Retrieving Surface Soil Moisture over Wheat-Covered Areas Using Data from Sentinel-1 and Sentinel-2
Abstract
:1. Introduction
2. Study Area and Dataset
2.1. Study Area
2.2. Remote Sensing Data
2.2.1. Sentinel-1 Data
2.2.2. Sentinel-2 Data
2.3. In Situ Measurements
2.3.1. SSM Measurements
2.3.2. Vegetation Parameters
3. Methods
3.1. Modified WCM
3.2. Building the VWC Model
3.3. SVR Estimation of SSM
4. Results and Discussion
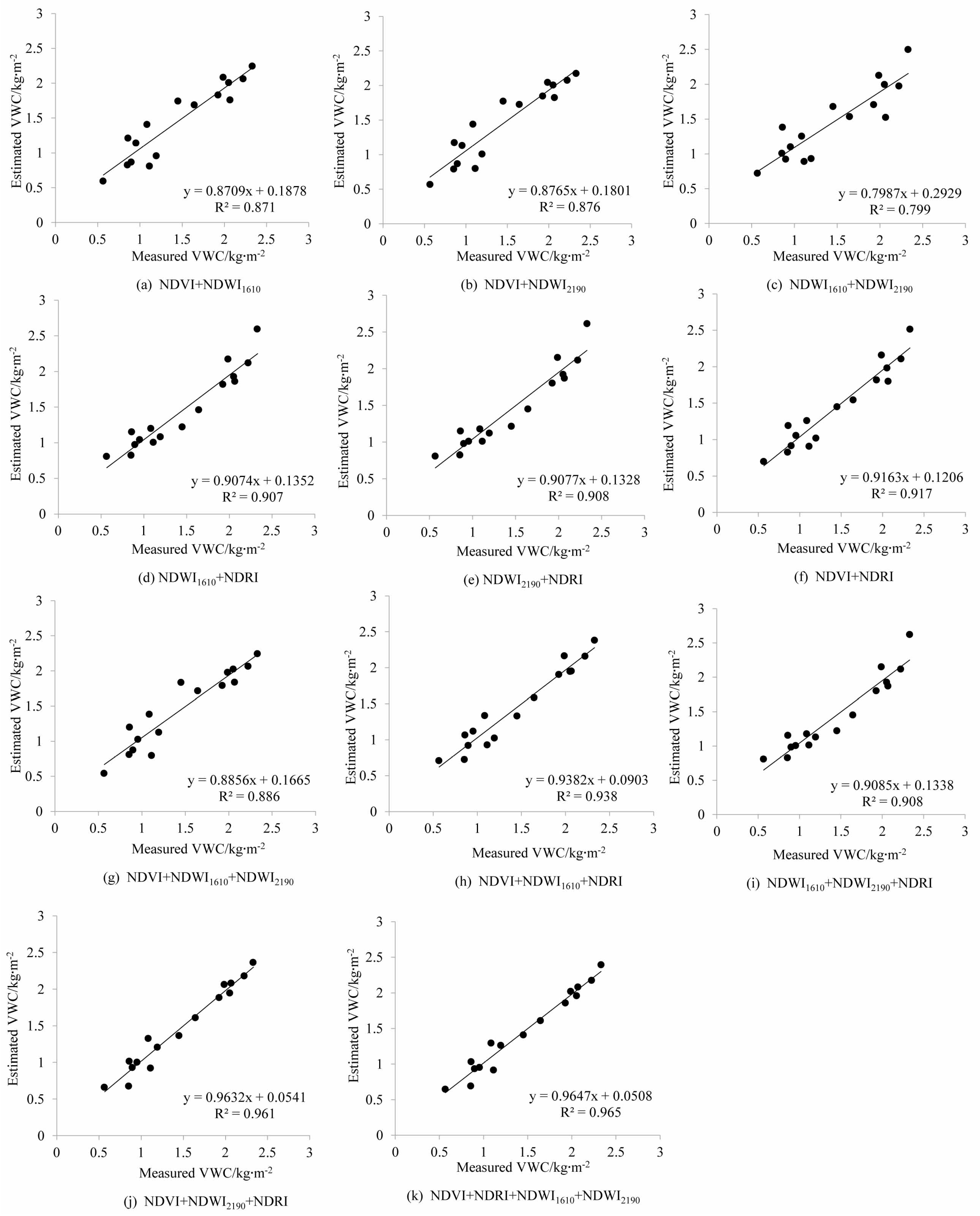
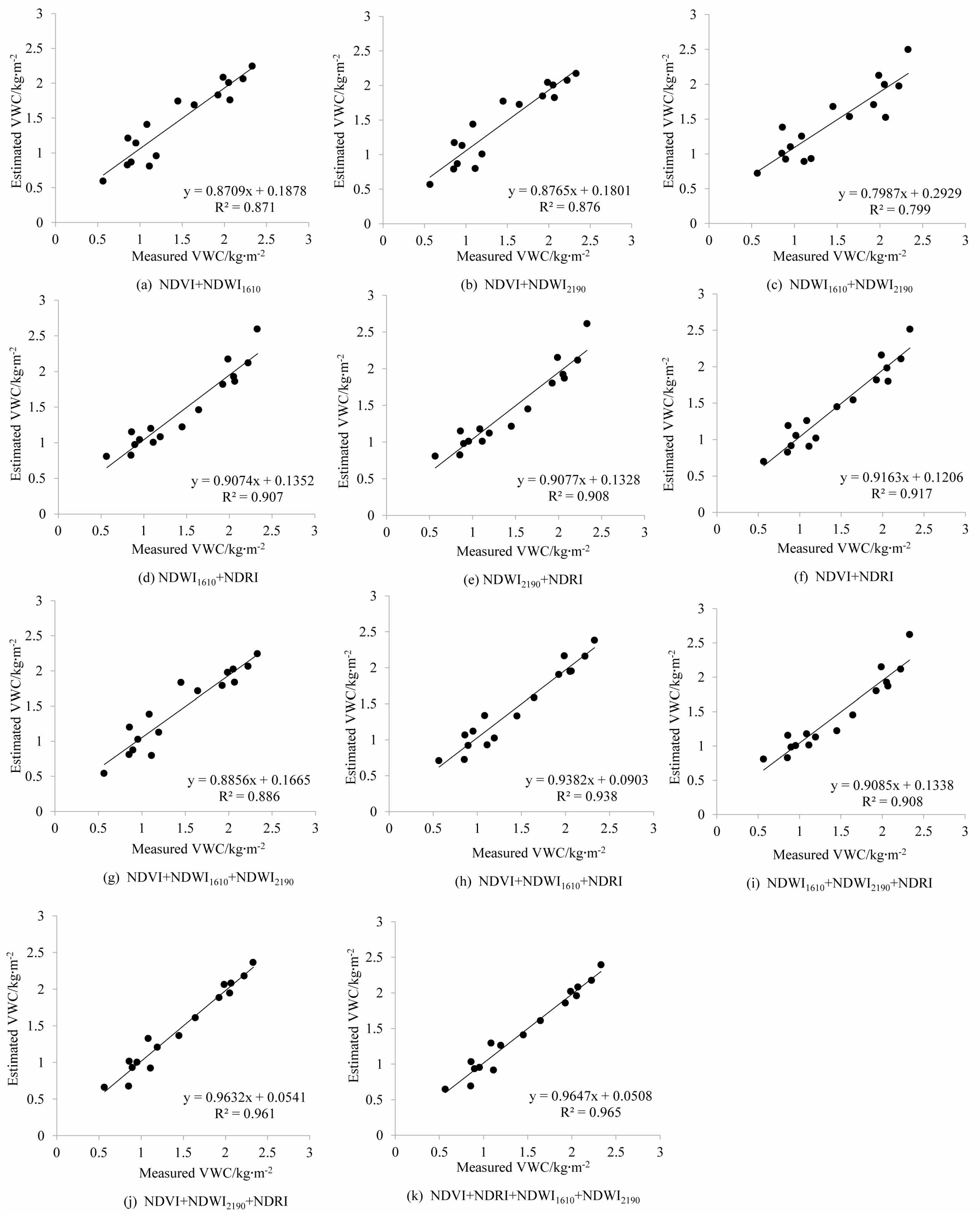
4.1. Estimating VWC from Sentinel-2 Data
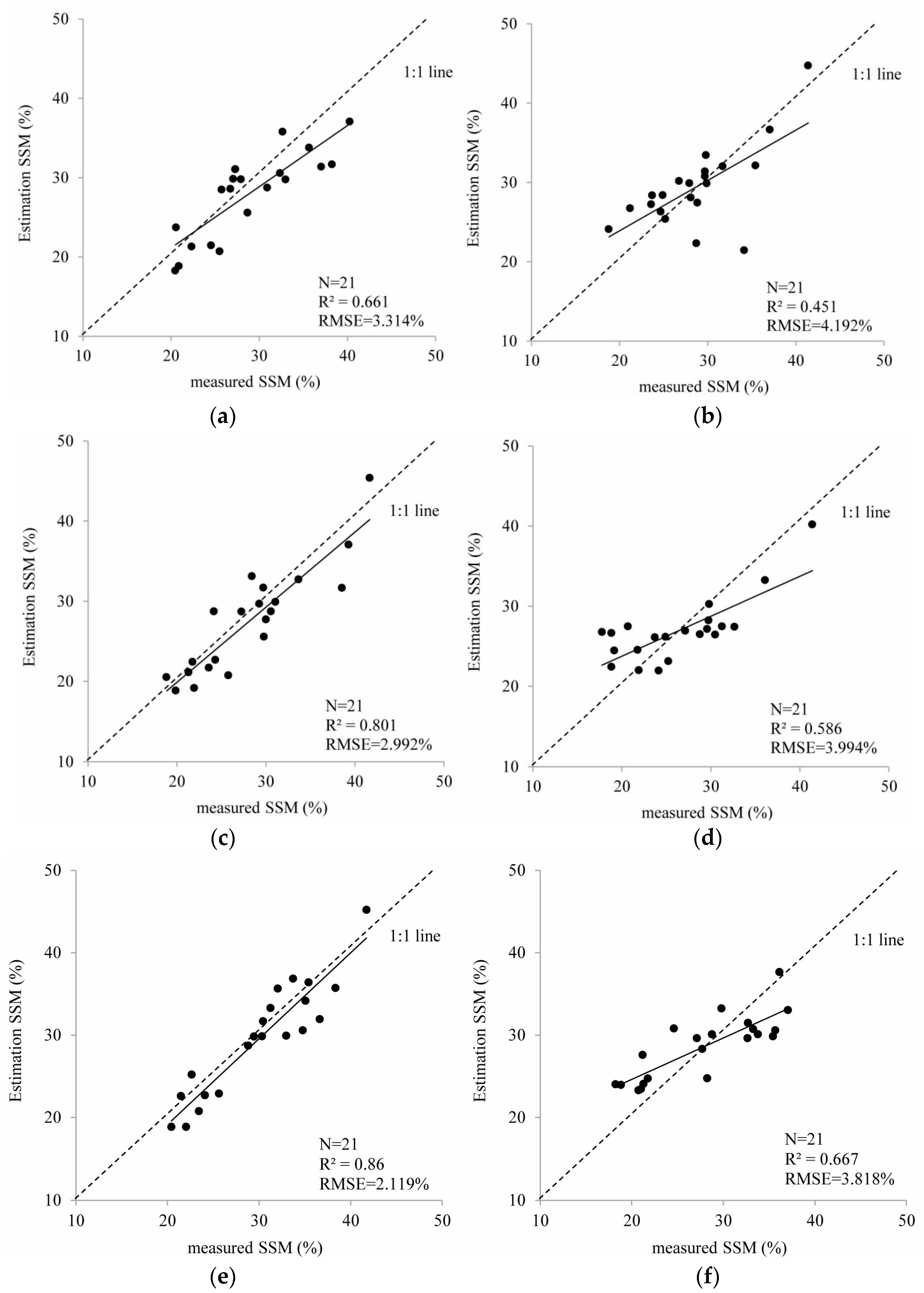
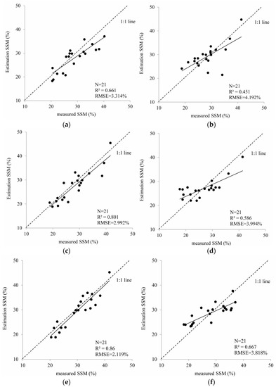
4.2. SSM Retrieval Results Using the Modified WCM
4.3. Discussion
5. Conclusions
Author Contributions
Funding
Institutional Review Board Statement
Informed Consent Statement
Data Availability Statement
Acknowledgments
Conflicts of Interest
References
- Miralles, D.G.; Teuling, A.J.; Heerwaarden, C.; De Arellano, J.V. Mega-heatwave temperatures due to combined soil desiccation and atmospheric heat accumulation. Nat. Geosci. 2014, 7, 345–349. [Google Scholar] [CrossRef]
- Vereecken, H.; Huisman, J.A.; Franssen, H.H.; Brüggemann, N.; Bogena, H.R.; Kollet, S. Soil hydrology: Recent methodological advances, challenges, and perspectives. Water Resour. Res. 2015, 51, 2616–2633. [Google Scholar] [CrossRef]
- Cho, E.; Choi, M. Regional scale spatio-temporal variability of soil moisture and its relationship with meteorological factors over the Korean peninsula. J. Hydrol. 2014, 516, 317–329. [Google Scholar] [CrossRef]
- Brocca, L.; Tullo, T.; Melone, F.; Moramarco, T.; Morbidelli, R. Catchment scale soil moisture spatial–temporal variability. J. Hydrol. 2012, 422, 63–75. [Google Scholar] [CrossRef]
- Jiang, J.; Hu, D.; Li, Y.; Tang, X.; Li, J. Research of soil moisture retrieval model of wheat covered surface based on mimics model. J. Triticeae Crop 2015, 35, 707–713. [Google Scholar]
