Application of Fractional Flow Theory for Analytical Modeling of Surfactant Flooding, Polymer Flooding, and Surfactant/Polymer Flooding for Chemical Enhanced Oil Recovery
Abstract
1. Introduction
2. Analytical Methods
2.1. Assumptions
2.2. Derivation of Buckley–Leverett Equation
3. Results and Discussions
3.1. Water Flooding
3.1.1. General Approach
3.1.2. Influence of Oil Viscosity
3.2. Surfactant Flooding
3.2.1. Case I: No Adsorption, No Partition, Continuous Surfactant Injection, Tertiary Flooding
3.2.2. Influence of Surfactant Adsorption
3.2.3. Influence of Surfactant Partition
- Constant partition coefficient: ;
- Constant phase saturation: = ;
- One phase flow: = 0 and = 1;
- No adsorption.
3.2.4. Influence of Initial Oil Saturation
3.2.5. Influence of Injected Surfactant Slug Size
3.2.6. Influence of Interfacial Tension
3.3. Polymer Flooding
3.3.1. Case I: No Adsorption, Continuous Polymer Injection, Tertiary Flooding
3.3.2. Influence of Polymer Viscosity
3.3.3. Influence of Viscoelastic Effect on Residual Oil Saturation
3.3.4. Influence of Non-Newtonian Effect
3.3.5. Influence of Initial Oil Saturation
3.3.6. Influence of Polymer Retention
3.3.7. Influence of Polymer Slug Size
3.4. Alkaline Flooding
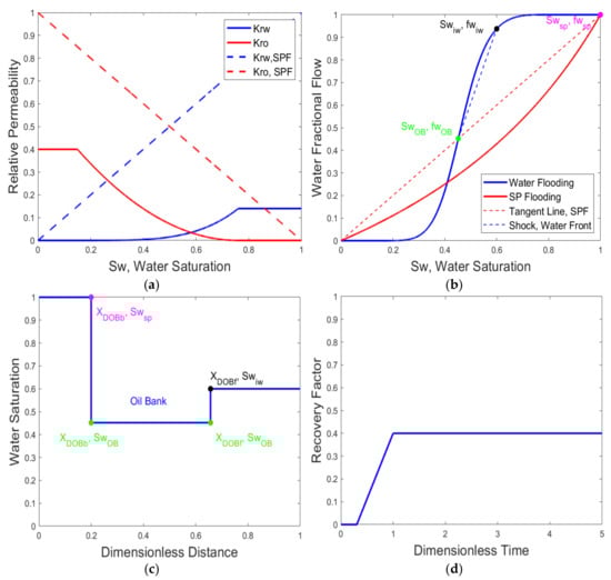
3.5. Surfactant/Polymer Flooding
3.5.1. General Approach
3.5.2. Influence of Surfactant/Polymer Retention
3.5.3. Piston-Like Displacement
4. Conclusions
- (1)
- For higher oil viscosity, water breakthroughs are earlier during water flooding. Furthermore, more water needs to be injected in order to reach the water-flooded residual oil saturation. If an infinite amount of water is injected, the remaining oil saturation will be close to the water-flooded residual oil saturation;
- (2)
- The surfactant (or polymer) adsorption and partition into oleic phase would result in severe retardation in its transport in porous media. Therefore, the promising surfactant formulation should have a small adsorption and small partition coefficient (into oil);
- (3)
- Mobility control, i.e., polymer viscosity, is of great significance in designing a successful chemical EOR process. The desired polymer viscosity needed to reach a stable displacement can be obtained by the fractional flow theory;
- (4)
- For chemical slug injection, if the adsorption effect (surfactant flooding) or viscous fingering effect (polymer flooding) is not considered, the slug size will have a negligible effect on the final oil recovery;
- (5)
- The piston-like displacement is quite efficient in terms of sweep efficiency, while the displacement efficiency under ultralow interfacial tension is highly effective. If sufficient mobility control and ultralow IFT are provided simultaneously, the displacement front will transport at a dimensionless velocity of unity.
