Abundance, Composition, and Potential Ecological Risks of Microplastics in Surface Water at Different Seasons in the Pearl River Delta, China
Abstract
:1. Introduction
2. Materials and Methods
2.1. Study Area and Sample Collection
2.2. Extraction of MPs
2.3. Characterization of MPs
2.4. Socio-Economic Indicators
2.5. Potential Ecological Risk Evaluation
2.6. Quality Assurance and Quality Control
2.7. Statistical Analysis
3. Results and Discussion
3.1. Abundance and Distribution of MPs
3.2. Morphological Characteristics of MPs
3.3. The Distribution, Micrographs, and FT-IR Results of MPs
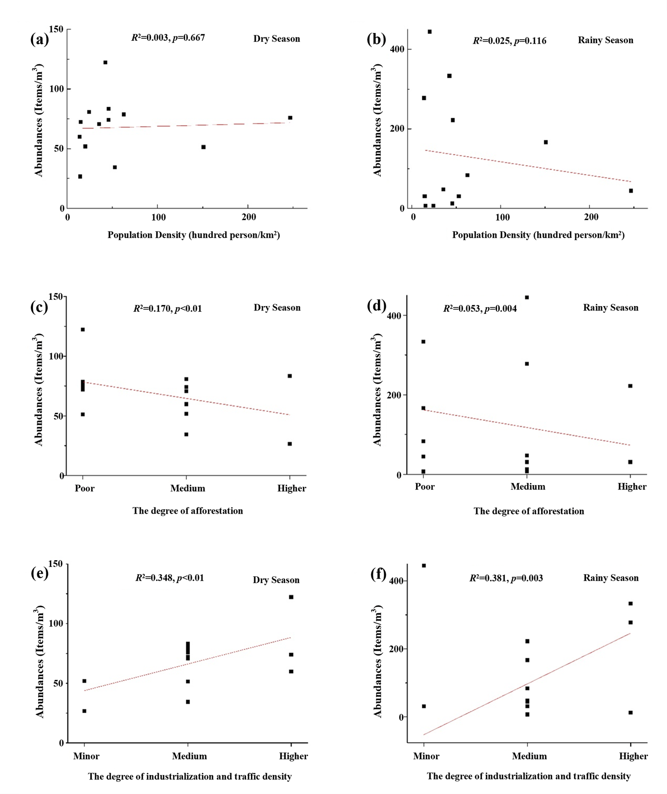
3.4. The Correlation Analysis of the Socio-Economic Indicators and MP Abundances
3.5. Potential Ecological Risk Associated with MP Abundance
4. Conclusions
Author Contributions
Funding
Acknowledgments
Conflicts of Interest
References
- Thompson, R.C.; Olsen, Y.; Mitchell, R.P.; Davis, A.; Rowland, S.J.; John, A.W.G.; McGonigle, D.; Russell, A.E. Lost at sea: Where is all the plastic? Science 2004, 304, 838. [Google Scholar] [CrossRef] [PubMed]
- Zhao, Y.B.; Gao, P.P.; Ni, H.G. A Chemical Time Bomb: Future Risks of Microplastics. Water Air Soil Pollut. 2019, 230, 268. [Google Scholar] [CrossRef]
- Van Cauwenberghe, L.; Vanreusel, A.; Mees, J.; Janssen, C.R. Microplastic pollution in deep-sea sediments. Environ. Pollut. 2013, 182, 495–499. [Google Scholar] [CrossRef]
- Lusher, A.L.; Tirelli, V.; O’Connor, I.; Officer, R. Microplastics in Arctic polar waters: The first reported values of particles in surface and sub-surface samples. Sci. Rep. 2015, 5, 14947. [Google Scholar] [CrossRef] [PubMed]
- Jambeck, J.R.; Geyer, R.; Wilcox, C.; Siegler, T.R.; Perryman, M.; Andrady, A.; Narayan, R.; Law, K.L. Plastic waste inputs from land into the ocean. Science 2015, 347, 768–771. [Google Scholar] [CrossRef]
- Wong, J.K.H.; Lee, K.K.; Tang, K.H.D.; Yap, P.S. Microplastics in the freshwater and terrestrial environments: Prevalence, fates, impacts and sustainable solutions. Sci. Total Environ. 2020, 719, 137512. [Google Scholar] [CrossRef] [PubMed]
- Kumar, R.; Sharma, P.; Manna, C.; Jain, M. Abundance, interaction, ingestion, ecological concerns, and mitigation policies of microplastic pollution in riverine ecosystem: A review. Sci. Total Environ. 2021, 782, 146695. [Google Scholar] [CrossRef]
- Zhou, A.G.; Zhang, Y.; Xie, S.L.; Chen, Y.L.; Li, X.; Wang, J.; Zou, J.X. Microplastics and their potential effects on the aquaculture systems: A critical review. Rev. Aquac. 2021, 13, 719–733. [Google Scholar] [CrossRef]
