Spatial–Temporal Distribution of the Euphausiid Euphausia pacifica and Fish Schools in the Coastal Southwestern East Sea
Abstract
1. Introduction
2. Materials and Methods
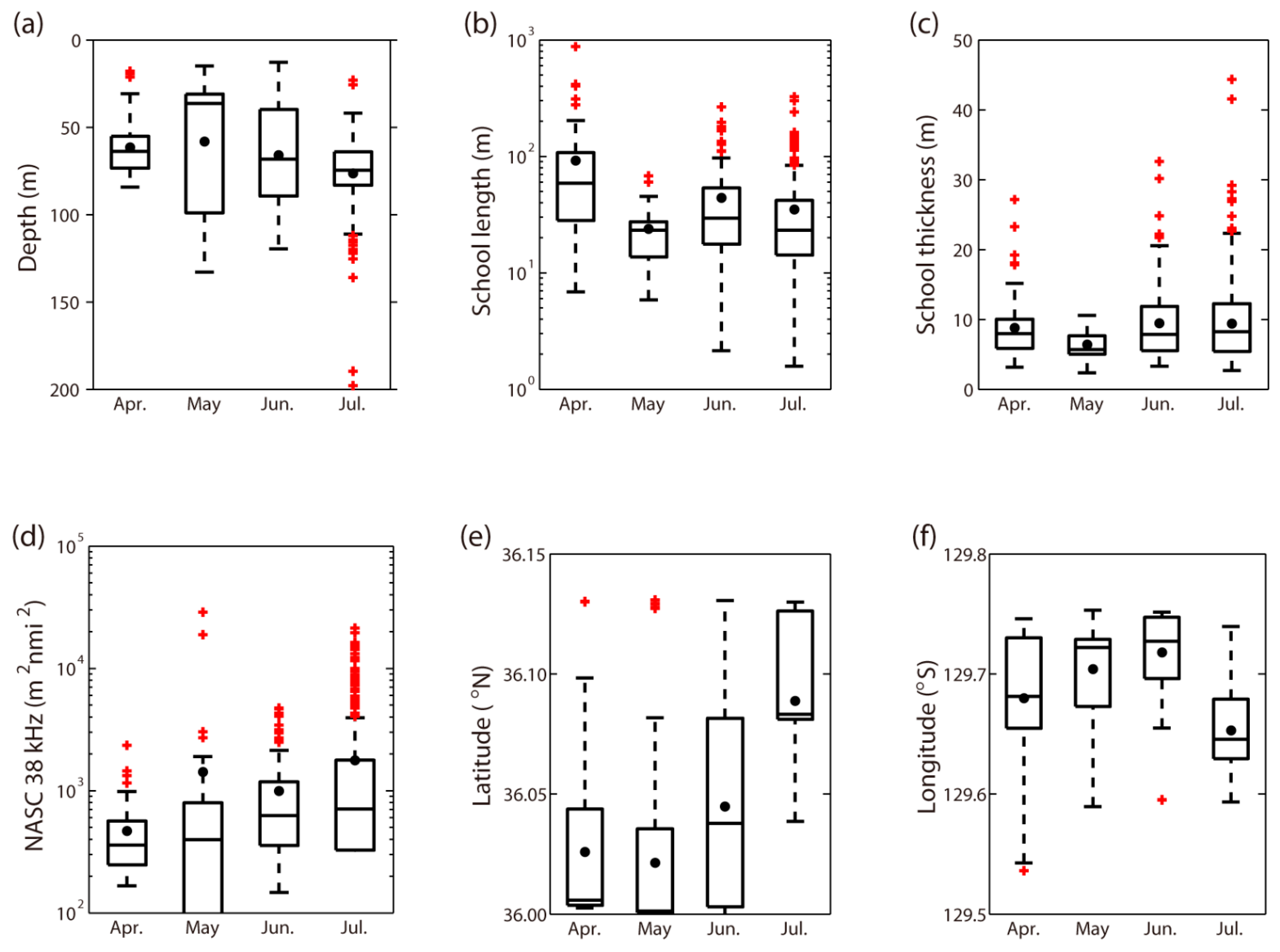
3. Results
4. Discussion
5. Conclusions
Author Contributions
Funding
Institutional Review Board Statement
Informed Consent Statement
Data Availability Statement
Acknowledgments
Conflicts of Interest
References
- Won, J.-H.; Lee, Y.-W. Spatiotemporal Variations of Marine Environmental Parameters in the South-western Region of the East Sea. Sea 2015, 20, 16–28. [Google Scholar] [CrossRef]
- Lee, J.C.; Na, J.Y. Structure of Upwelling off the Southease Coast of Korea. J. Korean Soc. Oceanogr. 1985, 20, 6–19. [Google Scholar]
- Kim, H.-C.; Yoo, S.; Oh, I.S. Relationship between phytoplankton bloom and wind stress in the sub-polar frontal area of the Japan/East Sea. J. Mar. Syst. 2007, 67, 205–216. [Google Scholar] [CrossRef]
- Sutor, M.; Cowles, T.; Peterson, W.; Pierce, S. Acoustic observations of finescale zooplankton distributions in the Oregon upwelling region. Deep. Sea Res. Part II Top. Stud. Oceanogr. 2005, 52, 109–121. [Google Scholar] [CrossRef]
- Ryther, J.H. Photosynthesis and Fish Production in the Sea. Science 1969, 166, 72–76. [Google Scholar] [CrossRef] [PubMed]
- Moku, M.; Kawaguchi, K.; Watanabe, H.; Ohno, A. Feeding habits of three dominant myctophid fishes, Diaphus theta, Stenobrachius leucopsarus and S. nannochir, in the subarctic and transitional waters of the western North Pacific. Mar. Ecol. Prog. Ser. 2000, 207, 129–140. [Google Scholar] [CrossRef]
- Fielding, S.; Watkins, J.L.; Collins, M.A.; Enderlein, P.; Venables, H.J. Acoustic determination of the distribution of fish and krill across the Scotia Sea in spring 2006, summer 2008 and autumn 2009. Deep Sea Res. Part II Top. Stud. Oceanogr. 2012, 59-60, 173–188. [Google Scholar] [CrossRef]
- Cho, K.D.; Kim, S.W.; Kang, G.H.; Lee, C.I.; Kim, D.S.; Choi, Y.S.; Choi, K.H. Relationship between fishing condition of common squid and oceanic condition in the East Sea. J. Korean Soc. Mar. Environ. Saf. 2004, 10, 61–67. [Google Scholar]
- Clay, C.S.; Medwin, H.; Urick, R.J. Acoustical Oceanography: Principles and Applications. Phys. Today 1978, 31, 71. [Google Scholar] [CrossRef]
- Holliday, D.V. Bioacoustical oceanography at high frequencies. ICES J. Mar. Sci. 1995, 52, 279–296. [Google Scholar] [CrossRef]
- MacLennan, D.N.; Holliday, D.V. Fisheries and plantton acoustics: Past, present, and future. ICES J. Mar. Sci. 1996, 53, 513–516. [Google Scholar] [CrossRef][Green Version]
