Depth–Duration–Frequency Relationship Model of Extreme Precipitation in Flood Risk Assessment in the Upper Vistula Basin
Abstract
1. Introduction
2. Study Area and Data Sets
3. Materials and Methods
3.1. Formulation of the DDF Curve
3.2. Distributions of Maximum Precipitation
3.3. Estimation Procedure
- The AIC criterion (Akaike information criterion) is based on the likelihood distribution function maximized with respect to the parameter values [55];
- The KS (Kolmogorov–Smirnov) goodness of fit test [56], where the differences between the theoretical and empirical probabilities of an ordered sample are examined. The KS statistics were also used here for the test of goodness of fit of the individual distribution to the series of the mean of scaled observations
- The PCC (Pearson’s correlation coefficient) [57] was applied here in the investigation of the correlation between the theoretical and empirical quantiles of the same order.
4. Results
4.1. Stationarity of the Series of Seasonal Maximum Precipitation
4.2. DDF Curve Parameter Estimation
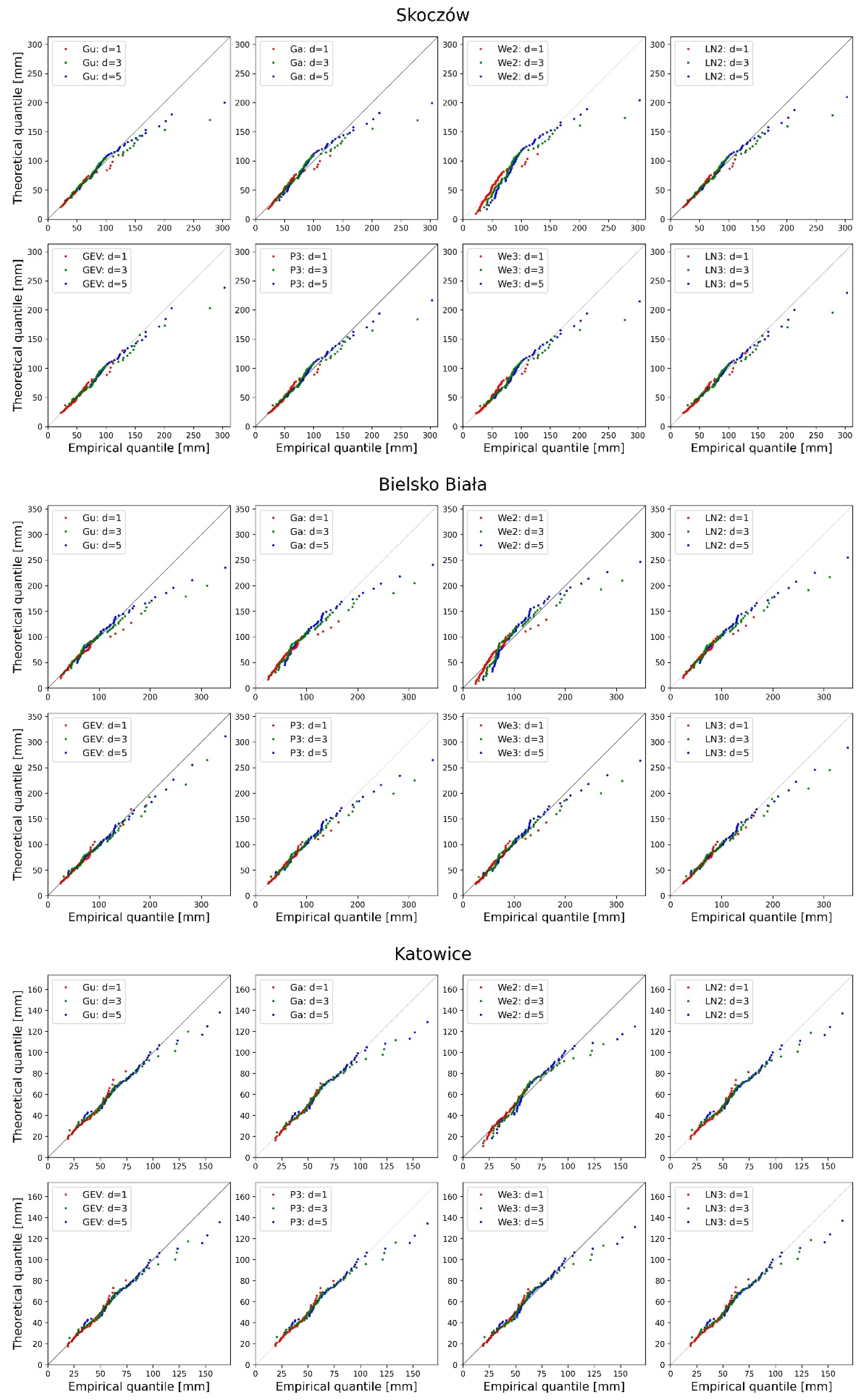
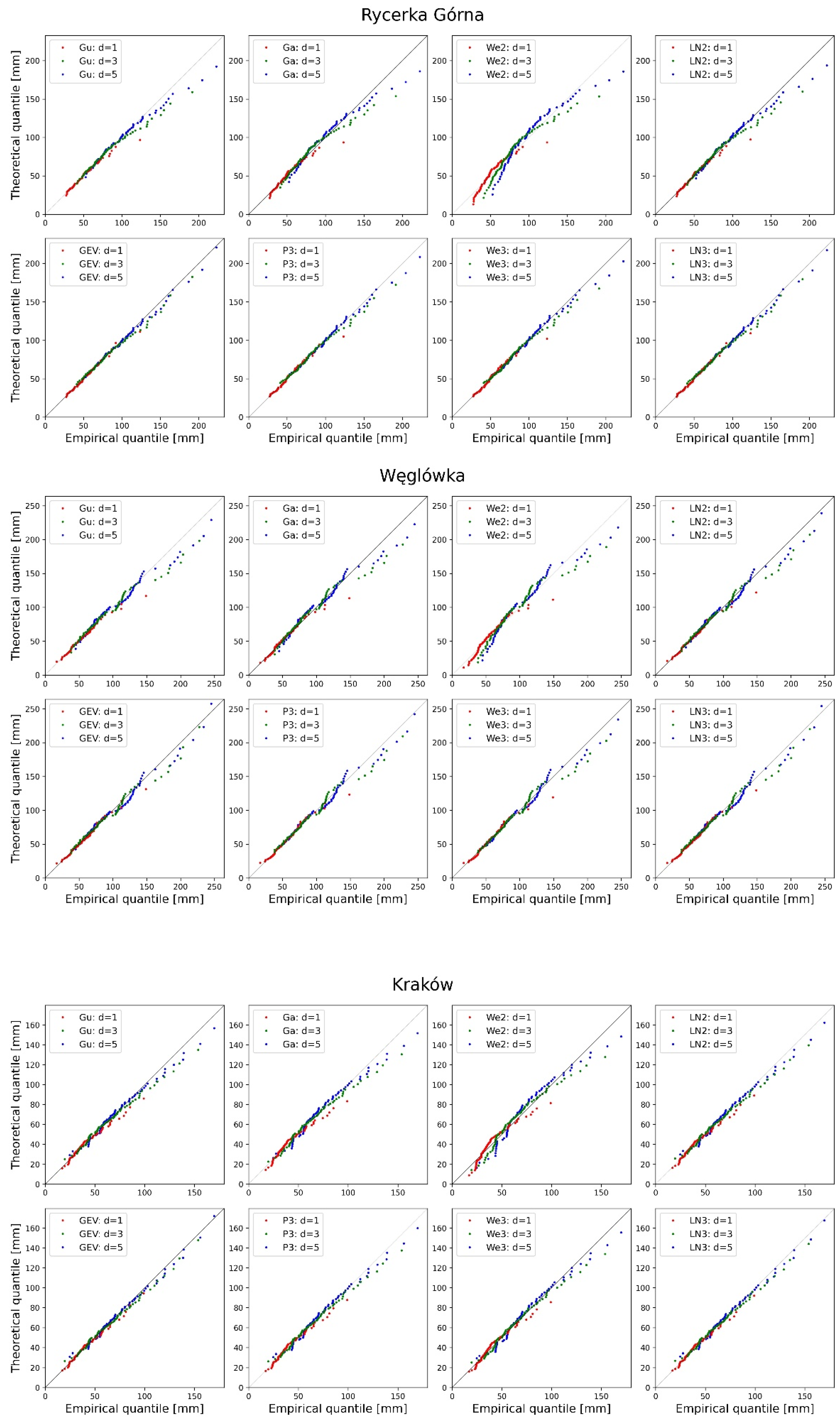
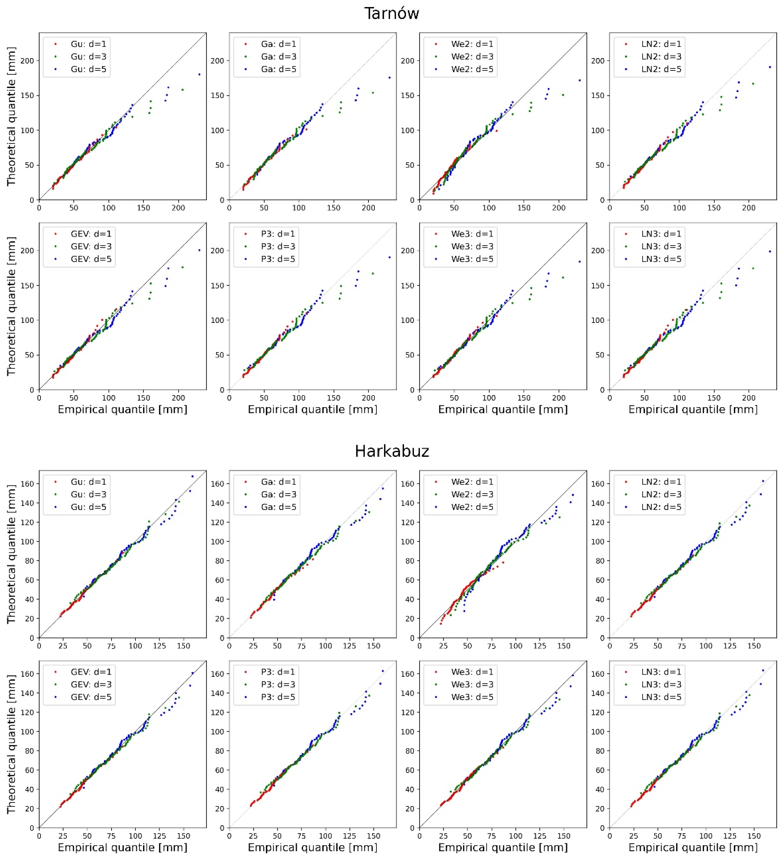
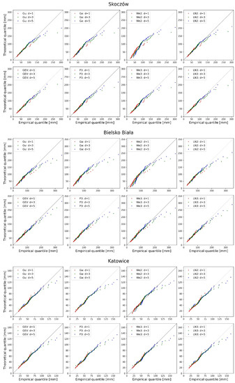
4.3. Quantile Estimation
4.4. Selection of the Best Fit Distribution
5. Discussion
6. Conclusions
- For the 11 weather stations analyzed in the article, the series of the maximum sums of 1-, 3-, and 5-day precipitation are stationary. This allows for the conclusion that there is no basis for stating that the risk of flooding from rainfall in the summer season (May–Oct) increases. However, it does not exclude the occurrence of significant floods in the coming years.
- The statistical DDF model proposed in the article provides a more accurate estimation of the DDF curves for individual stations than the commonly used approach of one distribution for all surveyed stations. However, the choice of approach depends on the purpose of the research. When the precision of the DDF relationship is important, the approach proposed in the article is recommended.
