Using the Apriori Algorithm and Copula Function for the Bivariate Analysis of Flash Flood Risk
Abstract
1. Introduction
2. Study Area
3. Methods
3.1. Apriori Algorithm
3.2. Copula Function
4. Results and Discussion
4.1. Association Rules
4.1.1. Classification Using K-Means Cluster
4.1.2. Associate Rules Mining Using the Apriori Algorithm
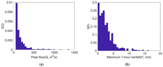
4.2. Probability Distribution Analysis
5. Conclusions
- (1)
- Using the Apriori algorithm, accumulated 3-h rainfall and accumulated 6-h rainfall were extracted as the most fitting rainfall indices, and these can be used for the risk analysis of flash floods.
- (2)
- The bivariate joint distributions of flooding properties were determined by using the Frank copula, and then the bivariate joint distribution functions of P–Q, PA–Q, PB–Q, and D–Q were conducted. The increasing flash flooding risk trend was illustrated with increases in rainfall indices and peak flow; however, the risk displayed the least significant relation with the duration of flash floods. These results are expected to be useful for risk analysis and decision making in flash flood assessment.
Author Contributions
Funding
Acknowledgments
Conflicts of Interest
References
- Saharia, M.; Kirstetter, P.E.; Vergara, H.; Gourley, J.J.; Hong, Y.; Giroud, M. Mapping Flash Flood Severity in the United States. J. Hydrometeorol. 2017, 18, 397–411. [Google Scholar] [CrossRef]
- Youssef, A.M.; Sefry, S.A.; Pradhan, B.; Alfadail, E.A. Analysis on causes of flash flood in Jeddah city (Kingdom of Saudi Arabia) of 2009 and 2011 using multi-sensor remote sensing data and GIS. Geomat. Nat. Hazards Risk 2015, 7, 1018–1042. [Google Scholar] [CrossRef]
- Sangati, M.; Borga, M.; Rabuffetti, D.; Bechini, R. Influence of rainfall and soil properties spatial aggregation on extreme flash flood response modelling: An evaluation based on the Sesia river basin, North Western Italy. Adv. Water Resour. 2009, 32, 1090–1106. [Google Scholar] [CrossRef]
- IPCC. Managing the Risks of Extreme Events and Disasters to Advance Climate Change Adaptation; Cambridge University Press: Cambridge, UK; New York, NY, USA, 2012. [Google Scholar]
- Groisman, P.Y.; Knight, R.W.; Karl, T.R.; Easterling, D.R.; Sun, B.; Lawrimore, J.H. Contemporary changes of the hydrological cycle over the contiguous United States: Trends derived from in situ observations. J. Hydrometeorol. 2004, 5, 64–85. [Google Scholar] [CrossRef]
- Zhong, M.; Jiang, T.; Li, K.; Lu, Q.; Wang, J.; Zhu, J. Multiple environmental factors analysis of flash flood risk in Upper Hanjiang River, southern China. Environ. Sci. Pollut. Res. 2019, 1–11. [Google Scholar] [CrossRef]
- Ballesteros-Cánovas, J.A.; Czajka, B.; Janecka, K.; Lempa, M.; Kaczka, R.J.; Stoffel, M. Flash floods in the Tatra Mountain streams: Frequency and triggers. Sci. Total Environ. 2015, 511, 639–648. [Google Scholar] [CrossRef] [PubMed]
