Spatial and Temporal Distribution of Total Phosphorus in Sediments of Shuangtai Estuary Wetland during the Period of Reed Growth
Abstract
1. Introduction
2. Materials and Methods
2.1. Study Area
2.2. Sample Collection
2.3. TP Measurement
2.4. Analytical Methods
3. Results and Discussion
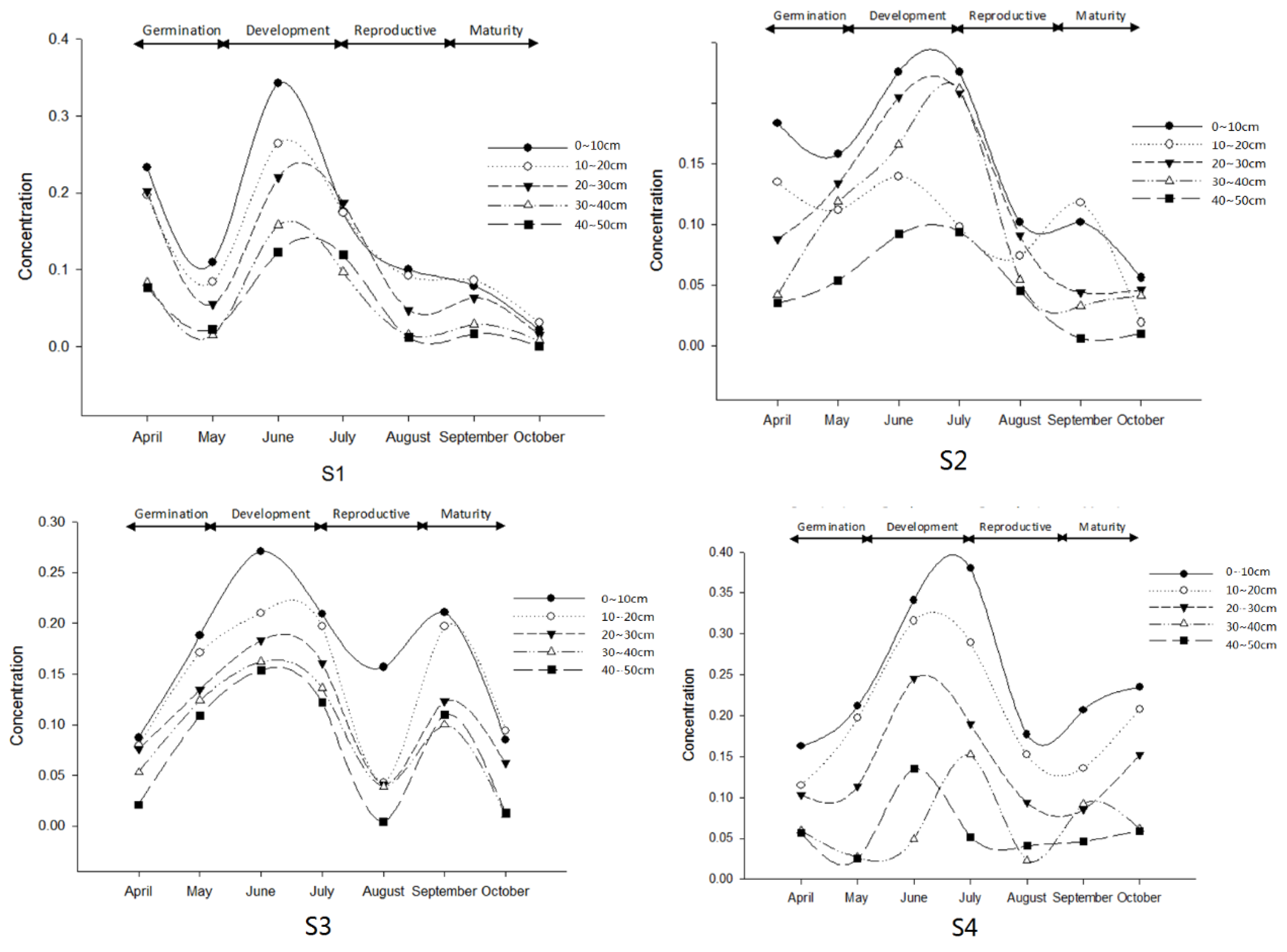
3.1. Vertical Distribution of TP Content in Sediments
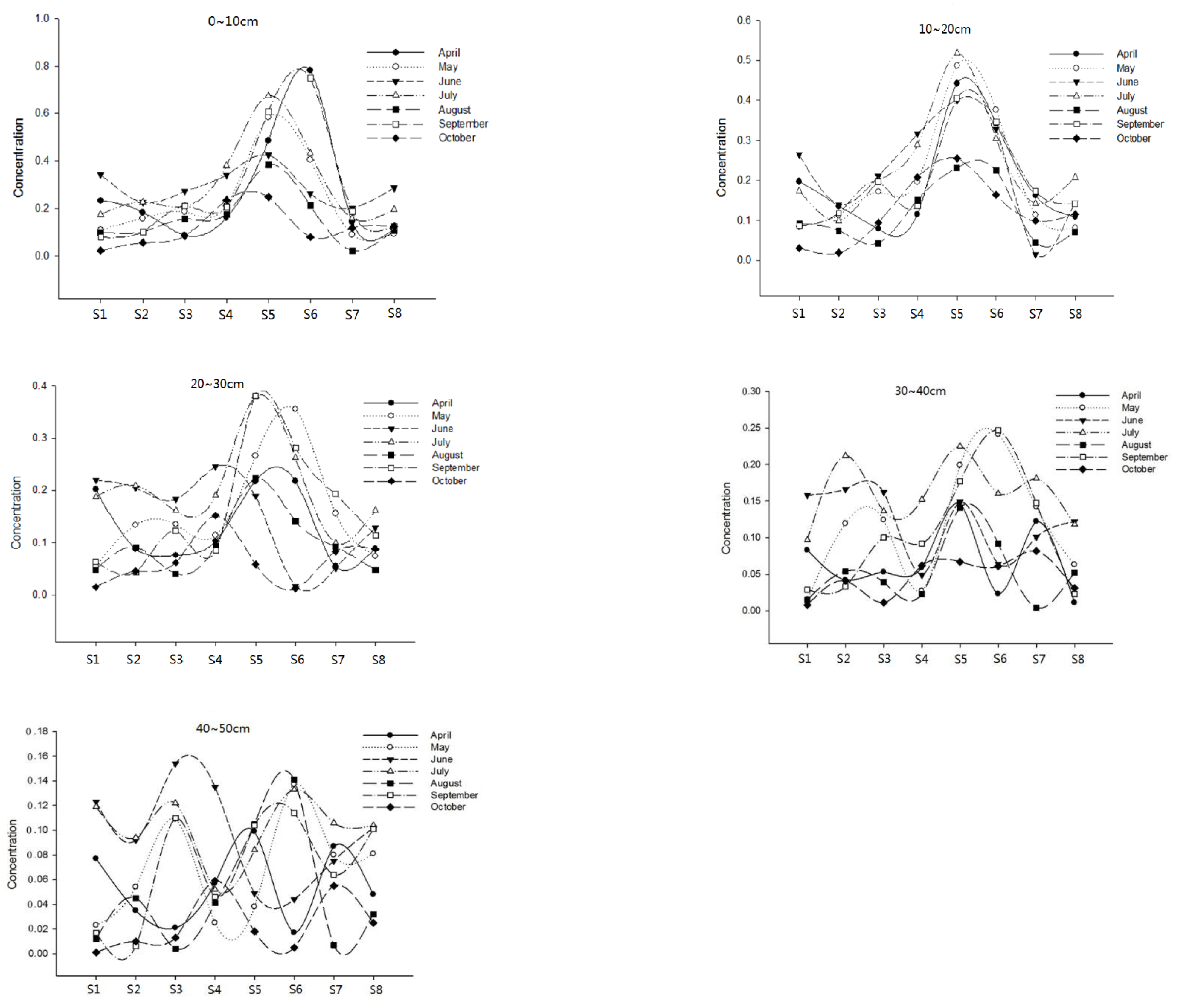
3.2. Horizontal Distribution of TP Content in Sediments
3.3. Time Variation of TP Content in Sediments
4. Conclusions
Author Contributions
Funding
Data Availability Statement
Conflicts of Interest
References
- Hu, S.J.; Niu, Z.G.; Chen, Y.F.; Li, L.F.; Zhang, H.Y. Global wetlands: Potential distribution, wetland loss, and status. Sci. Total Environ. 2017, 586, 319–327. [Google Scholar] [CrossRef] [PubMed]
- Costanza, R.; d’Arge, R.; De Groot, R.; Farber, S.; Grasso, M.; Hannon, B.; Limburg, K.; Naeem, S.; O’neill, R.V.; Paruelo, J.; et al. The value of the world’s ecosystem services and natural capital. Nature 1997, 387, 253–260. [Google Scholar] [CrossRef]
- Ramm, K.; Scheps, V. Phosphorus balance of a polytrophic shallow lake with the consideration of phosphorus release. Hydrobiologia 1997, 342–343, 43–53. [Google Scholar] [CrossRef]
- Xiao, R.; Bai, J.; Gao, H.; Deng, W.; Cui, B. Seasonal variations of total phosphorus in marsh soils from open and closed wetlands. Acta Prataculturae Sin. 2010, 19, 88–93. [Google Scholar]
- Hill, C.R.; Robinson, J.S. Phosphorus flux from wetland ditch sediments. Sci. Total Environ. 2012, 437, 315–322. [Google Scholar] [CrossRef] [PubMed]
- Fluck, R.C.; Fonyo, C.; Flaig, E. Land use based phosphorus balances for Lake Okeechobee, Florida, drainage basins. Appl. Eng. Agric. 1992, 8, 813–820. [Google Scholar] [CrossRef]
