The Role of Climate Changes in the Spread of Freshwater Fishes: Implications for Alien Cool and Warm-Water Species in a Mediterranean Basin
Abstract
1. Introduction
2. Materials and Methods
2.1. Study Area
2.2. Fish and Environmental Data Collection
2.3. Body Condition
2.4. Statistical Analysis
2.5. Detection Probability, Occupancy, Colonization and Extinction Probabilities
3. Results
3.1. Distribution Pattern
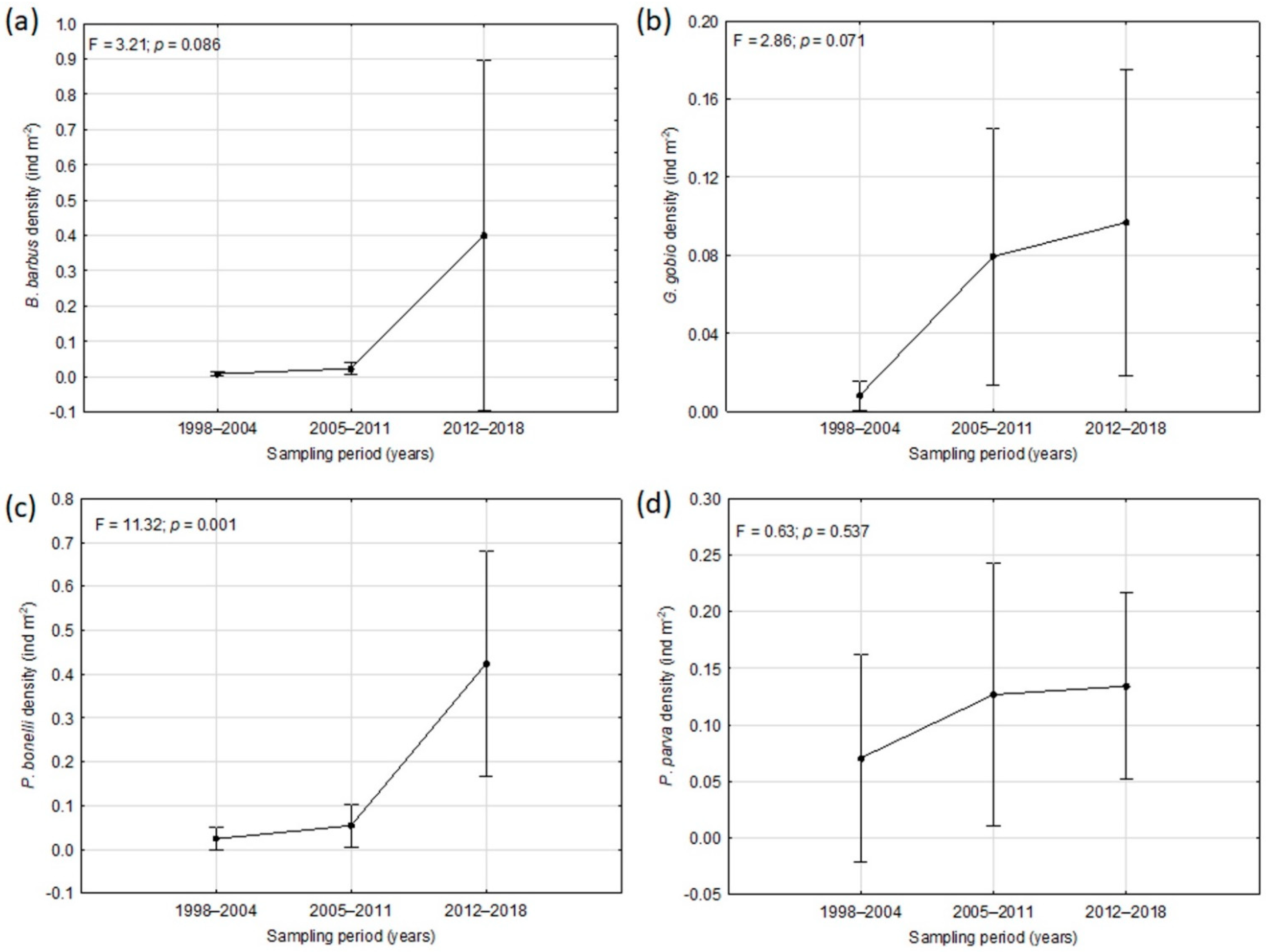
3.2. Population Status
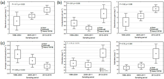
3.3. Ecological Requirements
3.4. Detectability, Occupancy, Colonization, and Local Extinction Probabilities
4. Discussion
5. Conclusions
Supplementary Materials
Author Contributions
Funding
Institutional Review Board Statement
Informed Consent Statement
Data Availability Statement
Acknowledgments
Conflicts of Interest
References
- Strayer, D.L. Alien species in fresh waters: Ecological effects, interactions with other stressors, and prospects for the future. Freshw. Biol. 2010, 55, 152–174. [Google Scholar] [CrossRef]
- Ricciardi, A.; Hoopes, M.F.; Marchetti, M.P.; Lockwood, J.L. Progress toward understanding the ecological impacts of nonnative species. Ecol. Monogr. 2013, 83, 263–282. [Google Scholar] [CrossRef]
- Moyle, P.B.; Kiernan, J.D.; Crain, P.K.; Quiñones, R.M. Climate change vulnerability of native and alien freshwater fishes of California: A systematic assessment approach. PLoS ONE 2013, 8, e63883. [Google Scholar] [CrossRef] [PubMed]
- Walther, G.-R.; Roques, A.; Hulme, P.E.; Sykes, M.T.; Pyšek, P.; Kühn, I.; Zobel, M.; Bacher, S.; Botta-Dukát, Z.; Bugmann, H.; et al. Alien species in a warmer world: Risks and opportunities. Trends Ecol. Evol. 2009, 24, 686–693. [Google Scholar] [CrossRef] [PubMed]
- Smith, A.L.; Hewitt, N.; Klenk, N.; Bazely, D.R.; Yan, N.; Wood, S.; Henriques, I.; MacLellan, J.I.; Lipsig-Mummé, C. Effects of climate change on the distribution of invasive alien species in Canada: A knowledge synthesis of range change projections in a warming world. Environ. Rev. 2012, 20, 1–16. [Google Scholar] [CrossRef]
- Rolls, R.J.; Hayden, B.; Kahilainen, K.K. Conceptualising the interactive effects of climate change and biological invasions on subarctic freshwater fish. Ecol. Evol. 2017, 7, 4109–4128. [Google Scholar] [CrossRef] [PubMed]
- Bellard, C.; Jeschke, J.M.; Leroy, B.; Mace, G.M. Insights from modeling studies on how climate change affects invasive alien species geography. Ecol. Evol. 2018, 8, 5688–5700. [Google Scholar] [CrossRef]
- Graham, C.T.; Harrod, C. Implications of climate change for the fishes of the British Isles. J. Fish Biol. 2009, 74, 1143–1205. [Google Scholar] [CrossRef]
- Cuttelod, A.; García, N.; Malak, A.D.; Temple, H.; Katariya, V. The Mediterranean: A biodiversity hotspot under threat. In Wildlife in a Changing World—An Analysis of the 2008 IUCN Red List of Threatened Species; Vié, J.C., Hilton-Taylor, C., Stuart, S.N., Eds.; IUCN: Gland, Switzerland, 2009; pp. 89–104. [Google Scholar]
