Sign in to use this feature.

Years

Between: -

Subjects

remove_circle_outline
remove_circle_outline
remove_circle_outline
remove_circle_outline
remove_circle_outline
remove_circle_outline
remove_circle_outline
remove_circle_outline
remove_circle_outline

Journals

Article Types

Countries / Regions

Search Results (227)

Search Parameters:
Keywords = local scouring

Order results
Result details
Results per page
Select all
Export citation of selected articles as:
23 pages, 5575 KB  
Article
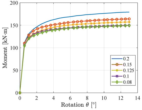
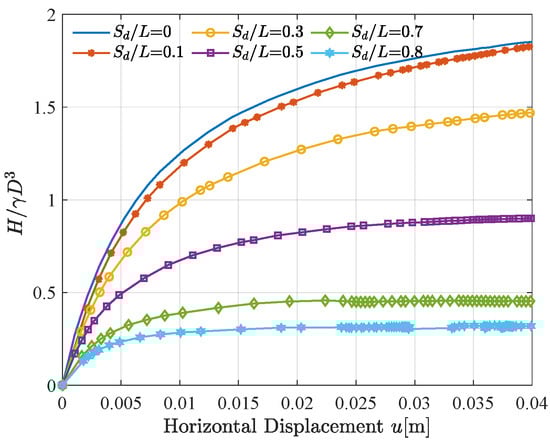
Influence of Seabed Scouring on the Bearing Capacity of Suction Caisson Foundations of Offshore Wind Turbines
by Zhuang Jin, Xuan Liu, Mayao Cheng, Maozhu Peng and Jie Yang
J. Mar. Sci. Eng. 2026, 14(2), 171; https://doi.org/10.3390/jmse14020171 - 13 Jan 2026
Viewed by 9
Abstract
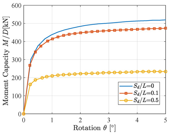
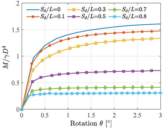
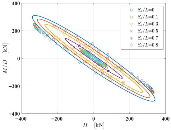
Local scour around suction caisson foundations has emerged as a significant geotechnical hazard for offshore wind turbines as developments extend into deeper waters. This study quantitatively evaluates the scour-induced degradation of the bearing capacity of suction buckets in sand using a three-dimensional finite [...] Read more.
Local scour around suction caisson foundations has emerged as a significant geotechnical hazard for offshore wind turbines as developments extend into deeper waters. This study quantitatively evaluates the scour-induced degradation of the bearing capacity of suction buckets in sand using a three-dimensional finite element model incorporating the Hardening Soil (HS) constitutive model. The HS framework enables realistic representation of stress-dependent stiffness, dilatancy, and plastic hardening, which are essential for simulating stress redistribution caused by scour. Parametric analyses covering a broad range of relative scour depths show that scour depth is the primary factor governing capacity loss. Increasing scour leads to systematic reductions in horizontal and moment capacities, evident stiffness softening, and a downward migration of plastic zones. A critical threshold is identified at Sd/L = 0.3, beyond which the rate of capacity deterioration increases significantly. The HM failure envelopes contract progressively and exhibit increasing flattening with scour depth while maintaining nearly constant eccentricity. Empirical relationships between scour depth and key envelope parameters are further proposed to support engineering prediction. The results highlight the necessity of integrating scour effects into design and assessment procedures for suction bucket foundations to ensure the long-term performance and safety of offshore wind turbines. Full article
(This article belongs to the Special Issue Wave–Structure–Seabed Interaction)
Show Figures