- Dong, J.Z.; Wade, C.; Kenneth, J.T.; Michael, H.C. Comparison of microwave remote sensing and land surface modeling for surface soil moisture climatology estimation. Remote Sens. Environ. 2020, 242, 111756. [Google Scholar] [CrossRef]
- Baghdadi, N.; El, H.M.; Zribi, M.; Bousbih, S. Calibration of the water cloud model at C-band for winter crop fields and grasslands. Remote Sens. 2018, 9, 969. [Google Scholar] [CrossRef] [Green Version]
- Bai, X.; Zhang, L.; He, C.; Zhu, Y. Estimating regional soil moisture distribution based on NDVI and land surface temperature time series data in the upstream of the heihe river watershed, northwest china. Remote Sens. 2020, 12, 2508. [Google Scholar] [CrossRef]
- Soliman, A.; Heck, R.J.; Brenning, A.; Brown, R.; Miller, S. Remote sensing of soil moisture in vineyards using airborne and ground-based thermal inertia data. Remote Sens. 2013, 5, 3729–3748. [Google Scholar] [CrossRef] [Green Version]
- Wang, J.; Ding, J.L.; Chen, W.Q.; Yang, A.X. Microwave modeling of soil moisture in oasis regional scale based on sentinel-1 radar images. J. Infrared Millimeter Waves 2017, 36, 120–126. [Google Scholar]
- Peischl, S.; Walker, J.P.; Ye, N.; Ryu, D.; Kerr, Y. Sensitivity of multi-parameter soil moisture retrievals to incidence angle configuration. Remote Sens. Environ. 2014, 143, 64–72. [Google Scholar] [CrossRef]
- Pan, M.; Sahoo, A.K.; Wood, E.F. Improving soil moisture retrievals from a physically-based radiative transfer model. Remote Sens. Environ. 2014, 140, 130–140. [Google Scholar] [CrossRef]
- Zhu, L.; Walker, J.P.; Shen, X. Stochastic ensemble methods for multi-SAR-mission soil moisture retrieval. Remote Sens. Environ. 2020, 251, 112099. [Google Scholar] [CrossRef]
- Aubert, M.; Baghdadi, N.N.; Zribi, M.; Ose, K. Toward an operational bare soil moisture mapping using terrasar-x data acquired over agricultural areas. IEEE J. Sel. Top. Appl. Earth Obs. Remote Sens. 2013, 6, 900–916. [Google Scholar] [CrossRef]