- Hermoso, V.; Clavero, M. Threatening processes and conservation management of endemic freshwater fish in the Mediterranean basin: A review. Mar. Freshw. Res. 2011, 62, 244–254. [Google Scholar] [CrossRef]
- Erol, A.; Randhir, T.O. Climatic change impacts on the ecohydrology of Mediterranean watersheds. Clim. Chang. 2012, 114, 319–341. [Google Scholar] [CrossRef]
- Marr, S.M.; Olden, J.D.; Leprieur, F.; Arismendi, I.; Ćaleta, M.; Morgan, D.L.; Nocita, A.; Šanda, R.; Tarkan, S.A.; García-Berthou, E. A global assessment of freshwater fish introductions in mediterranean-climate regions. Hydrobiologia 2013, 719, 317–329. [Google Scholar] [CrossRef]
- Senent-Aparicio, J.; Pérez-Sánchez, J.; Carrillo-García, J.; Soto, J. Using SWAT and Fuzzy TOPSIS to Assess the Impact of Climate Change in the Headwaters of the Segura River Basin (SE Spain). Water 2017, 9, 149. [Google Scholar] [CrossRef]
- Isaak, D.J.; Rieman, B.E. Stream isotherm shifts from climate change and implications for distributions of ectothermic organisms. Glob. Chang. Biol. 2013, 19, 742–751. [Google Scholar] [CrossRef]
- Bernardo, J.M.; Ilhéu, M.; Matono, P.; Costa, A.M. Interannual variation of fish assemblage structure in a Mediterranean river: Implications of streamflow on the dominance of native or exotic species. River Res. Applic. 2003, 19, 521–532. [Google Scholar] [CrossRef]
- Ficke, A.D.; Myrick, C.A.; Hansen, L.J. Potential impacts of global climate change on freshwater fisheries. Rev. Fish Biol. Fish. 2007, 17, 581–613. [Google Scholar] [CrossRef]
- Bond, N.; Thomson, J.; Reich, P.; Stein, J. Using species distribution models to infer potential climate change-induced range shifts in freshwater fish in south-eastern Australia. Mar. Freshw. Res. 2011, 62, 1043–1061. [Google Scholar] [CrossRef]
- Moss, B.; Hering, D.; Green, A.J.; Aidoud, A.; Becares, E.; Beklioglu, M.; Bennion, H.; Boix, D.; Brucet, S.; Carvalho, L.; et al. Climate Change and the Future of Freshwater Biodiversity in Europe: A Primer for Policy-Makers. Freshw Rev. 2009, 2, 103–130. [Google Scholar] [CrossRef]
- Olden, J.D.; Kennard, M.J.; Leprieur, F.; Tedesco, P.A.; Winemiller, K.O.; García-Berthou, E. Conservation biogeography of freshwater fishes: Recent progress and future challenges. Divers. Distrib. 2010, 16, 496–513. [Google Scholar] [CrossRef]
- Carosi, A.; Ghetti, L.; Forconi, A.; Lorenzoni, M. Fish community of the river Tiber basin (Umbria-Italy): Temporal changes and possible threats to native biodiversity. Knowl. Manag. Aquat. Ecosyst. 2015, 416, 22. [Google Scholar] [CrossRef][Green Version]
- Piccoli, F.; Burgazzi, G.; Laini, A.; Ferrari, C.; Voccia, A.; Filonzi, L.; Bolpagni, R.; Nonnis Marzano, F. Barbel species arrangement in a regional Natura 2000 network (Emilia Romagna, Northern Italy): An altitudinal perspective. J. Limnol. 2017, 76, 140–147. [Google Scholar] [CrossRef]
- Gavioli, A.; Milardi, M.; Castaldelli, G.; Fano, E.A.; Soininen, J. Diversity patterns of native and exotic fish species suggest homogenization processes, but partly fail to highlight extinction threats Divers. Distrib. 2019, 25, 983–994. [Google Scholar] [CrossRef]