- Xu, Y.Y.; Chan, F.K.S.; Johnson, M.; Stanton, T.; He, J.; Jia, T.; Wang, J.; Wang, Z.L.; Yao, Y.T.; Yang, J.T.; et al. Microplastic pollution in Chinese urban rivers: The influence of urban factors. Resour. Conserv. Recycl. 2021, 173, 105686. [Google Scholar] [CrossRef]
- Vital, S.A.; Cardoso, C.; Avio, C.; Pittura, L.; Regoli, F.; Bebianno, M.J. Do microplastic contaminated seafood consumption pose a potential risk to human health? Mar. Pollut. Bull. 2021, 171, 112769. [Google Scholar] [CrossRef] [PubMed]
- Barbosa, F.; Adeyemi, J.A.; Bocato, M.Z.; Comas, A.; Campiglia, A. A critical viewpoint on current issues, limitations, and future research needs on micro- and nanoplastic studies: From the detection to the toxicological assessment. Environ. Res. 2020, 182, 109089. [Google Scholar] [CrossRef] [PubMed]
- Yin, L.S.; Wen, X.F.; Huang, D.L.; Du, C.Y.; Deng, R.; Zhou, Z.Y.; Tao, J.X.; Li, R.J.; Zhou, W.; Wang, Z.Y.; et al. Interactions between microplastics/nanoplastics and vascular plants. Environ. Pollut. 2021, 290, 117999. [Google Scholar] [CrossRef] [PubMed]
- Beloe, C.J.; Browne, M.A.; Johnston, E.L. Plastic Debris As a Vector for Bacterial Disease: An Interdisciplinary Systematic Review. Environ. Sci. Technol. 2022, 56, 2950–2958. [Google Scholar] [CrossRef]
- Wang, S.D.; Zhang, C.N.; Pan, Z.K.; Sun, D.; Zhou, A.G.; Xie, S.L.; Wang, J.; Zou, J.X. Microplastics in wild freshwater fish of different feeding habits from Beijiang and Pearl River Delta regions, south China. Chemosphere 2020, 258, 127345. [Google Scholar] [CrossRef] [PubMed]
- Fan, Y.J.; Zheng, K.; Zhu, Z.W.; Chen, G.S.; Peng, X.Z. Distribution, sedimentary record, and persistence of microplastics in the Pearl River catchment, China. Environ. Pollut. 2019, 251, 862–870. [Google Scholar] [CrossRef]
- Zuo, L.Z.; Sun, Y.X.; Li, H.X.; Hu, Y.X.; Lin, L.; Peng, J.P.; Xu, X.R. Microplastics in mangrove sediments of the Pearl River Estuary, South China: Correlation with halogenated flame retardants’ levels. Sci. Total Environ. 2020, 725, 138344. [Google Scholar] [CrossRef] [PubMed]
- Li, S.Y.; Wang, Y.L.; Liu, L.H.; Lai, H.W.; Zeng, X.C.; Chen, J.Y.; Liu, C.; Luo, Q.J. Temporal and Spatial Distribution of Microplastics in a Coastal Region of the Pearl River Estuary, China. Water 2021, 13, 1618. [Google Scholar] [CrossRef]
- Dou, M.; Zuo, Q.T.; Zhang, J.P.; Li, C.Y.; Li, G.Q. Influence of changes in hydrodynamic conditions on cadmium transport in tidal river network of the Pearl River Delta, China. Environ. Monit. Assess. 2013, 185, 7501–7516. [Google Scholar] [CrossRef] [PubMed]
- Liu, B.J.; Peng, S.H.; Liao, Y.Y.; Long, W.L. The causes and impacts of water resources crises in the Pearl River Delta. J. Clean. Prod. 2018, 177, 413–425. [Google Scholar] [CrossRef]
