Effects of Dynamical Change in Water Level on Local Scouring around Bridge Piers Based on In-Situ Experiments
Abstract
1. Introduction
2. Experimental Setup
2.1. Experimental Conditions
2.2. Experimental Cases
3. Effect of Water Level History on the Local Scouring around Bridge Pier
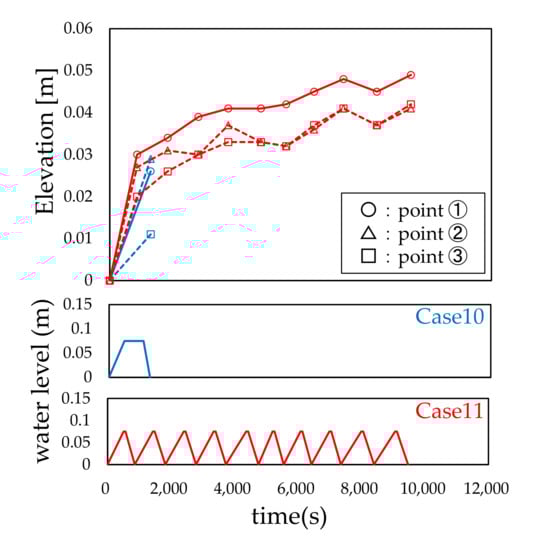
3.1. Progression of the Local Scour Area
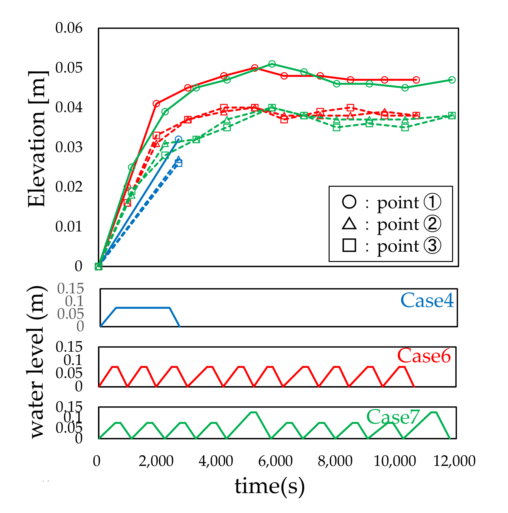
3.2. Influence of Water Level History and Pier Shape on Local Scour Depth
3.3. Summary of This Section
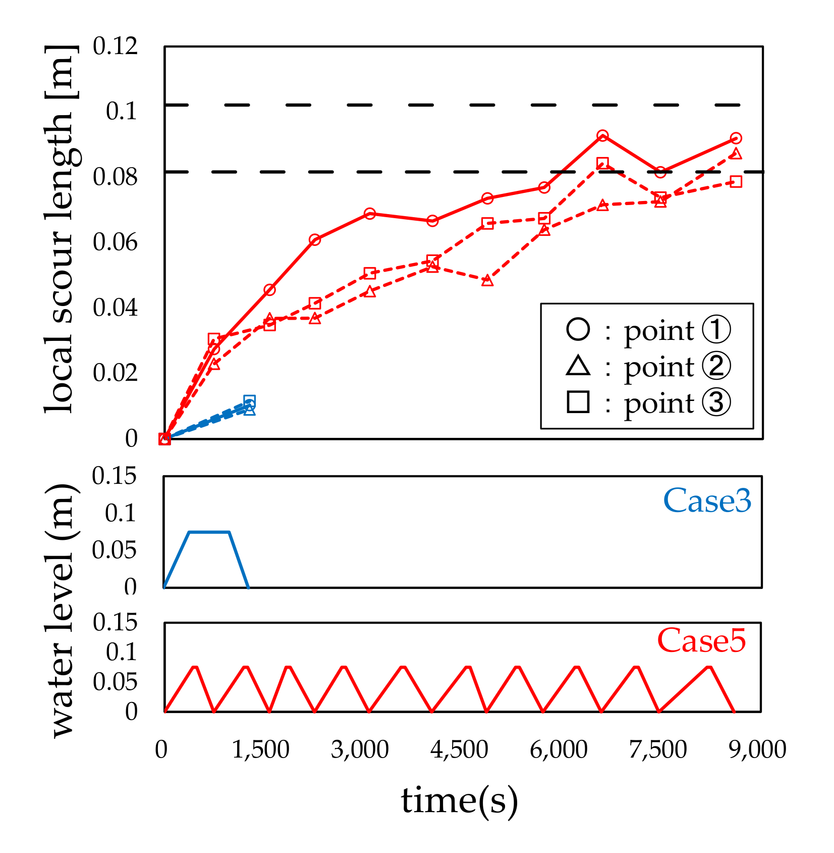
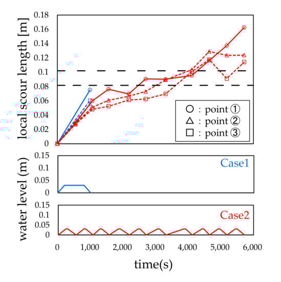
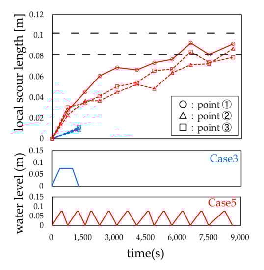
4. Effect of Water Level History and Pier Shape on Local Scour Length
5. Effect of Water Level History on the Cross-Section of Local Scour Hole
5.1. Type 1 Model
5.2. Type 2 Model
6. Conclusions
- The experiments of cylindrical and round nose and tail rectangular piers confirmed that the increase converged as the number of iterated actions increased.
