Multifrequency Downstream Hydraulic Geometry of Alluvial Mountain Rivers Located on the Qinghai–Tibet Plateau
Abstract
1. Introduction
2. Data and Methods
2.1. Data and Study Area
2.1.1. Study Area
2.1.2. Data Collection
2.1.3. Data Screening
2.2. Estimation of Discharges Based on Different Frequencies and Bankfull Conditions
2.2.1. Estimation of Discharges Based on Different Frequencies/Recurrence Intervals
2.2.2. Estimation of Bankfull Discharge
2.3. Calculation of DHGs under Different Discharge Frequencies and Bankfull Conditions
3. MFDHG Relations
3.1. From DHG to MFDHG
3.2. Two Presentations of MFDHG
- (1)
- MFDHG expressed as log-linear relations between DHG coefficients and exponents
- (2)
- MFDHG expressed as congruent hydraulics
4. Results
4.1. DHGs under Bankfull Conditions
4.2. MFDHG under Different Scenarios
4.2.1. MFDHG along a River Reach
4.2.2. MFDHG for Different Reaches Located in the Same River Basin
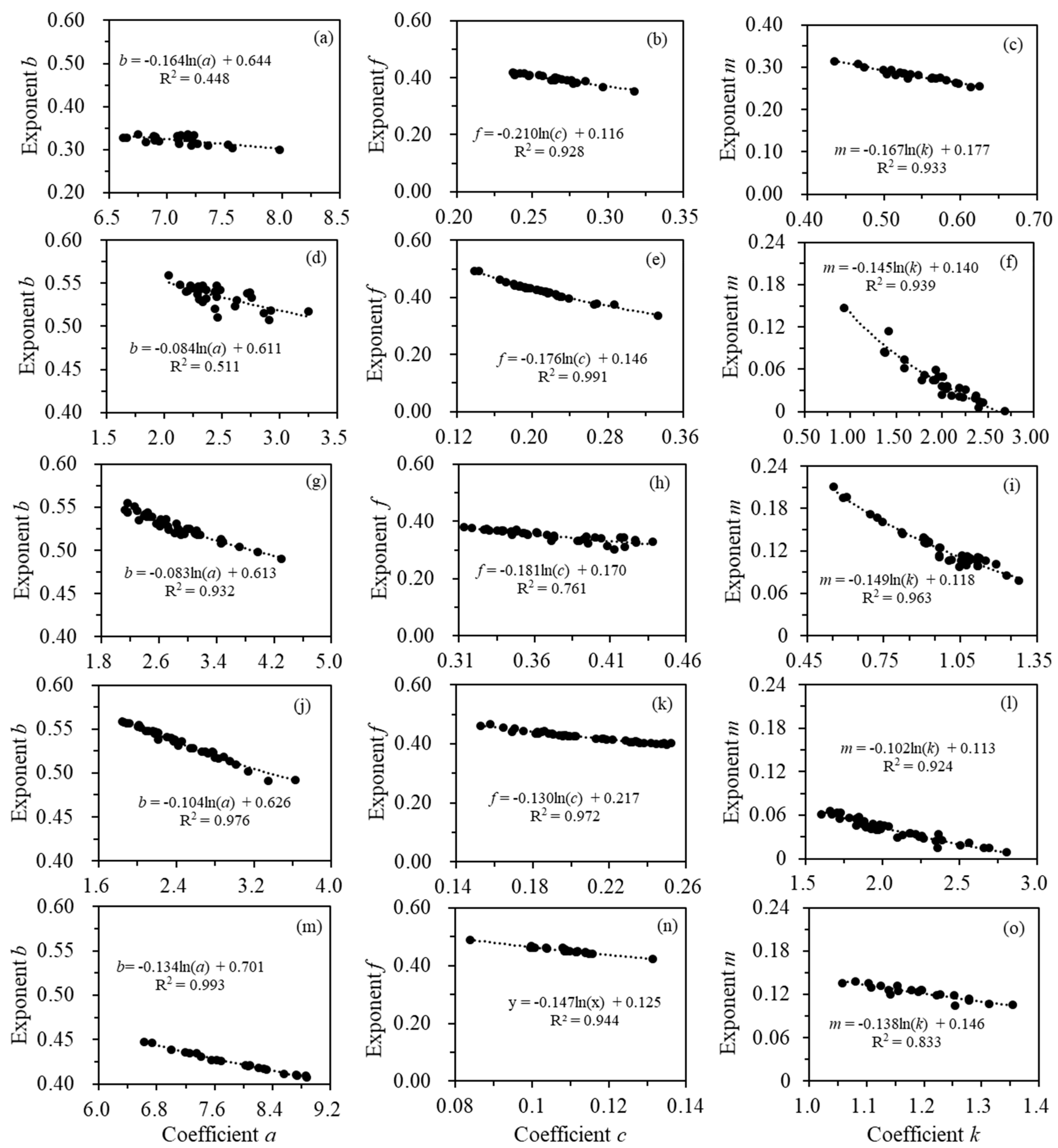
4.3. Coordinated Variations in DHG Coefficients and Exponents
5. Discussion
5.1. Explanations of Congruent Hydraulics
- (1)
- Congruent discharge frequency (Pc): for cross sections along a reach that share a Pc (e.g., 2.5 years recurrence interval discharge), Q and the corresponding W, H, and V increase with increasing drainage area and confluence of tributaries (Figure 6a). This scenario can be described with DHG.