- La, H.S.; Ha, H.; Kang, C.; Wahlin, A.; Shin, H. Acoustic backscatter observations with implications for seasonal and vertical migrations of zooplankton and nekton in the Amundsen shelf (Antarctica). Estuar. Coast. Shelf Sci. 2015, 152, 124–133. [Google Scholar] [CrossRef]
- Lee, H.; Choi, J.; Moon, S.; Lee, K.; Oh, W.; Im, Y.; Hwang, K.; Kim, D. Small-Scale Spatiotemporal Pattern in the Spawning of Pacific Herring (Clupea pallasii) in the Jinhae Bay, Korea, Estimated Using Hydroacoustic Survey. Appl. Sci. 2021, 11, 2058. [Google Scholar] [CrossRef]
- Reiss, C.S.; Cossio, A.M.; Walsh, J.; Cutter, G.R.; Watters, G.M. Glider-Based Estimates of Meso-Zooplankton Biomass Density: A Fisheries Case Study on Antarctic Krill (Euphausia superba) Around the Northern Antarctic Peninsula. Front. Mar. Sci. 2021, 8, 256. [Google Scholar] [CrossRef]
- Benoit-Bird, K.J.; Waluk, C.M. Remote acoustic detection and characterization of fish schooling behavior. J. Acoust. Soc. Am. 2021, 150, 4329–4342. [Google Scholar] [CrossRef] [PubMed]
- Basilone, G.; Ferreri, R.; Barra, M.; Bonanno, A.; Pulizzi, M.; Gargano, A.; Fontana, I.; Giacalone, G.; Rumolo, P.; Mazzola, S.; et al. Spawning ecology of the European anchovy (Engraulis encrasicolus) in the Strait of Sicily: Linking variations of zooplankton prey, fish density, growth, and reproduction in an upwelling system. Prog. Oceanogr. 2020, 184, 102330. [Google Scholar] [CrossRef]
- Holland, M.M.; Everett, J.D.; Cox, M.J.; Doblin, M.A.; Suthers, I.M. Pelagic forage fish distribution in a dynamic shelf ecosystem—Thermal demands and zooplankton prey distribution. Estuar. Coast. Shelf Sci. 2021, 249, 107074. [Google Scholar] [CrossRef]
- McClain, C.R. Science quality SeaWiFS data for global biosphere research. Sea Technol. 1998, 39, 10–16. [Google Scholar]
- Morris, D.; Watkins, J.L.; Ricketts, C.; Buchholz, F.; Priddle, J. An assessment of the merits of length and weight measurements of Antarctic krill Euphausia superba. BAS Bull. 1988, 79, 27–50. [Google Scholar]
- Foote, K.G. Spheres for calibrating an eleven-frequency acoustic measurement system. ICES J. Mar. Sci. 1990, 46, 284–286. [Google Scholar] [CrossRef]
- CAAMLR. Commission for the Conservation of Antarctic Marine Living Resources Home Page. 2010. Available online: https://www.ccamlr.org/en/sc-camlr-xxix (accessed on 30 September 2011).