- The Gumbel distribution that is traditionally used for the construction of DDF curves turned out to be inferior in relation to the distributions proposed in the article; in particular, it turned out to be worse than the two-parameter log-normal distribution.
- The three-parameter distributions show a better fit to the seasonal (May-Oct) maximum precipitation in the Upper Vistula Basin than their two-parameter counterparts. The GEV distribution turned out to be the best, but its advantage over other distributions is not significant.
- The estimates of the upper quantiles of maximum precipitation totals in 1, 3, and 5 days (i.e., quantiles) are smaller in the lowlands and greater in the highlands.
- Due to the insufficient number of stations and the highly diverse terrain, the regional distribution of DDF curves cannot be determined.
Funding
Institutional Review Board Statement
Informed Consent Statement
Data Availability Statement
Acknowledgments
Conflicts of Interest
References
- Bernard, M.M. Formulas for rainfall intensities of long duration. Trans. ASCE 1932, 96, 592–624. [Google Scholar] [CrossRef]
- Chow, V.T.; Maidment, D.R.; Mays, L.W. Applied Hydrology; McGraw-Hill: New York, NY, USA, 1988. [Google Scholar]
- García-Bartual, R.; Schneider, M. Estimating maximum expected short-duration rainfall intensities from extreme convective storms. Phys. Chem. Earth Part B Hydrol. Ocean. Atmos. 2001, 26, 675–681. [Google Scholar] [CrossRef]
- Koutsoyiannis, D.; Kozonis, D.; Manetas, A. A mathematical framework for studying rainfall intensity-duration-frequency relationships. J. Hydrol. 1998, 206, 118–135. [Google Scholar] [CrossRef]
- Demarée, G.; Van de Vyver, H. Construction of intensity-duration-frequency (IDF) curves for precipitation with annual maxima data in Rwanda, Central Africa. Adv. Geosci. 2013, 35, 1–5. [Google Scholar] [CrossRef]
- Van de Vyver, H. A multiscaling intensity-duration-frequency model for extreme precipitation. In Proceedings of the 11th International Conference on Extreme Value Analysis, Zagreb, Croatia, 1–5 July 2019. [Google Scholar]
- Hnilica, J.; Slámová, R.; Sipek, V.; Tesař, M. Precipitation extremes derived from temporally aggregated time series and the efficiency of their correction. Hydrol. Sci. J. 2021, 66, 2249–2257. [Google Scholar] [CrossRef]