- (2)
- Congruent discharge (QcW/QcH/QcV): for cross sections along a reach that share a Qc, the value should be equal to both the discharge of one extreme flood event of the uppermost cross section and the discharge of one extreme low water event of the lowermost cross section. The probability of Qc occurrence increases first and then decreases for cross sections along the reach (Figure 6b).
- (3)
- Congruent average flow depth (Hc): for cross sections along a reach that share an Hc, river widths increase with the gradual change in cross sectional morphology from narrow V-shaped to wide U-shaped along the reach (Figure 6c).
- (4)
- Congruent river width (Wc): for cross sections along a reach that share a Wc, average flow depths decrease along the reach (Figure 6d).
5.2. Significance of MFDHG for the HG System
- (1)
- DHG quantifies the spatial distributions of channel morphology shaped by channel-forming discharge (bankfull discharge). It reflects variations in hydraulic variable-discharge relations downstream of a reach or at different reaches located in the same river basin. Multiscale variations in river morphology in the spatial dimension can be depicted by DHG, but the time dimension has only one scale.
- (2)
- AHG quantifies the morphological characteristics of a single cross section under different discharge frequencies. It reflects variations in hydraulic variable-discharge relations for individual cross sections and depicts multiscale changes in cross sectional morphology in the temporal dimension, but the spatial dimension has only one scale.
- (3)
- AMHG relates the AHG of different cross sections along a river reach and extends the one-dimensional AHG in space. A multidimensional spatiotemporal connection between the geometric parameters of the cross section and discharge is reflected.
- (4)
- MFDHG extends the multiscale spatial attributes of DHG in the temporal dimension and contributes to achieving the same goal of relating river morphological parameters and discharges in both spatial and temporal dimensions.
5.3. Differences and Relations between AMHG and MFDHG
- (1)
- Focus: AMHG examines the relationships between AHG coefficients and exponents, whereas MFDHG explores the relationships between DHG coefficients and exponents.
- (2)
- Spatial and temporal extension: AMHG extends the one-dimensional AHG concept to spatial scales by considering different cross sections within a river. In contrast, MFDHG extends the one-dimensional DHG concept to temporal scales by capturing variations in hydraulic properties over different discharge frequencies.
- (3)
- Sequence of consideration: MFDHG and AMHG differ in the order of considering cross sections and discharge frequencies. MFDHG first considers spatial properties (cross sections) and then incorporates temporal properties (discharge frequencies), while AMHG follows the opposite order.
6. Summary and Conclusions
- (1)
- DHG, as a frequency-specific expression of hydraulics and channel geometry, appeared widely in the six major rivers and their tributaries that originate from the QTP.
- (2)
- The paired coefficients and exponents of DHG (a and b, c and f, and k and m) from multiple discharge frequencies along a given river reach or different reaches in the same river basin are functionally related to one another, exhibiting a log-linear relationship. This is the mathematical expression of MFDHG.
- (3)
- MFDHG, a mathematical construct arising from the use of power laws at a certain discharge frequency, is a novel geomorphic phenomenon after the discovery of AMHG. DHG rating curves reliably intersect at congruent Qc, Wc, Hc, and Vc, indicating both geometric variability (to ensure rating curve intersection) and hydraulic self-similarity of river channels. This is the geomorphological expression of MFDHG.