- Billi, P.; Alemu, Y.T.; Ciampalini, R. Increased frequency of flash floods in Dire Dawa, Ethiopia: Change in rainfall intensity or human impact? Nat. Hazards 2015, 76, 1373–1394. [Google Scholar] [CrossRef]
- Guhathakurta, P.; Sreejith, O.P.; Menon, P.A. Impact of climate change on extreme rainfall events and flood risk in India. J. Earth Syst. Sci. 2011, 120, 359–373. [Google Scholar] [CrossRef]
- Mandal, S.P.; Chakrabarty, A. Flash flood risk assessment for upper Teesta river basin: Using the hydrological modeling system (HEC-HMS) software. Modeling Earth Syst. Environ. 2016, 2, 1–10. [Google Scholar] [CrossRef]
- Nguyen, P.; Thorstensen, A.; Sorooshian, S.; Hsu, K.; AghaKouchak, A.; Sanders, B.; Koren, V.; Cui, Z.; Smith, M. A high resolution coupled hydrologic–hydraulic model (HiResFlood-UCI) for flash flood modeling. J. Hydrol. 2016, 541, 401–420. [Google Scholar] [CrossRef]
- Wu, H.; Adler, R.; Tian, Y.; Gu, G.; Huffman, G. Evaluation of Quantitative Precipitation Estimations through Hydrological Modeling in IFloodS River Basins. J. Hydrometeorol. 2017, 18, 529–553. [Google Scholar] [CrossRef]
- Li, W.; Lin, K.; Zhao, T.; Lan, T.; Chen, X.; Du, H.; Chen, H. Risk assessment and sensitivity analysis of flash floods in ungauged basins using coupled hydrologic and hydrodynamic models. J. Hydrol. 2019, 572, 108–120. [Google Scholar] [CrossRef]
- Shehata, M.; Mizunaga, H. Flash flood risk assessment for Kyushu Island, Japan. Environ. Earth Sci. 2018, 77, 1–20. [Google Scholar] [CrossRef]
- Zhong, M.; Wang, J.; Gao, L.; Lin, K.R.; Hong, Y. Fuzzy risk assessment of flash floods using a cloud-based information diffusion approach. Water Resour. Manag. 2019, 33, 2537–2553. [Google Scholar] [CrossRef]
- Lin, K.; Chen, H.; Xu, C.; Yan, P.; Lan, T.; Liu, Z.; Dong, C. Assessment of flash flood risk based on improved analytic hierarchy process method and integrated maximum likelihood clustering algorithm. J. Hydrol. 2020, 584, 124696. [Google Scholar] [CrossRef]
- Salvadori, G.; Durante, F.; De Michele, C.; Bernardi, M. Hazard Assessment under Multivariate Distributional Change-Points: Guidelines and a Flood Case Study. Water 2018, 10, 751. [Google Scholar] [CrossRef]
- Gu, H.; Yu, Z.; Li, G.; Ju, Q. Nonstationary Multivariate Hydrological Frequency Analysis in the Upper Zhanghe River Basin, China. Water 2018, 10, 772. [Google Scholar] [CrossRef]
- Wang, Z.; Lai, C.; Chen, X.; Yang, B.; Zhao, S.; Bai, X. Flood hazard risk assessment model based on random forest. J. Hydrol. 2015, 527, 1130–1141. [Google Scholar] [CrossRef]
- Alfonso, L.; Mukolwe, M.M.; Di Baldassarre, G. Probabilistic flood maps to support decision-making: Mapping the value of information. Water Resour. Res. 2016, 52, 1026–1043. [Google Scholar] [CrossRef]
- Brandon, P.; David, D. Defining the hundred year flood: A Bayesian approach for using historic data to reduce uncertainty in flood frequency estimates. J. Hydrol. 2016, 540, 1189–1208. [Google Scholar]