- Mukai, T.; Iida, K.; Ando, Y.; Mikami, H.; Maki, Y.; Matsukura, R. Measurements of swimming angles, density, and sound speed of the krill euphausia pacifica for target strength estimation. In Proceedings of the Oceans ’04 MTS/IEEE Techno-Ocean ’04 (IEEE Cat. No.04CH37600), Kobe, Japan, 9–12 November 2004; Volume 1, pp. 383–388. [Google Scholar] [CrossRef]
- Miyashita, K.; Aoki, I.; Inagaki, T. Swimming behaviour and target strength of isada krill (Euphausia pacifica). ICES J. Mar. Sci. 1996, 53, 303–308. [Google Scholar] [CrossRef]
- Kim, H.-S.; Ju, S.-J.; Ko, A.-R. Comparisons of Feeding Ecology of Euphausia pacifica from Korean Waters Using Lipid Composition. Ocean Polar Res. 2010, 32, 165–175. [Google Scholar] [CrossRef]
- Reiss, C.S.; Cossio, A.M.; Loeb, V.; Demer, D.A. Variations in the biomass of Antarctic krill (Euphausia superba) around the South Shetland Islands, 1996–2006. ICES J. Mar. Sci. 2008, 65, 497–508. [Google Scholar] [CrossRef]
- Coetzee, J. Use of a shoal analysis and patch estimation system (SHAPES) to characterise sardine schools. Aquat. Living Resour. 2000, 13, 1–10. [Google Scholar] [CrossRef]
- Johnson, R.K. Erratum: “Sound scattering from a fluid sphere revisited” [J. Acoust. Soc. Am. 61, 375–377 (1977)]. J. Acoust. Soc. Am. 1978, 63, 626. [Google Scholar] [CrossRef]
- McGillicuddy, D.; Johnson, R.; Siegel, D.A.; Michaels, A.F.; Bates, N.R.; Knap, A.H. Mesoscale variations of biogeochemical properties in the Sargasso Sea. J. Geophys. Res. Space Phys. 1999, 104, 13381–13394. [Google Scholar] [CrossRef]
- Yoo, S.; Park, J. Why is the southwest the most productive region of the East Sea/Sea of Japan? J. Mar. Syst. 2009, 78, 301–315. [Google Scholar] [CrossRef]
- Lasker, R. Feeding, Growth, Respiration, and Carbon Utilization of a Euphausiid Crustacean. J. Fish. Res. Board Can. 1966, 23, 1291–1317. [Google Scholar] [CrossRef]
- Parsons, T.R.; Lebrasseur, R.J.; Fulton, J.D. Some Observations on the Dependence of Zooplankton Grazing on the Cell Size and Concentration of Phytoplankton Blooms. J. Oceanogr. 1967, 23, 10–17. [Google Scholar] [CrossRef]
- Nakagawa, Y.; Ota, T.; Endo, Y.; Taki, K.; Sugisaki, H. Importance of ciliates as prey of the euphausiid Euphausia pacifica in the NW North Pacific. Mar. Ecol. Prog. Ser. 2004, 271, 261–266. [Google Scholar] [CrossRef][Green Version]
- Ohman, M.D. Omnivory by Euphausia pacifica: The role of copepod prey. Mar. Ecol. Prog. Ser. 1984, 19, 125–131. [Google Scholar] [CrossRef]
- Theilacker, G.H.; Lasker, R. Laboratory Studies of Predation by Euphausiid Shrimps on Fish Larvae. In The Early Life History of Fish; Springer: Berlin/Heidelberg, Germeny, 1974; pp. 287–299. [Google Scholar]