- Fan, J.J.; Wang, S.; Tang, J.P.; Zhao, J.L.; Wang, L.; Wang, J.X.; Liu, S.L.; Li, F.; Long, S.X.; Yang, Y. Bioaccumulation of endocrine disrupting compounds in fish with different feeding habits along the largest subtropical river, China. Environ. Pollut. 2019, 247, 999–1008. [Google Scholar] [CrossRef]
- Yan, M.T.; Nie, H.Y.; Xu, K.H.; He, H.Y.; Hu, Y.T.; Huang, Y.M.; Wang, J. Microplastic abundance, distribution and composition in the Pearl River along Guangzhou city and Pearl River estuary, China. Chemosphere 2019, 217, 879–886. [Google Scholar] [CrossRef] [PubMed]
- Zhou, Y.; Liu, J.; Wu, R.H. Analysis on water environmental problems and their causes in Pearl River delta. Yunnan Geogr. Environ. Res. 2003, 15, 47–53. [Google Scholar]
- Mai, Y.Z.; Peng, S.Y.; Lai, Z.N.; Wang, X.S. Measurement, quantification, and potential risk of microplastics in the mainstream of the Pearl River (Xijiang River) and its estuary, Southern China. Environ. Sci. Pollut. Res. 2021, 28, 53127–53140. [Google Scholar] [CrossRef]
- Li, H.; Yang, J.Q.; Ye, B.; Jiang, D.Y. Pollution characteristics and ecological risk assessment of 11 unheeded metals in sediments of the Chinese Xiangjiang River. Environ. Geochem. Health 2019, 41, 1459–1472. [Google Scholar] [CrossRef] [PubMed]
- Li, R.L.; Yu, L.Y.; Chai, M.W.; Wu, H.L.; Zhu, X.S. The distribution, characteristics and ecological risks of microplastics in the mangroves of Southern China. Sci. Total Environ. 2020, 708, 135025. [Google Scholar] [CrossRef] [PubMed]
- Lithner, D.; Larsson, A.; Dave, G. Environmental and health hazard ranking and assessment of plastic polymers based on chemical composition. Sci. Total Environ. 2011, 409, 3309–3324. [Google Scholar] [CrossRef] [PubMed]
- Cheung, P.K.; Fok, L.; Hung, P.L.; Cheung, L.T.O. Spatio-temporal comparison of neustonic microplastic density in Hong Kong waters under the influence of the Pearl River Estuary. Sci. Total Environ. 2018, 628–629, 731–739. [Google Scholar] [CrossRef] [PubMed]
- Li, X.T.; Liang, R.F.; Li, Y.; Zhang, Y.D.; Wang, Y.M.; Li, K.F. Microplastics in inland freshwater environments with different regional functions: A case study on the Chengdu Plain. Sci. Total Environ. 2021, 789, 147938. [Google Scholar] [CrossRef] [PubMed]
- Bissen, R.; Chawchai, S. Microplastics on beaches along the eastern Gulf of Thailand—A preliminary study. Mar. Pollut. Bull. 2020, 157, 111345. [Google Scholar] [CrossRef] [PubMed]
- Yin, L.S.; Wen, X.F.; Du, C.Y.; Jiang, J.; Wu, L.X.; Zhang, Y.; Hu, Z.H.; Hu, S.P.; Feng, Z.Q.; Zhou, Z.Y.; et al. Comparison of the abundance of microplastics between rural and urban areas: A case study from East Dongting Lake. Chemosphere 2020, 244, 125486. [Google Scholar] [CrossRef] [PubMed]
