Macrophyte Diversity as a Response to Extreme Conditions in the Post-Mining Lakes of the Muskau Arch (West Poland)
Abstract
1. Introduction:
2. Study Area and Methods
2.1. Study Objects
2.2. Study of Vegetation
2.3. Study of Physico-Chemical Parameters
2.4. Data Analysis
3. Results
3.1. The Differentiation of Lake Water Properties
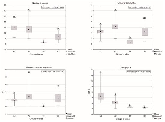
3.2. Macrophyte Differentiation
4. Discussion
4.1. Differentiation of Water Properties
4.2. Macrophyte Differentiation
5. Conclusions
Supplementary Materials
Author Contributions
Funding
Institutional Review Board Statement
Informed Consent Statement
Data Availability Statement
Acknowledgments
Conflicts of Interest
References
- Sienkiewicz, E.; Gąsiorowiski, M. The evolution of a mining lake—From acidity to natural neutralization. Sci. Total Environ. 2016, 557–558, 343–353. [Google Scholar] [CrossRef]
- Blanchette, M.L.; Lund, M.A. Pit lakes are a global legacy of mining: An integrated approach to achieving sustainable ecosystems and value for communities. Curr. Opin. Environ. Sustain. 2016, 23, 28–34. [Google Scholar] [CrossRef]
- Oszkinis-Golon, M.; Jerzak, L.; Frankowski, M.; Pukacz, A. Physicochemical Differentiation of the Muskau Arch Pit Lakes in the Light of Long-Term Changes. Water 2020, 12, 2368. [Google Scholar] [CrossRef]
- Pukacz, A.; Oszkinis-Golon, M.; Frankowski, M. The physico-chemical diversity of pit lakes of the Muskau Arch (Western Poland) in the context of their evolution and genesis. Limnol. Rev. 2018, 18, 115–126. [Google Scholar] [CrossRef]
- Koźma, J. Anthropogenic landscape changes connected with the old brown coalmining based on the example of the Polish part of the Muskau Arch area. Górnictwo Odkryw. 2016, 57, 1–13. [Google Scholar]
- Schultze, M.; Boehrer, B. Development of Two Meromictic Pit Lakes—a Case Study from the Former brown coal Mine Merseburg-Ost, Germany. In Proceedings of the 10th IMWA Congress: Mine Water and the Environment, Karlovy Vary, Czech Republic, 2–5 June 2008; pp. 611–614. [Google Scholar]
- Kasztelewicz, Z. Pros and cons of coal mining in Poland. Polityka Energetyczna 2012, 15, 7–27. [Google Scholar]
- Koschorreck, M.; Tittel, J. Benthic photosynthesis in an acidic mining lake (pH 2.6). Limnol. Oceanogr. 2002, 47, 1197–1201. [Google Scholar] [CrossRef]
- Moser, M.; Weisse, T. The most acidified Austrian lake in comparison to a neutralized mining lake. Limnologica 2011, 41, 303–315. [Google Scholar] [CrossRef]
- Nixdorf, B.; Uhlmann, W.; Lessmann, D. Potential for remediation of acidic mining lakes evaluated by hydrogeochemical modelling: Case study Grunewalder Lauch (Plessa 117, Lusatia/Germany). Limnologica 2010, 40, 167–174. [Google Scholar] [CrossRef][Green Version]
- Geller, W.; Klapper, H.; Schultze, M. Natural and Anthropogenic Sulphuric Acidification of lakes. In Acidic Pit Lakes, Acid Main Drainage, Limnology and Reclamation; Geller, W., Schultze, M., Kleinmann, B., Wolkersdorfer, C., Eds.; Springer: Berlin/Heidelberg, Germany, 1998; pp. 3–15. [Google Scholar]
- Peine, A.; Peiffer, S. In-Lake Neutralization of Acid Mine Lakes. In Acidic Pit Lakes, Acid Main Drainage, Limnology and Reclamation; Geller, W., Schultze, M., Kleinmann, B., Wolkersdorfer, C., Eds.; Springer: Berlin/Heidelberg, Germany, 1998; pp. 47–64. [Google Scholar]