- (4)
- With increasing discharge frequency, the DHG coefficients and exponents showed opposite variations if both passed the M–K test at the 90% confidence level. Consistent variations in DHG coefficients and exponents with discharge frequency contributed to greater MFDHG strength.
- (5)
- Although the empirical conclusion seemingly refutes previous decades of research defining DHGs as temporally independent, MFDHG relates individual DHGs under different discharge frequencies and contributes to the completeness of the HG system in terms of the spatiotemporal dimensions. This is a large step in refining the common features of DHG and will contribute to establishing an overall HG relationship considering multiple spatiotemporal dimensions across river reaches.
- (6)
- Bed slope and bed material are important parameters that are adjusted based upon the incoming water and sediment. The future collection of additional data on bed slope, bed roughness, and materials in the study area using a combination of remote sensing, in situ measurements, and deep learning methods is proposed. These data can then be incorporated into the proposed MFDHG equations, further improving their accuracy and reliability.
Supplementary Materials
Author Contributions
Funding
Data Availability Statement
Conflicts of Interest
References
- Eaton, B. Hydraulic geometry: Empirical investigations and theoretical approaches. In Treatise on Geomorphology; Academic Press: San Diego, CA, USA, 2013; pp. 313–329. [Google Scholar]
- Lindley, E.S. Regime channels. Proc. Punjab Eng. Congr. 1919, 7, 63–74. [Google Scholar]
- Leopold, L.B.; Maddock, T. The Hydraulic Geometry of Stream Channels and Some Physiographic Implications; U.S. Geological Survey Professional Paper 252; U.S. Government Printing Office: Washington, DC, USA, 1953.
- Park, C.C. Worldwide variations in hydraulic geometry exponents of stream channels: An analysis and some observations. J. Hydrol. 1977, 33, 133–146. [Google Scholar] [CrossRef]
- Lee, J.; Julien, P.Y. Downstream hydraulic geometry of alluvial channels. J. Hydraul. Eng. 2006, 132, 1347–1352. [Google Scholar] [CrossRef]
- Qin, C.; Wu, B.; Wang, Y.; Fu, X.; Xue, Y.; Li, D.; Li, M.; Zhang, Y. Dynamic variability of at-a-station hydraulic-geometry for mountain rivers in the southeast Qinghai-Tibet Plateau: The cases of Yalong River and upper Jinsha River. Catena 2020, 194, 104723. [Google Scholar] [CrossRef]
- Qin, C.; Wu, B.S.; Wang, G.Q.; Wang, G. Spatial distributions of At-Many-Stations Hydraulic Geometry for mountain rivers originated from the Qinghai-Tibet Plateau. Water Resour. Res. 2021, 57, e2020WR029090. [Google Scholar] [CrossRef]
- Stall, J.B.; Yang, C.T. Hydraulic Geometry of 12 Selected Stream Systems of the United States; Research Report No. 32; University of Illiniois Water Resources Research Center: Urbana, IL, USA, 1970. [Google Scholar]
- Dingman, S.L.; Sharma, K.P. Statistical development and validation of discharge equations for natural channels. J. Hydrol. 1997, 199, 13–35. [Google Scholar] [CrossRef]
- Parker, G.; Wilcock, P.R.; Paola, C.; Dietrich, W.E.; Pitlick, J. Physical basis for quasi-universal relations describing bankfull hydraulic geometry of single-thread gravel bed rivers. J. Geophys. Res. 2007, 112, F4005. [Google Scholar] [CrossRef]
- Parker, G.; Wilkerson, G.V. Physical basis for quasi-universal relationships describing bankfull hydraulic geometry of sand-bed rivers. J. Hydraul. Eng. 2011, 137, 739–753. [Google Scholar]
- Gleason, C.J.; Smith, L.C. Toward global mapping of river discharge using satellite images and at-many-stations hydraulic geometry-supporting data. Proc. Natl. Acad. Sci. USA 2014, 111, 4788–4791. [Google Scholar] [CrossRef]
