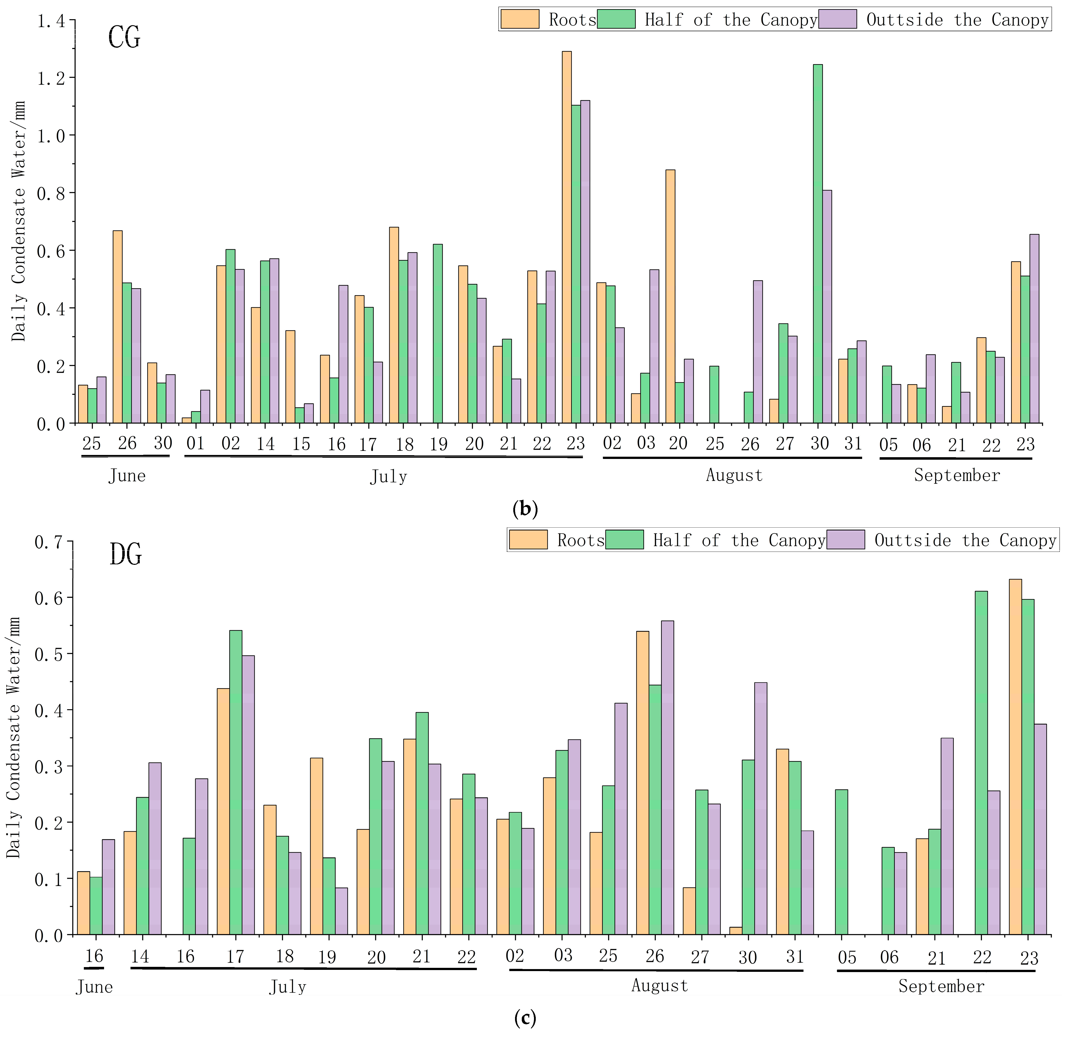
3.2. Variations in Characteristics of Condensation Water at Different Locations under S. psammophila
3.3. Relationship between Condensation Water and Meteorological Factors
4. Discussion
4.1. Effect of S. psammophila on Surface Condensation Water
4.2. Influence of Irrigation Volume on Surface Condensation Water
4.3. Effect of Meteorological Factors on Surface Condensation Water
5. Conclusions
- (1)
- From June to September 2022, the total amount of surface condensation water under S. psammophila was 45.40 mm, and the total precipitation for the same period was 224.96 mm, with the total condensation water accounting for 20.18% of the rainfall for the same period. During the test period, the highest amount of condensation water was recorded in September (0.38 mm), whereas the lowest was recorded in June (0.26 mm).