- Lorenzoni, M.; Borghesan, F.; Carosi, A.; Ciuffardi, L.; De Curtis, O.; Delmastro, G.; Di Tizio, L.; Franzoi, P.; Maio, G.; Mojetta, A.; et al. The check-list of the Italian freshwater fish fauna. Ital. J. Freshw. Ichthyol. 2019, 5, 239–254. [Google Scholar]
- Carosi, A.; Ghetti, L.; Cauzillo, C.; Pompei, L.; Lorenzoni, M. Occurrence and distribution of exotic fishes in the Tiber River basin (Umbria, central Italy). J. Appl. Ichthyol. 2017, 33, 274–283. [Google Scholar] [CrossRef]
- Carosi, A.; Ghetti, L.; Lorenzoni, M. Status of Pseudorasbora parva in the Tiber river basin (Umbria, central Italy) 20 years after its introduction. Knowl. Manag. Aquat. Ecosyst. 2016, 417, 11. [Google Scholar] [CrossRef][Green Version]
- Carosi, A.; Ghetti, L.; La Porta, G.; Lorenzoni, M. Ecological effects of the European Barbus barbus (L., 1758) (Cyprinidae) invasion on the native barbel populations in the Tiber River basin. Eur. J. Zool. 2017, 84, 420–435. [Google Scholar] [CrossRef]
- Meraner, A.; Venturi, A.; Ficetola, G.F.; Rossi, S.; Candiotto, A.; Gandolfi, A. Massive invasion of alien Barbus barbus and introgressive hybridization with endemic Barbus plebejus in Northern Italy: Where, how and why? Mol. Ecol. 2013, 22, 5295–5312. [Google Scholar] [CrossRef]
- Buonerba, L.; Zaccara, S.; Delmastro, G.B.; Lorenzoni, M.; Salzburger, W.; Gante, H.F. Intrinsic and extrinsic factors act at different spatial and temporal scales to shape population structure, distribution and speciation in Italian Barbus (Osteichthyes: Cyprinidae). Mol. Phylogenet. Evol. 2015, 89, 115–129. [Google Scholar] [CrossRef]
- Geiger, M.F.; Schreiner, C.; Delmastro, G.B.; Herder, F. Combining geometric morphometrics with molecular genetics to investigate a putative hybrid complex: A case study with barbels Barbus spp. (Teleostei: Cyprinidae). J. Fish Biol. 2016, 88, 1038–1055. [Google Scholar] [CrossRef]
- Zaccara, S.; Quadroni, S.; Vanetti, I.; Carosi, A.; La Porta, G.; Crosa, G.; Carosi, A.; Lorenzoni, M. Morphologic and genetic variability in the Barbus fishes (Teleostei, Cyprinidae) of Central Italy. Zool. Scr. 2019, 48, 289–301. [Google Scholar] [CrossRef]
- Zaccara, S.; Quadroni, S.; De Santis, V.; Vanetti, I.; Carosi, A.; Crosa, G.; Britton, J.R.; Lorenzoni, M. Genetic and phenotypic displacement of an endemic Barbus complex by invasive European barbel Barbus barbus in central Italy. Biol. Invasions 2020, 1–15. [Google Scholar] [CrossRef]
- Pompei, L.; Carosi, A.; Forconi, A.; Giannetto, D.; Lorenzoni, M. Distribution and abundance of Padogobius nigricans (Canestrini, 1867) and P. bonelli (Bonaparte, 1846) in the river Tiber basin (Umbria, central Italy). Ital. J. Freshw. Ichthyol. 2016, 3, 28–35. [Google Scholar]
- DAISIE. Species accounts of 100 of the most invasive alien species in Europe. In Handbook of Alien Species in Europe; Springer: Dordrecht, Holland, the Netherlands, 2008; pp. 269–474. [Google Scholar]
