Next Article in Journal
Decision-Making Process Factors Explain Some of the Heterogeneity of Irrigation Practices among Maize Farmers in Southwestern France
Previous Article in Journal
Analytical Solutions to Conservative and Non-Conservative Water Quality Constituents in Water Distribution System Storage Tanks
 
 
Font Type:
Arial Georgia Verdana
Font Size:
Aa Aa Aa
Line Spacing:
Column Width:
Background:
Article

Assessment of the Sustainable Utilization Level of Water Resources in the Wuhan Metropolitan Area Based on a Three-Dimensional Water Ecological Footprint Model

1
School of Water Conservancy and Hydropower Engineering, North China Electric Power University, Beijing 102206, China
2
Key Laboratory of Water Cycle and Related Land Surface Processes, Institute of Geographic Science and Natural Resources Research, Chinese Academy of Sciences, Beijing 100101, China
3
School of Civil Engineering, Tianjin University, Tianjin 300350, China
4
State Key Laboratory of Hydraulic Engineering Simulation and Safety, Tianjin University, Tianjin 300392, China
*
Author to whom correspondence should be addressed.
Water 2021, 13(24), 3505; https://doi.org/10.3390/w13243505
Submission received: 10 November 2021 / Revised: 1 December 2021 / Accepted: 2 December 2021 / Published: 8 December 2021
(This article belongs to the Section Urban Water Management)

Abstract

:
The shortage and overexploitation of water resources restrict the sustainable development of metropolitan areas. To evaluate the sustainable utilization level of water resources, we identified the occupancy of natural capital stock and the consumption of natural capital flow by water resources consumption and analyzed the factors influencing water resources consumption in metropolitan area development. We took the Wuhan Metropolitan Area in China from 2010 to 2019 as the research object and introduced footprint depth and size, the water ecological footprint (WEF) model was expanded into the three-dimensional WEF model. Based on this model, an evaluation system for the sustainable utilization level of water resources was constructed with five indices—water ecological deficit, water ecological surplus, water ecological pressure, WEF depth, and WEF size. Finally, the driving factors of WEF change were analyzed using the Logarithmic Mean Divisia Index. The evaluation of the sustainable utilization level of water resources showed that the Wuhan Metropolitan Area as a whole experienced water ecological surplus from 2010 to 2019, but there were different degrees of water ecological deficit in its inner urban areas, and the most serious cumulative deficit was 5.02 ha/cap in Ezhou. In 2011 and 2019, the sustainable utilization level of water resources in the metropolitan area reached a relatively unsustainable state. Xianning was the urban area with the most sustainable utilization level of water resources. During the study period, the metropolitan area did not occupy the natural capital stock of water resources, and the natural capital flow of water resources in the inner urban areas could meet the demand of the current consumption of the region in 2010 and 2016. The analysis of the driving factors of WEF change showed that economic development effect and population pressure effect had a positive driving effect on WEF change, while WEF intensity effect and water resources carrying capacity effect had the opposite effect. Finally, according to the research results, it can be seen that improving the efficiency of water resources utilization, protecting the natural capital stock of water resources, realizing differentiated regional development through the market economy and developing water policy can be helpful to improve the level of sustainable water resources utilization.

1. Introduction

Water, as the vital natural resource, plays a critical supporting role in the development of human society and the maintenance of ecosystem [1,2,3,4]. Currently, coping with the shortage and overexploitation of water resources has become a global challenge [5,6,7,8]. Rapid urbanization has increased the demand of human society for water resources and its related ecosystem services [9,10,11,12,13] and further increases this challenge. Metropolitan areas, as regional units which generally exist in developed nations and participate in global competition and international division of labor [14,15,16,17,18], are the most concentrated areas of human activities. So, the sustainable utilization of water resources in such areas needs thorough specific attention.
The ecological footprint model, proposed by Rees and Wackernagel [19,20,21,22], reveals the relationship between ecological carrying capacity and the consumption of natural resources based on the concept of carrying capacity. The model has been widely used to evaluate the sustainability of human society by unifying measures of different types of natural resources [23,24]. Subsequently, scholars constructed the water ecological footprint (WEF) model based on the concept of ecological footprint, used the land area to represent water resources consumption and regional water resources supply capacity (i.e., the total amount of water resources within the region, consisting of precipitation and the reserves of surface water and groundwater), namely, WEF, and water ecological carrying capacity (WECC), respectively [25]. Meanwhile, the evaluation of the sustainable utilization level of water resources based on WEF is gradually emerging. For instance, Wang et al. calculated the per capita WEF and WECC and analyzed the water resources ecological pressure index to assess the sustainable utilization level of water resources in Hubei, China [25]. Li et al. comprehensively evaluated the utilization of water resources and the spatial and temporal evolution of WEF and WECC in the lower Yellow River [26]. Su et al. calculated WEF and WECC of four urban areas in China and suggested that adjusting industrial structure and repairing the inequality of water resources can promote the sustainable development of social economy [27]. As a kind of natural capital, water has two attributes of stock and flow of natural capital [28]. In the event that the capital stock of water resources is occupied, a series of serious consequences will restrict the sustainable development of human beings, such as the depletion of water resources and the decline of groundwater levels [29,30,31,32]. However, it should be noted that existing studies did not consider the occupation of natural capital stock (NCS) and the consumption of natural capital flow (NCF) by WEF.
If NCF cannot meet the demand of consumption, this would threaten sustainable development [17]. Ecological economics has reached a consensus that increasing sustainable development as far as possible could prevent a decrease in NCS [33]. To solve this problem, Niccolucci et al. [34,35] introduced footprint size and footprint depth to the ecological footprint model to reflect the occupation of NCS and NCF consumption, respectively. Subsequently, NCS and NCF were included in the assessment of regional sustainable development. Therefore, to identify the occupation of NCS and the consumption of NCF by WEF, we need to expand the WEF model into a three-dimensional model.
China is a country with uneven distribution of water resources [36,37,38], and water shortage is one of the major constraints to the development of many Chinese urban areas [39,40]. To this end, the Chinese government has issued a series of regulations on water management, development and protection, such as the Groundwater Management Regulation issued on 15 September 2021 [41]. Therefore, factors influencing the change in WEF need to be identified. Decomposition analysis is used to quantify changes with time for a wide range of variables [42], and the method mainly consists of the Laspeyres Index [43,44], the Adaptive Weighting Divisia Index [45] and the Logarithmic Mean Divisia Index (LMDI) [46]. The LMDI can effectively solve the residual term, zero data and negative value problem, and is widely applied in the analysis of factors influencing water footprint [47], ecological footprint [48], carbon footprint [49], etc.
Therefore, we took the Wuhan Metropolitan Area, a typical metropolitan area in central China, as the research object to achieve the following research aims: (1) construct a three-dimensional WEF model; (2) construct an evaluation index system for the regional sustainable utilization level of water resources based on the model; (3) analyze the factors influencing the change in WEF using the LMDI. This research would help to improve and supplement the theoretical system of sustainable water resources development by constructing a three-dimensional WEF model and introducing two indicators of NCF and NCS [25,26,27]. In addition, we provide references for government policies and plans in the metropolitan area development, water resources allocation and dispatching and industrial structure adjustment by analyzing the contribution of WEF intensity, economic development, population pressure and WECC to the change in WEF based on LMDI.