- Pelletier, J.D. Controls on the hydraulic geometry of alluvial channels: Bank stability to gravitational failure, the critical-flow hypothesis, and conservation of mass and energy. Earth Surf. Dyn. 2021, 9, 379–391. [Google Scholar] [CrossRef]
- Song, X.; Zhong, D.; Wang, G.; Li, X. Stochastic evolution of hydraulic geometry relations in the lower Yellow River of China under environmental uncertainties. Int. J. Sediment Res. 2020, 35, 328–346. [Google Scholar] [CrossRef]
- Andreadis, K.M.; Schumann, G.J.P.; Pavelsky, T. A simple global river bankfull width and depth database. Water Resour. Res. 2013, 49, 7164–7168. [Google Scholar] [CrossRef]
- Bieger, K.; Rathjens, H.; Allen, P.M.; Arnold, J.G. Development and evaluation of bankfull hydraulic geometry relationships for the physiographic regions of the United States. JAWRA J. Am. Water Resour. Assoc. 2015, 51, 842–858. [Google Scholar] [CrossRef]
- Rosgen, D.L. A classification of natural rivers. Catena 1994, 22, 169–199. [Google Scholar] [CrossRef]
- Knighton, D. Fluvial Forms and Processes; Arnold: London, UK, 1998. [Google Scholar]
- Wu, B.; Wang, G.; Xia, J.; Fu, X.; Zhang, Y. Response of bankfull discharge to discharge and sediment load in the Lower Yellow River. Geomorphology 2008, 100, 366–376. [Google Scholar] [CrossRef]
- Hagemann, M.W.; Gleason, C.J.; Durand, M.T. BAM: Bayesian AMHG-Manning inference of discharge using remotely sensed stream width, slope, and height. Water Resour. Res. 2017, 53, 9692–9707. [Google Scholar] [CrossRef]
- Raymond, P.A.; Zappa, C.J.; Butman, D.; Bott, T.L.; Potter, J.; Mulholland, P.; Laursen, A.E.; McDowell, W.H.; Newbold, D. Scaling the gas transfer velocity and hydraulic geometry in streams and small rivers. Limnol. Oceanogr. Fluids Environ. 2012, 2, 41–53. [Google Scholar] [CrossRef]
- Raymond, P.A.; Hartmann, J.; Lauerwald, R.; Sobek, S.; McDonald, C.; Hoover, M.; Butman, D.; Striegl, R.; Mayorga, E.; Humborg, C.; et al. Global carbon dioxide emissions from inland waters. Nature 2013, 503, 355–359. [Google Scholar] [CrossRef]
- Tabata, K.K.; Hickin, E.J. Interchannel hydraulic geometry and hydraulic efficiency of the anastomosing Columbia River, southeastern British Columbia, Canada. Earth Surf. Process. Landf. 2003, 28, 837–852. [Google Scholar] [CrossRef]
- Rhodes, D.D. The b-f-m diagram: Graphical representation and interpretation of at-a-station hydraulic geometry. Am. J. Sci. 1977, 277, 73–96. [Google Scholar] [CrossRef]
- Singh, K.P.; Broeren, S.M. Hydraulic geometry of streams and stream habitat assessment. J. Water Resour. Plan. Manag. 1989, 115, 583–597. [Google Scholar] [CrossRef]
- Orlandini, S.; Rosso, R. Parameterization of stream channel geometry in the distributed modelling of catchment dynamics. Water Resour. Res. 1998, 34, 1971–1985. [Google Scholar] [CrossRef]
- Gleason, C.J.; Wang, J. Theoretical basis for at-many-stations hydraulic geometry. Geophys. Res. Lett. 2015, 42, 7107–7114. [Google Scholar] [CrossRef]
- Gleason, C.J. Hydraulic geometry of natural rivers: A review and future directions. Prog. Phys. Geogr. Earth Environ. 2015, 39, 337–360. [Google Scholar] [CrossRef]
- Knighton, A.D. Variation in width-discharge relation and some implications for hydraulic geometry. Geol. Soc. Am. Bull. 1974, 85, 1069–1076. [Google Scholar] [CrossRef]
- Chien, N.; Zhang, R.; Zhou, Z. Fluvial Processes; Science Press: Beijing, China, 1987. [Google Scholar]
- Wolman, M.G. The Natural Channel of Brandywine Creeck Pennsylvania; U.S. Geological Survey Professional Paper; USGS: Reston, VA, USA, 1955; Volume 271, 56p.