- He, B.; Xing, M.; Bai, X. A synergistic methodology for soil moisture estimation in an alpine prairie using radar and optical satellite data. Remote Sens. 2014, 6, 10966–10985. [Google Scholar] [CrossRef] [Green Version]
- Zhou, P.; Ding, J.L.; Wang, F.; Guljamal, U.; Lei, L.P. Retrieval methods of soil water content in vegetation covering areas based on multi-source. J. Remote Sens. 2010, 14, 959–973. [Google Scholar]
- Zeng, X.; Xing, Y.; Wei, S.; Zhang, Y.; Wang, C. Soil water content retrieval based on sentinel-1a and landsat 8 image for bei’an-heihe expressway. J. Eco-Agric. 2017, 25, 118–126. [Google Scholar]
- Temimi, M.; Leconte, R.; Chaouch, N.; Sukumal, P.; Khnbilvardi, R.; Brissette, F. A combination of remote sensing data and topographic attributes for the spatial and tempeoral monitoring of soil wetness. J. Hydrol. 2010, 388, 28–40. [Google Scholar] [CrossRef]
- Attarzadeh, R.; Amini, J.; Notarnicola, C.; Greifeneder, F. Synergetic use of Sentinel-1 and Sentinel-2 data for soil moisture mapping at plot scale. Remote Sens. 2018, 10, 1285. [Google Scholar] [CrossRef] [Green Version]
- Bousbih, S.; Zribi, M.; El Hajj, M.; Baghdadi, N.; Lilichabaane, Z.; Gao, Q.; Fanise, P. Soil moisture and irrigation mapping in a semi-arid region, based on the synergetic use of Sentinel-1 and Sentinel-2 data. Remote Sens. 2018, 10, 1953. [Google Scholar] [CrossRef] [Green Version]
- Wang, Q.; Li, J.; Jin, T.; Chang, X.; Li, D. Comparative analysis of Landsat-8, Sentinel-2, and GF-1 data for retrieving soil moisture over wheat farmlands. Remote Sens. 2020, 12, 2708–2714. [Google Scholar]
- Kim, H.O.; Yeom, J.M. Effect of red-edge and texture features for object-based paddy rice crop classification using rapideye multi-spectral satellite image data. Int. J. Remote Sens. 2014, 35, 7046–7068. [Google Scholar] [CrossRef]
- Fang, C.; Wang, L.; Hanqiu, X.U. A comparative study of different red edge indices for remote sensing detection of urban grassland health status. J. Geo-Inform. Sci. 2017, 19, 1382–1392. [Google Scholar]