2. Materials and Methods

2.1. Study Area and Data Sources

The Wuhan Metropolitan Area is located in central China, in eastern Hubei province—situated in the middle reach of the Yangtze River (Figure 1a), with Wuhan as the urban center, surrounded by Huangshi, Ezhou, Xiaogan, Huanggang, Xianning, Xiantao, Tianmen, and Qianjiang, a regional economic union composed of eight urban areas (Figure 1b). It is a national resources-saving and environmentally-friendly society and a comprehensive construction reform pilot area. The metropolitan area is also an important engine driving the rise of central China and one of the key relay points for the coordinated development of east, central and west China, with the Yangtze River Basin Economic Belt as the axis. The total land area of the study area is 5.81 × 104 km2, and the terrain is generally high in the north, northeast and south, and gradually decreases to the west and central areas (Figure 1b). Landforms are diverse, with plains (including hills) accounting for approximately 50% of the total area, hills for approximately 30%, and mountains (middle and low mountains) for 20% (Figure 1b). The regional water system is developed (Figure 1c), and there are numerous rivers and lakes—the total amount of freshwater resources is 333.06 × 108 m3. Its water resources are not evenly distributed in time and space. The metropolitan is imbalanced in terms of socio-economic development (Figure 1d). At the end of 2019, the resident population was 31.90 million, the Gross Domestic Product (GDP) was 2.77 trillion ¥ and secondary industry accounted for 40.17%.
Data on GDP and population are all obtained from Hubei Statistical Yearbooks (2011–2020) and water-related data are all from the Hubei Water Resources Bulletin (2011–2020). Data on topography and land use are from the Resource and Environment Science and Data Center (https://www.resdc.cn/, accessed on 1 November 2021).

2.2. Construction of a Three-Dimensional Water Ecological Footprint Model

Ecological footprint depth represents the portion that exceeds the range of the ecological carrying capacity and could be expressed as follows: How many hectares of land are needed to provide sufficient resources to meet the consumption requirement of humans on per unit land? How many years are needed to regenerate the resources that humans will consume in the current year [50]? The value of ecological footprint depth is between [1, +∞), and when it is greater, the amount of capital consumed is greater. The ecological footprint size is the size of the capital flow within the limited ecological carrying capacity, and when it is greater, the region is more sustainable.
We refer to the definition above to expand the existing WEF model into a three-dimensional model. The calculation is as follows:
WEF depth = 1 + max WEF WECC , 0 / WECC
WEF size = min WEF , WECC
WEF = WEF depth · WEF size
where the WEFdepth and the WEFsize are the regional WEF depth and size, respectively. When the WEFdepth is greater than 1, the NCS is used.
The WEF model includes WECC and WEF, which reflect the supply and consumption of regional water resources. In this paper, WEF is defined as the area of water resources land occupied by humans that can continuously provide resources. WEF includes three types: production WEF (PWEF), domestic WEF (DWEF) and ecological WEF (EWEF). The calculation is as follows:
WEF   WEF = PWEF + DWEF + EWEF = N · wef
PWEF   PWEF = N · pwef = a · Qp/P
DWEF   DWEF = N · dwef = a · Qd/P
EWEF   EWEF = N · ewef = a · Qe/P
where N is the population, a is the global equilibrium factor of water resources, and P (m3/ha) is the global average productivity of water resources. WEF, PWEF, DWEF and EWEF are the per capita WEF (ha/cap), PWEF (ha/cap), DWEF (ha/cap) and EWEF (ha/cap), respectively. Qp (m3), Qd (m3) and Qe (m3) represent the regional water consumption of production, domestic and ecological, respectively.
WECC represents the water resources supply ability that could sustainably support the development of resources, the ecosystem, and society under certain management conditions and development stages. The calculation is as follows:
WECC = N · wecc = α · φ · a · Q / P
where α is the biodiversity compensation coefficient [25] (the proportion of resources remaining after deducting water resources for maintaining water ecological environmental quality and biodiversity to total water resources), and φ is the water production factor [51]. The parameters required for the above calculations are presented in Appendix A Table A1.

2.3. Indicators Used to Assess Water Resources’ Sustainable Utilization Level

In this paper, water ecological deficit (WED) and surplus (WES), the water pressure index (WPI), WEFdepth and WEFsize are used to assess water resources’ sustainable utilization level.

2.3.1. Water Ecological Deficit and Surplus

In terms of deficit and surplus [21,22,52], the WED is referred to as the water capacity of water consumption activities that consume more water resources than natural capital and lead to an imbalance in water load, and the WES is referred to as the scenario in which human activities consume water resources but remain within WECC. The WED and WES can be used to quantify the water resources’ sustainable utilization level of a region and is the difference between WECC and WEF. When the difference is negative, it is the WED. If not, it is the WES.

2.3.2. Water Pressure Index and the Sustainable Utilization Level of Water Resources

The WPI is the “threat state” of WEF to WECC and refers to the degree of water consumption activities with the water resources and the water resources’ sustainable utilization level. The indicator could be calculated as follows [53]:
WPI = WEF WECC
If WPI is between 0 and 1, the supply of water resources exceeds the demand, and WEF is within the reasonable range. If WPI = 1, the supply and demand are balanced. If WPI > 1, the demand is greater than the supply and WECC is in an unsustainable state (Table 1).

2.3.3. Water Ecological Footprint Depth and Size

When the consumption rates of water resources are faster than the regeneration rates, the resources inventory may be depleted. Technological progress could reduce the WED by improving the existing WECC, i.e., by building the water storage facilities. However, technological progress does not compensate for the fact that resources are scarce [14]. Therefore, it is necessary to evaluate the utilization level of NCS and NCF by water resources consumption through a three-dimensional WEF model.

2.4. Driving Factors of Water Ecological Footprint Change

The LMDI is selected to identify factors influencing the change in WEF. These factors are divided into four effects in the paper—WEF intensity (WEFI) effect, the economic development (ED) effect, the population pressure (PP) effect and the WECC effect. The calculation is as follows:
WEF t = WEF GDP · GDP POP · POP WECC · WECC
Δ WEFI = i WEF t WEF 0 lnWEF t lnWEF 0 × ln WEFI t WEFI 0
Δ ED = i WEF t WEF 0 lnWEF t lnWEF 0 × ln ED t ED 0
Δ PP = i WEF t WEF 0 lnWEF t lnWEF 0 × ln PP t PP 0
Δ WECC = i WEF t WEF 0 lnWEF t lnWEF 0 × ln WECC t WECC 0
where t is the year. WEFI = WEF GDP represents WEFI, ED = GDP POP represents the ED, and PP = PP WECC represents the PP and means the population pressure on WECC. WEF0 is defined as the base-period WEF, WEFt is the end-stage WEF, and △WEF represents the change in WEF from base-period to end-stage. Therefore, the change in WEF can be expressed as:
Δ WEF = WEF t WEF 0 = Δ WEFI + Δ ED + Δ PP + Δ WECC