- Hewitt, R.P.; Watkins, J.; Naganobu, M.; Sushin, V.; Brierley, A.S.; Demer, D.; Kasatkina, S.; Takao, Y.; Goss, C.; Malyshko, A.; et al. Biomass of Antarctic krill in the Scotia Sea in January/February 2000 and its use in revising an estimate of precautionary yield. Deep Sea Res. Part II Top. Stud. Oceanogr. 2004, 51, 1215–1236. [Google Scholar] [CrossRef]
- Gerking, S. Feeding Ecology of Fish; Academic Press: San Diego, CA, USA, 1994. [Google Scholar] [CrossRef]
- Castro, J. Feeding ecology of chub mackerel Scomber japonicus in the Canary Islands area. S. Afr. J. Mar. Sci. 1993, 13, 323–328. [Google Scholar] [CrossRef]
- Kim, H.J.; Jeong, J.M.; Park, J.H.; Baeck, G.W. Feeding Habits of Larval Japanese Anchovy Engraulis japonicus in Eastern Jinhae Bay, Korea. Korean J. Fish. Aquat. Sci. 2017, 50, 92–97. [Google Scholar] [CrossRef][Green Version]
- Kim, M.J.; Youn, S.H.; Kim, J.-Y.; Oh, C.-W. Feeding Characteristics of the Japanese Anchovy, Engraulis japonicus According to the Distribution of Zooplankton in the Coastal Waters of Southern Korea. Environ. Biol. Res. 2013, 31, 275–287. [Google Scholar] [CrossRef]
- Lee, C.R.; Park, C.; Moon, C.H. Appearance of cold water and distribution of zooplankton off Ulsan-Gampo area, eastern coastal area of Korea. Sea 2004, 9, 51–63. [Google Scholar]
- Mauchline, J. The biology of mysids and euphausiids. Part 2. The biology of euphausids. Adv. Mar. Biol. 1980, 18, 372–623. [Google Scholar]
- Hwang, B.-K.; Shin, H.-O.; Lee, D.-J.; Lee, Y.-W. Examination of Theoretical Acoustic Scattering Models for Copepods in an Acoustical Zooplankton Biomass Survey. Korean J. Fish. Aquat. Sci. 2010, 43, 380–385. [Google Scholar] [CrossRef]
- Whitehouse, M.J.; Atkinson, A.; Ward, P.; Korb, R.E.; Rothery, P.; Fielding, S. Role of krill versus bottom-up factors in controlling phytoplankton biomass in the northern Antarctic waters of South Georgia. Mar. Ecol. Prog. Ser. 2009, 393, 69–82. [Google Scholar] [CrossRef]
- Cisewski, B.; Strass, V.; Rhein, M.; Krägefsky, S. Seasonal variation of diel vertical migration of zooplankton from ADCP backscatter time series data in the Lazarev Sea, Antarctica. Deep Sea Res. Part I Oceanogr. Res. Pap. 2010, 57, 78–94. [Google Scholar] [CrossRef]







| Cruise | Transect Start Time (YYYY/MM/DD, UTC) | Transect End Time (YYYY/MM/DD, UTC) | Distance (km) | Geographical Feature |
|---|---|---|---|---|
| April | 15 April 2010, 09:00 | 15 April 2020, 14:08 | 55.93 | St.1~St.6 |