- In the case of cylindrical and round nose and tail rectangular piers, where the piers were not at an angle with the river flow center, the local scour hole upstream of the piers increased as an inverted cone with iterated water level history until the maximum scour depth reached the equilibrium state. After reaching the equilibrium state, the top of the slope of the local scour hole was eroded by the scouring force, and a scour hole was formed.
- In the case of round nose and tail rectangular piers where the piers and river flow center were at an angle, the upper slope of the local scour hole was simultaneously eroded by the inflow water into the local scour hole when the water level rose or fell, forming a different local scour shape between the upper and lower parts of the local scour hole.
- The slope of the local scour hole formed upstream of the bridge pier model became less than the angle of repose in water, and the local scour length was 1.8 times longer than the theoretical local scour length calculated from the local scour depth and angle of repose in water of the riverbed material.
Author Contributions
Funding
Institutional Review Board Statement
Informed Consent Statement
Data Availability Statement
Conflicts of Interest
References
- Kadono, T.; Kikuchi, Y.; Irie, M. Recovery Planning and Evaluation of Bridge Piers Inclined by Scouring. In Proceedings of the Shikoku Branch of Japan Society of Civil Engineers, Natural Disaster Forum 2019, Takamatsu, Japan, 19 December 2019; pp. 19–24. [Google Scholar]
- Emmett, M.L. An analysis of relief bridge scour. J. Hydraul. Div. 1963, 89, 93–118. [Google Scholar]
- Tarapore, Z.S. A Theoretical and Experimental Determination of the Erosion Pattern Caused by Obstructions in an Alluvial Channel with Particular Reference to Vertical Circular Cylindrical Piers. Ph.D. Thesis, University of Minnesota, Minneapolis, MN, USA, 1962; p. 161. [Google Scholar]
- Gradowozyk, M.H.; Maggiolo, O.J.; Folguera, H.C. Localized Scour in Erodible-bed Channels. J. Hydraul. Res. 1968, 6, 289–326. [Google Scholar] [CrossRef]
- Shen, H.W.; Schceider, V.R.; Karaki, S. Local Scour around Bridge Piers. Proc. ASCE 1969, 95, 1914–1938. [Google Scholar]
- Melville, B.W.; Raudkivi, A.J. Effects of foundation geometry on bridge pier scour. J. Hydraul. Eng. 1996, 122, 203–209. [Google Scholar] [CrossRef]
- Roulund, A.; Sumer, B.M.; Fredsøe, J.; Michelsen, J. Numerical and experimental investigation of flow and scour around a circular pile. J. Fluid Mech. 2005, 534, 351–401. [Google Scholar] [CrossRef]
- Cheng, N.S.; Wei, N. Scaling of scour depth at bridge pier base on characteristic dimension of large-scale vortex. Water 2019, 11, 2458. [Google Scholar] [CrossRef]
- Manes, C.; Brocchini, M. Local around structures and the phenomenology of turbulence. J. Fluid Mech. 2015, 779, 309–324. [Google Scholar] [CrossRef]
- Umeda, S.; Yamazaki, T.; Masatoshi, Y. Effects of foundation location on scour process around a cylindrical bridge pier. Ann. J. Hydraul. Eng. 2010, 54, 835–840. [Google Scholar]
- Richardson, E.V.; Davis, S.R. Evaluating Scour at Bridges; Federal Highway Administration, Office of Bridge Technology (National Highway Institute): Washington, DC, USA, 2001.