- Wu, Q.Q.; Liu, S.G.; Chen, P.; Liu, M.Y.; Cheng, S.Y.; Ke, H.W.; Huang, P.; Ding, Y.C.; Cai, M.G. Microplastics in seawater and two sides of the Taiwan Strait: Reflection of the social-economic development. Mar. Pollut. Bull. 2021, 169, 112588. [Google Scholar] [CrossRef] [PubMed]
- Wang, G.L.; Lu, J.J.; Tong, Y.B.; Liu, Z.L.; Zhou, H.J.; Xiayihazi, N. Occurrence and pollution characteristics of microplastics in surface water of the Manas River Basin, China. Sci. Total Environ. 2020, 710, 136099. [Google Scholar] [CrossRef] [PubMed]
- Wu, P.; Tang, Y.; Dang, M.; Wang, S.; Jin, H.; Liu, Y.; Jing, H.; Zheng, C.; Yi, S.; Cai, Z. Spatial-Temporal Distribution of Microplastics in Surface Water and Sediments of Maozhou River within Guangdong-Hong Kong-Macao Greater Bay Area. Sci. Total Environ. 2020, 717, 135187. [Google Scholar] [CrossRef] [PubMed]
- Mohamed, H.E.; Abdullah, A.; Salem, S.A. Optimization of amine-terminated polyacrylonitrile synthesis and characterization. Arab. J. Chem. 2014, 7, 235. [Google Scholar]
- Siegfried, M.; Koelmans, A.A.; Besseling, E.; Kroeze, C. Export of microplastics from land to sea. A modelling approach. Water Res. 2017, 127, 249–257. [Google Scholar] [CrossRef]
- Miranda, M.N.; Silva, A.M.T.; Pereira, M.F.R. Microplastics in the environment: A DPSIR analysis with focus on the responses. Sci. Total Environ. 2020, 718, 134968. [Google Scholar] [CrossRef] [PubMed]
- Santos, R.G.; Machovsky-Capuska, G.E.; Andrades, R. Plastic ingestion as an evolutionary trap: Toward a holistic understanding. Science 2021, 373, 56. [Google Scholar] [CrossRef] [PubMed]
- Tang, G.W.; Liu, M.Y.; Zhou, Q.; He, H.X.; Chen, K.; Zhang, H.B.; Hu, J.H.; Huang, Q.H.; Luo, Y.M.; Ke, H.W. Microplastics and polycyclic aromatic hydrocarbons (PAHs) in Xiamen coastal areas: Implications for anthropogenic impacts. Sci. Total Environ. 2018, 634, 811–820. [Google Scholar] [CrossRef] [PubMed]
- Zhou, Y.F.; Liu, X.N.; Wang, J. Characterization of microplastics and the association of heavy metals with microplastics in suburban soil of central China. Sci. Total Environ. 2019, 694, 133798. [Google Scholar] [CrossRef] [PubMed]
- Huang, Y.L.; Tian, M.; Jin, F.; Chen, M.Y.; Liu, Z.G.; He, S.Q.; Li, F.X.; Yang, L.Y.; Fang, C.; Mu, J.L. Coupled effects of urbanization level and dam on microplastics in surface waters in a coastal watershed of Southeast China. Mar. Pollut. Bull. 2020, 154, 111089. [Google Scholar] [CrossRef] [PubMed]
