Removal of Copper (II) from Aqueous Solution by a Hierarchical Porous Hydroxylapatite-Biochar Composite Prepared with Sugarcane Top Internode Biotemplate
Abstract
:1. Introduction
2. Materials and Methods
2.1. Material Preparation and Characterization
2.1.1. Preparation
2.1.2. Characterization
2.2. Batch Experiments
3. Results and Discussion
3.1. Characterization of the Composite
3.1.1. XRD
3.1.2. SEM and EDS
3.1.3. XPS
3.2. Influence of Removal Condition
3.2.1. Influence of Interaction Time
3.2.2. Influence of Temperature and Initial Concentration
3.2.3. Influence of Initial pH
3.2.4. Influence of SC–HA/C Dose
3.2.5. Influence of SC–HA/C Particle Size
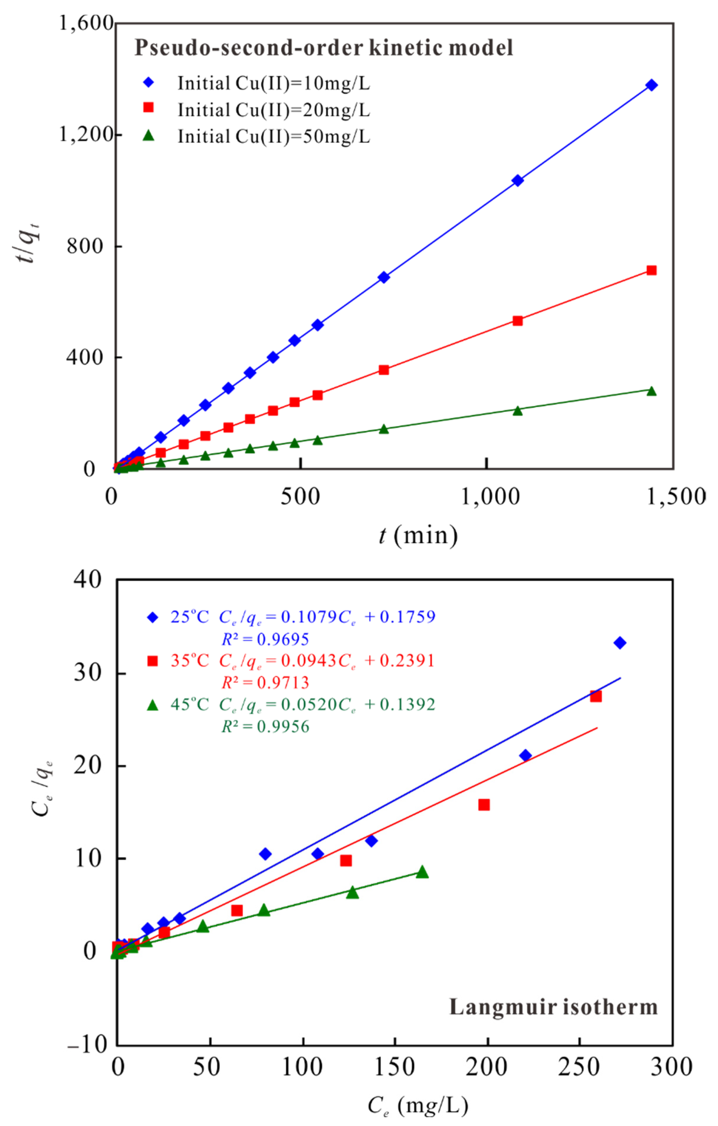
3.3. Removal Kinetics and Isotherm
3.3.1. Kinetics
3.3.2. Isotherm
3.4. Comparison of Copper-Removal Capacities with Other Materials
3.5. Removal Mechanism
- (a)
- Adsorption and formation of surface complexes
- (b) Ion exchange process through substitution of Cu (II) for Ca (II) in HA
- (c) Dissolution of HA and precipitation with the Cu (II)-for-Ca (II) replacement during HA recrystallization
4. Conclusions
Supplementary Materials
Author Contributions
Funding
Data Availability Statement
Acknowledgments
Conflicts of Interest
Appendix A

References
- Gandhi, M.R.; Kousalya, G.N.; Meenakshi, S. Removal of copper (II) using chitin/chitosan nano-hydroxyapatite composite. Int. J. Biol. Macromol. 2011, 48, 119–124. [Google Scholar] [CrossRef] [PubMed]
- Salihi, I.U.; Kutty, S.R.M.; Isa, M.H.; Malakahmad, A.; Umar, U.A. Sorption of zinc using microwave incinerated sugarcane bagasse ash (MISCBA) and raw bagasse. J. Teknol. 2016, 78, 47–51. [Google Scholar]
- Yu, J.; Xiong, W.; Zhu, J.; Chi, R. Separation of Cu and Pb by tetraethylenepentamine-modified sugarcane bagasse fixed-bed column: Selective adsorption and kinetics. Int. J. Environ. Sci. Technol. (IJEST) 2016, 13, 1933–1940. [Google Scholar] [CrossRef]
- Li, Q.; Zhai, J.; Zhang, W.; Wang, M.; Zhou, J. Kinetic studies of adsorption of Pb (II), Cr (III) and Cu (II) from aqueous solution by sawdust and modified peanut husk. J. Hazard. Mater. 2007, 141, 163–167. [Google Scholar] [CrossRef] [PubMed]
- Santos, V.; Souza, J.V.T.M.D.; Tarley, C.; Caetano, J.; Dragunski, D.C. Copper ions adsorption from aqueous medium using the biosorbent sugarcane bagasse in natura and chemically modified. Water Air Soil Pollut. 2011, 216, 351–359. [Google Scholar] [CrossRef]
- Liu, C.; Ngo, H.H.; Guo, W.; Tung, K.-L. Optimal conditions for preparation of banana peels, sugarcane bagasse and watermelon rind in removing copper from water. Bioresour. Technol. 2012, 119, 349–354. [Google Scholar] [CrossRef]
- Corami, A.; Mignardi, S.; Ferrini, V. Copper and zinc decontamination from single- and binary-metal solutions using hydroxyapatite. J. Hazard. Mater. 2007, 146, 164–170. [Google Scholar] [CrossRef]