- Guerriero, L.; Ruzza, G.; Guadagno, F.M.; Revellino, P. Flood hazard mapping incorporating multiple probability models. J. Hydrol. 2020, 587, 125020. [Google Scholar] [CrossRef]
- Song, S.; Singh, V.P. Frequency analysis of droughts using the Plackett copula and parameter estimation by genetic algorithm. Stoch. Environ. Res. Risk Assess. 2010, 24, 783–805. [Google Scholar] [CrossRef]
- Chen, Y.D.; Zhang, Q.; Xiao, M.; Singh, V.P. Evaluation of risk of hydrological droughts by the trivariate Plackett copula in the East River basin (China). Nat. Hazards 2013, 68, 529–547. [Google Scholar] [CrossRef]
- Tu, X.; Du, Y.; Singh, V.P.; Chen, X.; Zhao, Y.; Ma, M.; Wu, H. Bivariate Design of Hydrological Droughts and Their Alterations under a Changing Environment. J. Hydrol. Eng. 2019, 24, 04019015. [Google Scholar] [CrossRef]
- Vo, Q.; So, J.; Bae, D. An Integrated Framework for Extreme Drought Assessments Using the Natural Drought Index, Copula and Gi * Statistic. Water Resour. Manag. 2020, 34, 1353–1368. [Google Scholar] [CrossRef]
- Kao, S.C.; Govindaraju, R.S. Trivariate statistical analysis of extreme rainfall events via the Plackett family of copulas. Water Resour. Res. 2008, 44, 333–341. [Google Scholar] [CrossRef]
- Zhang, Q.; Li, J.; Singh, V.P.; Xu, C. Copula-based spatiotemporal patterns of precipitation extremes in China. Int. J. Climatol. 2013, 33, 1140–1152. [Google Scholar] [CrossRef]
- Jeong, D.I.; Sushama, L.; Khaliq, M.N.; Roy, R. A copula-based multivariate analysis of Canadian RCM projected changes to flood characteristics for Northeastern Canada. Clim. Dyn. 2014, 42, 2045–2066. [Google Scholar] [CrossRef]
- Abdollahi, S.; Akhoond-Ali, A.; Mirabbasi, R.; Adamowski, J.F. Probabilistic Event Based Rainfall-Runoff Modeling Using Copula Functions. Water Resour. Manag. 2019, 33, 3799–3814. [Google Scholar] [CrossRef]
- Xu, K.; Ma, C.; Lian, J.; Bin, L. Joint probability analysis of extreme precipitation and storm tide in a coastal city under changing environment. PLoS ONE 2014, 9, e109341. [Google Scholar] [CrossRef]
- Tu, X.; Du, X.; Singh, V.P.; Chen, X.; Du, Y.; Li, K. Joint Risk of Interbasin Water Transfer and Impact of the Window size of Sampling low flows under Environmental Change. J. Hydrol. 2017, 554, 1–11. [Google Scholar] [CrossRef]
- Rahardjo, H.; Li, X.; Toll, D.G.; Leong, E.C. The effect of antecedent rainfall on slope stability. Geotech. Geol. Eng. 2001, 19, 371–399. [Google Scholar] [CrossRef]
- Michele, D.C.; Salvadori, G. On the derived flood frequency distribution: Analytical formulation and the influence of antecedent soil moisture condition. J. Hydrol. 2002, 262, 245–258. [Google Scholar] [CrossRef]
- Javelle, P.; Fouchier, C.; Arnaud, P.; Lavabre, J. Flash flood warning at ungauged locations using radar rainfall and antecedent soil moisture estimations. J. Hydrol. 2010, 394, 267–274. [Google Scholar] [CrossRef]
