A Physically Based Model for the Streaming Potential Coupling Coefficient in Partially Saturated Porous Media
Abstract
1. Introduction
2. Theory
2.1. Pore Scale
2.2. REV Scale
2.3. Relative Streaming Potential Coupling Coefficient
2.4. The Relation Between SPCC and Effective Excess Charge Density
2.5. Johnson Length
3. Results and Discussion
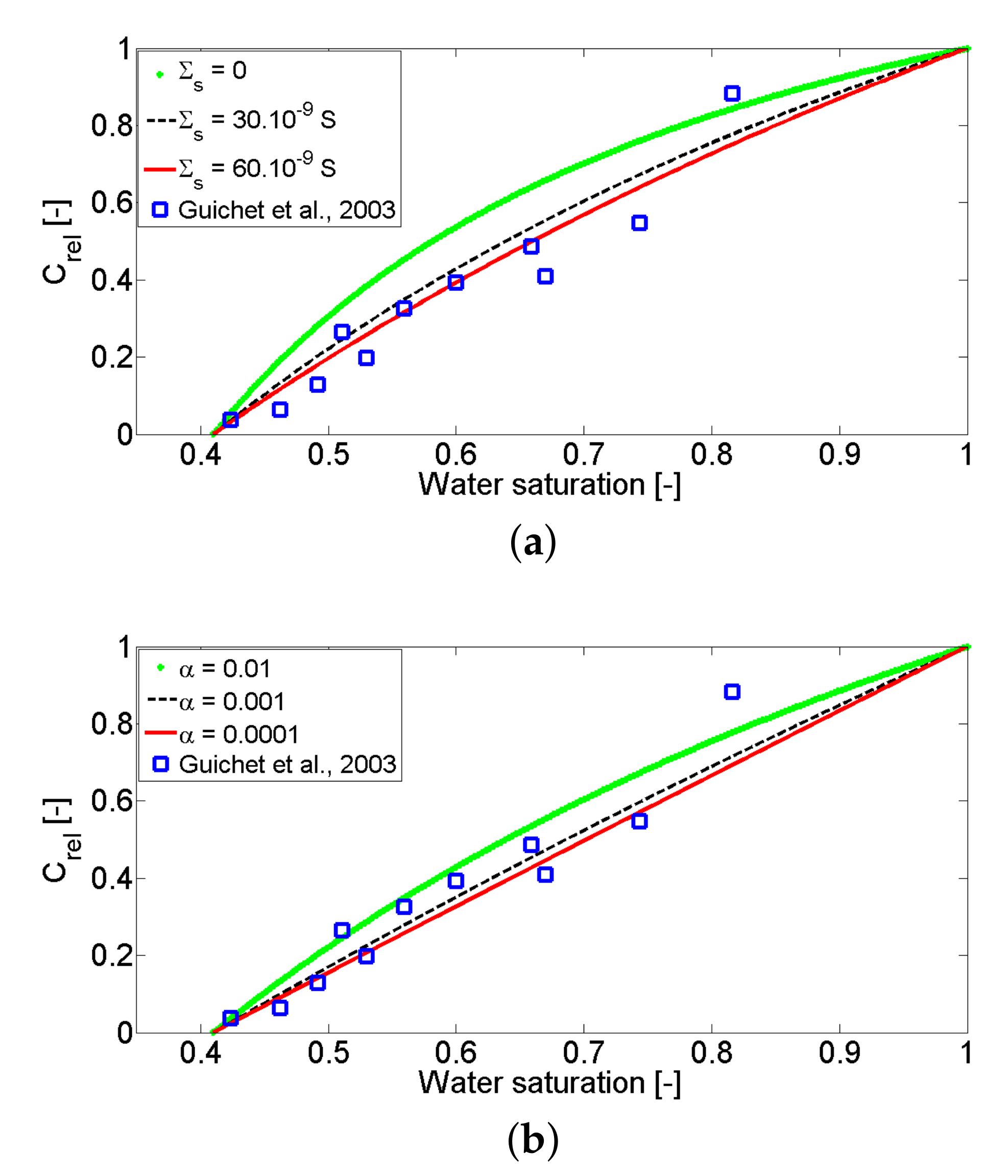
3.1. Relative Streaming Potential Coupling Coefficient
3.2. Johnson Length
4. Conclusions
Author Contributions
Funding
Acknowledgments
Conflicts of Interest
References
- Rubin, Y.; Hubbard, S. Hydrogeophysics; Springer: Berlin/Heidelberg, Germany, 2006. [Google Scholar]
- Hubbard, S.; Linde, N. Hydrogeophysics. In Treatise on Water Science; Wilderer, P., Ed.; Academic Press: Oxford, UK, 2011. [Google Scholar]
- Binley, A.; Hubbard, S.S.; Huisman, J.A.; Revil, A.; Robinson, D.A.; Singha, K.; Slater, L.D. The emergence of hydrogeophysics for improved understanding of subsurface processes over multiple scales. Water Resour. Res. 2015, 51, 3837–3866. [Google Scholar] [CrossRef] [PubMed]
- Revil, A.; Jardani, A. The Self-Potential Method: Theory and Applications in Environmental Geosciences; Cambridge University Press: Cambridge, UK, 2013. [Google Scholar]
- Jouniaux, L.; Pozzi, J.; Berthier, J.; Masse, P. Detection of fluid flow variations at the Nankai Trough by electric and magnetic measurements in boreholes or at the seafloor. J. Geophys. Res. 1999, 104, 29293–29309. [Google Scholar] [CrossRef]
- Fagerlund, F.; Heinson, G. Detecting subsurface groundwater flow infractured rock using self-potential (SP) methods. Environ. Geol. 2003, 43, 782–794. [Google Scholar] [CrossRef]
- Titov, K.; Revil, A.; Konosavsky, P.; Straface, S.; Troisi, S. Numerical modelling of self-potential signals associated with a pumping test experiment. Geophys. J. Int. 2005, 162, 641–650. [Google Scholar] [CrossRef]
- Aizawa, K.; Ogawa, Y.; Ishido, T. Groundwater flow and hydrothermal systems within volcanic edifices: Delineation by electric self-potential and magnetotellurics. J. Geophys. Res. 2009, 114. [Google Scholar] [CrossRef]
- Aubert, M.; Atangana, Q.Y. Self-Potential Method in Hydrogeological Exploration of Volcanic Areas. Groundwater 1996, 34, 1010–1016. [Google Scholar] [CrossRef]
- Finizola, A.; Lenat, N.; Macedo, O.; Ramos, D.; Thouret, J.; Sortino, F. Fluid circulation and structural discontinuities inside misti volcano (peru) inferred from sel-potential measurements. J. Volcanol. Geotherm. Res. 2004, 135, 343–360. [Google Scholar] [CrossRef]
- Mauri, G.; Williams-Jones, G.; Saracco, G. Depth determinations of shallow hydrothermal systems by self-potential and multi-scale wavelet tomography. J. Volcanol. Geotherm. Res. 2010, 191, 233–244. [Google Scholar] [CrossRef]