- Van den Berg, M.S.; Coops, H.; Meijer, M.-L.; Scheffer, M.; Simons, J. Clear water associated with a dense Charavegetation in the shallow and turbid lake Veluwemeer. The Netherlands. In The Structuring Role of Submerged Macrophytes in Lakes; Springer: New York, NY, USA, 1998; pp. 339–352. [Google Scholar]
- Srivastava, J.; Gupta, A.; Chandra, H. Managing water quality with aquatic macrophytes. Rev. Environ. Sci. Biotechnol. 2008, 7, 1–255. [Google Scholar] [CrossRef]
- Naiman, R.J.; Decamps, H. The Ecology and Management of Aquatic-Terestrial Ecotones; UNESCO/MAB(05)/M2/v.4: Paris, France, 1990; pp. 7–294. [Google Scholar]
- Matejczuk, W. Plankton poeksploatacyjnych zbiorników wodnych z rejonu Trzebiela (Plankton of pit lakes in the mining excavations in Trzebiel area), [in:] Radkiewicz J. (red.). Przyr. Środk. Nadod. 1989, 1, 93–118, (In Polish, English Summary). [Google Scholar]
- Fukrek, F. Fitosocjologia (Phytosocjology) Państwowe Wydawnictwa Rolnicze i Leśne; 1967; pp. 1–218. (In Polish) [Google Scholar]
- Golterman, H.L.; Clymo, R.S. Methods for Chemical Analysis of Freshwaters; Blackwell Scientific Publications: Oxford, UK; Edinburgh, UK, 1969; pp. 1–172. [Google Scholar]
- Lutyńska, S.; Labus, K. Identification of processes controlling chemical composition of pit lakes waters located in the eastern part of Muskau Arch (Polish-German borderland). Arch. Environ. Prot. 2015, 41, 60–69. [Google Scholar] [CrossRef]
- Friese, K.; Hupfer, M.; Schultze, M. Chemical Characteristics of Water and Sendiment in Acid Mining Lakes of the Lusatian Lignite District. In Acidic Pit Lakes, Acid Main Drainage, Limnology and Reclamation; Geller, W., Schultze, M., Kleinmann, B., Wolkersdorfer, C., Eds.; Springer: Berlin/Heidelberg, Germany, 1998; pp. 25–45. [Google Scholar]
- Pietsch, W. Colonization and Development of Vegetational in Mining Lakes of the Lusatian Lignite Area in Dependence on Water Genesis. In Acidic Pit Lakes, Acid Main Drainage, Limnology and Reclamation; Geller, W., Schultze, M., Kleinmann, B., Wolkersdorfer, C., Eds.; Springer: Berlin/Heidelberg, Germany, 1998; pp. 169–196. [Google Scholar]
- Jędrczak, A.; Jachimko, B.; Najbar, B. Zmiany fizyczno- chemicznych cech wód największego zbiornika meromiktycznego na pojezierzu antropogenicznym w okresie kilkunastu lat (Changes in the physico-chemical properties of water in the largest meromictic pit lakes in the anthropogenic Lakeland over a dozen years). Zesz. Nauk. Politech. Zielonogórskiej–Inżynieria Sr. 1998, 116, 5–17, (In Polish, English Summary). [Google Scholar]
- Schultze, M. Limnology of Pit Lakes. In Acidic Pit Lakes, The Legacy of Coal and Metal Surface Mines; Geller, W., Schultze, M., Kleinmann, B., Wolkersdorfer, C., Eds.; Springer: Berlin/Heidelberg, Germany, 1998; pp. 23–224. [Google Scholar]
- Schultze, M.; Geller, W. The acid lakes of the lignite mining district of the former German Democratic Republic. In Geochamical approaches to environmental engineering of metals; Reuther, R., Ed.; Environmental Science Series; Springer: Berlin/Heidelberg, Germany; New York, NY, USA, 1996; pp. 89–105. [Google Scholar]
- Wendt-Potthoff, K.; Frommichen, R.; Herzsprung, P.; Koschorreck, M. Microbial Fe(III) reduction in acidic mining lake sediments after addition of an organic substrate and lime. Water Air Soil Pollut. 2002, 1–16. [Google Scholar]