- Chen, J.D.; Yu, J.X.; Wang, F.; Tang, J.Q.; Zhang, Y.F.; Xu, Y.L.; Chi, R.A. Selective adsorption and recycle of Cu2+ from aqueous solution by modified sugarcane bagasse under dynamic condition. Environ. Sci. Pollut. Res. 2017, 24, 9202–9209. [Google Scholar] [CrossRef]
- Van Tran, T.; Bui, Q.T.P.; Nguyen, T.D.; Le, N.T.H.; Bach, L.G. A comparative study on the removal efficiency of metal ions (Cu2+, Ni2+, and Pb2+) using sugarcane bagasse-derived ZnCl2-activated carbon by the response surface methodology. Adsorpt. Sci. Technol. 2017, 35, 72–85. [Google Scholar] [CrossRef]
- Parida, K.; Mishra, K.G.; Dash, S.K. Adsorption of copper (II) on NH2-MCM-41 and its application for epoxidation of styrene. Ind. Eng. Chem. Res. 2012, 51, 2235–2246. [Google Scholar] [CrossRef]
- Rosskopfová, O.; Galamboš, M.; Ometáková, J.; Čaplovičová, M.; Rajec, P. Study of sorption processes of copper on synthetic hydroxyapatite. J. Radioanal. Nucl. Chem. 2012, 293, 641–647. [Google Scholar] [CrossRef]
- Yu, J.; Wang, L.; Chi, R.; Zhang, Y.; Xu, Z.; Guo, J. Adsorption of Pb2+, Cd2+, Cu2+, and Zn2+ from aqueous solution by modified sugarcane bagasse. Res. Chem. Intermed. 2015, 41, 1525–1541. [Google Scholar] [CrossRef]
- Liu, C.; Ngo, H.H.; Guo, W. Equilibrium and kinetic studies of various heavy metals on sugarcane bagasse. J. Water Sustain. 2015, 5, 59–73. [Google Scholar]
- Iqbal, M.; Edyvean, R.G.J. Biosorption of lead, copper and zinc ions on loofa sponge immobilized biomass of phanerochaete chrysosporium. Miner. Eng. 2004, 17, 217–223. [Google Scholar] [CrossRef]
- Tran, H.N.; You, S.J.; Hosseini-Bandegharaei, A.; Chao, H.P. Mistakes and inconsistencies regarding adsorption of contaminants from aqueous solutions: A critical review. Water Res. 2017, 120, 88–116. [Google Scholar] [CrossRef]
- Cao, X. Mechanisms of lead, copper and zinc retention by phosphate rock. Environ. Pollut. 2004, 131, 435–444. [Google Scholar] [CrossRef] [Green Version]
- Saxena, S.; D’Souza, S.F. Heavy metal pollution abatement using rock phosphate mineral. Environ. Int. 2006, 32, 199–202. [Google Scholar] [CrossRef]
- Elouear, Z.; Bouzid, J.; Boujelben, N.; Feki, M.; Jamoussi, F.; Montiel, A. Heavy metal removal from aqueous solutions by activated phosphate rock. J. Hazard. Mater. 2008, 156, 412–420. [Google Scholar] [CrossRef]
- Fernane, F.; Mecherri, M.O.; Lounici, H.; Hadioui, M.; Harrache, Z. Kinetic and sorption isotherms of cadmium, copper and nickel ions on two synthetic hydroxylapatites. J.Soc. Alger. Chim. 2006, 16, 127–138. [Google Scholar]
- Fernane, F.; Mecherri, M.O.; Sharrock, P.; Hadioui, M.; Lounici, H.; Fedoroff, M. Sorption of cadmium and copper ions on natural and synthetic hydroxylapatite particles. Mater. Charact. 2008, 59, 554–559. [Google Scholar] [CrossRef]