Figure 1

38 pages, 18338 KB  
Article
Damage Characterisation of Scour in Riprap-Protected Jackets and Hybrid Foundations
by João Chambel, Tiago Fazeres-Ferradosa, Mahdi Alemi, Francisco Taveira-Pinto and Pedro Lomonaco
J. Mar. Sci. Eng. 2026, 14(2), 114; https://doi.org/10.3390/jmse14020114 - 6 Jan 2026
Viewed by 193
Abstract
The global transition towards sustainable energy has accelerated the development and deployment of offshore wind turbines. Jacket foundations, commonly installed in intermediate to deep water depths to access available space and higher load capacities, are built to withstand intensified hydrodynamic loads. Due to [...] Read more.
The global transition towards sustainable energy has accelerated the development and deployment of offshore wind turbines. Jacket foundations, commonly installed in intermediate to deep water depths to access available space and higher load capacities, are built to withstand intensified hydrodynamic loads. Due to their structural complexity near the seabed, however, they are prone to local and global scour, which can compromise stability and increase maintenance costs. While extensive research has addressed scour protections around monopiles, limited attention has been given to complex foundation geometries or even hybrid configurations that combine energy-harvesting devices with structural support. These hybrid systems introduce highly unsteady flow fields and amplified turbulence effects that current design frameworks appear to be unable to capture. This study provides an experimental characterisation of scour damage in riprap-protected jackets as well as additional tests for a hybrid jacket foundation. A novel adaptation of a high-resolution overlapping sub-area methodology was employed. For the first time, it was successfully applied to quantify the damage to riprap protections for a complex offshore foundation. Results revealed that, although hybrid jackets showed the capacity to attenuate incident waves, the scour protection experienced damage numbers (S3D) two to six times higher than conventional jackets due to flow amplifications. The findings highlight the need for revised design guidelines that can account for the complex hydrodynamic-structural interactions of next-generation marine harvesting technologies integrated into complex foundations. Full article
Show Figures

Figure 1

24 pages, 31783 KB  
Article
Investigation of Edge Scour and Undermining Process of Conical Structure Around a Monopile
by Jinming Tu, Fan Yang, Chi Yu and Fuming Wang
J. Mar. Sci. Eng. 2026, 14(1), 90; https://doi.org/10.3390/jmse14010090 - 2 Jan 2026
Viewed by 144
Abstract
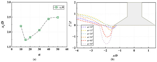
The scour protection performance of the conical structure under different slope angles, α, was investigated through numerical simulations. By solving the Navier–Stokes (N–S) equations, using the Renormalization Group (RNG) kε turbulence model and the Meyer-Peter and Müller (MPM) sediment transport [...] Read more.
The scour protection performance of the conical structure under different slope angles, α, was investigated through numerical simulations. By solving the Navier–Stokes (N–S) equations, using the Renormalization Group (RNG) kε turbulence model and the Meyer-Peter and Müller (MPM) sediment transport formula, the scour protection performance, undermining process, and the flow field around the devices were fully analyzed at different slope angles. The findings indicate that the conical scour protection provides effective protection against scour damage. As the slope angle increases, greater scour depth is observed around the structure. A critical slope angle was identified between 30° and 40°, slope angle effects are obvious below the threshold; otherwise, it minimized. Undermining is the main cause of failure of such stiff scour protection, mainly driven by flow contraction and sand sliding. Upstream undermining beneath the structure is more pronounced, while the downstream undermining is largely related to the near-bed flow separation point. The critical undermining point (CUP) is proposed based on the undermining curve to distinguish the undermining state, which is critical in scour protection and structural stability. Full article
(This article belongs to the Special Issue Wave–Structure–Seabed Interaction)
Show Figures

Figure 1

25 pages, 7358 KB  
Article
Experimental Study of Local Scour Around Two Compound Piles in Tandem, Side-by-Side and Staggered Arrangements Under Steady Current
by Muhammad Adnan, Ming Zhao, Helen Wu, Adnan Munir and Vatsal Dhamelia
J. Mar. Sci. Eng. 2026, 14(1), 27; https://doi.org/10.3390/jmse14010027 - 23 Dec 2025
Viewed by 220
Abstract
Scour around two compound piles (CPs) in tandem, side-by-side (SBS), and staggered arrangements is investigated through experiments. Each CP has a larger diameter foundation, which is partially buried, and a smaller diameter top part with a diameter ratio of 0.5. The exposed height [...] Read more.
Scour around two compound piles (CPs) in tandem, side-by-side (SBS), and staggered arrangements is investigated through experiments. Each CP has a larger diameter foundation, which is partially buried, and a smaller diameter top part with a diameter ratio of 0.5. The exposed height of the foundation is equal to its diameter. Experiments are conducted for gap ratios from 1 to 3. Due to the shadowing effect from the upstream CP, the downstream CP in the tandem arrangement has shallower scour depth and its most downstream point has deposition at an early stage. In the SBS arrangement, the scour does not have much difference from that of a single CP, but the inner side of each CP has a slightly deeper scour hole than the outer side of each CP and scour hole became independent at gap ratio of 3. In the staggered arrangement, the shadowing effect from the upstream CP was experienced by the downstream CP when G/D = 1, but not 1.5 and 3. Full article
(This article belongs to the Special Issue Wave–Structure–Seabed Interaction)
Show Figures