Supplementary Materials
Author Contributions
Funding
Acknowledgments
Conflicts of Interest
Nomenclature
| A parameter in Equation (25) | |
| Adsorption of component i per unit mass of rock, mg/g rock | |
| B | A parameter in Equation (26) |
| Adsorption in units of amount of adsorbed per unit pore volume, mg/PV | |
| Concentration of component i in aqueous phase, g/L | |
| Surfactant concentration in oil phase, g/L | |
| Surfactant concentration in aqueous phase, g/L | |
| Dimensionless surfactant concentration | |
| Dimensionless injected surfactant slug size, PV | |
| Total dimensionless time, PV | |
| Deborah number | |
| General dimensionless retardation term, PV | |
| Oil recovery factor, dimensionless | |
| Corey exponent for relative permeability during chemical flooding | |
| Fractional flow of phase j, dimensionless | |
| Water fractional flow in the oil bank | |
| Water oil mobility ratio | |
| Capillary number, dimensionless | |
| Permeability of rock, mD | |
| Relative permeability of phase j, j = w or o | |
| End point relative permeability of phase j in two phase flow, j=w or o | |
| Relative permeability of phase j during chemical flooding | |
| End point relative permeability of phase j during chemical flooding | |
| Total distance, m | |
| Corey exponents for phase j | |
| Initial water saturation | |
| Initial oil saturation | |
| Normalized phase saturation during water flooding | |
| Normalized phase saturation during water flooding | |
| Residual saturation of phase j, j = w or o, dimensionless | |
| Normalized phase saturation during chemical flooding | |
| Residual saturation of phase j during chemical flooding | |
| Residual saturation during chemical flooding | |
| Water saturation in the oil bank | |
| t | Time, s |
| Dimensionless time | |
| Relaxation time, s | |
| Time scale for the process, s | |
| Superficial velocity of phase j, m/s | |
| Dynamic viscosity of phase j, cP | |
| Total superficial velocity of phases, m/s | |
| Total superficial velocity of phases at boundary condition, m/s | |
| x | Distance, m |
| Dimensionless distance | |
| Dimensionless distance of the back of oil bank | |
| Dimensionless distance of the front of oil bank | |
| Density of solid or porous media, g/cm3 | |
| Flow potential of phase j, dimensionless | |
| Accessible porosity of phase j, dimensionless | |
| Porosity, dimensionless | |
| Water oil interfacial tension, mN/m | |
| Subscripts | |
| i | Component i, i = surfactant (s) or polymer (p) |
| j | The j phase, oil (o) or water (w) |
| t | Total phases |
| D | Dimensionless |
| Shock | At the location of shock |
| ss | Surfactant shock |
| I.C. | Initial condition |
| B.T. | Dimensionless time of water breakthrough, PV |
| Superscripts | |
| 0 | End point relative permeability |
| BC | Boundary condition |
References
- Alvarado, V.; Manrique, E. Enhanced oil recovery: An update review. Energies 2010, 3, 1529–1575. [Google Scholar] [CrossRef]
- Hirasaki, G.; Miller, C.A.; Puerto, M. Recent Advances in Surfactant EOR. Soc. Pet. Eng. J. 2011, 16, 898–907. [Google Scholar] [CrossRef]
- Lake, L.W.; Johns, R.; Rossen, W.R.; Pope, G.A. Fundamentals of Enhanced oil Recovery; Society of Petroleum Engineers: Richardson, TX, USA, 2014. [Google Scholar]
- Stegemeier, G.L. Improved oil Recovery by Surfactant and Polymer Flooding; Shah, D.O., Ed.; Elsevier: New York, NY USA, 1977. [Google Scholar] [CrossRef]