- Tofighy, M.A.; Mohammadi, T. Adsorption of divalent heavy metal ions from water using carbon nanotube sheets. J. Hazard. Mater. 2011, 185, 140–147. [Google Scholar] [CrossRef] [PubMed]
- Corami, A.; D’Acapito, F.; Mignardi, S.; Ferrini, V. Removal of Cu from aqueous solutions by synthetic hydroxyapatite: EXAFS Investigation. Mater. Sci. Eng. B 2008, 149, 209–213. [Google Scholar] [CrossRef]
- Chen, S.B.; Ma, Y.B.; Chen, L.; Xian, K. Adsorption of Aqueous Cd2+, Pb2+, Cu2+ ions by nano-hydroxyapatite: Single- and multi-metal competitive adsorption study. Geochem. J. 2010, 44, 233–239. [Google Scholar] [CrossRef] [Green Version]
- Mandjiny, S.; Zouboulis, A.I.; Matis, K.A. Removal of cadmium from dilute solutions by hydroxyapatite. I. Sorption studies. Sep. Sci. Technol. 1995, 30, 2963–2978. [Google Scholar] [CrossRef]
- Sieber, H. Biomimetic synthesis of ceramics and ceramic composites. Mater. Sci. Eng. A 2005, 412, 43–47. [Google Scholar] [CrossRef]
- Zhu, Z.Q.; Zhu, Y.N.; Qin, H.; Li, Y.H.; Liang, Y.P.; Deng, H.; Liu, H.L. Preparation and properties of porous composite of hematite/magnetite/carbon with eucalyptus wood biotemplate. Mater. Manuf. Processes 2015, 30, 285–291. [Google Scholar] [CrossRef]
- Presas, M.; Pastor, J.Y.; Llorca, J.; Lopez, A.A.; Fernandez, J.M.; Sepúlveda, Y.R. Microstructure and fracture properties of biomorphic SiC. Int. J. Refract. Met. Hard Mater. 2006, 24, 49–54. [Google Scholar] [CrossRef]
- Gurgel, L.V.A.; de Freitas, R.P.; Gil, L.F. Adsorption of Cu (II), Cd (II), and Pb (II) from aqueous single metal solutions by sugarcane bagasse and mercerized sugarcane bagasse chemically modified with succinic anhydride. Carbohydr. Polym. 2008, 74, 922–929. [Google Scholar] [CrossRef] [Green Version]
- Salinas-Chavira, J.; Almaguer, L.J.; Aguilera-Aceves, C.E.; Zinn, R.A.; Mellado, M.; Ruiz-Barrera, O. Effect of substitution of sorghum stover with sugarcane top silage on ruminal dry matter degradability of diets and growth performance of feedlot hair lambs. Small Rumin. Res. 2013, 112, 73–77. [Google Scholar] [CrossRef]
- Eggleston, G.; Grisham, M.; Antoine, A. Clarification properties of trash and stalk tissues from sugar cane. J. Agric. Food Chem. 2010, 58, 366–373. [Google Scholar] [CrossRef]
- Mathews, B.W.; Thurkins, C.J. Agronomic responses in the short-term to some management options for sugarcane top residues. J. Hawaii. Pac. Agric. 2006, 13, 23–34. [Google Scholar]
- Kumari, S.; Das, D. Biologically pretreated sugarcane top as a potential raw material for the enhancement of gaseous energy recovery by two stage biohythane process. Bioresour. Technol. 2016, 218, 1090–1097. [Google Scholar] [CrossRef] [PubMed]
- Nadaroglu, H.; Cicek, S.; Gungor, A.A. Removing Trypan blue dye Using nano-Zn modified Luffa sponge. Spectrochim. Acta Part A Mol. Biomol. Spectrosc. 2017, 172, 2–8. [Google Scholar] [CrossRef] [PubMed]