- Pasolli, L.; Notarnicola, C.; Bruzzone, L. Estimating soil moisture with the support vector regression technique. IEEE Geosci. Remote Sens. Lett. 2011, 8, 1080–1084. [Google Scholar] [CrossRef]
- Lee, J.S. Speckle filtering of synthetic aperture radar images: A review. Remote Sens. Rev. 1994, 8, 313–340. [Google Scholar] [CrossRef]
- Attema, E.P.W.; Fawwaz, T. Vegetation modeled as a water cloud. Radio Sci. 1978, 13, 357–364. [Google Scholar] [CrossRef]
- Bao, Y.; Lin, L.; Wu, S.; Abdalla, K.; Petropoulos, G.P. Surface soil moisture retrievals over partially vegetated areas from the synergy of Sentinel-1 and Landsat 8 data using a modified water-cloud model. Int. J. Appl. Earth Obs. Geoinf. 2018, 72, 76–85. [Google Scholar] [CrossRef]
- Yadav, V.P.; Prasad, R.; Bala, R.; Vishwakarma, A.K. Estimation of soil moisture through water cloud model using sentinel -1A SAR data. In Proceedings of the IEEE International Geoscience and Remote Sensing Symposium, Yokohama, Japan, 28 July–2 August 2019. [Google Scholar]
- Yang, G.; Yue, J.; Li, C.; Feng, H.; Lan, Y. Estimation of soil moisture in farmland using improved water cloud model and radarsat-2 data. Trans. Chin. Soc. Agric. Eng. 2016, 32, 146–153. [Google Scholar]
- Bindlish, R.; Barros, A.P. Parameterization of vegetation backscatter in radar-based, soil moisture estimation. Remote Sens. Environ. 2001, 76, 130–137. [Google Scholar] [CrossRef]
- Gutman, G.; Ignatov, A. The derivation of the green vegetation fraction from NOAA/AVHRR data for use in numerical weather prediction models. Int. J. Remote Sens. 1998, 19, 1533–1543. [Google Scholar] [CrossRef]
- Lin, L.; Bao, Y.; Zuo, Q.; Fang, S. Soil moisture retrieval over vegetated areas based on sentinel-1 and fy-3c data. Remote Sens. Technol. Appl. 2018, 33, 750–758. [Google Scholar]
- Deering, D.W. Rangeland Reflectance Characteristics Measured by Aircraft and Spacecraft Sensors; Texas A&M University: College Station, TX, USA, 1978. [Google Scholar]