- Zhang, K.; Chen, X.C.; Xiong, X.; Ruan, Y.F.; Zhou, H.E.; Wu, C.X.; Lam PK, S. The hydro-fluctuation belt of the Three Gorges Reservoir: Source or sink of microplastics in the water? Environ. Pollut. 2019, 248, 279–285. [Google Scholar] [CrossRef]
- Amrutha, K.; Warrier, A.K. The first report on the source-to-sink characterization of microplastic pollution from a riverine environment in tropical India. Sci. Total Environ. 2020, 739, 140377. [Google Scholar] [CrossRef] [PubMed]
- Song, Y.K.; Hong, S.H.; Jang, M.; Kang, J.H.; Kwon, O.Y.; Han, G.M.; Shim, W.J. Large Accumulation of Micro-sized Synthetic Polymer Particles in the Sea Surface Microlayer. Environ. Sci. Technol. 2014, 48, 9014–9021. [Google Scholar] [CrossRef]
- Song, Y.K.; Hong, S.H.; Jang, M.; Han, G.M.; Shim, W.J. Occurrence and Distribution of Microplastics in the Sea Surface Microlayer in Jinhae Bay, South Korea. Arch. Environ. Contam. Toxicol. 2015, 69, 279–287. [Google Scholar] [CrossRef] [PubMed]
- Zhou, Z.Y.; Zhang, P.Y.; Zhang, G.M.; Wang, S.Q.; Cai, Y.J.; Wang, H.J. Vertical microplastic distribution in sediments of Fuhe River estuary to Baiyangdian Wetland in Northern China. Chemosphere 2021, 280, 130800. [Google Scholar] [CrossRef] [PubMed]
- Kularatne, R.K.A. Occurrence of selected volatile organic compounds in a bra cup manufacturing facility. Int. J. Environ. Sci. Technol. 2017, 14, 315–322. [Google Scholar] [CrossRef]
- Yan, D.X.; Bai, Z.K.; Liu, X.Y. Heavy-Metal Pollution Characteristics and Influencing Factors in Agricultural Soils: Evidence from Shuozhou City, Shanxi Province, China. Sustainability 2020, 12, 1907. [Google Scholar] [CrossRef]
- Xu, P.; Peng, G.Y.; Su, L.; Gao, Y.Q.; Gao, L.; Li, D.J. Microplastic risk assessment in surface waters: A case study in the Changjiang Estuary, China. Mar. Pollut. Bull. 2018, 133, 647–654. [Google Scholar] [CrossRef]
- Neelavannan, K.; Sen, I.S.; Lone, A.M.; Gopinath, K. Microplastics in the high-altitude Himalayas: Assessment of microplastic contamination in freshwater lake sediments, Northwest Himalaya (India). Chemosphere 2021, 290, 133354. [Google Scholar] [CrossRef]
- Eriksson, C.; Burton, H. Origins and biological accumulation of small plastic particles in fur seals from Macquarie Island. Ambio 2003, 32, 380–384. [Google Scholar] [CrossRef]
- Wang, J.Z.; Nie, Y.F.; Luo, X.L.; Zeng, E.Y. Occurrence and phase distribution of polycyclic aromatic hydrocarbons in riverine runoff of the Pearl River Delta, China. Mar. Pollut. Bull. 2008, 57, 767–774. [Google Scholar] [CrossRef] [PubMed]
- Xu, W.H.; Yan, W.; Li, X.D.; Zou, Y.D.; Chen, X.X.; Huang, W.X.; Miao, L.; Zhang, R.J.; Zhang, G.; Zou, S.C. Antibiotics in riverine runoff of the Pearl River Delta and Pearl River Estuary, China: Concentrations, mass loading and ecological risks. Environ. Pollut. 2013, 182, 402–407. [Google Scholar] [CrossRef] [PubMed]