- Sorbie, K.S. Polymer-Improved Oil Recovery; Springer Science & Business Media: Edinburgh, UK, 2013. [Google Scholar] [CrossRef]
- Chatzis, I.; Morrow, N.R. Correlation of capillary number relationships for sandstone. Soc. Pet. Eng. J. 1984, 24, 555–562. [Google Scholar] [CrossRef]
- Pennell, K.D.; Pope, G.A.; Abriola, L.M. Influence of viscous and buoyancy forces on the mobilization of residual tetrachloroethylene during surfactant flushing. Environ. Sci. Technol. 1996, 30, 1328–1335. [Google Scholar] [CrossRef]
- Morrow, N.R. Wettability and its effect on oil recovery. J. Pet. Technol. 1990, 42, 1–476. [Google Scholar] [CrossRef]
- Zhang, P.; Tweheyo, M.T.; Austad, T. Wettability alteration and improved oil recovery by spontaneous imbibition of seawater into chalk: Impact of the potential determining ions Ca2+, Mg2+, and SO42−. Colloids Surf. A Physicochem. Eng. Asp. 2007, 301, 199–208. [Google Scholar] [CrossRef]
- Zhou, X.; Morrow, N.R.; Ma, S. Interrelationship of wettability, initial water saturation, aging time, and oil recovery by spontaneous imbibition and waterflooding. In Proceedings of the SPE/DOE Improved Oil Recovery Symposium, Tulsa, OK, USA, 21–24 April 1996. [Google Scholar] [CrossRef]
- Vledder, P.; Gonzalez, I.E.; Carrera Fonseca, J.C.; Wells, T.; Ligthelm, D.J. Low salinity water flooding: Proof of wettability alteration on a field wide scale. In Proceedings of the SPE Improved Oil Recovery Symposium, Tulsa, OK, USA, 24–28 April 2010. [Google Scholar] [CrossRef]
- Morrow, N.R.; Tang, G.Q.; Valat, M.; Xie, X. Prospects of improved oil recovery related to wettability and brine composition. J. Pet. Sci. Eng. 1998, 20, 267–276. [Google Scholar] [CrossRef]
- Buckley, J.S.; Takamura, K.; Morrow, N.R. Influence of electrical surface charges on the wetting properties of crude oils. SPE Reserv. Eng. 1989, 4, 332–340. [Google Scholar] [CrossRef]
- Buckley, J.S.; Liu, Y.; Xie, X.; Morrow, N.R. Asphaltenes and crude oil wetting-the effect of oil composition. SPE J. 1997, 2, 107–119. [Google Scholar] [CrossRef]
- Hirasaki, G.; Zhang, D.L. Surface chemistry of oil recovery from fractured, oil-wet, carbonate formations. SPE J. 2004, 9, 151–162. [Google Scholar] [CrossRef]
- Dubey, S.T.; Doe, P.H. Base number and wetting properties of crude oils. SPE Reserv. Eng. 1993, 8, 195–200. [Google Scholar] [CrossRef]
- Jadhunandan, P.P.; Morrow, N.R. Effect of wettability on waterflood recovery for crude-oil/brine/rock systems. SPE Reserv. Eng. 1995, 10, 40–46. [Google Scholar] [CrossRef]
- Sheng, J.J.; Leonhardt, B.; Azri, N. Status of polymer-flooding technology. J. Can. Pet. Technol. 2015, 54, 116–126. [Google Scholar] [CrossRef]
- Juárez-Morejón, J.L.; Bertin, H.; Omari, A.; Hamon, G.; Cottin, C.; Morel, D.; Bourdarot, G. A New Approach to Polymer Flooding: Effects of Early Polymer Injection and Wettability on Final Oil Recovery. Soc. Pet. Eng. J. 2019, 24, 129–139. [Google Scholar] [CrossRef]
- Koh, H.; Lee, V.B.; Pope, G.A. Experimental Investigation of the Effect of Polymers on Residual Oil Saturation. Soc. Pet. Eng. J. 2018, 23, 1–17. [Google Scholar] [CrossRef]
- Qi, P.; Lashgari, H.; Luo, H.; Delshad, M.; Pope, G.; Balhoff, M. Simulation of Viscoelastic Polymer Flooding-From the Lab to the Field. In Proceedings of the SPE Annual Technical Conference and Exhibition, Dallas, TX, USA, 24–26 September 2018. [Google Scholar] [CrossRef]