- Brugam, R.B.; Gastineau, J.; Ratcliff, E. The neutralization of acidic coal mine lakes by addition of natural organic matter: A mesocosm test. Hydrobiologia 1995, 316, 153–159. [Google Scholar] [CrossRef]
- Pukacz, A.; Pełechaty, M.; Pełechata, A.; Siepak, M.; Niedzielski, P. Phytocoenotic differentiation of Lubuskie Lakeland lakes as related to the habitat properties. Limnol. Rev. 2005, 5, 223–229. [Google Scholar]
- Fyson, A. Angiosperms in acidic waters at pH 3 and below. Hydrobiologia 2000, 433, 129–135. [Google Scholar] [CrossRef]
- Whitton, B.A.; Diaz, B.M. Influence of environmental factors on photosynthetic species composition in highly acidic waters. Verh. Int. Ver. Limnol. 1981, 21, 1459–1465. [Google Scholar] [CrossRef]
- Sand-Jensen, K.; Rasmussen, L. Macrophytes and chemistry of acidic streams from lignite mining areas. Bot. Tidskr. 1978, 72, 105–112. [Google Scholar]
- Forsberg, C.; Ryding, S.-O. Eutrophication parameters and trophic state indices in 30 Swedish waste-receiving lakes. Arch. Hydrobiol. 1980, 89, 189–207. [Google Scholar]
- Vollenweider, R.A.; Kerekes, J. Eutrophication of Waters. Monitoring, Assessment and Control; OECD: Paris, France, 1982; pp. 1–156. [Google Scholar]
- Duis, K. Toxicity of Acidic Post-Mining Lake Water to Early Life Stages of Tench, TincaTinca (Cyprinidae). Water Air Soil Pollut. 2001, 132, 373–388. [Google Scholar] [CrossRef]
- Larcher, W. Physiological Plant Ecology. In Ecophysiology and Stress Physiology of Functional Groups; Springer: New York, NY, USA, 2003; pp. 1–450. [Google Scholar]





| Parameter | Unit | Group A1 (n = 9) | Group A2 (n = 13) | Group B1 (n = 3) | Group B2 (n = 5) | K-W Test |
|---|---|---|---|---|---|---|
| SD | m | 1.5 ± 0.6 a | 2.6 ± 2.0 a,b | 3.2 ± 0.9 a,b | 4.0 ± 1.3 b | p = 0.02 |
| pH | 7.1 ± 0.4 a | 5.7 ± 1.6 b | 2.8 ± 0.1 c | 3.3 ± 0.5 c | p < 0.01 | |
| EC | [µS/cm] | 139.1 ± 41.1 a | 321.5 ± 52.2 a | 1718.7 ± 682.0 b | 862.0 ± 214.4 c | p < 0.01 |
| Salinity | [ppm] | 63.7 ± 23.2 a | 154.4 ± 24.7 b | 1033.3 ± 173.0 c | 423.0 ± 108.1 d | p < 0.01 |
| Hardness | [°dH] | 2.9 ± 1.5 a | 6.8 ± 1.4 b | 28.1 ± 12.1 c | 14.1 ± 1.5 d | p < 0.01 |
| Color | [mg Pt/L] | 25.5 ± 32.7 a | 7.6 ± 7.2 b | 35.1 ± 17.1 a | 3.0 ± 0.0 b | p = 0.02 |
| Na+ | [mg L−1] | 3.09 ± 1.27 a | 7.05 ± 1.98 b | 8.27 ± 1.36 b | 7.39 ± 2.70 b | p < 0.01 |
| K+ | [mg L−1] | 4.33 ± 2.3 a | 6.01 ± 1.73 b | 9.83 ± 1.39 c | 7.62 ± 0.89 b,c | p < 0.01 |
| Ca2+ | [mg L−1] | 13.82 ± 8.79 a | 36.9 ± 8.46 b | 152.63 ± 68.69 c | 72.92 ± 9.64 d | p < 0.01 |
| Mg2+ | [mg L−1] | 3.1 ± 2.47 a | 7.1 ± 1.59 b | 29.0 ± 10.71 c | 16.88 ± 0.99 d | p < 0.01 |
| Cl− | [mg L−1] | 6.09 ± 1.45 a | 10.61 ± 5.11 b | 4.05 ± 0.67 a | 6.19 ± 1.37 a | p < 0.01 |
| Fe | [mg L−1] | 0.95 ± 2.23 a | 0.61 ± 0.5 a | 89.37 ± 55.68 b | 6.35 ± 7.65 a | p < 0.01 |
| Al3+ | [mg L−1] | 0.05 ± 0.04 a | 0.53 ± 1.12 a | 7.64 ± 7.79 b | 2.11 ± 3.25 a | p < 0.01 |
| Mn2+ | [mg L−1] | 0.12 ± 0.15 a | 0.4 ± 0.24 b | 2.78 ± 0.29 c | 1.23 ± 0.38 d | p < 0.01 |
| TC | [mg L−1] | 19.47 ± 8.44 a | 13.96 ± 11.99 a,b | 1.84 ± 0.94 b,c | 1.42 ± 0.70 c | p < 0.01 |
| TN | [mg L−1] | 1.2 ± 0.51 a | 0.83 ± 0.71 a,b | 1.79 ± 0.08 a,c | 0.57 ± 0.34 a,b | p = 0.03 |
| TP | [mg L−1] | 0.08 ± 0.06 a | 0.05 ± 0.05 a,b | 0.01 ± 0.01 b | 0.02 ± 0.03 b | p = 0.02 |