- Briaud, J.L.; Chen, H.C.; Li, Y.; Nurtjahyo, P. SRICOS-EFA Method for Complex Piers in Fine-Grained Soils. J. Geotech. Geoenviron. Eng. 2004, 130, 1180–1191. [Google Scholar] [CrossRef]
- Ali, T.; Roberto, G.; Francesco, C. Evaluation of Flow-Altering Countermeasures against Bridge Pier Scour. J. Hydraul. Eng. ASCE 2012, 138, 297–305. [Google Scholar] [CrossRef]
- Gaudio, R.; Tafarojnoruz, A.; Calomino, F. Combined flow-altering conutermeasures against bridge pier scour. J. Hydraul. Res. 2012, 50, 35–43. [Google Scholar] [CrossRef]
- Fukuoka, S.; Miyagawa, T.; Tobiishi, M. Measurements of Flow and Bed Geometry around a Cylindrical Pier and Calculation of Its Fluid Forces. Ann. J. Hydraul. Eng. 1997, 41, 729–734. [Google Scholar] [CrossRef]
- Kadono, T.; Okazaki, S.; Kabeyama, Y.; Matsui, T. Effect of Angle between Pier and Center of River Flow in Local Scouring around the Bridge Pier. Water 2020, 12, 3192. [Google Scholar] [CrossRef]
- Briaud, J.L.; Chen, H.C.; Li, Y.; Nurtjahyo, P.; Wang, J. Complex Pier Scour and Contraction Scour in Cohesive Soils; National Cooperative Highway Research Program; Transportation Research Board National Research Council: Washington, DC, USA, 2003. [Google Scholar] [CrossRef]
- Michiue, M.; Hinokidan, O. Calculation of 2-dimensional bed evolution around spur-dike. Ann. J. Hydraul. Eng. 1992, 36, 61–66. [Google Scholar] [CrossRef][Green Version]
- Utami, T. Study on the Mechanism of Flow Around Bridge Piers and Scour Prevention Methods. Ph.D. Thesis, Kyoto University, Kyoto, Japan, 1975. [Google Scholar] [CrossRef]
- Tamai, S.; Nakao, S. Experimental Studies on the Local Scour around Cylindrical Bridge Pier. Res. Rep. Kôchi Univ. Nat. Sci. 1988, 37, 161–172. [Google Scholar]
- Mitzutani, H.; Najagawa, H.; Kawaike, K.; Baba, Y.; Zhang, H. Local Scour and Sediment Sorting Around a Spur Dyke. Kyoto Univ. Res. Inf. Repos. B 2011, 54, 525–528. [Google Scholar]
- Railway Technical Research Institute in JAPAN. Maintenance Standard (Railway Structure Edition, Foundation Structure and Retaining Structure); Railway Technical Research Institute in JAPAN: Tokyo, Japan, 2007; pp. 165–171. [Google Scholar]
- Vaughan, P.R. Design of filters for the protection of vracked dam cores against internal erosion. In Preprint 3420 Presented to ASCE Convention; American Society of Civil Engineers: Chicago, IL, USA, 1978. [Google Scholar]
- Vaughan, P.R.; Soares, H.F. Design of filters for clay cores of dams. J. Geotech. Eng. Div. ASCE 1982, 108, GT1. [Google Scholar]
- Uesaka, T.; Yaguchi, Y. Experimental Study on Identification of Filter Cohesion. J. Jpn. Soc. Dam Eng. 2001, 11, 55–66. [Google Scholar]
- Tarapore, Z.S.; Arthut, T. Scour Around Bridge Piers and Abutments. Ph.D. Thesis, University of Minnesota, Minneapolis, MN, USA, 1962. [Google Scholar]
- Nakagawa, H.; Suzuki, K. Study on the Estimation of Scour Depth Around Bridge Piers. Kyoto Univ. Disaster Prev. Res. Inst. Annu. Rep. B 1974, 17, 725–751. [Google Scholar]
