A Moment-Based Chezy Formula for Bed Shear Stress in Varied Flow
Abstract
:1. Introduction
2. Method Statement
2.1. The Moment-of-Momentum Concept
2.2. Main Assumptions
- The flow is shallow, and the channel stream width is generally wide.
- The non-hydrostatic effects are negligible or disregarded.
- The fluid is Newtonian.
- The flow is turbulent.
2.3. New Moment Bed Shear Stress Formula
2.4. Calibration of the New Moment Bed Shear Stress Formula
2.5. Revised 2D Horizontal Chezy Formula for Bed Shear Stress
3. Discussion and Results
3.1. 1D Applications
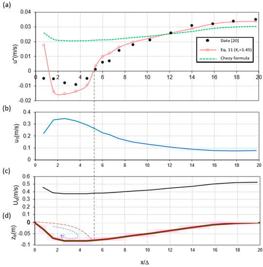
3.1.1. Low-Flow Regime over Bedforms
3.1.2. Air Flow over a Negative Step
3.1.3. Water Jet Flow Downstream a Free Gate
3.2. 2D Application
4. Conclusions and Challenges
Funding
Institutional Review Board Statement
Informed Consent Statement
Data Availability Statement
Acknowledgments
Conflicts of Interest
Abbreviations
| b | channel/flume bed width |
| C* | original dimensionless Chezy coefficient |
| C2 | revised dimensionless Chezy coefficient (refer to Equation (12)) |
| Fn | dimensionless Froude number |
| fo | a constant (refer to Equation (10)) |
| g | acceleration of gravity |
| h | local water depth at distance x |
| Kr | dimensionless calibration coefficient with a value ranging from about 1.45 to 2.7 |
| ks | equivalent sand grain roughness height |
| n | Manning’s roughness coefficient |
| Rh | hydraulic radius (flow area/witted perimeter) |
| Rn | dimensionless Reynolds number |
| Uo | depth-averaged water velocity along the flow x direction |
| u1 | moment velocity scale along the flow x direction (refer to Figure 1) |
| u1max | maximum value of u1 (refer to Figure 3) |
| u1log | moment velocity scale in the case of logarithmic velocity profile |
| u(z) | downstream velocity at level z above the datum |
| u* | local bed shear velocity |
| Vo | depth-averaged velocity along the lateral y direction |
| v1 | moment velocity scale along the lateral y direction (refer to Equation (23)) |
| x | horizontal coordinate in the flow direction |
| Xr | location of the point of reattachment from the crest of the bedform |
| z | vertical coordinate normal to the flow and measured from a given arbitrary horizontal datum |
| zav | vertical distance from a given arbitrary horizontal datum up to the mid water depth |
| zb | local bed level |
| Δz | numerical discretization in the z direction |
| MofM | moment of momentum (refer to Figure 1) |
| VAM | vertically averaged and moment model |
| α | ratio between u1log and Uo (refer to Equation (5)) |
| αb | angle of the bed shear stress with respect to the flow direction (refer to Equation (24)) |
| Δ | bedform height (refer to Equation (15)) |
| κ | von Karman constant |
| λ | bedform wavelength |
| turbulence vertical length scale | |
| ν | fluid kinematic viscosity coefficient (refer to Equation (15)) |
| νt | eddy viscosity coefficient (refer to Equation (6)) |
| ρ | water density |
| τbx | local bed shear stress component along the flow x direction (refer to Equation (22)) |
| τby | local bed shear stress component along the lateral y direction (refer to Equation (23)) |
References
- Marta, K.; Popek, Z. Bed shear stress influence on local scour geometry properties in various flume development conditions. Water 2019, 11, 2346. [Google Scholar]
- Hu, H.; Parsons, D.R.; Ockelford, A.; Hardy, R.J.; Ashworth, P.J.; Best, J. Sediment Transport Dynamics and Bedform Evolution During Unsteady Flows. In AGU Fall Meeting Abstracts; AGU: San Francisco, CA, USA, 2016; Volume 2016, p. EP53E-1026. [Google Scholar]
- Queralt, G.S. Bedforms and Associated Sediment. Dynamics on the Inner Shelves at Different Spatio-Temporal Scales. Ph.D. Dissertation, University of Barcelona, Barcelona, Spain, 2018. [Google Scholar]
- Ioan, D.; Ioan, S.; Camelia, Ș. Discussion about the shear stress distribution term in open channel flow. Ser. Hidroteh. Trans. Hydrotech. Tom 2014, 59, Fascicola 2. [Google Scholar]
- Elgamal, M.H.; Steffler, P.M. A Bed Stress Model for Non-Uniform Open Channel Flow. In Proceedings of the 15th Hydrotechnical Conference, CSCE, Vancouver, BC, Canada, 30 May–2 June 2001. [Google Scholar]
- Zarbi, G.; Reynolds, A.J. Skin friction measurements in turbulent flow by means of Preston tubes. Fluid Dyn. Res. 1991, 7, 151–164. [Google Scholar] [CrossRef]
- Sarchani, S.; Seiradakis, K.; Coulibaly, P.; Tsanis, I. Flood inundation mapping in an ungauged basin. Water 2020, 12, 1532. [Google Scholar] [CrossRef]
- Ongdas, N.; Akiyanova, F.; Karakulov, Y.; Muratbayeva, A.; Zinabdin, N. Application of HEC-RAS (2D) for flood hazard maps generation for Yesil (Ishim) river in Kazakhstan. Water 2020, 12, 2672. [Google Scholar] [CrossRef]
- Australian Water School, #71 Sediment Transport Modelling. Too Hard for Einstein? YouTube. Available online: https://www.youtube.com/watch?v=76FjruCW4KA (accessed on 9 March 2021).