- (2)
- The presence of S. psammophila considerably reduced the amount of surface condensation water, with the average daily condensation water in the different irrigation groups (AG, CG, DG, and NG) being 49%, 35%, 51%, and 50% lower than that of the bare ground control group, respectively. The amount of surface condensation water tended to increase from the roots of S. psammophila to half of the canopy to the outside of the canopy, from the inside to the outside. S. psammophila blocked solar radiation and reduced the Ws, which decreased the near-surface temperature, intercepted some water vapor from reaching the ground, and decreased the intensity of soil condensation and evaporation.
- (3)
- The reason for the small difference in the amount of surface condensation water under S. psammophila under different irrigation amounts was that drip irrigation delivered most of the water to the deep soil, and the water was fully absorbed by the plant roots.
- (4)
- The amount of surface condensation water was highly significantly correlated with the 24 h maximum TD and the 24 h maximum RHD, where the temperature determines the ability of air to hold water vapor. Higher RH provided more sources of water vapor for condensation that was significantly negatively correlated with Ws; wind disperses the water vapor in the air when the Ws is too high, reducing the amount of condensation water produced from the source. Condensation was significantly negatively correlated with the air-water VPD. There is a significant negative relationship with the air-water VPD; the greater the air-water vapor deficit, the less water vapor in the air, which reduces the amount of condensation water.
Author Contributions
Funding
Institutional Review Board Statement
Informed Consent Statement
Data Availability Statement
Conflicts of Interest
References
- Guo, Z.; Liu, H. Condensated Water and Its Ecological Environment Effect in Northwestern of China. In Proceedings of the Fourth National Symposium for Young Geologists, Beijing, China, 26–28 August 2023; pp. 10–1999. [Google Scholar]
- Li, X. Effects of gravel and sand mulches on dew deposition in the semiarid region of China. J. Hydrol. 2002, 260, 151–160. [Google Scholar] [CrossRef]
- Agam, N.; Berliner, P.R. Dew formation and water vapor adsorption in semi-arid environments—A review. J. Arid Environ. 2005, 65, 572–590. [Google Scholar] [CrossRef]
- LI, H.; Zhang, G.; Wang, L.; Zhang, X. Comparison of Soil Absorbtion of Condensation Water among Three Underlying Surfaces in Mu Us Sandland. J. Arid. Land Resour. Environ. 2009, 23, 122–125. [Google Scholar]
- Bai, A.; Yu, J.; Bian, C.; Zhang, H.; Han, M.; Gao, Z. Research Progress on Soil Absorption and Condensation Water. J. Inn. Mong. For. Sci. Technol. 2010, 36, 50–53. [Google Scholar]
- Richards, K. Observation and simulation of dew in rural and urban environments. Prog. Phys. Geogr. 2004, 28, 76–94. [Google Scholar] [CrossRef]
- Agam, N.; Berliner, P.R. Diurnal Water Content Changes in the Bare Soil of a Coastal Desert. J. Hydrometeorol. 2004, 5, 922–933. [Google Scholar] [CrossRef]
- Liu, L.-C.; Li, S.-Z.; Duan, Z.-H.; Wang, T.; Zhang, Z.-S.; Li, X.-R. Effects of microbiotic crusts on dew deposition in the restored vegetation area at Shapotou, northwest China. J. Hydrol. 2005, 328, 331–337. [Google Scholar] [CrossRef]
- Shachak, M.; Leeper, A.; Degen, A.A. Effect of population density on water influx and distribution in the desert snail Trochoidea seetzenii. Écoscience 2002, 9, 287–292. [Google Scholar] [CrossRef]
- Ran, B.; Zhang, Z.; Yang, J.; Xu, D.; Gong, C. Formation regularity of dew by Artemisia lordosis in the Mu Us sandy desert and its impact on water balance. Trans. Chin. Soc. Agric. Eng. 2023, 39, 111–119. [Google Scholar]