- Bray, D.I. Representative discharges for gravel-bed rivers in Alberta. Canada. J. Hydrol. 1975, 27, 143–153. [Google Scholar] [CrossRef]
- Lewis, L.A. Some fluvial geomorphic characteristics of the Manati Basin, Puerto Rico. Ann. Assoc. Am. Geogr. 1969, 59, 280–293. [Google Scholar] [CrossRef]
- Langbein, W.B. Geometry of river channels: Closure of discussion. J. Hydraul. Div. Am. Soc. Civ. Eng. 1965, 91, 297–313. [Google Scholar]
- Parker, G. Hydraulic geometry of active gravel rivers. J. Hydraul. Div. Am. Soc. Civ. Eng. 1979, 105, 1185–1201. [Google Scholar] [CrossRef]
- Chang, H.H. Geometry of gravel streams. J. Hydraul. Div. Am. Soc. Civ. Eng. 1980, 106, 1443–1456. [Google Scholar] [CrossRef]
- Li, R.M.; Simons, D.B.; Stevens, M.A. Morphology of cobble streams in small watersheds. J. Hydraul. Div. Am. Soc. Civ. Eng. 1976, 102, 1101–1117. [Google Scholar] [CrossRef]
- Williams, G.P. Hydraulic Geometry of River Cross-Sections-Theory of Minimum Variance; U.S. Geological Survey Professional Paper; U.S. Government Printing Office: Washington, DC, USA, 1978; Volume 1029.
- Castro, J.M.; Jackson, P.L. Bankfull discharge recurrence intervals and regional hydraulic geometry relationships: Patterns in the Pacific Northwest, USA. J. Am. Water Resour. Assoc. 2001, 37, 1249–1262. [Google Scholar] [CrossRef]
- Harvey, A.M. Channel Capacity and the Adjustment of Streams to Hydrologic Regime. J. Hydrol. 1969, 8, 82–98. [Google Scholar] [CrossRef]
- Shen, C.; Wang, S.; Liu, X. Geomorphological significance of at-many-stations hydraulic geometry. Geophys. Res. Lett. 2016, 43, 3762–3770. [Google Scholar] [CrossRef]
- Brinkerhoff, C.B.; Gleason, C.J.; Ostendorf, D.W. Reconciling at-a-station and at-many-stations hydraulic geometry through river-wide geomorphology. Geophys. Res. Lett. 2019, 46, 9637–9647. [Google Scholar] [CrossRef]
- Wohl, E. Mountain Rivers Revisited; GEO Press: Washington, DC, USA, 2010. [Google Scholar]
- Wohl, E.E.; Wilcox, A. Channel geometry of mountain streams in New Zealand. J. Hydrol. 2005, 300, 252–266. [Google Scholar] [CrossRef]
- Wohl, E. Limits of downstream hydraulic geometry. Geology 2004, 32, 897–900. [Google Scholar] [CrossRef]
- Eaton, B.C.; Church, M.; Millar, R.G. Rational regime model of alluvial channel morphology and response. Earth Surf. Process. Landf. 2004, 29, 511–529. [Google Scholar] [CrossRef]








| Country | References | Discharge Frequency/% | a | b | f | m | Maximum Difference/% | Variation Trend | |||||
|---|---|---|---|---|---|---|---|---|---|---|---|---|---|
| a | b | f | m | b | f | m | |||||||
| US | [31] | 50 | 0.34 | 0.45 | 0.32 | 32.4 | 7.1 | 88.2 | increase | no trend | no trend | ||
| 15 | 0.38 | 0.42 | 0.32 | ||||||||||
| 2 | 0.45 | 0.43 | 0.17 | ||||||||||
| United Kingdom | [29] | 50 | 0.46 | 0.16 | 0.38 | 32.6 | 93.8 | 375.0 | increase | increase | decrease | ||
| 15 | 0.54 | 0.23 | 0.23 | ||||||||||