- Sant’Anna, C.; Costa, L.T.; Abud, Y.; Biancatto, L.; Miguens, F.C.; de Souza, W. Sugarcane cell wall structure and lignin distribution investigated by confocal and electron microscopy: Cell wall ultrastructure and lignin localization in sugarcane. Microsc. Res. Technol. 2013, 76, 829–834. [Google Scholar] [CrossRef]
- Chai, X.; He, H.; Fan, H.; Kang, X.; Song, X. A hydrothermal-carbonization process for simultaneously production of sugars, graphene quantum dots, and porous carbon from sugarcane bagasse. Bioresour. Technol. 2019, 282, 142–147. [Google Scholar] [CrossRef]
- Zhu, Y.; Jiang, Y.; Zhu, Z.; Deng, H.; Ding, H.; Li, Y.; Zhang, L.; Lin, J. Preparation of a porous hydroxyapatite-carbon composite with the bio-template of sugarcane top stems and its use for the Pb (II) removal. J. Clean. Prod. 2018, 187, 650–661. [Google Scholar] [CrossRef]
- Rezende, C.A.; De Lima, M.A.; Maziero, P.; deAzevedo, E.R.; Garcia, W.; Polikarpov, I. Chemical and morphological characterization of sugarcane bagasse submitted to a delignification process for enhanced enzymatic digestibility. Biotechnol. Biofuels 2011, 4, 1–19. [Google Scholar] [CrossRef] [Green Version]
- Zhu, Y.; Zhu, Z.; Zhao, X.; Liang, Y.; Dai, L.; Huang, Y. Characterization, dissolution and solubility of Cadmium–Calcium hydroxyapatite solid solutions at 25 °C. Chem. Geol. 2016, 423, 34–48. [Google Scholar] [CrossRef]
- Filho, N.C.; Winkler-hechenleitner, A.A.; Gómez-Pineda, E.A. Copper (II) adsorption onto sugar cane bagasse. Int. J. Polym. Mater. 1996, 34, 211–218. [Google Scholar] [CrossRef]
- Salihi, I.U.; Kutty, S.R.M.; Isa, M.H.; Olisa, E.; Aminu, N. Adsorption of copper using modified and unmodified sugarcane bagasse. Int. J. Appl. Eng. Res. 2015, 10, 40434–40438. [Google Scholar]
- Soliman, E.M.; Ahmed S, A.; Fadl A., A. Reactivity of sugar cane bagasse as a natural solid phase extractor for selective removal of Fe (III) and heavy-metal ions from natural water samples. Arab. J. Chem. 2011, 4, 63–70. [Google Scholar] [CrossRef] [Green Version]
- Cheung, C.W.; Porter, J.F.; Mckay, G. Removal of Cu (II) and Zn (II) ions by sorption onto bone char using batch agitation. Langmuir 2002, 18, 650–656. [Google Scholar] [CrossRef]
- Rocha, N.; Campos, R.; Rossi, A.M.; Moreira, E.L.; Moure, G.T. Cadmium uptake by hydroxyapatite synthesized in different conditions and submitted to thermal treatment. Environ. Sci. Technol. 2002, 36, 1630–1635. [Google Scholar] [CrossRef] [PubMed]
- Smičiklas, I.; Onjia, A.; Raičević, S.; Janaćković, Đ.; Mitrić, M. Factors influencing the removal of divalent cations by hydroxyapatite. J. Hazard. Mater. 2008, 152, 876–884. [Google Scholar] [CrossRef] [PubMed]
- Parkhurst, D.L.; Appelo, C.A.J. Description of Input and Examples for PHREEQC Version 3: A Computer Program for Speciation, Batch-Reaction, One-Dimensional Transport, and Inverse Geochemical Calculations; US Geological Survey: Denver, CO, USA, 2013. [Google Scholar]