- Pasteris, A.; Gambi, N.; Guerrini, S.; Bandini, V.; Buscaroli, A.; Dinelli, E.; Fabbri, E. Linking responses at different levels of biological organization: The effect on biomarkers and life cycle traits in the earthworm Eisenia and rei exposed to copper-spiked soils. Comp. Biochem. Physiol. Part A Mol. Integr. Physiol. 2008, 151, S50–S51. [Google Scholar] [CrossRef]
- Andrieux-Loyer, F.; Aminot, A. Phosphorus forms related to sediment grain size and geochemical characteristics in French coastal areas. Estuar. Coast. Shelf Sci. 2001, 52, 617–629. [Google Scholar] [CrossRef]
- Jia, Y. Micro-Scale Spatial Variability of Soil Total Phosphorus in Abandoned Farmland on the Northern Loess Plateau. Chin. J. Soil Sci. 2014, 45, 116–122. [Google Scholar]
- Chen, M.; Chen, J.; Sun, F. Agricultural phosphorus flow and its environmental impacts in China. Sci. Total Environ. 2008, 405, 140–152. [Google Scholar] [CrossRef]
- Baron, V.S.; Dick, A.C.; Mapfumo, E.; Malhi, S.S.; Naeth, M.A.; Chanasyk, D.S. Grazing impacts on soil N and phosphorous under parkland pastures. J. Range Manag. 2001, 54, 704–710. [Google Scholar] [CrossRef]
- Jobbágy, E.G.; Jackson, R.B. The distribution of soil nutrients with depth: Global patterns and the imprint of plants. Biogeochemistry 2001, 53, 51–77. [Google Scholar] [CrossRef]
- Hinsinger, P. Bio availability of soil in organic Pinthe rhizosphere as affected by root-induced chemical changes: A review. Plant Soil 2001, 237, 173–195. [Google Scholar] [CrossRef]
- Scheidt, D.J.; Stober, J.; Jones, R.; Thornton, K. South Florida Ecosystem Assessment: Everglades Water Management, Soil Loss, Eutrophication and Habitat; US Environmental Protection Agency: Washington, DC, USA, 2000; 904-R-00-003. [Google Scholar]
- Weihong, J.; Rongbing, F.; Guowei, G. Plant Growth Characteristics and Nutrient Uptake from Eutrophic Water in Constructed Wetlands. Res. Environ. Sci. 2007, 20, 75–80. [Google Scholar]
- Min, Q.W.; Lv, S.Y.; Lei, Q.B. Study on uptake, distribution and sequestration of nutrients and heavy metals by salt marsh plants in Chang jiang Estuary. Mar. Environ. Sci. 2007, 26, 14–18. [Google Scholar]