- Gao, B. NDWI-a normalized difference water index for remote sensing of vegetation liquid water from space. Remote Sens. Environ. 1996, 58, 257–266. [Google Scholar] [CrossRef]
- Pasolli, L.; Notarnicola, C.; Bertoldi, G.; Bruzzone, L.; Remelgado, R.; Greifeneder, F. Estimation of soil moisture in mountain areas using svr technique applied to multiscale active radar images at c-band. IEEE J. Sel. Top. Appl. Earth Obs. Remote Sens. 2017, 8, 262–283. [Google Scholar] [CrossRef]
- Bertoldi, G.; Chiesa, S.D.; Notarnicola, C.; Pasolli, L.; Niedrist, G.; Tappeiner, U. Estimation of soil moisture patterns in mountain grasslands by means of SAR radarsat2 images and hydrological modeling. J. Hydrol. 2014, 516, 245–257. [Google Scholar] [CrossRef]
- Wang, J.; Cai, L.; Zhao, X. Multiple-instance learning via an RBF kernel-based extreme learning machine. J. Intell. Syst. 2016, 26, 185–195. [Google Scholar] [CrossRef]
- Guo, J.; Liu, J.; Ning, J.; Han, W. Construction and validation of soil moisture retrieval model in farmland based on sentinel multi-source data. Trans. CSAE 2019, 35, 71–78. [Google Scholar]
- Oh, Y. Quantitative retrieval of soil moisture content and surface roughness from multipolarized radar observations of bare soil surfaces. IEEE Trans. Geosci. Remote Sens. 2004, 42, 596–601. [Google Scholar] [CrossRef]
- Zhao, J.H.; Zhang, B.; Li, N.; Guo, Z.W. Cooperative inversion of winter wheat covered surface soil moisture based on Sentinel-1/2 remote sensing data. J. Electron. Inform. Technol. 2021, 43, 692–699. [Google Scholar]
- Fung, A.K.; Li, Z. Backscattering from a randomly rough dielectric surface. IEEE Trans. Geosci. Remote Sens. 1992, 30, 356–369. [Google Scholar] [CrossRef]
- Wang, Y.; Kong, J.; Yang, L.; Li, J.F.; Zhang, W. Remote sensing inversion of soil moisture in vegetation-sparse arid areas based on SVR. J. Geo-inform. Sci. 2019, 21, 1275–1283. [Google Scholar]







| Phenology | Sentinel-1 | Sentinel-2 | In Situ |
|---|---|---|---|
| Jointing stage | 4-9-2019 | 4-3-2019 | 4-7-2019 |