3. Results

3.1. Per Capita Water Ecological Deficit and Surplus

The per capita WEF, per capita WECC, per capita WED and WES of the Wuhan Metropolitan Area from 2010 to 2019 were calculated according to Equations (4) and (8) (Figure 2). For the Wuhan Metropolitan Area, the per capita WEF was always within the range of the per capita WECC and there was no deficit (Figure 2a). In 2016, per capita WES was the highest during the period 2010–2019. This is because the range in the per capita WEF was small, and 2016 was a wet season in the metropolitan area, resulting in sufficient water resources supply (Appendix A Table A2). However, per capita WED and WES of urban areas within the metropolitan area was quite different. The cumulative WED of Ezhou was highest at 5.02 ha/cap from 2010 to 2019, which indicated that Ezhou had the highest per capita WEF (Appendix A Table A3) in the metropolitan area with a smaller WECC (Figure 2c). Xianning and Huanggang had no WED, and Huangshi, with a higher WECC, only had a deficit in 2019. Overall, the sustainable utilization level of regional water resources is more affected by WECC and leads to regional differences. However, to realize the sustainable utilization of water resources and sustainable development of the social economy, it needs to be carried out within the scope of WECC. Therefore, the composition of WEF needs to be further analyzed.
PWEF was the chief component of WEF of the Wuhan Metropolitan Area and its inner urban areas (Figure 2b). Among the nine urban areas, Wuhan had the smallest proportion of PWEF in WEF, and also had the smallest per capita WEF and PWEF (Appendix A Table A3 and Table A4). This is because although Wuhan had the highest GDP, its low proportion of secondary industry inhibited the growth of WEF (Figure 1d). However, the emergence of its WED emphasizes that it still needs to further improve the efficiency of water resources utilization.
At the same time, the spatial distribution of the per capita WECC was mainly concentrated in the southeast of the metropolitan area. For urban areas without WED, the industrial scale could be appropriately increased to develop GDP, but it still needs to be carried out within the scope of WECC and improve the utilization efficiency of water resources.

3.2. Water Resources’ Sustainable Utilization Level Assessment

Equation (9) was used to calculate the WPI of the Wuhan Metropolitan Area from 2010 to 2019 (Figure 3).
The WPI of the metropolitan area fluctuated between 0.31 and 0.96 from 2010 to 2019, and the WPI was always lower than 1. In 2011 and 2019, the WPI was the highest at 0.96 and was the lowest in 2016 at 0.31. The level of water resources’ sustainable utilization reached level 3 (relatively unsustainable) in 2011 and 2019, it was in the state of relatively sustainable in the periods 2012–2015 and 2017–2018, and the state of very sustainable in 2010 and 2016. When WECC was smaller, the grade of water resources’ sustainable utilization level was higher. However, overall, the metropolitan area was still in the state of sustainable development of water resources consumption.
In terms of the inner urban areas of the metropolitan area, the WPI of each urban were showed the same dynamics and there was a significant difference between those urban areas. The WPI of Huanggang and Xianning was always lower than 0.5, and it was always the lowest in Xianning. During the period 2010–2012, the WPI in Xiaogan was the highest; and in 2011 and 2012, Xiaogan was in the state of completely unsustainable. Excluding 2014, the WPI in Ezhou was the highest.

3.3. Natural Capital Occupation Analysis

WEFsize and WEFdepth reflect the NCS occupation and NCF consumption by WEF, respectively, and the result is shown in Figure 4. In terms of the Wuhan Metropolitan Area, WEFsize did not substantially change and only fluctuated around 0.87 (ha/cap) and WEFdepth was always 1 from 2010 to 2019. Thus, the NCF is used first, the NCS is not occupied and the supply capacity of water resources is unaffected.
However, in terms of inner urban areas in the metropolitan area, WEFsize of Ezhou was the highest during the periods 2010–2012 and 2014–2016, and excluded 2010 and 2016, WEFdepth of Ezhou was greater than 1. In 2019, WEFdepth was the highest and reached 2.73, suggesting that 2.73-fold the current area was required to support the water resources consumption of Ezhou. In terms of the urban areas which consumed water resources NCF and occupied water resources NCS, water resources utilization was unsustainable. The reason is that the supply of NCF would decrease over the following year, and reduce WECC by the accumulative nature of WED [10]. Adverse effects on local water environment, such as aquifer depletion [31,32], are caused. Therefore, these urban areas must develop their industries within the scope of region’s WECC, and determine the scale of industries and urban areas by setting production and people based on WECC.

3.4. Factors Influencing Water Ecological Footprint Change

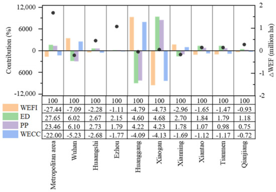
Considering that WEF is more easily affected by human production and management activities. In this paper, WEF increment of the Wuhan Metropolitan Area in China from 2010 to 2019 was decomposed into four effects—WEFI effect, ED effect, PP effect and WECC effect (Figure 5). The change in their values is shown in Appendix A Table A5, Table A6, Table A7 and Table A8. Both ED and PP were effects that lead to the increase in WEF of the metropolitan area and nine urban areas within it, while WEFI effect and WECC effect had the opposite effect.
In terms of the metropolitan area, WEF increased by 1.67 million ha from 2010 to 2019, ED effect was the main effect of WEF and resulted in an increased WEF of 27.65 million ha. On the contrary, WEFI effect was the chief negative effect that inhibited the increase in WEF. This is consistent with previous research conclusions [47,55]. Meanwhile, we found that PP effect had a positive effect on the increase in WEF, which was second only to ED effect. This is because the increase in population not only reduces WECC by occupying wetlands through urban expansion [56,57] but improves WEF by expanding the industrial scale, thus showing a positive driving effect on the change in WEF. However, WECC effect inhibited the change in WEF, which may be because the reduction in WECC forces water-consuming industries to improve the utilization efficiency of water resources and reduce the consumption of water resources, that is, to use WECC to limit the industrial scale.
In terms of the inner urban areas of the metropolitan area, the contribution of the four effects to the change in WEF was significantly different, but the relative relationship between each effect and WEF change was consistent with that of the metropolitan area.

4. Discussion

The three-dimensional WEF model was constructed in this paper and was incorporated into the evaluation system of the sustainable utilization level of water resources. The advantage of this model is that it can quantitatively analyze the utilization of water resources capital by human activities, which is an important topic in the quantitative field of sustainable development [58,59]. Wang et al. believed that the sustainability of regional development was related to time variables, so they used Arima to predict the ecological footprint [54]. However, Yang et al. believed that human activity occupation of NCS will reduce the NCF in the next year, thus restricting the sustainability of human development [14]. This paper also reached a similar conclusion that a significant increase in WECC could reduce WEFsize, thereby increasing NCF and supplementing historical WED. Different from the ecological footprint, the range in WECC is greater than that of WEF. Therefore, it is emphasized that human activities should be constrained by the multi-year average of WECC to avoid the accumulation of WED and enhance the sustainability of water resources utilization. Meanwhile, we believe that the three-dimensional WEF model could be more widely applied in Central Asia and Africa, where water resources are scarce [60,61].