- Javelle, P.; Grésillon, J.M.; Galéa, G. Modélisation des courbes débit-durée-fréquence en crues et invariance d’échelle. C. R. Acad. Sci.—Ser. IIA—Earth Planet. Sci. 1999, 329, 39–44. (In French) [Google Scholar] [CrossRef]
- Javelle, P.; Ouarda, T.; Lang, M.; Bobée, B.; Galéa, G.; Grésillon, J.M. Development of regional flood-duration frequency curves based on the index-flood method. J. Hydrol. 2002, 258, 249–259. [Google Scholar] [CrossRef]
- Renima, M.; Remaoun, M.; Boucefiane, A.; Sadeuk Ben Abbes, A. Regional modelling with flood-duration-frequency approach in the middle Cheliff watershed. J. Water Land Dev. 2018, 36, 129–141. [Google Scholar] [CrossRef][Green Version]
- Burlando, P.; Rosso, R. Scaling and muitiscaling models of depth-duration-frequency curves for storm precipitation. J. Hydrol. 1996, 187, 45–64. [Google Scholar] [CrossRef]
- Veneziano, D.; Furcolo, P. Multifractality of rainfall and scaling of intensity-duration-frequency curves. Water Resour. Res. 2002, 38, 42-1–42-12. [Google Scholar] [CrossRef]
- Agilan, V.; Umamahesh, N.V. Is the covariate based non-stationary rainfall IDF curve capable of encompassing future rainfall changes? J. Hydrol. 2016, 541, 1441–1455. [Google Scholar] [CrossRef]
- Ganguli, P.; Coulibaly, P. Does nonstationarity in rainfall requires nonstationary intensity-duration-frequency curves? Hydrol. Earth Syst. Sci. 2017, 21, 6461–6483. [Google Scholar] [CrossRef]
- Silva, D.F.; Simonovic, S.P.; Schardong, A.; Goldenfum, J.A. Assessment of non-stationary IDF curves under a changing climate: Case study of different climatic zones in Canada. J. Hydrol. Reg. Stud. 2021, 36, 100870. [Google Scholar] [CrossRef]
- Petrow, T.; Merz, B. Trends in flood magnitude, frequency and seasonality in Germany in the period 1951–2002. J. Hydrol. 2009, 371, 129–141. [Google Scholar] [CrossRef]
- Kochanek, K.; Strupczewski, W.G.; Bogdanowicz, E. On seasonal approach to flood frequency modelling. Part II: Flood frequency analysis of Polish rivers. Hydrol. Process. 2011, 26, 717–730. [Google Scholar] [CrossRef]