- Zhang, L.Y.; Guo, S.H.; Wu, B. The source, spatial distribution and risk assessment of heavy metals in soil from the Pearl River Delta Based on the National Multi-Purpose Regional Geochemical Survey. PLoS ONE 2015, 10, e0132040. [Google Scholar] [CrossRef] [PubMed]
- Ouyang, T.P.; Zhu, Z.Y.; Kuang, Y.Q. Assessing impact of urbanization on river water quality in the Pearl River Delta Economic Zone, China. Environ. Monit. Assess. 2006, 120, 313–325. [Google Scholar] [CrossRef] [PubMed]
- Lu, Q.Q.; Bai, J.H.; Zhang, G.L.; Wu, J.J. Effects of coastal reclamation history on heavy metals in different types of wetland soils in the Pearl River Delta: Levels, sources and ecological risks. J. Clean. Prod. 2020, 272, 122668. [Google Scholar] [CrossRef]
- Renzi, M.; Pauna, V.H.; Provenza, F.; Munari, C.; Mistri, M. Marine Litter in Transitional Water Ecosystems: State of The Art Review Based on a Bibliometric Analysis. Water 2020, 12, 612. [Google Scholar] [CrossRef]









| Ei | Risk Category | RI | Risk Category | H | Risk Category | PLI | Risk Category |
|---|---|---|---|---|---|---|---|
| <40 | Minor | <150 | Minor | <10 | I | <10 | I |
| 0–80 | Medium | 150–300 | Medium | 10–100 | II | 10–20 | II |
| 80–160 | High | 300–600 | High | 100–1000 | III | 20–30 | III |
| 160–320 | Danger | 600–1200 | Danger | >1000 | IV | >30 | IV |
| ≥320 | Extreme danger | ≥1200 | Extreme danger |
| Sites | Ei | RI | H | PLI | ||||||||||||||
|---|---|---|---|---|---|---|---|---|---|---|---|---|---|---|---|---|---|---|
| PE | PP | PET | PA | PS | PAN | |||||||||||||
| Dry Season | Rainy Season | Dry Season | Rainy Season | Dry Season | Rainy Season | Dry Season | Rainy Season | Dry Season | Rainy Season | Dry Season | Rainy Season | Dry Season | Rainy Season | Dry Season | Rainy Season | Dry Season | Rainy Season | |
| 21 (Mi) | ~ | 2 (Mi) | ~ | 19 (Mi) | 640 | ~ | 8325 (Ex) | ~ | ~ | ~ | 65,385 (Ex) | 23 (Mi) | 74,350 (Ex) | 8 (I) | 196 (III) | 1.4 (I) | 8.0 (I) | |
| PRB | ~ | ~ | 2 (Mi) | ~ | 19 (Mi) | 240(Da) | ~ | ~ | 57 (Me) | ~ | ~ | 78 (Mi) | 240 (Me) | 5 (I) | 10 (II) | 1.4 (I) | 5.0 (I) | |
| XT | ~ | ~ | 3 (Mi) | ~ | 30 (Mi) | 10 (Mi) | ~ | 134 (Hi) | ~ | ~ | ~ | 33 (Mi) | 144 (Mi) | 5 (I) | 70 (III) | 1.7 (I) | 1.0 (I) | |
| LHS | ~ | ~ | ~ | ~ | 27 (Mi) | ~ | ~ | 130 (Hi) | ~ | ~ | ~ | 27 (Mi) | 130 (Mi) | 10 (II) | 130 (III) | 1.7 (I) | 1.0 (I) | |
| CC | ~ | ~ | ~ | ~ | 45 (Me) | ~ | ~ | 6243 (Ex) | ~ | ~ | ~ | 45 (Mi) | 6243 (Ex) | 10 (II) | 130 (III) | 2.14 (I) | 6.9 (I) | |