Figure 1

21 pages, 2101 KB  
Article
Probabilistic Prediction of Local Scour at Bridge Piers with Interpretable Machine Learning
by Jaemyeong Choi, Jongyeong Kim, Soonchul Kwon and Taeyoon Kim
Water 2025, 17(24), 3574; https://doi.org/10.3390/w17243574 - 16 Dec 2025
Viewed by 395
Abstract
Local pier scour remains one of the leading causes of bridge failure, calling for predictions that are both accurate and uncertainty-aware. This study develops an interpretable data-driven framework that couples CatBoost (Categorial Gradient Boosting) for deterministic point prediction with NGBoost (Natural Gradient Boosting) [...] Read more.
Local pier scour remains one of the leading causes of bridge failure, calling for predictions that are both accurate and uncertainty-aware. This study develops an interpretable data-driven framework that couples CatBoost (Categorial Gradient Boosting) for deterministic point prediction with NGBoost (Natural Gradient Boosting) for probabilistic prediction. Both models are trained on a laboratory dataset of 552 measurements of local scour at bridge piers using non-dimensional inputs (y/b, V/Vc, b/d50, Fr). Model performance was quantitatively evaluated using standard regression metrics, and interpretability was provided through SHAP (Shapley Additive Explanations) analysis. Monte Carlo–based reliability analysis linked the predicted scour depths to a reliability index β and exceedance probability through a simple multiplicative correction factor. On the held-out test set, CatBoost offers slightly higher point-prediction accuracy, while NGBoost yields well-calibrated prediction intervals with empirical coverages close to the nominal 68% and 95% levels. This framework delivers accurate, interpretable, and uncertainty-aware scour estimates for target-reliability, risk-informed bridge design. Full article
(This article belongs to the Section Hydraulics and Hydrodynamics)
Show Figures

Figure 1

33 pages, 2278 KB  
Review
Local Scour Around Tidal Stream Turbine Foundations: A State-of-the-Art Review and Perspective
by Ruihuan Liu, Ying Li, Qiuyang Yu and Dongzi Pan
J. Mar. Sci. Eng. 2025, 13(12), 2376; https://doi.org/10.3390/jmse13122376 - 15 Dec 2025
Viewed by 277
Abstract
Local scour around support structures has remained a critical barrier to tidal stream turbine deployment in energetic marine channels since loss of embedment and bearing capacity has undermined stability and delayed commercialization. This review identifies key mechanisms, practical implications, and forward-looking strategies related [...] Read more.
Local scour around support structures has remained a critical barrier to tidal stream turbine deployment in energetic marine channels since loss of embedment and bearing capacity has undermined stability and delayed commercialization. This review identifies key mechanisms, practical implications, and forward-looking strategies related to local scour. It highlights that rotor operation, small tip clearance, and helical wakes can significantly intensify near-bed shear stress and erosion relative to monopile foundations without turbine rotation. Scour behavior is compared across monopile, tripod, jacket, and gravity-based foundations under steady flow, reversing tides, and combined wave and current conditions, revealing their influence on depth and morphology. The review further assesses coupled interactions among waves, oscillatory currents, turbine-induced flow, and seabed response, including sediment transport, transient pore pressure, and liquefaction risk. Advances in prediction methods spanning laboratory experiments, high-fidelity simulations, semi-empirical models, and data-driven techniques are synthesized, and mitigation strategies are evaluated across passive, active, and eco-integrated approaches. Remaining challenges and specific research needs are outlined, including array-scale effects, monitoring standards, and integration of design frameworks. The review concludes with future directions to support safe, efficient, and sustainable turbine deployment. Full article
(This article belongs to the Special Issue Marine Renewable Energy and Environment Evaluation)
Show Figures