- Grillakis, M.G.; Koutroulis, A.G.; Komma, J.; Tsanis, I.K.; Wagner, W.; Blöschl, G. Initial soil moisture effects on flash flood generation—A comparison between basins of contrasting hydro-climatic conditions. J. Hydrol. 2016, 541, 206–217. [Google Scholar] [CrossRef]
- Tramblay, Y.; Bouvier, C.; Martin, C.; Didon-Lescot, J.F.; Todorovik, D.; Domergue, J.M. Assessment of initial soil moisture conditions for event-based rainfall–runoff modelling. J. Hydrol. 2010, 387, 176–187. [Google Scholar] [CrossRef]
- Zhai, X.; Guo, L.; Liu, R.; Zhang, Y. Rainfall threshold determination for flash flood warning in mountainous catchments with consideration of antecedent soil moisture and rainfall pattern. Nat. Hazards 2018, 94, 605–625. [Google Scholar] [CrossRef]
- Abuzied, S.; Yuan, M.; Ibrahim, S.; Kaiser, M.; Saleem, T. Geospatial risk assessment of flash floods in Nuweiba area, Egypt. J. Arid Environ. 2016, 133, 54–72. [Google Scholar] [CrossRef]
- Raynaud, D.; Thielen, J.; Salamon, P.; Burek, P.; Anquetin, S.; Alfieri, L. A dynamic runoff co-efficient to improve flash flood early warning in Europe. Meteorol. Appl. 2015, 22, 410–418. [Google Scholar] [CrossRef]
- Modrick, T.; Georgakakos, K. The character and causes of flash flood occurrence changes in mountainous small basins of Southern California under projected climatic change. J. Hydrol. Reg. Stud. 2015, 3, 312–336. [Google Scholar] [CrossRef][Green Version]
- Yamamoto, H.; Iwaya, K. Characteristics of Heavy Rainfall and Flood Damage in Aichi Prefecture from September 11th to 12th 2000. J. Nat. Disaster Sci. 2002, 24, 15–24. [Google Scholar]
- Aronica, G.; Cannarozzo, M.; Noto, L. Investigating the changes in extreme rainfall series recorded in an urbanised area. Water Sci. Technol. 2002, 45, 49–54. [Google Scholar] [CrossRef] [PubMed]
- Gastélum, J.R.; Cullom, C. Application of the Colorado River Simulation System Model to Evaluate Water Shortage Conditions in the Central Arizona Project. Water Resour. Manag. 2013, 27, 2369–2389. [Google Scholar] [CrossRef]
- Agthe, D.E.; Billings, R.B.; Ince, S. Integrating Market Solutions into Government Flood Control Policies. Water Resour. Manag. 2000, 14, 247–256. [Google Scholar] [CrossRef]
- Archer, D.R.; Fowler, H.J. Characterising flash flood response to intense rainfall and impacts using historical information and gauged data in Britain. J. Flood Risk Manag. 2018, 11, S121–S133. [Google Scholar] [CrossRef]
- Agrawal, R.; Imielinski, T.; Swami, A. Mining Association Rules Between Sets of Items in Large Databases. In Proceedings of the ACM SIGMOD Conference on Management of Data, Washington, DC, USA, 26–28 May 1993; pp. 207–216. [Google Scholar]
- Aggarwal, C.C.; Yu, P.S. Mining large itemsets for association rules. IEEE Data Eng. Bull. 1998, 21, 23–31. [Google Scholar]
- Zhong, M.; Jiang, T.; Hong, Y.; Yang, X. Performance of multi-level association rule mining for the relationship between causal factor patterns and flash flood magnitudes in a humid area. Geomat. Nat. Hazards Risk 2019, 10, 1967–1987. [Google Scholar] [CrossRef]