- Fu, R.B.; Yang, H.Z.; Gu, G.W.; Zhang, Z. Analysis of substrate microrganisms status in constructed wetlands and their correlation with pollutants removal for wastewater treatment. Res. Environ. Sci. 2005, 18, 44–49. [Google Scholar]
- Zhao, Y.Q.; Zhao, X.H.; Babatunde, A.O. Use of dewatered alum sludge as main substrate in treatment reed bed receiving agricultural wastewater: Long-term trial. Bioresour. Technol. 2009, 100, 644–648. [Google Scholar] [CrossRef] [PubMed]
- Cheng, H.; Liang, A.; Zhi, Z. Phosphorus distribution and retention in lacustrine wetland sediment cores of Lake Changshou in the Three Gorges Reservoir area. Environ. Earth Sci. Vol. 2017, 76, 425. [Google Scholar] [CrossRef]
- Lu, X. Eco-Environmental Water Requirements and the Optimal Allocation of Water Resources of Shuangtai Estuary Wetland in Panjin; Shenyang Agricultural University: Shenyang, China, 2008. [Google Scholar]
- Li, L.; Hui, S.; Song, H.; Su, F. Evaluation of the services provided by the Shuangtai estuary wetland in Panjin based on emergy theory. China Environ. Sci. 2013, 33, 1454–1458. [Google Scholar]
- Long, A.; Sun, L.; Shi, R.; Zhou, W.; Dang, A. Saltwater Intrusion Induced by a Complete Neap Tide and Its Effect on Nutrients Variation in the Estuary of Pearl River, China. J. Coast. Res. 2013, 29, 1158–1168. [Google Scholar] [CrossRef]
- Hou, D.; He, J.; Lü, C.; Dong, S.; Wang, J.; Xie, Z.; Zhang, F. Spatial variations and distributions of phosphorus and nitrogen in bottom sediments from a typical north-temperate lake. China Environ. Earth Sci. 2014, 71, 3063–3079. [Google Scholar] [CrossRef]
- Deng, H.G.; Zhang, X.Z. Development and research on phosphorus in sediment. Guangzhou Environ. Sci. 2004, 19, 8–10. [Google Scholar]
- Lu, S.; Si, J.; Qi, Y.; Wang, Z.; Wu, X.; Hou, C. Distribution Characteristics of TOC, TN and TP in the Wetland Sediments of Longbao Lake in the San-Jiang Head Waters. Acta Geophys. 2016, 64, 2471–2486. [Google Scholar] [CrossRef]