5. Conclusions and Implications

5.1. Conclusions

To identify the occupancy of natural capital stock and the consumption of natural capital flow by water resources consumption in the Wuhan Metropolitan Area, we extended the water ecological footprint model into a three-dimensional water ecological footprint model. By analyzing the relationship between the supply and demand of water resources in the metropolitan area and its inner urban areas, the sustainable utilization level of water resources was evaluated, and the stock occupancy and flow consumption of natural capital were integrated into the evaluation system of the sustainable utilization level of water resources. The three-dimensional water ecological footprint model provided a new perspective for the assessment of sustainable utilization level of water resources.
  • During the period 2010–2019, the change in water ecological carrying capacity was larger than water ecological footprint, and there was no water ecological deficit in the Wuhan Metropolitan Area. Water ecological deficit and surplus were different for inner urban areas of the metropolitan area, Ezhou had the highest cumulative water ecological deficit with 5.02 ha/cap. Water ecological footprint of production was the main component of the water ecological footprint of the metropolitan area. The spatial distribution of per capita water ecological carrying capacity was mainly concentrated in the southeast of the metropolitan area. In general, although there was no water ecological deficit in the metropolitan area, there were great differences in water ecological footprint and water ecological carrying capacity of the inner urban areas, leading to different degrees of deficit.
  • The level of water resources’ sustainable utilization level in the Wuhan Metropolitan Area was relatively unsustainable in 2011 and 2019. Xianning was the most sustainable urban area in terms of water resources utilization among the nine urban areas within the metropolitan area. In the periods 2011–2012 and 2018–2019, the sustainable utilization level of water resources in some urban areas was in the state of completely unsustainable.
  • Regarding the natural capital flow consumption and the natural capital stock occupancy in the Wuhan Metropolitan Area, there was never occupancy of natural capital stock. In the periods 2011–2015 and 2017–2019, there were always some urban areas occupying on natural capital stock, and Ezhou was always one of them. This indicates that the natural capital flow cannot meet the water resources consumption demand, and that the high occupation of the natural capital stock would seriously hinder the recovery of water ecological carrying capacity.
  • The factors affecting the change in water ecological footprint were divided into four effects—water ecological footprint intensity effect, economic development effect, population pressure effect and water ecological carrying capacity effect—and the relative contribution of each effect was determined using the Logarithmic Mean Divisia Index. Economic growth effect and population pressure effect had a positive driving effect on the change in water ecological footprint, while the intensity effect of water ecological footprint and water ecological carrying capacity effect had the opposite effect.

5.2. Implications

This paper suggests that the local government should strengthen control of water resources consumption in the production sector, and take the annual average water ecological carrying capacity of the region as the upper limit of production, living and ecological water consumption in the region. Therefore, the metropolitan area should be encouraged to eliminate or upgrade systems with low water resources utilization efficiency; apply strict restrictions at the industrial scale, the population scale and the city scale based on water resources supply capacity; and improve water efficiency.
Second, the protection of water sources should be strengthened, the scale of urban expansion should be carefully planned, and the natural capital flow of water resources in the dry season should be ensured to meet the production, living and ecological needs of the region. Further, the occupation of natural capital stock of water resources should be reduced.
Thirdly, it is suggested that based on the market economy, methods such as water ecological compensation could be used to restrain the consumption of water resources and realize the allocation of water resources in areas with high water consumption and promote differentiated regional development models and water policy.

Author Contributions

Conceptualization, D.L.; methodology, D.L.; validation, L.H. and H.L.; formal analysis, D.L.; investigation, D.L.; resources, L.H.; data curation, D.L., L.F. and L.Q.; writing—original draft preparation, D.L.; writing—review and editing, D.L.; visualization, D.L.; supervision, L.H.; project administration, L.H.; funding acquisition, L.H. All authors have read and agreed to the published version of the manuscript.

Funding

This research was supported by National Key Research and Development Program of China (Grant No. 2019YFC0507801), and Key Program of National Natural Science Foundation of China (No. 41890824).

Institutional Review Board Statement

Not applicable.

Informed Consent Statement

Not applicable.

Data Availability Statement

The authors confirm that the data supporting the findings of this study are available within the article.

Acknowledgments

We would like to extend special thanks to the editor and Reviewers for insightful advice and comments on the manuscript.

Conflicts of Interest

The authors declare no conflict of interest.