- Ozga-Zielińska, M.; Brzeziński, J.; Ozga-Zieliński, B. Guidelines for Flood Frequency Analysis. Long Measurement Series of River Discharge; WMO HOMS Component I81.3.01; Institute of Meteorology and Water Management: Warsaw, Poland, 2005. [Google Scholar]
- Markiewicz, I.; Bogdanowicz, E.; Kochanek, K. On the uncertainty and changeability of the estimates of seasonal maximum flows. Water 2020, 12, 704. [Google Scholar] [CrossRef]
- Warszyńska, J. Karpaty Polskie. Przyroda, Człowiek, Działalność; Uniwersytet Jagieloński: Kraków, Poland, 1996; ISBN 83-233-0852-7. (In Polish) [Google Scholar]
- Cebulak, E. Wpływ wysokości nad poziomem morza i ekspozycji terenu na maksymalne opady dobowe w Karpatach Zachodnich. Prace Geograficzne 1991, 83, 104–117. (In Polish) [Google Scholar]
- Cebulak, E. Wpływ sytuacji synoptycznej na maksymalne opady dobowe w dorzeczu górnej Wisły. Folia Geographica, Series Geographica-Physica 1992, 23, 81–95. (In Polish) [Google Scholar]
- Cebulak, E. Kształtowanie się wielkości opadów na obszarze województwa miejskiego krakowskiego. Folia Geographica, Series Geographica-Physica 1998, 3, 411–416. (In Polish) [Google Scholar]
- Cebulska, M.; Twardosz, R. Zróżnicowanie skrajnych sum miesięcznych opadów atmosferycznych w polskich Karpatach Zachodnich i ich przedpolu. Przegląd Geofizyczny 2020, 1–2, 55–69. (In Polish) [Google Scholar] [CrossRef]
- Twardosz, R.; Cebulska, M. Anomalnie wysokie miesięczne opady atmosferyczne w polskich Karpatach i na ich przedpolu (1881–2010). Prace Geograficzne 2014, 138, 7–28. (In Polish) [Google Scholar]
- Twardosz, R.; Cebulska, M.; Walanus, A. Anomalously heavy monthly and seasonal precipitation in the Polish Carpathian Mountains and their foreland during the years 1881–2010. Theor. Appl. Climatol. 2015, 126, 323–337. [Google Scholar] [CrossRef]
- Młyński, D.; Cebulska, M.; Wałęga, A. Trends, variability, and seasonality of maximum annual daily precipitation in the upper Vistula Basin, Poland. Atmosphere 2018, 9, 313. [Google Scholar] [CrossRef]
- Index of /data/dane_pomiarowo_obserwacyjne. Available online: https://dane.imgw.pl/data/dane_pomiarowo_obserwacyjne/ (accessed on 20 November 2020).