- Yang, X.M. Amount and distribution of soil total phosphorus in different soil profiles along a traverse. J. Jilin Agric. Univ. 1988, 2, 41–49. [Google Scholar]
- Zhu, J.; Wu, A.; Zhou, G. Spatial distribution patterns of soil total phosphorus influenced by climatic factors in China’s forest ecosystems. Sci. Rep. 2021, 11, 5357. [Google Scholar] [CrossRef] [PubMed]
- Boutinguiza, M.; Pou, J.; Comesaña, R.; Lusquiños, F.; de Carlos, A.; León, B. Biological hydroxyapatite obtained from fish bones. Mater. Sci. Eng. C 2011, 32, 478–486. [Google Scholar] [CrossRef]
- Hudson-Edwards, K.A.; Bristow, C.S.; Cibin, G.; Mason, G.; Peacock, C.L. Solid-phase phosphorus speciation in Saharan Bodélé Depression dusts and source sediments. Chem. Geol. 2014, 384, 16–26. [Google Scholar] [CrossRef][Green Version]
- Li, S.F. Spatial Distribution and Influencing Factors of Phosphorus in the Soils, River and Lake Sediments for the Studied Area of Chaohu Basin; Nanjing University: Nanjing, China, 2012. [Google Scholar]




| Point Position | Orientation | |
|---|---|---|
| S1 | N 41°11.943′ | E 121°39.160′ |
| S2 | N 41°10.247′ | E 121°42.630′ |
| S3 | N 41°09.392′ | E 121°45.716′ |
| S4 | N 41°06.159′ | E 121°45.734′ |
| S5 | N 41°01.393′ | E 121°40.387′ |
| S6 | N 40°59.255′ | E 121°40.434′ |
| S7 | N 40°56.258′ | E 121°39.717′ |
| S8 | N 40°51.988′ | E 121°36.685′ |
| Source | DF (Degree of Freedom) | TypeISS | Mean Square | F Value | p |
|---|---|---|---|---|---|
| depth | 5 | 2.370 | 0.592 | 38.61 | <0.01 |
| site | 8 | 1.880 | 0.269 | 17.51 | 0.01 |
| month | 7 | 1.406 | 0.234 | 15.27 | <0.01 |
| n | 1 | 0.194 | 0.194 | 12.63 | 0.0004 |
| SNK (Student-Newman-Keuls) Grouping | Mean | N (Number of Samples) | Depth |
|---|---|---|---|
| A | 0.257 | 112 | 10 |
| B | 0.211 | 112 | 20 |
| C | 0.160 | 112 | 30 |
| D | 0.118 | 112 | 40 |
| E | 0.074 | 112 | 50 |