Appendix A

Table A1. Related parameters of the calculation of water ecological footprint and water ecological carrying capacity.
Table A1. Related parameters of the calculation of water ecological footprint and water ecological carrying capacity.
ItemValueReference
global equilibrium factor of water resources (a)5.19[26]
global average productivity of water resources (P)3140 m3/ha[62]
biodiversity compensation coefficient (α)0.4[25]
water production factor (φ)1.79[63]
Table A2. Dynamics of water ecological footprint (WEF, ha) and water ecological carrying capacity (WECC) of the Wuhan Metropolitan Area from 2010 to 2019.
Table A2. Dynamics of water ecological footprint (WEF, ha) and water ecological carrying capacity (WECC) of the Wuhan Metropolitan Area from 2010 to 2019.
WEFWECC
201026,622,716.5665,444,575.06
201126,911,968.1528,028,210.87
201227,421,050.9639,104,667.88
201327,078,907.6434,588,307.40
201426,397,926.7542,019,213.21
201527,733,442.6853,443,993.93
201624,971,503.1879,759,020.84
201726,330,159.2449,233,305.27
201827,202,872.6135,025,489.20
201928,297,070.0629,369,375.63
Table A3. Dynamics of per capita water ecological footprint (WEF, ha/cap) of each urban area within the Wuhan Metropolitan Area from 2010 to 2019.
Table A3. Dynamics of per capita water ecological footprint (WEF, ha/cap) of each urban area within the Wuhan Metropolitan Area from 2010 to 2019.
WuhanHuangshiEzhouHuanggangXiaoganXianningXiantaoTianmenQianjiang
20100.661.101.490.780.931.041.330.991.10
20110.651.021.400.781.001.041.371.101.11
20120.651.021.390.771.091.061.341.181.13
20130.621.021.910.761.050.901.281.281.03
20140.601.051.910.750.920.881.301.261.16
20150.591.242.060.780.970.971.301.171.19
20160.531.161.900.710.780.891.181.041.18
20170.531.221.860.750.870.891.351.201.27
20180.541.242.030.750.881.001.361.231.27
20190.561.262.480.750.920.941.501.241.36
Table A4. Dynamics of per capita production water ecological footprint (PWEF, ha/cap) of each urban area within the Wuhan Metropolitan Area from 2010 to 2019.
Table A4. Dynamics of per capita production water ecological footprint (PWEF, ha/cap) of each urban area within the Wuhan Metropolitan Area from 2010 to 2019.
WuhanHuaangshiEzhouHuanggangXiaoganXianningXiantaoTianmenQianjiang
20100.581.021.410.720.880.971.250.931.04
20110.570.951.320.720.930.981.301.021.04
20120.560.941.310.711.010.981.271.101.05
20130.530.941.820.700.970.821.201.200.96
20140.510.971.820.680.850.791.221.191.08
20150.501.161.970.710.890.891.221.101.11
20160.441.071.800.630.690.811.090.961.09
20170.431.131.760.670.790.811.271.121.18
20180.451.151.930.670.800.911.281.141.17
20190.471.172.380.670.840.851.411.151.25
Table A5. The water ecological footprint intensity (WEFI, ha/104 ¥) in the Wuhan Metropolitan Area and its inner urban areas from 2010 to 2019.
Table A5. The water ecological footprint intensity (WEFI, ha/104 ¥) in the Wuhan Metropolitan Area and its inner urban areas from 2010 to 2019.
WuhanHuaangshiEzhouHuanggangXiaoganXianningXiantaoTianmenQianjiangMetropolitan Area
20100.710.390.680.250.840.160.590.740.640.41
20112.030.741.260.632.610.331.341.741.120.96
20121.250.571.160.462.230.211.231.631.140.70
20131.340.891.840.451.680.280.981.160.860.78
20141.260.611.560.341.300.191.161.831.320.63
20150.850.671.430.300.890.190.640.810.680.52
20160.490.410.770.170.400.150.460.470.590.31
20171.090.561.810.351.060.150.831.320.990.53
20181.450.982.460.471.520.260.951.340.850.78
20191.571.142.730.572.110.301.271.791.500.96
Table A6. The economic development (ED, 104 ¥/cap) in the Wuhan Metropolitan Area and its inner urban areas from 2010 to 2019.
Table A6. The economic development (ED, 104 ¥/cap) in the Wuhan Metropolitan Area and its inner urban areas from 2010 to 2019.
WuhanHuaangshiEzhouHuanggangXiaoganXianningXiantaoTianmenQianjiangMetropolitan Area
201056,369.5528,411.6937,682.5513,993.8316,628.6621,110.0324,763.4015,467.2330,726.2231,693.95
201167,487.0338,027.1046,706.9516,829.4719,858.2426,418.5631,991.5520,052.5939,895.5738,891.87
201279,089.1342,644.4153,167.9319,141.2122,866.9630,747.0737,485.2323,989.5446,501.0545,288.35
201388,564.5846,707.5759,687.8021,314.7825,528.5435,094.5742,556.9628,332.0451,754.2050,849.11
201497,402.5949,753.3964,850.7723,299.8027,867.4438,737.3547,364.4932,213.5356,603.1055,914.48
2015102,808.3449,963.3868,901.3725,262.1229,872.9041,087.7551,741.1335,948.6158,201.4659,474.90
2016110,648.2352,952.7574,667.2927,308.5032,149.1343,861.0556,406.7938,578.6662,597.7164,146.52
2017123,110.8359,882.6184,122.9530,308.3135,447.2048,710.5062,985.1041,156.9969,622.8071,514.00
2018133,988.7264,246.1793,281.9932,151.6638,880.0853,568.9970,186.8446,463.1078,238.1078,291.56
2019144,695.0671,496.95107,584.2236,676.6146,766.9262,587.5176,174.9052,174.1284,114.4886,777.49
Table A7. The population pressure (PP, cap/ha) in the Wuhan Metropolitan Area and its inner urban areas from 2010 to 2019.
Table A7. The population pressure (PP, cap/ha) in the Wuhan Metropolitan Area and its inner urban areas from 2010 to 2019.
WuhanHuaangshiEzhouHuanggangXiaoganXianningXiantaoTianmenQianjiangMetropolitan Area
20101.08 × 10−43.50 × 10−54.58 × 10−53.15 × 10−58.97 × 10−51.54 × 10−54.42 × 10−57.43 × 10−55.84 × 10−54.62 × 10−5
20113.10 × 10−47.22 × 10−59.05 × 10−58.07 × 10−52.61 × 10−43.20 × 10−59.72 × 10−51.59 × 10−41.01 × 10−41.09 × 10−4
20121.93 × 10−45.54 × 10−58.35 × 10−56.01 × 10−52.05 × 10−42.02 × 10−59.12 × 10−51.39 × 10−41.01 × 10−47.83 × 10−5
20132.16 × 10−48.70 × 10−59.62 × 10−55.83 × 10−51.61 × 10−43.06 × 10−57.67 × 10−59.10 × 10−58.34 × 10−58.89 × 10−5
20142.12 × 10−45.84 × 10−58.15 × 10−54.51 × 10−51.41 × 10−42.21 × 10−58.90 × 10−51.45 × 10−41.14 × 10−47.35 × 10−5
20151.44 × 10−45.37 × 10−56.95 × 10−53.88 × 10−59.17 × 10−51.99 × 10−54.93 × 10−56.87 × 10−55.71 × 10−55.84 × 10−5
20169.20 × 10−43.50 × 10−54.05 × 10−52.43 × 10−55.19 × 10−51.66 × 10−53.90 × 10−54.49 × 10−54.95 × 10−53.94 × 10−5
20172.08 × 10−44.57 × 10−59.74 × 10−54.63 × 10−51.22 × 10−41.64 × 10−56.12 × 10−51.10 × 10−47.79 × 10−56.42 × 10−5
20182.68 × 10−47.89 × 10−51.21 × 10−56.31 × 10−51.73 × 10−42.61 × 10−56.98 × 10−51.10 × 10−46.66 × 10−59.08 × 10−5
20192.80 × 10−49.00 × 10−51.10 × 10−47.62 × 10−52.28 × 10−43.14 × 10−58.47 × 10−51.44 × 10−41.11 × 10−41.09 × 10−4
Table A8. The water ecological carrying capacity (WECC, ha) in the Wuhan Metropolitan Area and its inner urban areas from 2010 to 2019.
Table A8. The water ecological carrying capacity (WECC, ha) in the Wuhan Metropolitan Area and its inner urban areas from 2010 to 2019.
WuhanHuaangshiEzhouHuanggangXiaoganXianningXiantaoTianmenQianjiangMetropolitan Area
20100.090.070.020.200.050.160.030.020.020.65
20110.030.030.010.080.020.080.010.010.010.28
20120.050.040.010.100.020.120.010.010.010.39
20130.050.030.010.110.030.080.020.010.010.35
20140.050.040.010.140.030.110.010.010.010.42
20150.070.050.020.160.050.130.020.020.020.53
20160.120.070.030.260.090.150.030.030.020.80
20170.050.050.010.140.040.150.020.010.010.49
20180.040.030.010.100.030.100.020.010.010.35
20190.040.030.010.080.020.080.010.010.010.29