- Cyberski, J.; Grześ, M.; Gutry-Korycka, M.; Nachlik, E.; Kundzewicz, Z.W. History of floods on the River Vistula. Hydrol. Sci. J. 2006, 51, 799–817. [Google Scholar] [CrossRef]
- Lorenc, H. The Meteorological Causes Magnitude and Effect of Disastrous Rainfalls in Poland in July 1997. In Proceedings of the 2nd European Conference on Applied Climatology, ECAC’ 98, Vienna, Austria, 19–23 October 1998. [Google Scholar]
- Niedźwiedź, T. Rainfall characteristics in southern Poland during the severe flooding event of July 1997. Studia Geomorphologica Carpatho-Balcanica 1999, 33, 5–25. [Google Scholar]
- Niedźwiedź, T. Extreme precipitation events on the northern side of the Tatra Mountains. Geographia Polonica 2003, 76, 13–21. [Google Scholar]
- Żelaziński, J. Identyfikacja i Opis Zmian Morfologii Koryta Wisły Wywołanych Obwałowaniem I Regulacją Wraz z Ocean ich Wpływu na Ryzyko Powodziowe. Raport z Projektu pt. Rewitalizacja i Ochrona Bioróżnorodności i Wykorzystanie Walorów Starorzeczy Wisły, Zatrzymanie Degradacji Doliny Górnej Wisły Jako Korytarza Ekologicznego; Fundacja Dzika Polska: Warsaw, Poland, 2014. [Google Scholar]
- Pinter, N.; Jemberie, A.A.; Remo, J.W.; Heine, R.A.; Ickes, B.S. Flood trends and river engineering on the Mississippi River system. Geophys. Res. Lett. 2008, 35. [Google Scholar] [CrossRef]
- Peel, M.C.; Finlayson, B.L.; Mcmahon, T.A. Updated world map of the Köppen-Geiger climate classification. Hydrol. Earth Syst. Sci. 2007, 11, 1633–1644. [Google Scholar] [CrossRef]
- Pidwirny, M. Climate classification and climatic regions of the world. In Fundamentals of Physical Geography, 2nd ed.; Rowman & Littlefield: Lanham, MD, USA, 2006. [Google Scholar]
- Karamuz, E.; Bogdanowicz, E.; Senbeta, T.B.; Napiórkowski, J.J.; Romanowicz, R.J. Is it a drought or only a fluctuation in precipitation patterns?—Drought reconnaissance in Poland. Water 2021, 13, 807. [Google Scholar] [CrossRef]
- Dobrowolski, A.; Czarnecka, H.; Ostrowski, J.; Zaniewska, M. Floods in Poland from 1946 to 2001—Origin, territorial extent and frequency. Pol. Geol. Inst. Spec. Pap. 2004, 15, 69–76. [Google Scholar]
- Raport NIK, Realizacja programu ochrony przed powodzią w dorzeczu Górnej Wisły i działania podjęte w następstwie jego uchylenia [Implementation of the flood protection program in the Upper Vistula basin and actions taken as a result of its repeal]. LKR.410.032.00.2015, No. 150/2016/P/15/081/LKR, Warsaw, Poland. 2016. (In Polish)
- Di Baldassarre, G.; Brath, A.; Montanari, A. Reliability of different depth-duration-frequency equations for estimating short duration design storms. Water Resour. Res. 2006, 42, W12501. [Google Scholar] [CrossRef]
- Rao, A.R.; Hamed, K.H. Flood Frequency Analysis; CRC Press: Boca Raton, FL, USA, 2000; ISBN 9780849300837. [Google Scholar]
- Van de Vyver, H. Bayesian estimation of rainfall intensity–duration–frequency relationships. J. Hydrol. 2015, 529, 1451–1463. [Google Scholar] [CrossRef]
- Mudelsee, M. Statistical Analysis of Climate Extremes; Cambridge University Press, University Printing House: Cambridge, UK, 2020; ISBN 9781108791465. [Google Scholar]