| 2 | 0.61 | 0.31 | 0.08 | ||||||||||
| Canada | [32] | 83 | 5.6 | 0.51 | 68.5 | 5.4 | increase | ||||||
| 50 | 4.8 | 0.53 | |||||||||||
| 20 | 3.8 | 0.54 | |||||||||||
| 10 | 3.3 | 0.54 | |||||||||||
| Puerto Rico | [33] | 70 | 0.46 | 0.27 | 0.27 | 4.5 | 18.5 | 40.0 | no trend | increase | no trend | ||
| 50 | 0.44 | 0.30 | 0.35 | ||||||||||
| 30 | 0.46 | 0.32 | 0.25 | ||||||||||
| Sources | Scenarios | Width-DHG | Depth-DHG | Velocity-DHG | Relations | |||||||
|---|---|---|---|---|---|---|---|---|---|---|---|---|
| a | b | R2 | c | f | R2 | k | m | R2 | a × c × k | b + f + m | ||
| Along a river reach | Main stream of the YR | 35.62 | 0.22 | 0.54 | 0.12 | 0.48 | 0.86 | 0.24 | 0.30 | 0.65 | 1.00 | 1.00 |
| Main stream of the JSR | 45.01 | 0.15 | 0.02 | 0.13 | 0.51 | 0.39 | 0.18 | 0.34 | 0.29 | 1.01 | 1.00 | |
| Main stream of the LCR | 0.11 | 0.88 | 0.76 | 0.13 | 0.50 | 0.57 | 77.66 | -0.38 | 0.88 | 0.98 | 1.00 | |
| Main stream of the Huangshui River | 4.57 | 0.46 | 0.57 | 0.25 | 0.33 | 0.59 | 0.88 | 0.21 | 0.74 | 1.01 | 1.00 | |
| Different reaches located in the same river basin | Tributaries of the JSR | 7.38 | 0.31 | 0.65 | 0.23 | 0.43 | 0.58 | 0.60 | 0.26 | 0.55 | 1.00 | 1.00 |
| Tributaries of the YLR | 2.18 | 0.54 | 0.46 | 0.19 | 0.44 | 0.29 | 2.41 | 0.02 | 0.01 | 1.01 | 1.00 | |
| Tributaries of the LCR | 2.36 | 0.55 | 0.85 | 0.40 | 0.34 | 0.79 | 1.05 | 0.11 | 0.12 | 1.00 | 1.00 | |
| Main stream and tributaries of the NR | 2.01 | 0.55 | 0.99 | 0.22 | 0.42 | 0.94 | 2.27 | 0.03 | 0.12 | 1.01 | 1.00 | |
| Main stream and tributaries of the YLZBR | 7.58 | 0.43 | 0.50 | 0.12 | 0.44 | 0.70 | 1.11 | 0.14 | 0.45 | 1.01 | 1.00 | |
| Theoretical solutions | Minimum variance theory [34] | 0.50 | 0.38 | 0.13 | 1.01 | |||||||
| Momentum diffusion [35] | 0.50 | 0.42 | 0.08 | 1.00 | ||||||||
| Minimum stream power [36] | 0.47 | 0.42 | 0.11 | 1.00 | ||||||||
| Threshold theory [37] | 0.46 | 0.46 | 0.08 | 1.00 | ||||||||
| Global | 72 streams around the world-range [4] | 0.03–0.89 | 0.09–0.70 | −0.51–0.75 | ||||||||
| 72 streams around the world-model class [4] | 0.4–0.5 | 0.3–0.4 | 0.1–0.2 | |||||||||
| Sources | Scenarios | Mann–Kendall Test Z | R2 of Width- MFDHG | Mann–Kendall Test Z | R2 of Depth-MFDHG | Mann–Kendall Test Z | R2 of Velocity-MFDHG | Mean R2 of MFDHG | ||||
|---|---|---|---|---|---|---|---|---|---|---|---|---|
| a | b | c | f | k | m | |||||||
| Along a river reach | Main stream of the YR | 1.44 * | −1.93 ** | 0.985 | −2.68 *** | 2.68 *** | 0.984 | 0.40 | 0.74 | 0.900 | 0.956 | |
| Main stream of the JSR | 5.01 *** | −5.01 *** | 0.999 | 0.09 | −0.17 | 0.999 | −4.15 *** | 4.11 *** | 0.999 | 0.999 | ||
| Main stream of the LCR | −5.43 *** | 3.49 *** | 0.978 | −1.92 ** | 2.16 ** | 0.996 | 5.14 *** | −4.70 *** | 0.993 | 0.989 | ||
| Main stream of the Huangshui River | 1.98 ** | −2.08 ** | 0.929 | −0.40 | 0.49 | 0.978 | −1.78 ** | 2.47 *** | 0.888 | 0.932 | ||