- Stötzel, C.; Müller, F.A.; Reinert, F.; Niederdraenk, F.; Barralet, J.E.; Gbureck, U. ion Adsorption behaviour of hydroxyapatite with different crystallinities. Colloids Surf. B Biointerfaces 2009, 74, 91–95. [Google Scholar] [CrossRef] [PubMed]
- Ma, X.; Ellis, D.E. Initial stages of hydration and Zn substitution/occupation on hydroxyapatite (0001) surfaces. Biomaterials 2008, 29, 257–265. [Google Scholar] [CrossRef]
- Aklil, A.; Mouflih, M.; Sebti, S. Removal of heavy metal ions from water by using calcined phosphate as a new adsorbent. J. Hazard. Mater. 2004, 112, 183–190. [Google Scholar] [CrossRef]
- Bailliez, S.; Nzihou, A.; Bèche, E.; Flamant, G. Removal of lead (Pb) by hydroxyapatite sorbent. Process Saf. Environ. Prot. 2004, 82, 175–180. [Google Scholar] [CrossRef] [Green Version]
- Lower, S.K.; Maurice, P.A.; Traina, S.J.; Carlson, E.H. Aqueous Pb sorption by Hydroxylapatite: Applications of Atomic Force Microscopy to Dissolution, Nucleation, and Growth Studies. Am. Mineral. 1998, 83, 147–158. [Google Scholar] [CrossRef]
- Eighmy, T.T.; Eusden, J.D. Phosphate Stabilization of Municipal Solid Waste Combustion Residues: Geochemical Principles. ChemInform 2004, 236, 435–473. [Google Scholar]















Publisher’s Note: MDPI stays neutral with regard to jurisdictional claims in published maps and institutional affiliations. |
© 2022 by the authors. Licensee MDPI, Basel, Switzerland. This article is an open access article distributed under the terms and conditions of the Creative Commons Attribution (CC BY) license (https://creativecommons.org/licenses/by/4.0/).
Share and Cite
Cen, Y.; Li, Y.; Deng, H.; Ding, H.; Tang, S.; Yu, X.; Xu, F.; Zhu, Z.; Zhu, Y. Removal of Copper (II) from Aqueous Solution by a Hierarchical Porous Hydroxylapatite-Biochar Composite Prepared with Sugarcane Top Internode Biotemplate. Water 2022, 14, 839. https://doi.org/10.3390/w14060839
Cen Y, Li Y, Deng H, Ding H, Tang S, Yu X, Xu F, Zhu Z, Zhu Y. Removal of Copper (II) from Aqueous Solution by a Hierarchical Porous Hydroxylapatite-Biochar Composite Prepared with Sugarcane Top Internode Biotemplate. Water. 2022; 14(6):839. https://doi.org/10.3390/w14060839
Chicago/Turabian StyleCen, Yun, Yanhong Li, Huan Deng, Hui Ding, Shen Tang, Xiaoling Yu, Fan Xu, Zongqiang Zhu, and Yinian Zhu. 2022. "Removal of Copper (II) from Aqueous Solution by a Hierarchical Porous Hydroxylapatite-Biochar Composite Prepared with Sugarcane Top Internode Biotemplate" Water 14, no. 6: 839. https://doi.org/10.3390/w14060839
APA StyleCen, Y., Li, Y., Deng, H., Ding, H., Tang, S., Yu, X., Xu, F., Zhu, Z., & Zhu, Y. (2022). Removal of Copper (II) from Aqueous Solution by a Hierarchical Porous Hydroxylapatite-Biochar Composite Prepared with Sugarcane Top Internode Biotemplate. Water, 14(6), 839. https://doi.org/10.3390/w14060839