- Nentwig, W.; Bacher, S.; Kumschick, S.; Pyšek, P.; Vilà, M. More than “100 worst” alien species in Europe. Biol. Invasions 2018, 20, 1611–1621. [Google Scholar] [CrossRef]
- Giannetto, D.; Carosi, A.; Franchi, E.; Ghetti, L.; Pedicillo, G.; Pompei, L.; Lorenzoni, M. Assessing the impact of non-native freshwater fishes on native species using relative weight. Knowl. Manag. Aquat. Ecosyst. 2012, 404, 3. [Google Scholar] [CrossRef][Green Version]
- Magnuson, J.J.; Crowder, L.B.; Medvick, P.A. Temperature as an Ecological Resource. Am. Zool. 1979, 19, 331–343. [Google Scholar] [CrossRef]
- Blanck, A.; Tedesco, P.A.; Lamouroux, N. Relationships between life-history strategies of European freshwater fish species and their habitat preferences. Freshw. Biol. 2007, 52, 843–859. [Google Scholar] [CrossRef]
- Rabitsch, W.; Milasowszky, N.; Nehring, S.; Wiesner, C.; Wolter, C.; Essl, F. The times are changing: Temporal shifts in patterns of fish invasions in central European fresh waters. J. Fish Biol. 2013, 82, 17–33. [Google Scholar] [CrossRef]
- Stefani, F.; Schiavona, A.; Tirozzi, P.; Gomarasca, S.; Marziali, L. Functional response of fish communities in a multistressed freshwater world. Sci. Total Environ. 2020, 740, 139902. [Google Scholar] [CrossRef]
- Rahel, F.J.; Olden, J.D. Assessing the Effects of Climate Change on Aquatic Invasive Species. Conserv. Biol. 2008, 22, 521–533. [Google Scholar] [CrossRef]
- Carosi, A.; Padula, R.; Ghetti, L.; Lorenzoni, M. Endemic freshwater fish range shifts related to global climate changes: A long-term study provides some observational evidence for the Mediterranean area. Water 2019, 11, 2349. [Google Scholar] [CrossRef]
- Radinger, J.; García Berthou, E. The role of connectivity in the interplay between climate change and the spread of alien fish in a large Mediterranean river. Glob Change Biol. 2020, 26, 6383–6389. [Google Scholar] [CrossRef]
- Ulbrich, U.; May, W.; Li, L.; Lionello, P.; Pinto, J.G.; Somot, S. The Mediterranean Climate Change under Global Warming. In Mediterranean Climate Variability; Lionello, P., Malanotte-Rizzoli, P., Boscolo, R., Eds.; Elsevier B.V.: Amsterdam, The Netherlands, 2006; pp. 399–416. [Google Scholar]
- Giorgi, F.; Lionello, P. Climate change projections for the Mediterranean region. Glob. Planet. Chang. 2008, 63, 90–104. [Google Scholar] [CrossRef]
- Lorenzoni, M.; Barocco, R.; Carosi, A.; Giannetto, D.; Pompei, L. The fish fauna of the Apennine streams related to changes in the regime of wet depositions. Biol. Ambient. 2014, 28, 67–73. [Google Scholar]
- Moran, P.A.P. A mathematical theory of animal trapping. Biometrika 1951, 38, 307–311. [Google Scholar] [CrossRef]
- Zippin, C. An evaluation of the removal method of estimating animal populations. Biometrics 1956, 12, 163–189. [Google Scholar] [CrossRef]