| 16 April 2010, 02:40 | 16 April 2010, 07:07 | 33.15 | St.7~St.12 | |
| May | 17 May 2010, 07:10 | 17 May 2010, 12:24 | 51.67 | St.1~St.6 |
| 19 May 2010, 23:17 | 20 May 2010, 04:46 | 38.71 | St.7~St.12 | |
| June | 14 June 2010, 07:38 | 14 June 2010, 12:13 | 42.04 | St.7~St.12 |
| 15 June 2010, 03:17 | 15 June 2010, 08:12 | 36.30 | St.1~St.6 | |
| July | 18 July 2010, 00:41 | 18 July 2010, 09:22 | 83.52 | St.1~St.12 |
| Frequency (kHz) | 38 | 120 |
| Transmitted power (W) | 1000 | 500 |
| Pulse duration (ms) | 0.512 | 0.512 |
| Two-way beam angle (dB) | −15.50 | −20.80 |
| Receiver bandwidth (kHz) | 2.43 | 3.03 |
| Transducer gain (dB) | 21.61 | 25.46 |
| 3-dB Beam angle (along/athwart) (°) | 12.07/11.77 | 6.41/6.39 |
| SA correction | −0.79 | −0.37 |
| Date | 120 kHz Mean TS | E. pacifica Density (mg m−2) | |
|---|---|---|---|
| Mean (SD) | Median (SE) | ||
| April, 2010 | −85.86 dB | 75.92 (126.52) | 33.12 (5.62) |
| May, 2010 | −84.33 dB | 85.33 (252.24) | 0.00 (11.21) |
| June, 2010 | −84.44 dB | 71.44 (130.45) | 18.53 (5.80) |
| July, 2010 | −82.94 dB | 54.10 (157.67) | 3.08 (7.01) |
Publisher’s Note: MDPI stays neutral with regard to jurisdictional claims in published maps and institutional affiliations. |
© 2022 by the authors. Licensee MDPI, Basel, Switzerland. This article is an open access article distributed under the terms and conditions of the Creative Commons Attribution (CC BY) license (https://creativecommons.org/licenses/by/4.0/).
Share and Cite
Lee, H.; Choi, J.; Im, Y.; Oh, W.; Hwang, K.; Lee, K. Spatial–Temporal Distribution of the Euphausiid Euphausia pacifica and Fish Schools in the Coastal Southwestern East Sea. Water 2022, 14, 203. https://doi.org/10.3390/w14020203
Lee H, Choi J, Im Y, Oh W, Hwang K, Lee K. Spatial–Temporal Distribution of the Euphausiid Euphausia pacifica and Fish Schools in the Coastal Southwestern East Sea. Water. 2022; 14(2):203. https://doi.org/10.3390/w14020203
Chicago/Turabian StyleLee, Hyungbeen, Junghwa Choi, Yangjae Im, Wooseok Oh, Kangseok Hwang, and Kyounghoon Lee. 2022. "Spatial–Temporal Distribution of the Euphausiid Euphausia pacifica and Fish Schools in the Coastal Southwestern East Sea" Water 14, no. 2: 203. https://doi.org/10.3390/w14020203
APA StyleLee, H., Choi, J., Im, Y., Oh, W., Hwang, K., & Lee, K. (2022). Spatial–Temporal Distribution of the Euphausiid Euphausia pacifica and Fish Schools in the Coastal Southwestern East Sea. Water, 14(2), 203. https://doi.org/10.3390/w14020203