- Haan, L.; Ferreira, A. Extreme Value Theory: An Introduction; Springer Series in Operations Research and Financial Engineering; Springer: New York, NY, USA, 2007; ISBN 9780387344713. [Google Scholar]
- Wolfram, S. The Mathematica Book, 4th ed.; Cambridge University Press: Cambridge, UK, 1999; ISBN 0521643147. [Google Scholar]
- Mann, H.B. Nonparametric tests against trend. Econometrica 1945, 13, 245–259. [Google Scholar] [CrossRef]
- Kendall, M.G. Rank Correlation Methods; Charles Griffin: London, UK, 1975. [Google Scholar]
- Esterby, S.R. Review of methods for the detection and estimation of trends with emphasis on water quality applications. Hydrol. Process. 1996, 10, 127–149. [Google Scholar] [CrossRef]
- Birsan, M.V.; Molnar, P.; Burlando, P.; Pfaundler, M. Streamflow trends in Switzerland. J. Hydrol. 2005, 314, 312–329. [Google Scholar] [CrossRef]
- Karamuz, E.; Romanowicz, R.J. Temperature changes and their impact on drought conditions in winter and spring in the Vistula Basin. Water 2021, 13, 1973. [Google Scholar] [CrossRef]
- Pettitt, A.N. A non-parametric approach to the change-point problem. J. R. Stat. Soc. Ser. C Appl. Stat. 1979, 28, 126–135. [Google Scholar] [CrossRef]
- Verstraeten, G.; Poesen, J.; Demarée, G.; Salles, C. Long-term (105 years) variability in rain erosivity as derived from 10-min rainfall depth data for Ukkel (Brussels, Belgium): Implications for assessing soil erosion rates. J. Geophys. Res. 2006, 111, D22109. [Google Scholar] [CrossRef]
- Mallakpour, I.; Villarini, G. A simulation study to examine the sensitivity of the Pettitt test to detect abrupt changes in mean. Hydrol. Sci. J. 2016, 61, 245–254. [Google Scholar] [CrossRef]
- Kendall, M.G.; Stuart, A. The Advanced Theory of Statistics; Charles Griffin and Company Limited: London, UK, 1973; Volume 2. [Google Scholar]
- Akaike, H. A new look at the statistical model identification. IEEE Trans. Autom. Control 1974, 19, 716–723. [Google Scholar] [CrossRef]
- Kolmogorov, A. Sulla determinazione empirica di una legge di distribuzione [On the empirical determination of a distribution law]. G. Inst. Ital. Attuari 1933, 4, 83–91. [Google Scholar]
- Pearson, K. Note on regression and inheritance in the case of two parents. Proc. R. Soc. Lond. 1895, 58, 240–242. [Google Scholar]
- Kundzewicz, Z.W. Summer 1997 flood in Poland in perspective. In Extreme Hydrological Events: New Concepts for Security; Vasiliev, O.F., van Gelder, P.H.A.J.M., Plate, E.J., Bolgov, M.V., Eds.; NATO Science Series IV; Springer: Dordrecht, The Netherlands, 2007. [Google Scholar]
- Report on Poland: Floods Final Report (Appeal No. 23/2001). International Federation of Red Cross And Red Crescent Societies. 2003. Available online: https://reliefweb.int/report/poland/poland-floods-final-report-appeal-no-232001 (accessed on 20 November 2020).
- European Commission. Report: Evaluation of the Civil Protection Mechanism. Case Study Report—Floods in Poland 2010. 2014. Available online: https://ec.europa.eu/echo/files/evaluation/2015/CPM_case_study_poland_en.pdf (accessed on 20 November 2020).