- Agenzia per la Protezione dell’Ambiente e per i servizi Tecnici (APAT); Consiglio Nazionale delle Ricerche (CNR); Istituto di Ricerca sulle Acque (IRSA). Analytical Methods for Water. Manuals and Guidelines. 2003. Available online: http://www.isprambiente.gov.it/it/pubblicazioni/manuali-e-linee-guida/metodi-analitici-per-le-acque (accessed on 26 October 2019).
- American Public Health Association (APHA); American Waters Works Association (AWWA); Water Pollution Control Federation (WPCF). Standard Methods for the Examination of Water and Wastewater, 20th ed.; Clesceri, L.S., Greenberg, A.E., Eaton, A.D., Eds.; American Public Health Association: Washington, DC, USA, 1998. [Google Scholar]
- American Public Health Association (APHA); American Waters Works Association (AWWA); Water pollution Control Federation (WPCF). Standard Methods for the Examination of Water and Wastewater, 21st ed.; Greenberg, A.E., Clesceri, L.S., Eaton, A.D., Eds.; American Public Health Association: Washington, DC, USA, 2005. [Google Scholar]
- Ghetti, P.F. I macroinvertebrati Nell’analisi Di Qualità Dei Corsi D’acqua; Bertelli: Trento, Italy, 1986. [Google Scholar]
- Le Cren, E.D. The length relationship and seasonal cycle in gonad weight and condition in the perch (Perca fluviatilis). J. Anim. Ecol. 1951, 20, 210–218. [Google Scholar] [CrossRef]
- Ricker, W.E. Computation and interpretation of biological statistics of fish populations. J. Fish. Res. Board Can. 1975, 191, 1–382. [Google Scholar]
- Blackwell, B.G.; Brown, M.L.; Willis, D.W. Relative weight (Wr) status and current use in fisheries assessment and management. Rev. Fish. Sci. 2000, 81, 1–44. [Google Scholar] [CrossRef]
- Ter Braak, C.J.F. Canonical correspondence analysis: A new eigenvector technique for multivariate direct gradient analysis. Ecology 1986, 67, 1167–1179. [Google Scholar] [CrossRef]
- Lepš, J.; Šmilauer, P. Multivariate Analysis of Ecological Data; University of South Bohemia: Ceské Budejovice, Czech Republic, 1999. [Google Scholar]
- Brown, M.L.; Austen, D.J. Data management and statistical techniques. In Fisheries Techniques; Murphy, B.R., Willis, D.W., Eds.; American Fisheries Society: Bethesda, MD, USA, 1996; pp. 17–61. [Google Scholar]
- Eby, L.A.; Helmy, O.; Holsinger, L.M.; Young, M.K. Evidence of Climate-Induced Range Contractions in Bull Trout Salvelinus confluentus in a Rocky Mountain Watershed, U.S.A. PLoS ONE 2014, 9, e98812. [Google Scholar] [CrossRef]
- MacKenzie, D.I.; Nichols, J.D.; Lachman, G.B.; Droege, S.J.; Royle, A.; Langtimm, C.A. Estimating site occupancy rates when detection probabilities are less than one. Ecology 2002, 83. [Google Scholar] [CrossRef]
- Budy, P.; Conner, M.M.; Salant, N.L.; Macfarlane, W.W. An occupancy-based quantification of the highly imperiled status of desert fishes of the southwestern United States. Conserv. Biol. 2015, 29. [Google Scholar] [CrossRef] [PubMed]
- Burnham, K.P.; Anderson, D.R. Model Selection and Inference: An Information-Theoretic Approach; Springer: New York, NY, USA, 1998. [Google Scholar]