| SQ | ~ | ~ | 3 (Mi) | ~ | ~ | 64 (Me) | ~ | 832 (Ex) | 85 (Hi) | ~ | ~ | 88 (Mi) | 896 (Da) | 4 (I) | 40 (III) | 1.7 (I) | 2.5 (I) | |
| BJ | ~ | ~ | 3 (Mi) | ~ | 27 (Mi) | 18 (Mi) | ~ | ~ | ~ | 55 (Me) | ~ | 1886 (Ex) | 30 (Mi) | 1959 (Ex) | 7 (I) | 345 (III) | 1.7 (I) | 1.4 (I) |
| ZT | ~ | 352 (Ex) | 3 (Mi) | ~ | 31 (Mi) | 320 (Ex) | ~ | 4162 (Ex) | ~ | ~ | ~ | 32,692 (Ex) | 34 (Mi) | 37,527 (Ex) | 7 (I) | 293 (III) | 1.8 (I) | 5.7 (I) |
| LH | ~ | ~ | 2 (Mi) | ~ | 22 (Mi) | 400 (Ex) | ~ | 5203 (Ex) | ~ | ~ | ~ | ~ | 24 (Mi) | 5603 (Ex) | 5 (I) | 82 (III) | 1.5 (I) | 6.3 (I) |
| HL | ~ | ~ | 3 (Mi) | ~ | 29 (Mi) | ~ | ~ | 1560 (Ex) | 88 (Hi) | ~ | ~ | ~ | 120 (Mi) | 1560 (Ex) | 8 (I) | 130 (III) | 1.7 (I) | 3.5 (I) |
| XL | 14 (Mi) | ~ | ~ | ~ | 12 (Mi) | 44 (Me) | ~ | 578 (Ex) | ~ | ~ | ~ | ~ | 14 (Mi) | 622 (Da) | 10 (II) | 58 (III) | 1.1 (I) | 2.1 (I) |
| WH | 29 (Mi) | ~ | 3 (Mi) | ~ | ~ | 68 (Me) | ~ | 892 (Ex) | ~ | ~ | ~ | ~ | 5 (Mi) | 960 (Da) | 4 (I) | 106 (III) | 1.6 (I) | 2.6 (I) |
| XW | 11 (Mi) | ~ | ~ | ~ | 10 (Mi) | ~ | ~ | 578 (Ex) | 30 (Mi) | ~ | ~ | ~ | 41 (Mi) | 578 (Hi) | 10 (II) | 130 (III) | 1 (I) | 2.1 (I) |
Publisher’s Note: MDPI stays neutral with regard to jurisdictional claims in published maps and institutional affiliations. |
© 2022 by the authors. Licensee MDPI, Basel, Switzerland. This article is an open access article distributed under the terms and conditions of the Creative Commons Attribution (CC BY) license (https://creativecommons.org/licenses/by/4.0/).
Share and Cite
Gao, Y.; Fan, K.; Wang, C.; Zeng, Y.; Li, H.; Mai, Y.; Liu, Q.; Lai, Z. Abundance, Composition, and Potential Ecological Risks of Microplastics in Surface Water at Different Seasons in the Pearl River Delta, China. Water 2022, 14, 2545. https://doi.org/10.3390/w14162545
Gao Y, Fan K, Wang C, Zeng Y, Li H, Mai Y, Liu Q, Lai Z. Abundance, Composition, and Potential Ecological Risks of Microplastics in Surface Water at Different Seasons in the Pearl River Delta, China. Water. 2022; 14(16):2545. https://doi.org/10.3390/w14162545
Chicago/Turabian StyleGao, Yuan, Keyu Fan, Chao Wang, Yanyi Zeng, Haiyan Li, Yongzhan Mai, Qianfu Liu, and Zini Lai. 2022. "Abundance, Composition, and Potential Ecological Risks of Microplastics in Surface Water at Different Seasons in the Pearl River Delta, China" Water 14, no. 16: 2545. https://doi.org/10.3390/w14162545
APA StyleGao, Y., Fan, K., Wang, C., Zeng, Y., Li, H., Mai, Y., Liu, Q., & Lai, Z. (2022). Abundance, Composition, and Potential Ecological Risks of Microplastics in Surface Water at Different Seasons in the Pearl River Delta, China. Water, 14(16), 2545. https://doi.org/10.3390/w14162545