- Igarashi, T.; Nishida, K. Basic Study on Scour around Bridge Piers and Its Prevention. Trans. Jpn. Soc. Mech. Eng. B 1992, 58, 1990–1996. [Google Scholar] [CrossRef][Green Version]
- Igarashi, T.; Tutui, T.; Iigatani, T. Clear Water Scour around Bridge Piers. Trans. Jpn. Soc. Mech. Eng. B 1994, 60, 3352–3358. [Google Scholar] [CrossRef][Green Version]


























| Case | Pier Shape | θ (Degree) | H1 [H2] (m) | N | t (s) | T (s) | V1 [V2] (m/s) | L (m) | Re1 [Re2] | Fr1 [Fr2] |
|---|---|---|---|---|---|---|---|---|---|---|
| Case 1 | Type1 | - | 0.03 | 1 | 600 | 600 | 0.267 | 0.065 | 11,404 | 0.334 |
| Case 2 | Type1 | - | 0.03 | 10 | 60 | 600 | 0.267 | 0.065 | 11,404 | 0.334 |
| Case 3 | Type1 | - | 0.075 | 1 | 600 | 600 | 0.107 | 0.065 | 4561 | 0.134 |
| Case 4 | Type1 | - | 0.075 | 1 | 1800 | 1800 | 0.107 | 0.065 | 4561 | 0.134 |
| Case 5 | Type1 | - | 0.075 | 10 | 60 | 600 | 0.107 | 0.065 | 4561 | 0.134 |
| Case 6 | Type1 | - | 0.075 | 10 | 1800 | 1800 | 0.107 | 0.065 | 4561 | 0.134 |
| Case 7 | Type1 | - | 0.075 [0.125] | 10 | 180 | 1800 | 0.107 [0.064] | 0.065 | 4561 [2737] | 0.134 [0.080] |
| Case 8 | Type2 | 0 | 0.075 | 1 | 600 | 600 | 0.107 | 0.1625 | 11,404 | 0.084 |
| Case 9 | Type2 | 0 | 0.075 | 10 | 60 | 600 | 0.107 | 0.1625 | 11,404 | 0.084 |
| Case 10 | Type2 | 30 | 0.075 | 1 | 600 | 600 | 0.107 | 0.1625 | 11,404 | 0.084 |
| Case 11 | Type2 | 30 | 0.075 | 10 | 60 | 600 | 0.107 | 0.1625 | 11,404 | 0.084 |
| Case 12 | Type2 | 45 | 0.075 | 1 | 600 | 600 | 0.107 | 0.1625 | 11,404 | 0.084 |
| Case 13 | Type2 | 45 | 0.075 | 10 | 60 | 600 | 0.107 | 0.1625 | 11,404 | 0.084 |
Publisher’s Note: MDPI stays neutral with regard to jurisdictional claims in published maps and institutional affiliations. |
© 2021 by the authors. Licensee MDPI, Basel, Switzerland. This article is an open access article distributed under the terms and conditions of the Creative Commons Attribution (CC BY) license (https://creativecommons.org/licenses/by/4.0/).
Share and Cite
Kadono, T.; Kato, S.; Okazaki, S.; Matsui, T.; Kajitani, Y.; Ishizuka, M.; Yoshida, H. Effects of Dynamical Change in Water Level on Local Scouring around Bridge Piers Based on In-Situ Experiments. Water 2021, 13, 3015. https://doi.org/10.3390/w13213015
Kadono T, Kato S, Okazaki S, Matsui T, Kajitani Y, Ishizuka M, Yoshida H. Effects of Dynamical Change in Water Level on Local Scouring around Bridge Piers Based on In-Situ Experiments. Water. 2021; 13(21):3015. https://doi.org/10.3390/w13213015
Chicago/Turabian StyleKadono, Takuma, Sho Kato, Shinichiro Okazaki, Toshinori Matsui, Yoshio Kajitani, Masahide Ishizuka, and Hidenori Yoshida. 2021. "Effects of Dynamical Change in Water Level on Local Scouring around Bridge Piers Based on In-Situ Experiments" Water 13, no. 21: 3015. https://doi.org/10.3390/w13213015
APA StyleKadono, T., Kato, S., Okazaki, S., Matsui, T., Kajitani, Y., Ishizuka, M., & Yoshida, H. (2021). Effects of Dynamical Change in Water Level on Local Scouring around Bridge Piers Based on In-Situ Experiments. Water, 13(21), 3015. https://doi.org/10.3390/w13213015