- Chen, X.; Wu, Y.; Hai, C. Effects of surface dew under different types of sand-fixing shrubs in the southern margin of Mu UsSandy Land, Northern China. J. Desert Res. 2023, 43, 83–95. [Google Scholar]
- Jia, Z.; Chen, D.; Wang, Z.; Liu, P.; Liu, P.; Yao, C. Characteristics and source of soil condensation water in Guanzhong Plain, China. Chin. J. Appl. Ecol. 2023, 34, 369–376. [Google Scholar]
- Shi, W.; Li, B.; Liu, J.; Zhuo, Z.; Chen, X. Formation characteristics and factors effecting of condensation water in surface soil in Hoh Xil area. Arid. Land Geogr. 2022, 45, 1729–1739. [Google Scholar]
- Si, Q.; Li, J.; Cui, W.; Yang, F. Characteristics and source of soil condensation in desert dune in winter. J. Arid Land Resour. Environ. 2021, 35, 44–51. [Google Scholar]
- Li, C. Study on the mechanism of evaporation and condensation process in alpine meadows. Village Technol. 2021, 12. [Google Scholar] [CrossRef]
- Cheng, L.; Jia, X.; Wu, B.; Li, Y.; Zhao, X.; Zhou, H. Effects of biological soil crusts on the characteristics of hygroscopic and condensate water deposition in alpine sandy lands. Acta Ecol. Sin. 2018, 38, 5037–5046. [Google Scholar]
- Chen, R.; Wei, W.; Wang, M.; Mamtimin, A. Factors Effecting the Total Amount of Condensation Water Formation on Topsoil in the Gurbantunggunt Desert. Desert Oasis Meteorol. 2015, 9, 1–5. [Google Scholar]
- Pan, Y.; Wang, X.; Zhang, Y.; Hu, R. Influence of Topography on Formation Characteristics of Hygroscopic and Condensate Water in Shapotou, Ningxia, China. J. Desert Res. 2014, 34, 118–124. [Google Scholar]
- Guo, B.; Chen, Y.; Hao, X.; Li, B.; Cao, Z. Characteristics of Soil Condensation Water and lts Influencing Factors on Different Underlying Surfacesin the Lower Reaches of the Tarim River. J. Nat. Resour. 2011, 26, 1963–1974. [Google Scholar]
- Liu, X.; He, Y.; Zhao, X.; Li, Y.; Li, Y.; Li, Y.; Li, S. Soil condensation water in different habitats in Horgin sandy land: An experimental study. Chin. J. Appl. Ecol. 2009, 20, 1918–1924. [Google Scholar]
- Xiao, H.; Meissner, R.; Seeger, J.; Rupp, H.; Borg, H. Effect of vegetation type and growth stage on dewfall, determined with high precision weighing lysimeters at a site in northern Germany. J. Hydrol. 2009, 377, 43–49. [Google Scholar] [CrossRef]
- Yang, J.; Sun, G.; Wang, H.; Ding, J.; Sun, K.; Alatengsuhe. Numerical Simulation of Soil Water Movement in the Kubuqi Sandy Land. For. Sci. Technol. 2023, 48, 28–32. [Google Scholar]
- Ma, F.; Zhu, X.; Fu, S.; Luo, G. A Comparative Study of Soil Evaporativeness Measured with the Sealed and Not Sealed MicroLysimeter Placed in the Typical Black Soil Area of Northeast China. J. Irrig. Drain. 2016, 35, 7–11. [Google Scholar]
- Ji, C.; Zhu, Z.; Xu, Z. Data processing of high precision weighing lysimeter. J. Beijing Norm. Univ. 2016, 52, 628–634. [Google Scholar]
- Pan, Y.X.; Wang, X.P. Effects of shrub species and microhabitats on dew formation in a revegetation-stabilized desert ecosystem in Shapotou, northern China. J. Arid. Land 2014, 6, 389–399. [Google Scholar] [CrossRef]
- Zhang, Y.-F.; Chen, L.; Liu, X.-D.; Yang, X.-G.; Li, X.-B. Spatial Characteristics of Soil Moisture of 2 Communities in Desert Grassland. Southwest China J. Agric. Sci. 2017, 30, 836–841. [Google Scholar]
- Kobayashi, T.; He, W.; Nagai, H. Mechanisms of evaporation from soil with a dry surface. Hydrol. Process. 1998, 12, 2185–2191. [Google Scholar] [CrossRef]
- Yang, L. Forming process of soil condensation water and its response to environmental factors in the Mu Us desert. Doctoral Thesis, Beijing Forestry University, Beijing, China, 2016. [Google Scholar]









| Group | Number | Plant Height/m | Maximum Canopy/m | Minimum Canopy/m | Vegetation Coverage/% |