References

  1. Gleeson, T.; Wada, Y.; Bierkens, M.F.; Van Beek, L.P.H. Water balance of global aquifers revealed by groundwater footprint. Nat. Cell Biol. 2012, 488, 197–200. [Google Scholar] [CrossRef] [PubMed]
  2. Niu, S.; Xing, X.; Zhang, Z.; Xia, J.; Zhou, X.; Song, B.; Li, L.; Wan, S. Water-use efficiency in response to climate change: From leaf to ecosystem in a temperate steppe. Glob. Chang. Biol. 2011, 17, 1073–1082. [Google Scholar] [CrossRef]
  3. Tian, P.; Lu, H.; Reinout, H.; Li, D.; Zhang, K.; Yang, Y. Water-energy-carbon nexus in China’s intra and inter-regional trade. Sci. Total Environ. 2022, 806, 150666. [Google Scholar] [CrossRef] [PubMed]
  4. Feng, W.; Lu, H.; Yao, T.; Guan, Y.; Xue, Y.; Yu, Q. Water environmental pressure assessment in agricultural systems in Central Asia based on an Integrated Excess Nitrogen Load Model. Sci. Total Environ. 2022, 803, 149912. [Google Scholar] [CrossRef]
  5. Iglesias, A.; Garrote, L.; Flores, F.; Moneo, M. Challenges to Manage the Risk of Water Scarcity and Climate Change in the Mediterranean. Water Resour. Manag. 2007, 21, 775–788. [Google Scholar] [CrossRef]
  6. Hallema, D.W.; Sun, G.; Caldwell, P.V.; Norman, S.P.; Cohen, E.C.; Liu, Y.; Bladon, K.D.; McNulty, S.G. Burned forests impact water supplies. Nat. Commun. 2018, 9, 1307. [Google Scholar] [CrossRef] [Green Version]
  7. Holland, R.A.; Scott, K.; Flörke, M.; Brown, G.; Ewers, R.M.; Farmer, E.; Kapos, V.; Muggeridge, A.; Scharlemann, J.P.W.; Taylor, G.; et al. Global impacts of energy demand on the freshwater resources of nations. Proc. Natl. Acad. Sci. USA 2015, 112, E6707–E6716. [Google Scholar] [CrossRef] [Green Version]
  8. Jiao, L. Water Shortages Loom as Northern China’s Aquifers Are Sucked Dry. Science 2010, 328, 1462–1463. [Google Scholar] [CrossRef]
  9. Chung, M.G.; Frank, K.A.; Pokhrel, Y.; Dietz, T.; Liu, J. Natural infrastructure in sustaining global urban freshwater ecosystem services. Nat. Sustain. 2021, 1–8. [Google Scholar] [CrossRef]
  10. Chen, Y.; Lu, H.; Li, J.; Qiao, Y.; Yan, P.; Ren, L.; Xia, J. Fairness analysis and compensation strategy in the Triangle of Central China driven by water-carbon-ecological footprints. Environ. Sci. Pollut. Res. 2021, 28, 58502–58522. [Google Scholar] [CrossRef]
  11. Chen, Y.; Lu, H.; Yan, P.; Yang, Y.; Li, J.; Xia, J. Analysis of water–carbon–ecological footprints and resource–environment pressure in the Triangle of Central China. Ecol. Indic. 2021, 125, 107448. [Google Scholar] [CrossRef]
  12. Chen, Y.; Li, J.; Lu, H.; Yan, P. Coupling system dynamics analysis and risk aversion programming for optimizing the mixed noise-driven shale gas-water supply chains. J. Clean. Prod. 2021, 278, 123209. [Google Scholar] [CrossRef]
  13. Yu, S.; Lu, H. Integrated watershed management through multi-level and stepwise optimization for allocation of total load of water pollutants at large scales. Environ. Earth Sci. 2018, 77, 373. [Google Scholar] [CrossRef]
  14. Yang, Y.; Cai, Z. Ecological security assessment of the Guanzhong Plain urban agglomeration based on an adapted ecological footprint model. J. Clean. Prod. 2020, 260, 120973. [Google Scholar] [CrossRef]
  15. Fang, C.; Yu, D. Urban agglomeration: An evolving concept of an emerging phenomenon. Landsc. Urban Plan. 2017, 162, 126–136. [Google Scholar] [CrossRef]
  16. Chen, Y.; Lu, H.; Li, J.; Xia, J. Effects of land use cover change on carbon emissions and ecosystem services in Chengyu urban agglomeration, China. Stoch. Environ. Res. Risk Assess. 2020, 34, 1197–1215. [Google Scholar] [CrossRef]
  17. Shen, J.; Lu, H.; Zhang, Y.; Song, X.; He, L. Vulnerability assessment of urban ecosystems driven by water resources, human health and atmospheric environment. J. Hydrol. 2016, 536, 457–470. [Google Scholar] [CrossRef]
  18. Chen, Y.; Lu, H.; Li, J.; Huang, G.; He, L. Regional planning of new-energy systems within multi-period and multi-option contexts: A case study of Fengtai, Beijing, China. Renew. Sustain. Energy Rev. 2016, 65, 356–372. [Google Scholar] [CrossRef]
  19. Rees, W.E.; Wackernagel, M. Our Ecological Footprint: Reducing Human Impact on the Earth; New Society Publishers: Gabriola, BC, Canada, 1996. [Google Scholar]
  20. Bazan, G. Our Ecological Footprint: Reducing human impact on the earth. Electron. Green J. 1997, 1. [Google Scholar] [CrossRef]
  21. Wackernagel, M.; Onisto, L.; Bello, P.; Linares, A.C.; Falfán, I.S.L.; García, J.M.; Guerrero, A.I.S.; Guerrero, M.G.S. National natural capital accounting with the ecological footprint concept. Ecol. Econ. 1999, 29, 375–390. [Google Scholar] [CrossRef]
  22. Rees, W.E. Ecological footprints and appropriated carrying capacity: What urban economics leaves out. Environ. Urban. 1992, 4, 121–130. [Google Scholar] [CrossRef]
  23. Van Den Bergh, J.C.; Verbruggen, H. Spatial sustainability, trade and indicators: An evaluation of the ‘ecological footprint’. Ecol. Econ. 1999, 29, 61–72. [Google Scholar] [CrossRef]
  24. Peng, W.; Wang, X.; Li, X.; He, C. Sustainability evaluation based on the emergy ecological footprint method: A case study of Qingdao, China, from 2004 to 2014. Ecol. Indic. 2018, 85, 1249–1261. [Google Scholar] [CrossRef]
  25. Wang, H.; Huang, J.; Zhou, H.; Deng, C.; Fang, C. Analysis of sustainable utilization of water resources based on the improved water resources ecological footprint model: A case study of Hubei Province, China. J. Environ. Manag. 2020, 262, 110331. [Google Scholar] [CrossRef]
  26. Li, H.; Zhao, F.; Li, C.; Yi, Y.; Bu, J.; Wang, X.; Liu, Q.; Shu, A. An Improved Ecological Footprint Method for Water Resources Utilization Assessment in the Cities. Water 2020, 12, 503. [Google Scholar] [CrossRef] [Green Version]
  27. Su, Y.; Gao, W.; Guan, D.; Su, W. Dynamic assessment and forecast of urban water ecological footprint based on exponential smoothing analysis. J. Clean. Prod. 2018, 195, 354–364. [Google Scholar] [CrossRef]
  28. Daly, H.E.; Farley, J. Ecological Economics: Principles and Applications; Island Press: Washington, DC, USA, 2004. [Google Scholar]
  29. He, X.; Bryant, B.P.; Moran, T.; Mach, K.J.; Wei, Z.; Freyberg, D.L. Climate-informed hydrologic modeling and policy typology to guide managed aquifer recharge. Sci. Adv. 2021, 7, eabe6025. [Google Scholar] [CrossRef]
  30. Stokstad, E. Droughts Exposed California’s Thirst for Groundwater. Now, the State Hopes to Refill Its Aquifers. Science 16 April 2020. Available online: https://www.watereducation.org/aquafornia-news/droughts-exposed-californias-thirst-groundwater-now-state-hopes-refill-its-aquifers (accessed on 26 November 2021).
  31. Jain, M.; Fishman, R.; Mondal, P.; Galford, G.L.; Bhattarai, N.; Naeem, S.; Lall, U.; Singh, B.; DeFries, R.S. Groundwater depletion will reduce cropping intensity in India. Sci. Adv. 2021, 7, eabd2849. [Google Scholar] [CrossRef] [PubMed]
  32. Noori, R.; Maghrebi, M.; Mirchi, A.; Tang, Q.; Bhattarai, R.; Sadegh, M.; Noury, M.; Haghighi, A.T.; Kløve, B.; Madani, K. Anthropogenic depletion of Iran’s aquifers. Proc. Natl. Acad. Sci. USA 2021, 118, e2024221118. [Google Scholar] [CrossRef] [PubMed]
  33. Pelenc, J.; Ballet, J. Strong sustainability, critical natural capital and the capability approach. Ecol. Econ. 2015, 112, 36–44. [Google Scholar] [CrossRef] [Green Version]
  34. Niccolucci, V.; Bastianoni, S.; Tiezzi, E.B.P.; Wackernagel, M.; Marchettini, N. How deep is the footprint? A 3D representation. Ecol. Model. 2009, 220, 2819–2823. [Google Scholar] [CrossRef]
  35. Niccolucci, V.; Galli, A.; Reed, A.; Neri, E.; Wackernagel, M.; Bastianoni, S. Towards a 3D National Ecological Footprint Geography. Ecol. Model. 2011, 222, 2939–2944. [Google Scholar] [CrossRef]
  36. Shen, D.; Speed, R. Water Resources Allocation in the People’s Republic of China. Int. J. Water Resour. Dev. 2009, 25, 209–225. [Google Scholar] [CrossRef]
  37. Yu, S.; He, L.; Lu, H. A tempo-spatial-distributed multi-objective decision-making model for ecological restoration management of water-deficient rivers. J. Hydrol. 2016, 542, 860–874. [Google Scholar] [CrossRef]
  38. Lu, H.; Du, P.; Chen, Y.; He, L. A credibility-based chance-constrained optimization model for integrated agricultural and water resources management: A case study in South Central China. J. Hydrol. 2016, 537, 408–418. [Google Scholar] [CrossRef]
  39. He, C.; Okada, N.; Zhang, Q.; Shi, P.; Zhang, J. Modeling urban expansion scenarios by coupling cellular automata model and system dynamic model in Beijing, China. Appl. Geogr. 2006, 26, 323–345. [Google Scholar] [CrossRef]