- Ding, L.; Zhang, G.; Behling, J.; Lopez-Salinas, J.L.; Ge, J.; Puerto, M.C.; Hirasaki, G.J.; Miller, C.A. Determination of the active soap number of crude oil and soap partitioning behavior. Energy Fuels 2016, 30, 10106–10116. [Google Scholar] [CrossRef]
- Bourrel, M.; Schechter, R.S. Microemulsions and Related Systems: Formulation, Solvency, and Physical Properties; Surfactant Science Series; Marcel Dekker: New York, NY, USA, 1988; Volume 30. [Google Scholar]
- Sheng, J.J. Status of surfactant EOR technology. Petroleum 2015, 1, 97–105. [Google Scholar] [CrossRef]
- Levitt, D.; Jackson, A.; Heinson, C.; Britton, L.N.; Malik, T.; Dwarakanath, V.; Pope, G.A. Identification and evaluation of high-performance EOR surfactants. In Proceedings of the SPE/DOE Symposium on Improved Oil Recovery, Tulsa, OK, USA, 22–26 April 2006. [Google Scholar] [CrossRef]
- Flaaten, A.; Nguyen, Q.P.; Pope, G.A.; Zhang, J. A systematic laboratory approach to low-cost, high-performance chemical flooding. In Proceedings of the SPE Symposium on Improved Oil Recovery, Tulsa, OK, USA, 20–23 April 2008. [Google Scholar] [CrossRef]
- Samanta, A.; Ojha, K.; Sarkar, A.; Mandal, A. Surfactant and surfactant-polymer flooding for enhanced oil recovery. Adv. Pet. Explor. Dev. 2011, 2, 13–18. [Google Scholar] [CrossRef]
- Aziz, K. Petroleum Reservoir Simulation; Applied Science Publishers: London, UK, 1979. [Google Scholar]
- Peaceman, D.W. Fundamentals of Numerical Reservoir Simulation; Elsevier: Houston, TX, USA, 2000. [Google Scholar]
- Buckley, S.E.; Leverett, M.C. Mechanism of fluid displacement in sands. Trans. AIME 1942, 146, 107–116. [Google Scholar] [CrossRef]
- Pope, G.A. The application of fractional flow theory to enhanced oil recovery. Soc. Pet. Eng. J. 1980, 20, 191–205. [Google Scholar] [CrossRef]
- Larson, R.G.; Hirasaki, G.J. Analysis of the Physical Mechanisms in Surfactant Flooding. SPEJ 1976, 6003. [Google Scholar] [CrossRef]
- Farajzadeh, R.; Wassing, B.L.; Lake, L.W. Insights into design of mobility control for chemical enhanced oil recovery. Energy Rep. 2019, 5, 570–578. [Google Scholar] [CrossRef]
- DeZabala, E.F.; Vislocky, J.M.; Rubin, E.; Radke, C.J. A chemical theory for linear alkaline flooding. Soc. Pet. Eng. J. 1982, 22, 245–258. [Google Scholar] [CrossRef]
- Walsh, M.P.; Lake, L.W. Applying fractional flow theory to solvent flooding and chase fluids. J. Pet. Sci. Eng. 1989, 2, 281–303. [Google Scholar] [CrossRef]
- Han, H.; Li, T.; Song, H.; Wang, Y.; Killough, J. Experimental research on remaining oil distribution and recovery performance after immiscible and miscible CO2-WAG injection by direct visualisation. Int. J. Oilgas Coal Technol. 2017, 15, 47–59. [Google Scholar] [CrossRef]
- Song, H.; Huang, G.; Li, T.; Zhang, Y.; Lou, Y. Analytical model of CO2 storage efficiency in saline aquifer with vertical heterogeneity. J. Nat. Gas Sci. Eng. 2014, 18, 77–89. [Google Scholar] [CrossRef]
- Ashoori, E.; van der Heijden, T.; Rossen, W. Fractional-flow theory of foam displacements with oil. SPE J. 2010, 15, 260–273. [Google Scholar] [CrossRef]
- Jerauld, G.R.; Webb, K.J.; Lin, C.Y.; Seccombe, J. Modeling low-salinity water flooding. In Proceedings of the SPE Annual Technical Conference and Exhibition, San Antonio, TX, USA, 24–27 September 2006. [Google Scholar] [CrossRef]
- Wang, J.; Song, H.; Wang, Y. Investigation on the micro-flow mechanism of enhanced oil recovery by low-salinity water flooding in carbonate reservoir. Fuel 2020, 266, 117156. [Google Scholar] [CrossRef]