Figure 1

22 pages, 4254 KB  
Article
Comparative Study on Scour Protection Methods for Pile Group Foundations Under Wave–Current Coupling
by Bowen Weng and Junliang Lu
Water 2025, 17(24), 3457; https://doi.org/10.3390/w17243457 - 5 Dec 2025
Viewed by 643
Abstract
Wave–current coupling significantly increases the vulnerability of underwater pile foundations to scour, making effective protection measures essential for waterborne structures. In this study, a group pile of a sea-crossing bridge in Zhejiang province, China, was selected as the research object, and fifteen scour [...] Read more.
Wave–current coupling significantly increases the vulnerability of underwater pile foundations to scour, making effective protection measures essential for waterborne structures. In this study, a group pile of a sea-crossing bridge in Zhejiang province, China, was selected as the research object, and fifteen scour simulations were conducted using FLOW-3D v11.2 to investigate the effects of water depth, flow velocity, and wave action on the scour characteristics of pile groups. Furthermore, the performance of two protection strategies (riprap and sacrificial piles) was comparatively analyzed. The results showed that the presence of waves altered the scour pattern, while variations in water depth influenced the scour morphology through changes in the downflow structure. Under wave–current coupling, variations in flow velocity affected the distribution of the scour depth profile. Without protection, the maximum scour occurred between the second and third rows of upstream piles, with an average scour depth exceeding 7 m. When protection measures were applied, square riprap exhibited a superior performance compared to elliptical riprap. A 2 m thick square riprap layer effectively reduced the maximum scour depth by 89%. Sacrificial piles alone provided limited protection, reducing the maximum scour depth by 25%. These findings provide valuable insights for optimizing scour protection design under complex wave–current conditions. Full article
(This article belongs to the Section Hydraulics and Hydrodynamics)
Show Figures

Figure 1

22 pages, 6433 KB  
Article
Numerical Investigation of Local Scour Around Bridge Pile-Group Foundations Under Steady Flows
by Wentao Li, Xiangdong Wang, Zhixun Wang, Qianmi Yu, Peng Huang, Yilin Yang and Jinzhao Li
Infrastructures 2025, 10(12), 333; https://doi.org/10.3390/infrastructures10120333 - 5 Dec 2025
Viewed by 327
Abstract
Local scour around pile-group foundations is a predominant cause of hydraulic instability in bridge engineering. This study employs a fully coupled three-dimensional computational fluid dynamics model to investigate local scour around a 2 × 2 inline pile group under steady flows. The model [...] Read more.
Local scour around pile-group foundations is a predominant cause of hydraulic instability in bridge engineering. This study employs a fully coupled three-dimensional computational fluid dynamics model to investigate local scour around a 2 × 2 inline pile group under steady flows. The model is validated against detailed laboratory measurements of flow and scour, demonstrating good agreement in both hydrodynamic and scour results, with scour depth simulations deviating by less than 15% from experimental data. Analysis of the flow fields reveal that scour evolution is accompanied by the descent of the horseshoe vortex, intensification of gap-flow, and acceleration around the side piles, while migration of bed shear stress from the pile flanks to the upstream slope dictates the equilibrium scour morphology. A systematic parametric study was conducted to evaluate the influence of the Froude number (Fr) and pile spacing (G/D) on scour depth. The results indicate that scour depth increases rapidly with Fr up to approximate 0.35, beyond which it plateaus as form-induced drag dissipates the incoming flow energy. Increasing G/D from 1 to 1.5 reduces the scour depth by about 12%, with smaller further reduction beyond G/D = 1.5, suggesting that this spacing offers a pragmatic compromise between structural footprint and scour resistance. Full article
(This article belongs to the Section Infrastructures and Structural Engineering)
Show Figures