- Steffler, P.M.; Jin, Y.C. Depth averaged and moment equations for moderately shallow free surface flow. J. Hydraul. Res. 1993, 31, 5–17. [Google Scholar] [CrossRef]
- Khan, A.A.; Steffler, P.M. Vertically averaged and moment equations model for flow over curved beds. J. Hydraul. Eng. 1996, 122, 3–9. [Google Scholar] [CrossRef]
- Ghamry, H.K.; Steffler, P.M. Effect of applying different distribution shapes for velocities and pressure on simulation of curved open channels. J. Hydraul. Eng. 2002, 128, 969–982. [Google Scholar] [CrossRef]
- Cantero-Chinchilla, F.N.; Castro-Orgaz, O.; Dey, S.; Ayuso-Muñoz, J.L. Nonhydrostatic dam break flows. II: One-dimensional depth-averaged modeling for movable bed flows. J. Hydraul. Eng. 2016, 142, 04016069. [Google Scholar] [CrossRef]
- Cantero-Chinchilla, F.N.; Castro-Orgaz, O.; Khan, A.A. Vertically-averaged and moment equations for flow and sediment transport. Adv. Water Resour. 2019, 132, 103387. [Google Scholar] [CrossRef]
- Elgamal, M.; Steffler, P. Stability Analysis of Dunes Using 1-D Depth Averaged Flow Models, 2 nd IAHR Symposium on Rivers, Coastal and Estuarine Morpho-Dynamics; RCEM: Obihiro, Japan, 2001. [Google Scholar]
- Cantero-Chinchilla, F.N.; Bergillos, R.J.; Gamero, P.; Castro-Orgaz, O.; Cea, L.; Hager, W.H. Vertically averaged and moment equations for dam-break wave modeling: Shallow water hypotheses. Water 2020, 12, 3232. [Google Scholar] [CrossRef]
- Ghamry, H.K.; Peter, M.S. Two dimensional vertically averaged and moment equations for rapidly varied flows. J. Hydraul. Res. 2002, 40, 579–587. [Google Scholar] [CrossRef]
- Albers, C.; Steffler, P. Estimating transverse mixing in open channels due to secondary current-induced shear dispersion. J. Hydraul. Eng. 2007, 133, 186–196. [Google Scholar] [CrossRef]
- Schlichting, H. Boundary Layer Theory, 7th ed.; McGraw Hill: New York, NY, USA, 1979. [Google Scholar]
- Van Mierlo, M.C.L.M.; de Ruiter, J.C.C. Turbulence Measurements above Artificial Dunes, Delft Hydraulics, Q789, Vols. 1 and 2, Jan. and March; Deltares: Rotterdam, The Netherland, 1988. [Google Scholar]
- Raudkivi, A.J. Study of sediment ripple formation. ASCE J. Hydr. Div. 1963, 89, 15–33. [Google Scholar] [CrossRef]
- Raudkivi, A.J. Bed forms in alluvial channels. J. Fluid Mech. 1966, 26, 507–514. [Google Scholar] [CrossRef]
- Nezu, I.; Kadota, A.; Kurata, M. Free Surface Flow Structures of Space-Time Correlation of Coherent Vortices Generated Behind Dune Bed. In Proceedings of the 6th International Symposium on Flow Modeling and Turbulence Measurements, Tallahasee, FL, USA, 8–10 September 1996; pp. 695–702. [Google Scholar]
- McLean, S.R.; Nelson, J.M.; Wolfe, S.R. Turbulence structure over two-dimensional bed forms: Implications for sediment transport. J. Geophys. Res. 1999, 99, 12729–12747. [Google Scholar] [CrossRef]
- McLean, S.R.; Wolfe, S.R.; Nelson, J.M. Predicting boundary shear stress and sediment transport over bed forms. J. Hydraul. Engrg. 1999, 125, 725–736. [Google Scholar] [CrossRef]
- Sajjadi, S.; Aldridge, J. Prediction of turbulent flow over rough asymmetrical bed forms. Appl. Math. Modelling 1995, 19, 139–152. [Google Scholar] [CrossRef]
- Van der Kaap, F.C.M. Mathematial Description of Water Movement over Dune-Covered River Beds; Delft Hydraulics: Rotterdam, The Netherland, 1984; R 657-XXXIII/W312. [Google Scholar]