- Burnham, K.P.; Anderson, D.R. Model Selection and Multimodel Inference: A Practical Information-Theoretic Approach; Springer: New York, NY, USA, 2003. [Google Scholar]
- Arnold, T. Uninformative parameters and model selection using Akaike’s Information Criterion. J. Wildl. Manag. 2010, 74, 1175–1178. [Google Scholar] [CrossRef]
- Johansson, M.L.; Dufour, B.A.; Wellband, K.W.; Corkum, L.D.; MacIsaac, H.J.; Heath, D.D. Human-mediated and natural dispersal of an invasive fish in the eastern Great Lakes. Heredity 2018, 120, 533–546. [Google Scholar] [CrossRef] [PubMed]
- Britton, J.R.; Pegg, J. Ecology of European Barbel Barbus Barbus: Implications for River, Fishery, and Conservation Management. Rev. Fish Biol. Fish. 2011, 19, 321–330. [Google Scholar] [CrossRef]
- Gutmann Roberts, C.; Hindes, A.M.; Britton, J.R. Factors influencing individual movements and behaviours of invasive European barbel Barbus barbus in a regulated river. Hydrobiologia 2019, 830, 213–228. [Google Scholar] [CrossRef]
- Daufresne, M.; Boët, P. Climate change impacts on structure and diversity of fish communities in rivers. Glob. Chang. Biol. 2007, 13, 2467–2478. [Google Scholar] [CrossRef]
- Closs, G.P.; Angermeier, P.L.; Darwall, W.R.T.; Balcombe, S.R. Why are freshwater fish so threatened? In Conservation of Freshwater Fishes; Closs, G.P., Krkosek, M., Olden, J.D., Eds.; Cambridge University Press: Cambridge, UK, 2016; pp. 37–69. [Google Scholar]
- Gozlan, R.E.; Andreou, D.; Asaeda, T.; Beyer, K.; Bouhadad, R.; Burnard, D.; Caiola, N.; Cakic, P.; Djikanovic, V.; Esmaeili, H.R.; et al. Pan-continental invasion of Pseudorasbora parva: Towards a better understanding of freshwater fish invasions. Fish Fish. 2010, 11, 315–340. [Google Scholar] [CrossRef]
- Sunardi, A.T.; Manatunge, J. Physiological responses of topmouth gudgeon, Pseudorasbora Parva, to predator cues and variation of current velocity. Aquat. Ecol. 2007, 41, 111–118. [Google Scholar] [CrossRef]
- Sáez-Gómez, P.; Ramos-Merchante, A.; Prenda, J. Multiscale effects on freshwater fish distribution in a highly disturbed Mediterranean-type basin: Community-level and species-level responses. Aquat. Ecol. 2020, 54, 869–887. [Google Scholar] [CrossRef]
- Lorenzoni, M.; Mearelli, M.; Ghetti, L. Native and exotic fish species in the Tiber river watershed (Umbria—Italy) and their relationship to the longitudinal gradient. Bull. Fr. Pêche Piscic. 2006, 382, 19–44. [Google Scholar] [CrossRef][Green Version]
- Huet, M. Aperçu des relations de la pente et des populations piscicoles des eaux courantes. Schweiz. Z. Fur Hydrol. Swiss J. Hydrol. 1949, 2, 332–351. [Google Scholar]
- Matulla, C.; Schmutz, S.; Melcher, A.; Gerersdorfer, T.; Haas, P. Assessing the impact of a downscaled climate change simulation on the fish fauna in an Inner-Alpine River. Int. J. Biometeorol. 2007, 52, 127–137. [Google Scholar] [CrossRef] [PubMed]
- Broms, K.M.; Hooten, M.B.; Johnson, D.S.; Altwegg, R.; Conquest, L.L. Dynamic occupancy models for explicit colonization processes. Ecology 2016, 97, 194–204. [Google Scholar] [CrossRef] [PubMed]