Figure 1

28 pages, 8852 KB  
Article
Experimental Study on Seabed Stability Around an Offshore Pipeline Under Waves and Currents: Local Scour and Pore-Water Pressure
by Mengxiao Li, Dong-Sheng Jeng, Lin Cui, Zuodong Liang, Zheng Wang, Dajun Liu, Dayu Chang and Ke Sun
J. Mar. Sci. Eng. 2025, 13(12), 2278; https://doi.org/10.3390/jmse13122278 - 29 Nov 2025
Viewed by 449
Abstract
Offshore pipelines are commonly used for the transportation of oil and gas from offshore to near-shore facilities in the oil and gas industry. In ocean environments, the wave- and current- induced pore-water pressure within the seabed, and the associated seabed liquefaction and local [...] Read more.
Offshore pipelines are commonly used for the transportation of oil and gas from offshore to near-shore facilities in the oil and gas industry. In ocean environments, the wave- and current- induced pore-water pressure within the seabed, and the associated seabed liquefaction and local scour around pipelines, are widely recognised as among the key factors in the design of offshore pipelines. In this paper, a series of wave flume experiments were carried out on the three-dimensional (3D) scouring around a pipeline. In the experiment, in addition to the measurement of hydrodynamic characteristics and local scour, the pore-water pressure within a sandy seabed was measured. Both waves and currents were considered with different incident angles to the pipeline. This study focuses on the relationship between the variation in pore-water pressure and the development of the scouring process around the pipeline, as well as the evolution of the 3D scouring morphology near the pipeline. The experimental results show that the pore-water pressure exhibits significant changes (up to 12.5% of P0) in the beginning stage of the scouring process, especially in the area below the pipeline, where the influence of scouring on pore-water pressure is most obvious. Full article
(This article belongs to the Section Coastal Engineering)
Show Figures

Figure 1

25 pages, 16352 KB  
Article
Numerical Investigation of Local Scour Below a Submarine Pipeline on Sand Wave Seabeds Under Current Conditions
by Zhipeng Zang, Wenjun Fan and Cun Hu
Water 2025, 17(22), 3279; https://doi.org/10.3390/w17223279 - 16 Nov 2025
Viewed by 553
Abstract
This study presents numerical results on 2D local scour around subsea pipelines positioned on sand wave seabeds under steady flow conditions, utilizing Flow-3D (v11.2) software. In the computational model, the flow dynamics surrounding the pipeline are resolved using the time-averaged 2D Navier–Stokes equations [...] Read more.
This study presents numerical results on 2D local scour around subsea pipelines positioned on sand wave seabeds under steady flow conditions, utilizing Flow-3D (v11.2) software. In the computational model, the flow dynamics surrounding the pipeline are resolved using the time-averaged 2D Navier–Stokes equations in conjunction with the Renormalization Group (RNG) k-ε turbulence model. The bed morphology is governed by the bedload transport rate, suspended load transport rate, and sediment mass balance equation. The research explores the influence of pipeline diameter and water depth on scour patterns over flat beds and investigates how the pipeline’s relative position to symmetrical sand waves affects the severity and morphology of scour. It is demonstrated that the non-dimensional scour depth decreases with an increase in pipeline diameter, whereas in shallower waters, the intensity of scour is greater for a given diameter. In the study of sand wave bed conditions, it was determined that the scour strength exhibits a hierarchical order from strongest to weakest as follows: pipeline located at the crest, downstream slope of the sand waves, pipeline situated on the upstream slope, and at the trough. It is noteworthy that the scour effect is marginally more pronounced at the crest compared to a flat seabed. Conversely, scour intensity diminishes at the other positions, particularly at the trough, where it often results in backfilling and the self-burial of the pipeline. Finally, the distributions of velocity and bed shear stress around the pipeline and seabed are presented to elucidate the flow mechanisms underlying the scour process. Full article
Show Figures

Figure 1

32 pages, 7791 KB  
Article
Numerical Simulation of Flow and Local Scour Around Structures in Steep Channels Using Two- and Three-Dimensional Hydrodynamic Models
by Yuki Kajikawa
Water 2025, 17(22), 3243; https://doi.org/10.3390/w17223243 - 13 Nov 2025
Cited by 1 | Viewed by 575
Abstract
Complex three-dimensional (3D) flows generally occur around structures such as bridge piers and groins installed in river channels during floods, resulting in local scour in movable beds. Most analyses of bed deformation, including local scour around structures in supercritical flow fields, have been [...] Read more.
Complex three-dimensional (3D) flows generally occur around structures such as bridge piers and groins installed in river channels during floods, resulting in local scour in movable beds. Most analyses of bed deformation, including local scour around structures in supercritical flow fields, have been conducted using two-dimensional (2D) models. However, the inevitability of 3D flows around structures renders 2D models (assuming hydrostatic pressure distribution) inadequate in reproducing local scour induced by these flows. Therefore, 3D models are necessary for accurate local scour prediction, even in these flow conditions. This study presents the differences in reproducibility between 2D shallow-water hydrodynamic models and 3D hydrodynamic models for the flow and local scour around structures in steep channels under supercritical flow conditions. Both hydrodynamic and mixed-sand bed deformation models, incorporating the fractional area/volume obstacle representation (FAVOR) method, were developed and applied to hydraulic experiments. As a result, the proposed 3D model accurately reproduced the experimental results of local scour. It was also shown that a 2D model may be sufficient for predicting flows and approximate bed deformations when the constriction length formed by the structure is short. By contrast, the application of a 3D model was necessary for predicting bed deformations when the constriction length is long. In addition, the numerical models using the FAVOR method could smoothly analyse flows and bed deformations in channel shapes that do not follow the coordinate system. Full article
(This article belongs to the Special Issue Numerical Modeling of Hydrodynamics and Sediment Transport)
Show Figures