  40. Varis, O.; Vakkilainen, P. China’s 8 challenges to water resources management in the first quarter of the 21st Century. Geomorphology 2001, 41, 93–104. [Google Scholar] [CrossRef]
  41. State Council. Groundwater Management Regulation. Available online: http://www.gov.cn/zhengce/content/2021-11/09/content_5649924.htm (accessed on 9 November 2021).
  42. Cansino, J.M.; Sánchez-Braza, A.; Rodriguez-Arevalo, M.L. Driving forces of Spain׳s CO2 emissions: A LMDI decomposition approach. Renew. Sustain. Energy Rev. 2015, 48, 749–759. [Google Scholar] [CrossRef]
  43. Mishina, Y.; Muromachi, Y. Revisiting decomposition analysis for carbon dioxide emissions from car travel introduction of modified laspeyres index method. Transp. Res. Rec. 2012, 2270, 171–179. [Google Scholar] [CrossRef]
  44. Chen, J.; Gao, M.; Li, D.; Li, L.; Song, M.; Xie, Q. Changes in PM2.5 emissions in China: An extended chain and nested refined laspeyres index decomposition analysis. J. Clean. Prod. 2021, 294, 126248. [Google Scholar] [CrossRef]
  45. Hoekstra, R.; Bergh, J.C.V.D. Comparing structural decomposition analysis and index. Energy Econ. 2003, 25, 39–64. [Google Scholar] [CrossRef]
  46. Wang, M.; Feng, C. Using an extended logarithmic mean Divisia index approach to assess the roles of economic factors on industrial CO2 emissions of China. Energy Econ. 2018, 76, 101–114. [Google Scholar] [CrossRef]
  47. Zhao, C.; Chen, B. Driving Force Analysis of the Agricultural Water Footprint in China Based on the LMDI Method. Environ. Sci. Technol. 2014, 48, 12723–12731. [Google Scholar] [CrossRef]
  48. Liu, L.; Lei, Y.; Ge, J.; Yang, K. Sector screening and driving factor analysis of Beijing’s ecological footprint using a multi-model method. J. Clean. Prod. 2018, 191, 330–338. [Google Scholar] [CrossRef]
  49. Xu, S.-C.; He, Z.-X.; Long, R.-Y. Factors that influence carbon emissions due to energy consumption in China: Decomposition analysis using LMDI. Appl. Energy 2014, 127, 182–193. [Google Scholar] [CrossRef]
  50. Fang, K. Changes in the spatial distribution of natural capital use among G20 countries from 1999 to 2008. Resour. Sci. 2014, 31, 793–800. [Google Scholar]
  51. Shiqi, J.; Xin, Z.; Hui, P.; Yajie, H. Analysis on the Spatio-temporal Dynamics of Water Ecological Footprint in Hubei Province. J. Yangtze River Sci. Res. Inst. 2020. Available online: https://www.scinapse.io/papers/2368321037 (accessed on 26 November 2021). [CrossRef]
  52. Chu, X.; Deng, X.Z.; Jin, G.; Wang, Z.; Li, Z.H. Ecological security assessment based on ecological footprint approach in Beijing-Tianjin-Hebei region, China. Phys. Chem. Earth 2017, 101, 43–51. [Google Scholar] [CrossRef]
  53. Yang, Q.; Liu, G.; Hao, Y.; Coscieme, L.; Zhang, J.; Jiang, N.; Casazza, M.; Giannetti, B.F. Quantitative analysis of the dynamic changes of ecological security in the provinces of China through emergy-ecological footprint hybrid indicators. J. Clean. Prod. 2018, 184, 678–695. [Google Scholar] [CrossRef]
  54. Wang, Z.; Yang, L.; Yin, J.; Zhang, B. Assessment and prediction of environmental sustainability in China based on a modified ecological footprint model. Resour. Conserv. Recycl. 2018, 132, 301–313. [Google Scholar] [CrossRef]
  55. Zhang, L.; Dong, H.; Geng, Y.; Francisco, M.-J. China’s provincial grey water footprint characteristic and driving forces. Sci. Total Environ. 2019, 677, 427–435. [Google Scholar] [CrossRef]
  56. He, C.; Liu, Z.; Tian, J.; Ma, Q. Urban expansion dynamics and natural habitat loss in China: A multiscale landscape perspective. Glob. Chang. Biol. 2014, 20, 2886–2902. [Google Scholar] [CrossRef]
  57. Mao, D.; Wang, Z.; Wu, J.; Wu, B.; Zeng, Y.; Song, K.; Yi, K.; Luo, L. China’s wetlands loss to urban expansion. Land Degrad. Dev. 2018, 29, 2644–2657. [Google Scholar] [CrossRef]
  58. Costanza, R.; D’Arge, R.; De Groot, R.; Farber, S.; Grasso, M.; Hannon, B.; Limburg, K.; Naeem, S.; O’Neill, R.V.; Paruelo, J.; et al. The value of the world’s ecosystem services and natural capital. Ecol. Econ. 1997, 25, 3–15. [Google Scholar] [CrossRef]
  59. Missemer, A. Natural Capital as an Economic Concept, History and Contemporary Issues. Ecol. Econ. 2018, 143, 90–96. [Google Scholar] [CrossRef] [Green Version]
  60. Schiermeier, Q. African project seeks model solution to water shortage. Nat. Cell Biol. 2003, 424, 359. [Google Scholar] [CrossRef] [Green Version]
  61. Varis, O. Resources: Curb vast water use in central Asia. Nat. Cell Biol. 2014, 514, 27–29. [Google Scholar] [CrossRef]
  62. Huang, L.; Zhang, W.; Jiang, C.; Fan, X. Ecological footprint method in water resources assessment. Acta Ecol. Sin. 2008, 3, 1279–1286. [Google Scholar]
  63. Fan, X.Q. Study on the Principle of Water Resources Ecological Footprint and Application in Jiangsu Province; Hohai University: Nanjing, China, 2005. [Google Scholar]
Figure 1. Overview of the Wuhan Metropolitan Area. (a) Relative location of the Wuhan Metropolitan Area; (b) the terrain and 9 urban areas and prefectures in the Wuhan Metropolitan Area; (c) land use in the Wuhan Metropolitan Area in 2020; (d) the population, GDP and industrial structure (the proportion of secondary industry) of the Wuhan Metropolitan Area in 2019.
Figure 1. Overview of the Wuhan Metropolitan Area. (a) Relative location of the Wuhan Metropolitan Area; (b) the terrain and 9 urban areas and prefectures in the Wuhan Metropolitan Area; (c) land use in the Wuhan Metropolitan Area in 2020; (d) the population, GDP and industrial structure (the proportion of secondary industry) of the Wuhan Metropolitan Area in 2019.
Water 13 03505 g001
Figure 2. Per capita water ecological deficits (WED) and surplus (WES), and composition of water ecological footprint (WEF) and per capita water ecological carrying capacity (WECC) of the Wuhan Metropolitan Area. (a) Dynamics of WED and WES. (b) The average composition of WEF during the period 2010–2019. PWEF, DWEF and EWEF are the production WEF, the domestic WEF and the ecological WEF, respectively. (c) Per capita WECC during the period 2010–2019 (cumulative WECC/cumulative population).
Figure 2. Per capita water ecological deficits (WED) and surplus (WES), and composition of water ecological footprint (WEF) and per capita water ecological carrying capacity (WECC) of the Wuhan Metropolitan Area. (a) Dynamics of WED and WES. (b) The average composition of WEF during the period 2010–2019. PWEF, DWEF and EWEF are the production WEF, the domestic WEF and the ecological WEF, respectively. (c) Per capita WECC during the period 2010–2019 (cumulative WECC/cumulative population).
Water 13 03505 g002
Figure 3. Changes in the water pressure index (WPI) in the Wuhan Metropolitan Area from 2010 to 2019.
Figure 3. Changes in the water pressure index (WPI) in the Wuhan Metropolitan Area from 2010 to 2019.
Water 13 03505 g003
Figure 4. Water ecological footprint size (a, WEFsize) and depth (b, WEFdepth) of the Wuhan Metropolitan Area during the period 2010–2019.
Figure 4. Water ecological footprint size (a, WEFsize) and depth (b, WEFdepth) of the Wuhan Metropolitan Area during the period 2010–2019.
Water 13 03505 g004
Figure 5. Decomposition results of factors affecting water ecological footprint change (△WEF) in the Wuhan Metropolitan Area from 2010 to 2019.
Figure 5. Decomposition results of factors affecting water ecological footprint change (△WEF) in the Wuhan Metropolitan Area from 2010 to 2019.
Water 13 03505 g005
Table 1. The level of water resources’ sustainable utilization based on the WPI value (refer to [54]).
Table 1. The level of water resources’ sustainable utilization based on the WPI value (refer to [54]).
Level of Water Resources’ Sustainable UtilizationWPIRepresentation State
1<0.50Very sustainable
20.5–0.8Relatively sustainable
30.81–1.00Relatively unsustainable
41.01–1.50Quite unsustainable
51.51–2.00Very unsustainable
6>2.00Completely unsustainable
Very sustainable means water resources consumption is within the supply of water resources, and consumption will not lead to water depletion. Completely unsustainable means the consumption of water resources exceeds the supply and also threatens regional ecological environmental quality and biodiversity.
Publisher’s Note: MDPI stays neutral with regard to jurisdictional claims in published maps and institutional affiliations.