| AX1 | p | AX2 | p | |
|---|---|---|---|---|
| Altitude (m a.s.l.) | 0.855 | 0.001 | 0.110 | 0.343 |
| Average current speed (m s−1) | −0.101 | 0.387 | 0.436 | 0.001 |
| BOD5 (mg L−1) | −0.510 | 0.001 | 0.148 | 0.203 |
| Cl (mg L−1) | −0.247 | 0.032 | −0.432 | 0.001 |
| Dissolved oxygen (mg L−1) | −0.323 | 0.004 | −0.798 | 0.001 |
| Distance from the source (km) | −0.208 | 0.071 | 0.339 | 0.003 |
| EBI Quality Class (units) | −0.037 | 0.748 | 0.207 | 0.073 |
| Flow rate (m3 s−1) | −0.068 | 0.558 | 0.532 | 0.001 |
| NNH3 (mg L−1) | −0.280 | 0.014 | 0.125 | 0.283 |
| NNO3 (mg L−1) | −0.242 | 0.035 | 0.010 | 0.935 |
| River fragmentation degree (units) | 0.246 | 0.032 | 0.179 | 0.122 |
| Water temperature (°C) | −0.004 | 0.976 | 0.092 | 0.430 |
| Watershed area (km−2) | −0.316 | 0.005 | 0.438 | 0.001 |
| Species | Occupancy (ψ) | Colonization (ɣ) | Extirpation (ε) | Detection (p) |
|---|---|---|---|---|
| Barbus barbus | 0.14 ± 0.04 | 0.20 ± 0.05 | 0.05 ± 0.01 | 0.79 ± 0.07 |
| Gobio gobio | 0.21 ± 0.04 | 0.12 ± 0.04 | 0.00 ± 0.00 | 0.86 ± 0.06 |
| Padogobius bonelli | 0.15 ± 0.04 | 0.10 ± 0.03 | 0.00 ± 0.00 | 0.85 ± 0.06 |
| Pseudorasbora parva | 0.31 ± 0.07 | 0.26 ± 0.07 | 0.18 ± 0.10 | 0.74 ± 0.06 |
| Species | Detection Probability | ||
|---|---|---|---|
| Time Period 1 1998–2004 | Time Period 2 2005–2011 | Time Period 3 2012–2018 | |
| Barbus barbus | 0.53 ± 0.06 | 0.79 ± 0.08 | 0.80 ± 0.08 |
| Gobio gobio | 0.42 ± 0.01 | 0.83 ± 0.09 | 0.88 ± 0.08 |
| Padogobius bonelli | 0.67 ± 0.11 | 0.72 ± 0.11 | 0.93 ± 0.07 |
| Pseudorasbora parva | 0.53 ± 0.06 | 0.79 ± 0.08 | 0.71 ± 0.08 |
Publisher’s Note: MDPI stays neutral with regard to jurisdictional claims in published maps and institutional affiliations. |
© 2021 by the authors. Licensee MDPI, Basel, Switzerland. This article is an open access article distributed under the terms and conditions of the Creative Commons Attribution (CC BY) license (http://creativecommons.org/licenses/by/4.0/).
Share and Cite
Carosi, A.; Ghetti, L.; Lorenzoni, M. The Role of Climate Changes in the Spread of Freshwater Fishes: Implications for Alien Cool and Warm-Water Species in a Mediterranean Basin. Water 2021, 13, 347. https://doi.org/10.3390/w13030347
Carosi A, Ghetti L, Lorenzoni M. The Role of Climate Changes in the Spread of Freshwater Fishes: Implications for Alien Cool and Warm-Water Species in a Mediterranean Basin. Water. 2021; 13(3):347. https://doi.org/10.3390/w13030347
Chicago/Turabian StyleCarosi, Antonella, Lucia Ghetti, and Massimo Lorenzoni. 2021. "The Role of Climate Changes in the Spread of Freshwater Fishes: Implications for Alien Cool and Warm-Water Species in a Mediterranean Basin" Water 13, no. 3: 347. https://doi.org/10.3390/w13030347
APA StyleCarosi, A., Ghetti, L., & Lorenzoni, M. (2021). The Role of Climate Changes in the Spread of Freshwater Fishes: Implications for Alien Cool and Warm-Water Species in a Mediterranean Basin. Water, 13(3), 347. https://doi.org/10.3390/w13030347