Figure 1

16 pages, 4181 KB  
Article
Optimizing Pier Arrangement for Flood Hazard Mitigation: A Comparative Mobile-Bed and Fixed-Bed Experimental Study
by Minxia Hao, Guodong Li and Xinyu Sheng
Water 2025, 17(20), 2951; https://doi.org/10.3390/w17202951 - 14 Oct 2025
Cited by 1 | Viewed by 485
Abstract
River bridge engineering alters the hydraulic characteristics of rivers, impacting fluvial morphological stability. To investigate issues concerning flood conveyance capacity within the river reach hosting a new bridge and the safe operation of existing bridges, comparative physical model tests employing both mobile-bed and [...] Read more.
River bridge engineering alters the hydraulic characteristics of rivers, impacting fluvial morphological stability. To investigate issues concerning flood conveyance capacity within the river reach hosting a new bridge and the safe operation of existing bridges, comparative physical model tests employing both mobile-bed and fixed-bed configurations were conducted. A 1:60 scale model was used to test flood peak discharges corresponding to 30-year and 100-year return periods and investigate pier spacings of 30 m and 40 m. These tests evaluated the relative advantages and limitations of each model type in simulating flow patterns, sediment transport, and riverbed evolution. Specifically, mobile-bed models more effectively capture the interaction between water flow and sediment dynamics, while fixed-bed experiments enable more precise measurement of hydraulic parameters. Pier spacing is recognized as one of the most critical factors influencing river flow regimes. Larger pier spacing (40 m) was found to reduce upstream backwater and local scour depth compared to smaller spacing (30 m), particularly under the 30-year flood scenario. Consequently, this study investigated the effects of pier spacing on flow patterns, obtained flood conveyance characteristics under various flood frequencies, and analyzed the underlying mechanisms governing flow fields, velocity variations, and local scour around piers. The research outcomes not only elucidate multiscale coupling mechanisms between water flow and sediment but also quantify the relationship between the extent of pier-induced flow disturbance and subsequent channel morphological adjustments. This quantification provides a dynamic criterion for risk mitigation of river-crossing structures and establishes a hydrodynamic foundation for studying flood hazards in complex river reaches. Full article
(This article belongs to the Section Hydraulics and Hydrodynamics)
Show Figures

Figure 1

19 pages, 15681 KB  
Article
Optimization of Combined Scour Protection for Bridge Piers Using Computational Fluid Dynamics
by Xiangdong Wang, Wentao Li, Zhiwen Peng, Qianmi Yu, Yilin Yang and Jinzhao Li
Water 2025, 17(18), 2742; https://doi.org/10.3390/w17182742 - 16 Sep 2025
Cited by 2 | Viewed by 1121
Abstract
This study presents a high-fidelity CFD-based optimization of a combined sacrificial-pile and collar (SPC) system designed to suppress local scour at circular bridge piers. Following rigorous validation against benchmark flume experiments (scour depth error < 3%), a systematic parametric study was conducted to [...] Read more.
This study presents a high-fidelity CFD-based optimization of a combined sacrificial-pile and collar (SPC) system designed to suppress local scour at circular bridge piers. Following rigorous validation against benchmark flume experiments (scour depth error < 3%), a systematic parametric study was conducted to quantify the influence of pile-to-pier spacing (dp/D = 4–6) and collar elevation (hc/D = 0–0.3). The optimal layout is found to be a sacrificial pile at dp/D = 5 and a collar at hc/D, which yields a 51.2% scour reduction relative to the unprotected case. Flow field analysis reveals that the pile wake deflects the lower approach flow, while the collar vertically displaces the horseshoe vortex; together, these mechanisms redistribute bed shear stress and prevent secondary undermining. Consequently, the upstream conical pit is virtually eliminated, lateral scour is broadened but markedly shallower, and the downstream dune tail bifurcates into two symmetrical ridges. To the best of the authors’ knowledge, this study presents the first high-fidelity CFD-based optimization of a combined sacrificial-pile and collar (SPC) system with a fully coupled hydrodynamic-morphodynamic model. The optimized layout yields a 51.2% scour reduction relative to the unprotected case and, more importantly, demonstrates a positive non-linear synergy that exceeds the linear sum of individual device efficiencies by 7.5%. The findings offer practical design guidance for enhancing bridge foundation resilience against scour-induced hydraulic failure. Full article
Show Figures