- Engel, P. Length of flow separation over dunes. J. Hydraul. Div. 1981, 107, 1133–1143. [Google Scholar] [CrossRef]
- Nakagawa, H.; Nezu, I. Experimental investigation on turbulent structure of backward-facing step flow in an open channel. J. Hydraul. Res. 1987, 25, 67–88. [Google Scholar] [CrossRef]
- Driver, D.M.; Seegmiller, H.L. Feature of a reattaching turbulent shear layer in divergent channel flow. AIAA J. 1985, 23, 163–171. [Google Scholar] [CrossRef]
- Nelson, J.M.; Smith, J.D. Mechanics of flow over ripples and dunes. J. Geophys. Res. 1989, 94, 8146–8162. [Google Scholar] [CrossRef]
- Rajaratnam, N. Hydraulic Jumps. In Advances in Hydroscience; Academic Press: London, UK, 1967; Volume 4, pp. 197–280. [Google Scholar]
- Hasbo, P.B. Flow and Sediment. Transport. over Oblique Bed Forms. Series Paper 60 Institute of Hydrodynamic and Hydraulic Engineering; DK-2800; Technical University of Denmark: Lyngby, Denmark, 1995. [Google Scholar]











| T5 (1) | T6 (1) | Raudkivi (2) | Nezu (3) | RUN2 (4) | RUN3 (4) | RUN4 (4) | RUN5 (4) | RUN6 (4) | RUN7 (4) | |
|---|---|---|---|---|---|---|---|---|---|---|
| h(m) | 0.262 | 0.343 | 0.135 | 0.08 | 0.158 | 0.546 | 0.159 | 0.159 | 0.3 | 0.56 |
| q(m2/s) | 0.099 | 0.171 | 0.035 | 0.023 | 0.06 | 0.153 | 0.058 | 0.032 | 0.16 | 0.133 |
| l(m) | 1.6 | 1.6 | 0.386 | 0.42 | 0.807 | 0.807 | 0.408 | 0.408 | 0.408 | 0.408 |
| D(m) | 0.08 | 0.08 | 0.025 | 0.02 | 0.04 | 0.04 | 0.04 | 0.04 | 0.04 | 0.04 |
| Rh(m) | 0.1942 | 0.2354 | 0.0309 | 0.0571 | 0.1169 | 0.2467 | 0.1175 | 0.1175 | 0.1800 | 0.2495 |
| Rn | 73,370 | 117,338 | 8000 | 16,429 | 44,408 | 69,127 | 42,857 | 23,645 | 96,000 | 59,257 |
| ks(m) | 0.0024 | 0.0024 | 0.0006 | 0.0001 | 0.00075 | 0.00075 | 0.00075 | 0.00075 | 0.00075 | 0.00075 |
| C* | 17.02 | 17.53 | 15.34 | 19.15 | 18.33 | 19.99 | 18.32 | 17.99 | 19.51 | 19.92 |
| u*(m/s) | 0.0222 | 0.0284 | 0.0169 | 0.0150 | 0.0207 | 0.0140 | 0.0199 | 0.0112 | 0.0273 | 0.0119 |
| l/D | 20 | 20 | 15.4 | 21 | 20.2 | 20.2 | 10.2 | 10.2 | 10.2 | 10.2 |
| D/h | 0.3 | 0.23 | 0.19 | 0.25 | 0.25 | 0.07 | 0.25 | 0.25 | 0.13 | 0.07 |
| Fn | 0.24 | 0.27 | 0.23 | 0.32 | 0.31 | 0.12 | 0.29 | 0.16 | 0.31 | 0.1 |
| b(m) | 1.5 | 1.5 | 0.08 | 0.4 | 0.9 | 0.9 | 0.9 | 0.9 | 0.9 | 0.9 |
| Kr | 1.45 | 1.7 | 1.67 | 2.1 | 1.65 | 2.7 | 1.5 | 1.5 | 2.05 | 2.5 |
Publisher’s Note: MDPI stays neutral with regard to jurisdictional claims in published maps and institutional affiliations. |
© 2021 by the author. Licensee MDPI, Basel, Switzerland. This article is an open access article distributed under the terms and conditions of the Creative Commons Attribution (CC BY) license (https://creativecommons.org/licenses/by/4.0/).
Share and Cite
Elgamal, M. A Moment-Based Chezy Formula for Bed Shear Stress in Varied Flow. Water 2021, 13, 1254. https://doi.org/10.3390/w13091254
Elgamal M. A Moment-Based Chezy Formula for Bed Shear Stress in Varied Flow. Water. 2021; 13(9):1254. https://doi.org/10.3390/w13091254
Chicago/Turabian StyleElgamal, Mohamed. 2021. "A Moment-Based Chezy Formula for Bed Shear Stress in Varied Flow" Water 13, no. 9: 1254. https://doi.org/10.3390/w13091254
APA StyleElgamal, M. (2021). A Moment-Based Chezy Formula for Bed Shear Stress in Varied Flow. Water, 13(9), 1254. https://doi.org/10.3390/w13091254