- Rossen, W.R.; Venkatraman, A.; Johns, R.T.; Kibodeaux, K.R.; Lai, H.; Tehrani, N.M. Fractional flow theory applicable to non-Newtonian behavior in EOR processes. Transp. Porous Media 2011, 89, 213–236. [Google Scholar] [CrossRef]
- Sun, L.; Li, B.; Jiang, H.; Li, Y.; Jiao, Y. An Injectivity Evaluation Model of Polymer Flooding in Offshore Multilayer Reservoir. Energies 2019, 12, 1444. [Google Scholar] [CrossRef]
- Corey, A.T. The interrelation between gas and oil relative Permeabilities. Prod. Mon. 1954, 19, 38–41. [Google Scholar]
- Adenutsi, C.D.; Li, Z.; Lai, F.; Hama, A.E.; Aggrey, W.N. Pore pressure variation at constant confining stress on water–oil and silica nanofluid–oil relative permeability. J. Pet. Explor. Prod. Technol. 2019, 9, 2065–2079. [Google Scholar] [CrossRef]
- Welge, H.J. A simplified method for computing oil recovery by gas or water drive. J. Pet. Technol. 1952, 4, 91–98. [Google Scholar] [CrossRef]
- Ding, L.; Zhai, X.; Puerto, M.C.; Miller, C.A.; Hirasaki, G.J. Alkaline surfactant polymer ASP process for shaley formation with pyrite. In Proceedings of the SPE Improved Oil Recovery Conference, Tulsa, OK, USA, 14–18 April 2018. [Google Scholar] [CrossRef]
- Lu, J.; Britton, C.; Solairaj, S.; Liyanage, P.J.; Kim, D.H.; Adkins, S.; Pope, G.A. Novel large-hydrophobe alkoxy carboxylate surfactants for enhanced oil recovery. SPE J. 2014, 19, 1–024. [Google Scholar] [CrossRef]
- Hirasaki, G.J.; Van Domselaar, H.R.; Nelson, R.C. Evaluation of the salinity gradient concept in surfactant flooding. Soc. Pet. Eng. J. 1983, 23, 486–500. [Google Scholar] [CrossRef]
- Bedrikovetsky, P. Mathematical Theory of Oil and Gas Recovery: With Applications to Ex-USSR Oil and Gas Fields; Springer Science & Business Media: Dordrecht, The Netherlands, 2013; Volume 4. [Google Scholar] [CrossRef]
- Hamid, S.A.; Muggeridge, A. HAnalytical solution of polymer slug injection with viscous fingering. Comput. Geosci. 2018, 22, 711–723. [Google Scholar] [CrossRef]
- Ribeiro, P.M.; Pires, A.P. The displacement of oil by polymer slugs considering adsorption effects. In Proceedings of the SPE Annual Technical Conference and Exhibition, Denver, CO, USA, 21–24 September 2008. [Google Scholar] [CrossRef]
- Helfferich, F.G. Theory of multicomponent, multiphase displacement in porous media. Soc. Pet. Eng. J. 1981, 21, 51–62. [Google Scholar] [CrossRef]
- Hirasaki, G.J. Application of the theory of multicomponent, multiphase displacement to three-component, two-phase surfactant flooding. Soc. Pet. Eng. J. 1981, 21, 191–204. [Google Scholar] [CrossRef]
- Li, T.; Song, H.; Wang, J.; Wang, Y.; Killough, J. An analytical method for modeling and analysis gas-water relative permeability in nanoscale pores with interfacial effects. Int. J. Coal Geol. 2016, 159, 71–81. [Google Scholar] [CrossRef]
- Jin, L.; Li, Z.; Jamili, A.; Kadhum, M.; Lu, J.; Shiau, B.J.; Harwell, J.H.; Delshad, M. An Analytical Solution for Three-Component, Two-Phase Surfactant Flooding Dependent on the Hydrophilic/Lipophilic-Difference Equation and the Net-Average-Curvature Equation of State. SPE J. 2017, 22, 1–424. [Google Scholar] [CrossRef]
- Seto, C.J.; Jessen, K.; Orr, F.M. A multicomponent, two-phase-flow model for CO2 storage and enhanced coalbed-methane recovery. SPE J. 2009, 14, 30–40. [Google Scholar] [CrossRef]
- Liu, S.; Zhang, D.; Yan, W.; Puerto, M.; Hirasaki, G.J.; Miller, C.A. Favorable Attributes of Alkaline-Surfactant-Polymer Flooding. SPE J. 2008, 13, 5–16. [Google Scholar] [CrossRef]