- Nguyen, T.; Dinh, D.T.; Sriboonchitta, S.; Huynh, V.N. A method for k-means-like clustering of categorical data. J. Ambient Intell. Hum. Comput. 2019, 20, 1–11. [Google Scholar] [CrossRef]
- Jain, A.K. Data clustering: 50 years beyond K-means. Pattern Recognit. Lett. 2010, 31, 651–666. [Google Scholar] [CrossRef]
- Harun, N.A.; Makhtar, M.; Abd Aziz, A.; Zakaria, Z.A.; Abdullah, F.S.; Jusoh, J.A. The application of apriori algorithm in predicting flood areas. Int. J. Adv. Sci. Eng. Inf. Technol. 2017, 7, 763–769. [Google Scholar] [CrossRef]
- Agrawal, R.; Srikant, R. Fast Algorithms for Mining Association Rules. In Proceedings of the 20th VLDB Conference, Santiago de Chile, Chile, 12–15 September 1994. [Google Scholar]
- Nelsen, R.B. An Introduction to Copulas; Springer: New York, NY, USA, 2006. [Google Scholar]
- Li, W.; Zhou, J.; Sun, H.; Feng, K.; Zhang, H.; Tayyab, M. Impact of Distribution Type in Bayes Probability Flood Forecasting. Water Resour. Manag. 2017, 31, 961–977. [Google Scholar] [CrossRef]
- Hu, H.; Niu, J. Compensative operating feasibility analysis of the west route of south-to-north water transfer project based on M-copula function. Water Resour. Manag. 2015, 29, 3919–3927. [Google Scholar] [CrossRef]









| Copulas | Cumulative Distribution Expressions |
|---|---|
| Gaussian copula | |
| t-copula | |
| Gumbel copula | |
| Clayton copula | |
| Frank copula |
| Rainfall Indicators | Classification | ||||
|---|---|---|---|---|---|
| 1 | 2 | 3 | 4 | ||
| Temporal indicators | YR | (1998, 2002) | (2003, 2007) | (2008, 2012) | (2013, 2017) |
| MH | (1, 3) | (4, 6) | (7, 9) | (10, 12) | |
| FT (Days) | (1, 2) | (3, 4) | (5, 6) | >6 | |
| D (Hours) | (0, 24) | (25, 72) | (73, 120) | >120 | |
| Magnitude indicators | P (mm) | (0, 1.5) | (1.5, 3.5) | (3.5, 7) | >7 |
| PA (mm) | (0, 2.5) | (2.5, 7.5) | (7.5, 16) | >16 | |
| PB (mm) | (0, 5) | (5, 13) | (13, 27) | >27 | |
| PC (mm) | (0, 8) | (8, 21) | (21, 42) | >42 | |
| PD (mm) | (0, 12) | (12, 30) | (30, 60) | >60 | |
| PE (mm) | (0, 16) | (16, 40) | (40, 80) | >80 | |
| Flood return period | Q (Year) | (0, 5) | (5, 20) | (20, 50) | >50 |
| Frequent Item Set (Single Indices) | Support (%) | Frequent Item Set (Multiple Indices) | Support (%) | Frequent Item Set (Multiple Indices) | Support (%) |
|---|---|---|---|---|---|
| PA1 | 66.0 | PA1, PB1 | 56.3 | PA1, FT1 | 52.9 |
| PB1 | 62.5 | PB1, PC1 | 49.3 | PB, FT1 | 50.2 |
| PC1 | 53.5 | PA1, PC1 | 46.6 | PA1, PB1, FT1 | 45.0 |
| PE1 | 52.7 | PA1, PB1, PC1 | 45.4 | PC1, FT1 | 42.8 |
| PD1 | 48.2 | PD1, PE1 | 45.0 | PE1, FT1 | 42.3 |
| P1 | 41.8 | PC1, PD1 | 42.9 | PA1, D1 | 41.8 |
| FT1 | 80.8 | PC1, PE1 | 42.6 | D1, FT1 | 53.8 |
| D1 | 66.7 | PB1, PE1 | 42.5 | YR1, FT1 | 47.3 |
| YR1 | 58.1 | PA1, PE1 | 41.5 | ||
| MH1 | 42.1 | PB1, PD1 | 41.4 | ||
| PA1, PD1 | 40.0 | ||||
| PC1, PD1, PE1 | 40.0 |
| Rule ID | Rule | Confidence (%) | Support (%) | Rule ID | Rule | Confidence (%) | Support (%) |
|---|---|---|---|---|---|---|---|