| Mean | 0.973 | 0.989 | 0.945 | 0.969 | ||||||||
| Different reaches located in the same river basin | Tributaries of the JSR | −0.53 | −3.01 *** | 0.448 | −1.32 * | 2.27 ** | 0.928 | 1.74 ** | −0.90 | 0.933 | 0.770 | |
| Tributaries of the YLR | −3.66 *** | −0.06 | 0.511 | −1.30 * | 1.39 * | 0.991 | 3.02 *** | −1.65 ** | 0.939 | 0.814 | ||
| Tributaries of the LCR | −7.56 *** | 6.03 *** | 0.932 | 0.51 | 1.40 * | 0.761 | 5.60 *** | −3.74 *** | 0.963 | 0.885 | ||
| Main stream and tributaries of the NR | −8.08 *** | 7.66 *** | 0.976 | 2.72 *** | −2.91 *** | 0.972 | 3.89 *** | −2.66 *** | 0.924 | 0.957 | ||
| Main stream and tributaries of the YLZBR | −2.45 *** | 2.37 *** | 0.993 | 1.75 ** | −2.71 *** | 0.944 | 0.14 | 1.02 | 0.833 | 0.923 | ||
| Mean | 0.772 | 0.919 | 0.918 | 0.870 | ||||||||
| Mean | 0.861 | 0.950 | 0.930 | 0.914 | ||||||||
| River Systems | HG Types | log(QcW) | log(QcH) | log(QcV) | log(Wc) | log(Hc) | log(Vc) |
|---|---|---|---|---|---|---|---|
| Yellow River | AMHG | 6.8 | 7.8 | 8.3 | 5.3 | 1.4 | 1.3 |
| MFDHG | 6.3 | 7.4 | 7.0 | 4.9 | 1.4 | 0.7 | |
| Relative difference (%) | 8.1 | 5.9 | 16.1 | 6.3 | 2.0 | 48.0 | |
| Jinsha River | AMHG | 7.3 | 10.5 | 7.5 | 5.1 | 2.8 | 0.7 |
| MFDHG | 8.2 | 8.4 | 8.2 | 5.1 | 2.2 | 1.0 | |
| Relative difference (%) | 10.9 | 20.2 | 8.3 | 1.5 | 22.6 | 36.0 |
Disclaimer/Publisher’s Note: The statements, opinions and data contained in all publications are solely those of the individual author(s) and contributor(s) and not of MDPI and/or the editor(s). MDPI and/or the editor(s) disclaim responsibility for any injury to people or property resulting from any ideas, methods, instructions or products referred to in the content. |
© 2023 by the authors. Licensee MDPI, Basel, Switzerland. This article is an open access article distributed under the terms and conditions of the Creative Commons Attribution (CC BY) license (https://creativecommons.org/licenses/by/4.0/).
Share and Cite
Qin, C.; Wu, B.; Xue, Y.; Fu, X.; Wang, G.; Wang, G. Multifrequency Downstream Hydraulic Geometry of Alluvial Mountain Rivers Located on the Qinghai–Tibet Plateau. Water 2023, 15, 2139. https://doi.org/10.3390/w15112139
Qin C, Wu B, Xue Y, Fu X, Wang G, Wang G. Multifrequency Downstream Hydraulic Geometry of Alluvial Mountain Rivers Located on the Qinghai–Tibet Plateau. Water. 2023; 15(11):2139. https://doi.org/10.3390/w15112139
Chicago/Turabian StyleQin, Chao, Baosheng Wu, Yuan Xue, Xudong Fu, Guangqian Wang, and Ge Wang. 2023. "Multifrequency Downstream Hydraulic Geometry of Alluvial Mountain Rivers Located on the Qinghai–Tibet Plateau" Water 15, no. 11: 2139. https://doi.org/10.3390/w15112139
APA StyleQin, C., Wu, B., Xue, Y., Fu, X., Wang, G., & Wang, G. (2023). Multifrequency Downstream Hydraulic Geometry of Alluvial Mountain Rivers Located on the Qinghai–Tibet Plateau. Water, 15(11), 2139. https://doi.org/10.3390/w15112139