- Młyński, D.; Wałęga, A.; Petroselli, A.; Tauro, F.; Cebulska, M. Estimating maximum daily precipitation in the upper Vistula Basin, Poland. Atmosphere 2019, 10, 43. [Google Scholar] [CrossRef]
- Strupczewski, W.G.; Kochanek, K.; Markiewicz, I.; Bogdanowicz, E.; Weglarczyk, S.; Singh, V.P. On the tails of distributions of annual peak flow. Hydrol. Res. 2011, 42, 171–192. [Google Scholar] [CrossRef]
- Bogdanowicz, E.; Stachý, J. Maximum rainfall in Poland—A design approach. Res. Mater. Inst. Meteorol. Water Manag. Ser. Hydrol. Oceanol. 1998, 23, 98–110. (In Polish) [Google Scholar]
- Bogdanowicz, E.; Stachý, J. Maximum rainfall in Poland—A design approach. IAHS Publ. 2002, 271, 15–18. [Google Scholar]
- Gioia, A.; Lioi, B.; Totaro, V.; Molfetta, M.G.; Apollonio, C.; Bisantino, T.; Iacobellis, V. Estimation of peak discharges under different rainfall depth–duration–frequency formulations. Hydrology 2021, 8, 150. [Google Scholar] [CrossRef]
- Niedźwiedź, T.; Łupikasza, E.; Pińskwar, I.; Kundzewicz, Z.W.; Stoffel, M.; Małarzewski, Ł. Variability of high rainfalls and related synoptic situations causing heavy floods at the northern foothills of the Tatra Mountains. Theor. Appl. Climatol. 2015, 119, 273–284. [Google Scholar] [CrossRef]
- Szwed, M. Variability of precipitation in Poland under climate change. Theor. Appl. Climatol. 2019, 135, 1003–1015. [Google Scholar] [CrossRef]
- Bogdanowicz, E.; Karamuz, E.; Romanowicz, R.J. Temporal changes in flow regime along the River Vistula. Water 2021, 13, 2840. [Google Scholar] [CrossRef]
- Rossi, F.; Fiorentino, M.; Versace, P. Two-component extreme value distribution for flood frequency analysis. Water Resour. Res. 1984, 20, 847–856. [Google Scholar] [CrossRef]
- Arnell, N.; Gabriele, S. The performance of two-component extreme value distribution in regional flood frequency analysis. Water Resour. Res. 1988, 24, 879–887. [Google Scholar] [CrossRef]
- De Luca, D.L.; Galasso, L. Stationary and non-stationary frameworks for extreme rainfall time series in southern Italy. Water 2018, 10, 1477. [Google Scholar] [CrossRef]
- Markiewicz, I.; Bogdanowicz, E.; Kochanek, K. Quantile mixture and probability mixture models in a multi-model approach to flood frequency analysis. Water 2020, 12, 2851. [Google Scholar] [CrossRef]
- Benny, M.K.; Brema, J. Development of intensity duration frequency (IDF) curves for upper and lower Kuttanad, Kerala. Int. J. Eng. Adv. Technol. 2019, 8, 348–350. [Google Scholar]
- Tsunetaka, H. Comparison of the return period for landslide-triggering rainfall events in Japan based on standardization of the rainfall period. Earth Surf. Process. Landf. 2021, 46, 2984–2998. [Google Scholar] [CrossRef]
- Roksvåg, T.; Lutz, J.; Grinde, L.; Dyrrdal, A.; Thorarinsdottir, T. Consistent intensity-duration-frequency curves by post-processing of estimated Bayesian posterior quantiles. J. Hydrol. 2021, 603, 127000. [Google Scholar] [CrossRef]








| Meteorological Station | River Basin | Geographical Coordinates (Long., Lat.) | Altitude (m.a.s.l) | Mean Seasonal Precipitation (May–Oct) (mm) | Maximum Daily Precipitation (mm) |
|---|---|---|---|---|---|
| Skoczów | Vistula | 18°79′ E, 49°80′ N | 286 | 601 | 128.4 |
| Bielsko-Biała | Biała (L) | 19°05′ E, 49°82′ N | 396 | 662 | 162.7 |
| Katowice | Przemsza (R) | 19°06′ E, 50°26’ N | 278 | 452 | 74.1 |
| Rycerka Górna | Soła (L) | 19°03′ E, 49°47′ N | 570 | 719 | 123.4 |
| Węglówka | Raba(L) | 20°08′ E, 49°78′ N | 460 | 648 | 148.7 |
| Kraków | Vistula | 19°96′ E, 50°05′ N | 237 | 453 | 99.0 |
| Kasprowy Wierch | Dunajec (L) | 19°98′ E, 49°23′ N | 1991 | 1042 | 232.0 |
| Szaflary | Dunajec (L) | 20°03′ E, 49°43′ N | 655 | 563 | 103.4 |
| Białka Tatrzańska | Dunajec (L) | 20°11′ E, 49°39′ N | 624 | 561 | 112.0 |
| Tarnów | Dunajec (L) | 20°99′ E, 50°01′ N | 209 | 472 | 110.8 |