|---|---|---|---|---|---|
| AG | 1 | 2.64 | 2.93 | 2.96 | 15 |
| 4 | 2.48 | 3.84 | 3.35 | 28 | |
| 7 | 2.47 | 3,35 | 3.09 | 26 | |
| CG | 2 | 2.93 | 3.96 | 3.82 | 32 |
| 8 | 2.55 | 3.64 | 2.98 | 19 | |
| 10 | 2.28 | 3.51 | 3.36 | 21 | |
| DG | 3 | 2.38 | 4.19 | 4.04 | 23 |
| 6 | 2.69 | 3.19 | 2.98 | 19 | |
| 9 | 2.92 | 2.98 | 2.98 | 18 | |
| NG | 11 | 2.55 | 3.43 | 3.19 | 21 |
| 12 | 2.47 | 3.53 | 2.75 | 27 | |
| 13 | 2.93 | 2.74 | 2.67 | 12 |
| Freedom | F | P | |
|---|---|---|---|
| Irrigation level | 3 | 0.198 | 0.898 |
| location | 2 | 0.003 | 0.997 |
| Irrigation × location | 6 | 0.014 | 1.000 |
| T | NT | TD | RH | NRH | RHD | Ws | VPD | |
|---|---|---|---|---|---|---|---|---|
| correlation coefficient | −0.062 | −0.070 | 0.189 ** | −0.068 | −0.045 | 0.212 ** | −0.077 * | −0.096 ** |
| Environmental Factor | Roots | Half of the Canopy | Outside the Canopy |
|---|---|---|---|
| T | −0.119 | −0.049 | −0.050 |
| NT | −0.141 | −0.050 | −0.063 |
| TD | 0.203 * | 0.195 ** | 0.176 ** |
| RH | −0.173 | −0.040 | −0.052 |
| NRH | −0.125 | −0.031 | −0.025 |
| RHD | 0.181 * | 0.243 ** | 0.187 ** |
| Ws | −0.059 | −0.094 | −0.064 |
| VPD | −0.198 * | −0.066 | −0.087 |
| Environmental Factor | Irrigation Group | AG | CG | DG | NG | CK |
|---|---|---|---|---|---|---|
| T | −0.072 * | −0.057 | 0.091 | −0.288 ** | −0.254 ** | −0.516 ** |
| NT | −0.079 * | −0.057 | 0.051 | −0.288 ** | −0.210 ** | −0.594 ** |
| TD | 0.190 ** | 0.161 * | 0.168 * | 0.285 ** | 0.213 ** | 0.234 |
| RH | −0.063 | −0.050 | −0.119 | 0.027 | −0.044 | 0.312 |
| NRH | −0.036 | −0.053 | −0.109 | 0.133 | −0.014 | 0.476 ** |
| RHD | 0.212 ** | 0.299 ** | 0.105 | 0.352 ** | 0.251 ** | 0.309 |
| Ws | −0.079 * | −0.161 * | −0.090 | −0.166 * | 0.012 | −0.032 |
| VPD | −0.102 ** | −0.042 | −0.017 | −0.223 ** | −0.274 ** | −0.376 * |
| T | NT | TD | RH | NRH | RHD | Ws | VPD | |
|---|---|---|---|---|---|---|---|---|
| contribution value | 0.0149 | 0.0105 | 0.0816 | 0.0506 | 0.0424 | 0.0155 | 0.5194 | 0.2537 |
Disclaimer/Publisher’s Note: The statements, opinions and data contained in all publications are solely those of the individual author(s) and contributor(s) and not of MDPI and/or the editor(s). MDPI and/or the editor(s) disclaim responsibility for any injury to people or property resulting from any ideas, methods, instructions or products referred to in the content. |
© 2023 by the authors. Licensee MDPI, Basel, Switzerland. This article is an open access article distributed under the terms and conditions of the Creative Commons Attribution (CC BY) license (https://creativecommons.org/licenses/by/4.0/).
Share and Cite
Wang, H.; Zhang, J.; Cao, Y.; Wang, H.; Liu, X.; Sun, X.; Sun, K.; Li, Y.; Pei, Z. Surface Condensation Water under Salix psammophila Is the Main Water Source in Addition to Rainfall in the Kubuqi Desert. Water 2023, 15, 3098. https://doi.org/10.3390/w15173098
Wang H, Zhang J, Cao Y, Wang H, Liu X, Sun X, Sun K, Li Y, Pei Z. Surface Condensation Water under Salix psammophila Is the Main Water Source in Addition to Rainfall in the Kubuqi Desert. Water. 2023; 15(17):3098. https://doi.org/10.3390/w15173098
Chicago/Turabian StyleWang, Haichao, Junyao Zhang, Yanwei Cao, Han Wang, Xiaomin Liu, Xiaotian Sun, Kai Sun, Ying Li, and Zhiyong Pei. 2023. "Surface Condensation Water under Salix psammophila Is the Main Water Source in Addition to Rainfall in the Kubuqi Desert" Water 15, no. 17: 3098. https://doi.org/10.3390/w15173098
APA StyleWang, H., Zhang, J., Cao, Y., Wang, H., Liu, X., Sun, X., Sun, K., Li, Y., & Pei, Z. (2023). Surface Condensation Water under Salix psammophila Is the Main Water Source in Addition to Rainfall in the Kubuqi Desert. Water, 15(17), 3098. https://doi.org/10.3390/w15173098