Figure 1

18 pages, 2324 KB  
Article
Numerical Study on the Hydrodynamic Force on Submarine Pipeline Considering the Influence of Local Scour Under Unidirectional Flow
by Yadong Wang, Songsong Yu, Siyu Wang, Bolin Zhan, Yubin Jin and Guoqiang Tang
Water 2025, 17(18), 2737; https://doi.org/10.3390/w17182737 - 16 Sep 2025
Cited by 1 | Viewed by 666
Abstract
The effect of local scour on the hydrodynamic force upon a submarine pipeline under unidirectional flow has been numerically investigated. The flow field around the pipeline is obtained using the Navier–Stokes equations with the SST k-ω turbulence model, and the sediment transport model, [...] Read more.
The effect of local scour on the hydrodynamic force upon a submarine pipeline under unidirectional flow has been numerically investigated. The flow field around the pipeline is obtained using the Navier–Stokes equations with the SST k-ω turbulence model, and the sediment transport model, considering suspended load and bed load, is accounted for. Firstly, the influences of the Reynolds number (1 × 104Re ≤ 1 × 105) and Shields number (1.2 ≤ θ/θcr ≤ 2.5) on the scour below the pipeline are analyzed; then, the effect of local scour on the hydrodynamic force upon the pipeline is examined by comparing with the condition that the pipeline is put on the flat seabed. It is found that the presence of local scour leads to a significant effect on the hydrodynamic force acting on the pipeline. Additionally, the Reynolds number affects the hydrodynamic force significantly, while the Shields number has a relatively low effect. The reduction coefficient (λ) is adopted to quantify the influence of the local scour around the pipeline on the hydrodynamic force. According to the reduction coefficient, the presence of local scour increases the drag coefficient by about 10% when the Reynolds number is 1 × 104, while it decreases the drag coefficient significantly when the Reynolds number is larger than 2 × 104, and the reduction coefficient trends towards a constant value with the increase in the Reynolds number. Full article
Show Figures

Figure 1

13 pages, 1842 KB  
Article
Artificial Neural Network Model for Predicting Local Equilibrium Scour Depth at Pile Groups in Steady Currents
by Xinao Zhao, Ping Dong, Yan Li, Yan Zhou, Xiaoying Zhao, Qing Wang and Chao Zhan
J. Mar. Sci. Eng. 2025, 13(9), 1742; https://doi.org/10.3390/jmse13091742 - 10 Sep 2025
Cited by 1 | Viewed by 604
Abstract
Piles are common support elements for marine and coastal structures. The scour around pile foundations caused by currents is a major threat to the stability and safety of these structures. The empirical equations commonly used for estimating the equilibrium scour depth around pile [...] Read more.
Piles are common support elements for marine and coastal structures. The scour around pile foundations caused by currents is a major threat to the stability and safety of these structures. The empirical equations commonly used for estimating the equilibrium scour depth around pile groups are limited in their predicative capability, especially when the current approaches the pile group at an angle. This study applies a Multi-Layer Perceptron Backpropagation (MLP/BP) neural network to develop a general model for predicting the local maximum equilibrium scour depth around pile groups in steady currents. The input parameters for the model include all relevant non-dimensional hydrodynamic and structural variables taking full account of the effects of the pile group arrangement and its orientation relative to the approaching current. The model’s performance was evaluated by comparing its predictions against those generated by multiple other machine learning methods, as well as against results from widely used empirical formulas. A comprehensive sensitivity analysis is carried out to determine the importance ranking of the input parameters on model accuracy. Full article
(This article belongs to the Section Ocean Engineering)
Show Figures

Figure 1

Back to TopTop