| Heading stage | 5-3-2019 | 5-3-2019 | 5-3-2019 |
| Filling stage | 5-27-2019 | 5-23-2019 | 5-27-2019 |
| No. | The Multiple Regression Models | R2 | Note | |
|---|---|---|---|---|
| a | 0.871 | 0.201 | is NDVI, is NDWI1610, is NDWI2190, and is NDRI | |
| b | 0.876 | 0.197 | ||
| c | 0.799 | 0.251 | ||
| d | 0.907 | 0.171 | ||
| e | 0.908 | 0.17 | ||
| f | 0.917 | 0.162 | ||
| g | 0.886 | 0.189 | ||
| h | 0.938 | 0.14 | ||
| i | 0.908 | 0.17 | ||
| j | 0.961 | 0.11 | ||
| k | 0.965 | 0.105 |
| Reference Samples | VV | VH | ||
|---|---|---|---|---|
| R2 | RMSE (%) | R2 | RMSE (%) | |
| radar backscattering coefficient | 0.661 | 3.314 | 0.451 | 4.192 |
| soil backscattering coefficient by original WCM | 0.801 | 2.992 | 0.586 | 3.994 |
| soil backscattering coefficient by modified WCM | 0.86 | 2.119 | 0.667 | 3.629 |
Publisher’s Note: MDPI stays neutral with regard to jurisdictional claims in published maps and institutional affiliations. |
© 2021 by the authors. Licensee MDPI, Basel, Switzerland. This article is an open access article distributed under the terms and conditions of the Creative Commons Attribution (CC BY) license (https://creativecommons.org/licenses/by/4.0/).
Share and Cite
Li, Y.; Zhang, C.; Heng, W. Retrieving Surface Soil Moisture over Wheat-Covered Areas Using Data from Sentinel-1 and Sentinel-2. Water 2021, 13, 1981. https://doi.org/10.3390/w13141981
Li Y, Zhang C, Heng W. Retrieving Surface Soil Moisture over Wheat-Covered Areas Using Data from Sentinel-1 and Sentinel-2. Water. 2021; 13(14):1981. https://doi.org/10.3390/w13141981
Chicago/Turabian StyleLi, Yan, Chengcai Zhang, and Weidong Heng. 2021. "Retrieving Surface Soil Moisture over Wheat-Covered Areas Using Data from Sentinel-1 and Sentinel-2" Water 13, no. 14: 1981. https://doi.org/10.3390/w13141981
APA StyleLi, Y., Zhang, C., & Heng, W. (2021). Retrieving Surface Soil Moisture over Wheat-Covered Areas Using Data from Sentinel-1 and Sentinel-2. Water, 13(14), 1981. https://doi.org/10.3390/w13141981