| SNK (Student-Newman-Keuls) Grouping | Mean | N (Number of Samples) | Site |
|---|---|---|---|
| A | 0.288 | 70 | 5 |
| B | 0.232 | 70 | 6 |
| C | 0.145 | 70 | 2 |
| C | 0.143 | 70 | 3 |
| C | 0.127 | 70 | 7 |
| C | 0.127 | 70 | 4 |
| C | 0.126 | 70 | 8 |
| C | 0.122 | 70 | 1 |
| SNK (Student-Newman-Keuls) Grouping | Mean | N (Number of Samples) | Month |
|---|---|---|---|
| A | 0.23752 | 80 | 7 |
| B | 0.19625 | 80 | 9 |
| B | 0.18821 | 80 | 5 |
| B | 0.16853 | 80 | 6 |
| B | 0.16577 | 80 | 4 |
| C | 0.11893 | 80 | 8 |
| D | 0.07190 | 80 | 10 |
Publisher’s Note: MDPI stays neutral with regard to jurisdictional claims in published maps and institutional affiliations. |
© 2022 by the authors. Licensee MDPI, Basel, Switzerland. This article is an open access article distributed under the terms and conditions of the Creative Commons Attribution (CC BY) license (https://creativecommons.org/licenses/by/4.0/).
Share and Cite
Lu, X.; Liu, Q.; Dong, Y.; Smoak, J.M.; Wang, T. Spatial and Temporal Distribution of Total Phosphorus in Sediments of Shuangtai Estuary Wetland during the Period of Reed Growth. Water 2022, 14, 3804. https://doi.org/10.3390/w14233804
Lu X, Liu Q, Dong Y, Smoak JM, Wang T. Spatial and Temporal Distribution of Total Phosphorus in Sediments of Shuangtai Estuary Wetland during the Period of Reed Growth. Water. 2022; 14(23):3804. https://doi.org/10.3390/w14233804
Chicago/Turabian StyleLu, Xiaofeng, Qing Liu, Yu Dong, Joseph McDonald Smoak, and Tieliang Wang. 2022. "Spatial and Temporal Distribution of Total Phosphorus in Sediments of Shuangtai Estuary Wetland during the Period of Reed Growth" Water 14, no. 23: 3804. https://doi.org/10.3390/w14233804
APA StyleLu, X., Liu, Q., Dong, Y., Smoak, J. M., & Wang, T. (2022). Spatial and Temporal Distribution of Total Phosphorus in Sediments of Shuangtai Estuary Wetland during the Period of Reed Growth. Water, 14(23), 3804. https://doi.org/10.3390/w14233804