Share and Cite

MDPI and ACS Style

Liang, D.; Lu, H.; Feng, L.; Qiu, L.; He, L. Assessment of the Sustainable Utilization Level of Water Resources in the Wuhan Metropolitan Area Based on a Three-Dimensional Water Ecological Footprint Model. Water 2021, 13, 3505. https://doi.org/10.3390/w13243505

AMA Style

Liang D, Lu H, Feng L, Qiu L, He L. Assessment of the Sustainable Utilization Level of Water Resources in the Wuhan Metropolitan Area Based on a Three-Dimensional Water Ecological Footprint Model. Water. 2021; 13(24):3505. https://doi.org/10.3390/w13243505

Chicago/Turabian Style

Liang, Dongzhe, Hongwei Lu, Liyang Feng, Lihua Qiu, and Li He. 2021. "Assessment of the Sustainable Utilization Level of Water Resources in the Wuhan Metropolitan Area Based on a Three-Dimensional Water Ecological Footprint Model" Water 13, no. 24: 3505. https://doi.org/10.3390/w13243505

APA Style

Liang, D., Lu, H., Feng, L., Qiu, L., & He, L. (2021). Assessment of the Sustainable Utilization Level of Water Resources in the Wuhan Metropolitan Area Based on a Three-Dimensional Water Ecological Footprint Model. Water, 13(24), 3505. https://doi.org/10.3390/w13243505

Note that from the first issue of 2016, this journal uses article numbers instead of page numbers. See further details here.

Article Metrics

Back to TopTop