| 1 | PA1−>Q1 | 64.7 | 42.7 | 16 | FT1−>Q1 | 66.5 | 53.8 |
| 2 | PB1−>Q1 | 63.4 | 39.6 | 17 | D1−>Q1 | 66.3 | 44.2 |
| 3 | PC1−>Q1 | 59.6 | 31.9 | 18 | YR1−>Q1 | 67.8 | 39.4 |
| 4 | PE1−>Q1 | 57.2 | 30.2 | 19 | MH3−>Q1 | 78.2 | 30.5 |
| 5 | PD1−>Q1 | 56.2 | 27.1 | 20 | D1, FT1−>Q1 | 66.7 | 35.9 |
| 6 | P2−>Q1 | 68.5 | 24.8 | 21 | MH3, FT1−>Q1 | 78.8 | 26.8 |
| 7 | P1−>Q1 | 59.0 | 24.6 | 22 | YR1, D1−>Q1 | 68.2 | 26.2 |
| 8 | PA1, PB1−>Q1 | 63.3 | 35.6 | 23 | YR1, FT1−>Q1 | 68.2 | 32.2 |
| 9 | PB1, PC1−>Q1 | 60.4 | 29.8 | 24 | PA1, FT1−>Q1 | 65.1 | 34.4 |
| 10 | PA1, PC1−>Q1 | 60.4 | 28.1 | 25 | PB1, FT1−>Q1 | 63.9 | 32.1 |
| 11 | PA1, PB1, PC1−>Q1 | 60.6 | 27.5 | 26 | PA1, PB1, FT1−>Q1 | 63.6 | 28.6 |
| 12 | PD1, PE1−>Q1 | 56.1 | 25.2 | 27 | PA1, D1−>Q1 | 62.4 | 26.1 |
| 13 | PB1, PE1−>Q1 | 57.9 | 24.6 | 28 | PC1, FT1−>Q1 | 59.6 | 25.5 |
| 14 | PC1, PD1−>Q1 | 56.1 | 24.1 | 29 | YR1, PA1−>Q1 | 66.4 | 24.9 |
| 15 | PC1, PE1−>Q1 | 56.4 | 24.0 | 30 | PB1, D1−>Q1 | 61.3 | 24.3 |
| 31 | PE1, FT1−>Q1 | 57.3 | 24.3 |
| Various | Distribution | OLS | AIC |
|---|---|---|---|
| Q | Gamma * | 0.0859 | −3403.7079 |
| Weibull | 0.0873 | −3379.9767 | |
| P | Gamma * | 0.0168 | −5670.2897 |
| Weibull | 0.0195 | −5457.7115 |
| Copulas | Gaussian | t-Copula | Gumbel | Clayton | Frank | m-Copula |
|---|---|---|---|---|---|---|
| D2 | 0.0215 | 0.0220 | 0.0205 | 0.0431 | 0.0191 * | 0.0211 |
| OLS | 0.0056 | 0.0056 | 0.0054 | 0.0079 | 0.0052 * | 0.0055 |
| Parameters | Q | D | P | PA | PB |
|---|---|---|---|---|---|
| Ex | 167.7823 | 31.0648 | 2.6108 | 3.4423 | 6.6121 |
| Cv | 1.0172 | 0.7754 | 0.7402 | 1.0070 | 0.8961 |
| Cs | 2.6335 | 3.5025 | 1.6482 | 1.9617 | 2.5160 |
| Parameter | Q | D–Q | P–Q | PA–Q | PB–Q |
|---|---|---|---|---|---|
| θ | 0.4275 | 0.7239 | 0.4275 | 0.3751 | 0.4313 |
© 2020 by the authors. Licensee MDPI, Basel, Switzerland. This article is an open access article distributed under the terms and conditions of the Creative Commons Attribution (CC BY) license (http://creativecommons.org/licenses/by/4.0/).
Share and Cite
Zhong, M.; Wang, J.; Jiang, T.; Huang, Z.; Chen, X.; Hong, Y. Using the Apriori Algorithm and Copula Function for the Bivariate Analysis of Flash Flood Risk. Water 2020, 12, 2223. https://doi.org/10.3390/w12082223
Zhong M, Wang J, Jiang T, Huang Z, Chen X, Hong Y. Using the Apriori Algorithm and Copula Function for the Bivariate Analysis of Flash Flood Risk. Water. 2020; 12(8):2223. https://doi.org/10.3390/w12082223
Chicago/Turabian StyleZhong, Ming, Jiao Wang, Tao Jiang, Zhijun Huang, Xiaohong Chen, and Yang Hong. 2020. "Using the Apriori Algorithm and Copula Function for the Bivariate Analysis of Flash Flood Risk" Water 12, no. 8: 2223. https://doi.org/10.3390/w12082223
APA StyleZhong, M., Wang, J., Jiang, T., Huang, Z., Chen, X., & Hong, Y. (2020). Using the Apriori Algorithm and Copula Function for the Bivariate Analysis of Flash Flood Risk. Water, 12(8), 2223. https://doi.org/10.3390/w12082223