| TS | [mg L−1] | 4.74 ± 2.12 a | 30.71 ± 12.13 b | 317.33 ± 36.12 c | 110.74 ± 20.84 d | p < 0.01 |
| Fe3+ | [mg L−1] | 0.13 ± 0.15 a | 0.19 ± 0.27 a | 86.97 ± 75.15 b | 0.18 ± 0.17 a,b | p = 0.15 |
| IC | [mg L−1] | 9.34 ± 7.88 a | 1.72 ± 2.54 b | 0.53 ± 0.30 a,b | 0.78 ± 0.69 a,b | p = 0.09 |
| TOC | [mg L−1] | 10.13 ± 4.43 a | 12.24 ± 12.30 a,c | 1.31 ± 0.64 b,c | 0.64 ± 0.51 b | p < 0.01 |
| Norg. | [mg L−1] | 1.07 ± 0.54 a | 0.66 ± 0.74 a,b | 0.12 ± 0.14 b | 0.13 ± 0.08 b | p = 0.02 |
| NO2− | [mg L−1] | 0.03 ± 0.06 a | 0.00 ± 0.01 b | 0.00 ± 0.00 a,b | 0.00 ± 0.00 a,b | p = 0.02 |
| NO3− | [mg L−1] | 0.02 ± 0.03 a | 0.02 ± 0.04 a | 0.08 ± 0.07 a | 0.01 ± 0.01 a | p = 0.23 |
| NH4+ | [mg L−1] | 0.08 ± 0.10 a | 0.15 ± 0.16 a | 1.59 ± 0.14 b | 0.43 ± 0.34 c | p < 0.01 |
| SO42− | [mg L−1] | 12.09 ± 5.59 a | 99.17 ± 54.81 b | 940.27 ± 133.65 c | 444.02 ± 162.26 d | p < 0.01 |
| Variables | Number of Communities | Number of Species | Max Depth of Vegetation |
|---|---|---|---|
| Max depth | −0.32 | −0.57 * | 0.11 |
| Area | 0.37 * | −0.04 | 0.25 |
| Age | 0.41 * | 0.73 * | −0.03 |
| SD | −0.31 | −0.63 * | 0.15 |
| pH | 0.37 * | 0.82 * | 0.23 |
| EC | −0.15 | −0.60 * | −0.23 |
| Salinity | −0.15 | −0.60 * | −0.24 |
| O2 | −0.02 | 0.05 | 0.19 |
| Color | −0.08 | 0.18 | −0.35 |
| Na+ | 0.23 | −0.18 | −0.09 |
| K+ | −0.15 | −0.37 * | −0.49 * |
| Ca2+ | −0.11 | −0.47 * | −0.33 |
| Mg2+ | −0.17 | −0.43 * | −0.41 * |
| Cl− | 0.68 * | 0.63 * | 0.29 |
| Fe | −0.27 | −0.50 * | −0.56 * |
| Fe3+ | −0.19 | −0.31 | −0.09 |
| Al3+ | −0.33 | −0.81 * | −0.11 |
| Mn2+ | −0.31 | −0.72 * | −0.34 |
| TC | 0.29 | 0.58 * | −0.09 |
| IC | 0.22 | 0.51 * | 0.10 |
| TOC | 0.31 | 0.45 * | −0.09 |
| TN | −0.19 | 0.09 | −0.58 * |
| Norg. | 0.25 | 0.58 * | −0.24 |
| NO2− | 0.14 | 0.50 * | 0.12 |
| NO3− | −0.11 | −0.10 | −0.17 |
| NH4+ | −0.47 | −0.70 * | −0.30 |
| TP | 0.22 | 0.45 * | −0.20 |
| TS | −0.22 | −0.60 * | −0.23 |
| SO4 | −0.16 | −0.53 * | −0.21 |
| Hardness | −0.10 | −0.43 * | −0.34 |
| Chlorophyll a | 0.31 | 0.59 * | 0.05 |
Publisher’s Note: MDPI stays neutral with regard to jurisdictional claims in published maps and institutional affiliations. |
© 2021 by the authors. Licensee MDPI, Basel, Switzerland. This article is an open access article distributed under the terms and conditions of the Creative Commons Attribution (CC BY) license (https://creativecommons.org/licenses/by/4.0/).
Share and Cite
Oszkinis-Golon, M.; Frankowski, M.; Pukacz, A. Macrophyte Diversity as a Response to Extreme Conditions in the Post-Mining Lakes of the Muskau Arch (West Poland). Water 2021, 13, 2909. https://doi.org/10.3390/w13202909
Oszkinis-Golon M, Frankowski M, Pukacz A. Macrophyte Diversity as a Response to Extreme Conditions in the Post-Mining Lakes of the Muskau Arch (West Poland). Water. 2021; 13(20):2909. https://doi.org/10.3390/w13202909
Chicago/Turabian StyleOszkinis-Golon, Małgorzata, Marcin Frankowski, and Andrzej Pukacz. 2021. "Macrophyte Diversity as a Response to Extreme Conditions in the Post-Mining Lakes of the Muskau Arch (West Poland)" Water 13, no. 20: 2909. https://doi.org/10.3390/w13202909
APA StyleOszkinis-Golon, M., Frankowski, M., & Pukacz, A. (2021). Macrophyte Diversity as a Response to Extreme Conditions in the Post-Mining Lakes of the Muskau Arch (West Poland). Water, 13(20), 2909. https://doi.org/10.3390/w13202909