- Mohammadi, H.; Delshad, M.; Pope, G.A. Mechanistic modeling of alkaline/surfactant/polymer floods. SPE Reserv. Eval. Eng. 2009, 12, 518–527. [Google Scholar] [CrossRef]
- Pope, G.A. Recent developments and remaining challenges of enhanced oil recovery. J. Pet. Technol. 2011, 63, 65–68. [Google Scholar] [CrossRef]
- Wang, D.; Cheng, J.; Xia, H.; Li, Q.; Shi, J. Viscous-elastic fluids can mobilize oil remaining after water-flood by force parallel to the oil-water interface. In Proceedings of the SPE Asia Pacific Improved Oil Recovery Conference, Kuala Lumpur, Malaysia, 6–9 October 2001. [Google Scholar] [CrossRef]
























| References | Polymer Flooding | Surfactant Flooding | Surfactant Polymer Flooding |
|---|---|---|---|
| Lake, 2014 [3] | √ | √ | √ |
| Juárez, 2019 [19] | √ | ||
| Koh, 2018 [20] | √ | ||
| Qi, 2018 [21] | √ | ||
| Pope, 1980 [31] | √ | √ | √ |
| Larson, 1976 [32] | √ | ||
| Farajzadeh, 2019 [33] | √ | √ | √ |
| Rossen, 2011 [41] | √ | ||
| Sun, 2019 [42] | √ |
| Water–Oil Two-Phase Relative Permeability | |||||||
|---|---|---|---|---|---|---|---|
| 0.14 | 0.40 | 0.15 | 0.24 | 4 | 2 | 0.5 | 72 |
| Water–Oil Two-Phase Relative Permeability in the Absence of Surfactant | |||||||
|---|---|---|---|---|---|---|---|
| 0.14 | 0.40 | 0.15 | 0.24 | 4 | 2 | 0.5 | 5 |
| Water–Oil Two-Phase Relative Permeability in the Presence of Surfactant | |||||||
| 0.40 | 1.00 | 0.15 | 0.10 | 4.0 | 1.5 | 0.5 | 5 |
| Water–Oil Two-Phase Relative Permeability in the Absence of Surfactant/Polymer | |||||||
|---|---|---|---|---|---|---|---|
| 0.14 | 0.40 | 0.15 | 0.24 | 4 | 2 | 0.5 | 5 |
| Water–Oil Two-Phase Relative Permeability in the Presence of Surfactant/Polymer | |||||||
| 0.40 | 1.00 | 0.15 | 0.05 | 4.0 | 1.5 | 10 | 5 |
| Water–Oil Two-Phase Relative Permeability for Water Flooding | |||||||
|---|---|---|---|---|---|---|---|
| 0.14 | 0.40 | 0.15 | 0.24 | 4 | 2 | 0.5 | 5 |
| Water–Oil Relative Permeability for Piston-Like SP Flooding | |||||||
| 1.00 | 1.00 | 0.00 | 0.00 | 1.0 | 1.0 | 10 | 5 |
© 2020 by the authors. Licensee MDPI, Basel, Switzerland. This article is an open access article distributed under the terms and conditions of the Creative Commons Attribution (CC BY) license (http://creativecommons.org/licenses/by/4.0/).
Share and Cite
Ding, L.; Wu, Q.; Zhang, L.; Guérillot, D. Application of Fractional Flow Theory for Analytical Modeling of Surfactant Flooding, Polymer Flooding, and Surfactant/Polymer Flooding for Chemical Enhanced Oil Recovery. Water 2020, 12, 2195. https://doi.org/10.3390/w12082195
Ding L, Wu Q, Zhang L, Guérillot D. Application of Fractional Flow Theory for Analytical Modeling of Surfactant Flooding, Polymer Flooding, and Surfactant/Polymer Flooding for Chemical Enhanced Oil Recovery. Water. 2020; 12(8):2195. https://doi.org/10.3390/w12082195
Chicago/Turabian StyleDing, Lei, Qianhui Wu, Lei Zhang, and Dominique Guérillot. 2020. "Application of Fractional Flow Theory for Analytical Modeling of Surfactant Flooding, Polymer Flooding, and Surfactant/Polymer Flooding for Chemical Enhanced Oil Recovery" Water 12, no. 8: 2195. https://doi.org/10.3390/w12082195
APA StyleDing, L., Wu, Q., Zhang, L., & Guérillot, D. (2020). Application of Fractional Flow Theory for Analytical Modeling of Surfactant Flooding, Polymer Flooding, and Surfactant/Polymer Flooding for Chemical Enhanced Oil Recovery. Water, 12(8), 2195. https://doi.org/10.3390/w12082195