| Harkabuz | Czarna Orawa (The Black Sea catchment area) | 19°83′ E, 49°54′ N | 795 | 587 | 86.8 |
| Distribution | Cumulative Distribution Function (CDF) | |
|---|---|---|
| Gumbel (Gu) | ||
| Generalized Extreme Value (GEV) | ||
| Pearson 3 (P3) Gamma (Ga) | - | |
| Weibull (We3) (We2) | ||
| Log-normal (LN3) (LN2) | -order quantile of N(0,1) |
| Station | -Value of Mann–Kendall Test | -Value of Pettitt Test | ||||
|---|---|---|---|---|---|---|
| Skoczów | 0.578 | 0.341 | 0.695 | 0.673 | 0.167 | 0.578 |
| Bielsko Biała | 0.436 | 0.468 | 0.755 | 0.345 | 0.461 | 0.691 |
| Katowice | 0.210 | 0.775 | 0.699 | 0.319 | 0.797 | 0.751 |
| Rycerka Górna | 0.525 | 0.703 | 0.787 | 0.483 | 0.859 | 0.658 |
| Węglówka | 0.916 | 0.608 | 0.532 | 0.711 | 0.771 | 0.969 |
| Kraków | 0.452 | 0.411 | 0.327 | 0.341 | 0.559 | 0.470 |
| Kasprowy Wierch | 0.212 | 0.242 | 0.195 | 0.927 | 0.521 | 0.967 |
| Szaflary | 0.755 | 0.495 | 0.368 | 0.818 | 0.464 | 0.761 |
| Białka Tatrzańska | 0.581 | 0.396 | 0.349 | 0.763 | 0.464 | 0.548 |
| Tarnów | 0.440 | 0.365 | 0.221 | 0.524 | 0.813 | 0.470 |
| Harkabuz | 0.126 | 0.122 | 0.111 | 0.691 | 0.609 | 0.346 |
| Station | ||
|---|---|---|
| Skoczów | 0.501 | 0.775 |
| Bielsko Biała | 0.537 | 0.778 |
| Katowice | 0.305 | 0.776 |
| Rycerka Górna | 0.475 | 0.704 |
| Węglówka | 1.795 | 1.054 |
| Kraków | 0.687 | 0.831 |
| Kasprowy Wierch | 1.302 | 0.892 |
| Szaflary | 0.544 | 0.742 |
| Białka Tatrzańska | 0.990 | 0.896 |
| Tarnów | 0.722 | 0.882 |
| Harkabuz | 0.565 | 0.763 |
| Station | Best Distribution according to | Best Distribution among | ||||
|---|---|---|---|---|---|---|
| AIC | KS | PCC | Sum of Ranks | Two-Param. | Three-Param. | |
| Skoczów | GEV (221) | LN3 (209) | GEV (221) | GEV (221) | LN2 (189) | GEV (221) |
| Bielsko Biała | LN3 (267) | GEV (294) | GEV (294) | GEV (294) | LN2 (231) | GEV (294) |
| Katowice | LN2 (125) | Ga (116) | Gu (126) | Gu (126) | Gu (126) | GEV (123) |
| Rycerka Górna | We3 (175) | P3 (181) | GEV (196) | P3 (181) | Gu (167) | P3 (181) |
| Węglówka | LN2 (220) | P3 (221) | GEV (240) | P3 (221) | LN2 (220) | P3 (221) |
| Kraków | LN2 (147) | GEV (158) | GEV (158) | GEV (158) | LN2 (147) | GEV (158) |
| Kasprowy Wierch | We3 (329) | We3 (329) | GEV (355) | We3 (329) | We2 (286) | We3 (329) |
| Szaflary | We3 (157) | We3 (157) | P3 (167) | We3 (157) | LN2 (156) | We3 (157) |
| Białka Tatrzańska | LN2 (156) | LN3 (170) | GEV (175) | LN3 (170) | LN2 (156) | LN3 (170) |
| Tarnów | LN2 (178) | P3 (176) | GEV (189) | LN2 (178) | LN2 (178) | P3 (176) |
| Harkabuz | LN2 (143) | GEV (141) | LN3 (144) | LN2 (143) | LN2 (143) | LN3 (144) |
Publisher’s Note: MDPI stays neutral with regard to jurisdictional claims in published maps and institutional affiliations. |
© 2021 by the author. Licensee MDPI, Basel, Switzerland. This article is an open access article distributed under the terms and conditions of the Creative Commons Attribution (CC BY) license (https://creativecommons.org/licenses/by/4.0/).
Share and Cite
Markiewicz, I. Depth–Duration–Frequency Relationship Model of Extreme Precipitation in Flood Risk Assessment in the Upper Vistula Basin. Water 2021, 13, 3439. https://doi.org/10.3390/w13233439
Markiewicz I. Depth–Duration–Frequency Relationship Model of Extreme Precipitation in Flood Risk Assessment in the Upper Vistula Basin. Water. 2021; 13(23):3439. https://doi.org/10.3390/w13233439
Chicago/Turabian StyleMarkiewicz, Iwona. 2021. "Depth–Duration–Frequency Relationship Model of Extreme Precipitation in Flood Risk Assessment in the Upper Vistula Basin" Water 13, no. 23: 3439. https://doi.org/10.3390/w13233439
APA StyleMarkiewicz, I. (2021). Depth–Duration–Frequency Relationship Model of Extreme Precipitation in Flood Risk Assessment in the Upper Vistula Basin. Water, 13(23), 3439. https://doi.org/10.3390/w13233439