- Martinez-Pagan, P.; Jardani, A.; Revil, A.; Haas, A. Self-potential monitoring of a salt plume. Geophysics 2010, 75, WA17–WA25. [Google Scholar] [CrossRef]
- Naudet, V.; Revil, A.; Bottero, J.Y.; Bégassat, P. Relationship between self-potential (SP) signals and redox conditions in contaminated groundwater. Geophys. Res. Lett. 2003, 30. [Google Scholar] [CrossRef]
- Doussan, C.; Jouniaux, L.; Thony, J.L. Variations of self-potential and unsaturated water flow with time in sandy loam and clay loam soils. J. Hydrol. 2002, 267, 173–185. [Google Scholar] [CrossRef]
- Jougnot, D.; Linde, N.; Haarder, E.; Looms, M. Monitoring of saline tracer movement with vertically distributed self-potential measurements at the HOBE agricultural test site, Voulund, Denmark. J. Hydrol. 2015, 521, 314–327. [Google Scholar] [CrossRef]
- Voytek, E.B.; Barnard, H.R.; Jougnot, D.; Singha, K. Transpiration- and precipitation-induced subsurface water flow observed using the self-potential method. Hydrol. Process. 2019, 33, 1784–1801. [Google Scholar] [CrossRef]
- Hu, K.; Jougnot, D.; Huang, Q.; Looms, M.C.; Linde, N. Advancing quantitative understanding of self-potential signatures in the critical zone through long-term monitoring. J. Hydrol. 2020, 585, 124771. [Google Scholar] [CrossRef]
- Pozzi, J.; Jouniaux, L. Electrical Effects Of Fluid Circulation In Sediments And Seismic Prediction. C. R. Acad. Sci. Ser. II 1994, 318, 73–77. [Google Scholar]
- Trique, M.; Richon, P.; Perrier, F.; Avouac, J.; Sabroux, J.C. Radon emanation and electric potential variations associated with transient deformation near reservoir lakes. Nature 1999, 399, 137–141. [Google Scholar] [CrossRef]
- Darnet, M.; Marquis, G.; Sailhac, P. Estimating aquifer hydraulic properties from the inversion of surface Streaming Potential (SP) anomalies. Geophys. Res. Lett. 2003, 30. [Google Scholar] [CrossRef]
- Jardani, A.; Revil, A.; Boleve, A.; Crespy, A.; Dupont, J.P.; Barrash, W.; Malama, B. Tomography of the Darcy velocity from self-potential measurements. Geophys. Res. Lett. 2007, 34. [Google Scholar] [CrossRef]
- Jouniaux, L.; Maineult, A.; Naudet, V.; Pessel, M.; Sailhac, P. Review of self-potential methods in hydrogeophysics. C. R. Geosci. 2009, 341, 928–936. [Google Scholar] [CrossRef]
- Revil, A.; Barnier, G.; Karaoulis, M.; Sava, P.; Jardani, A.; Kulessa, B. Seismoelectric coupling in unsaturated porous media: Theory, petrophysics, and saturation front localization using an electroacoustic approach. Geophys. J. Int. 2013, 196, 867–884. [Google Scholar] [CrossRef]
- Dupuis, J.C.; Butler, K.E.; Kepic, A.W. Seismoelectric imaging of the vadose zone of a sand aquifer. Geophysics 2007, 72, A81–A85. [Google Scholar] [CrossRef]
- Pride, S. Governing equations for the coupled electromagnetics and acoustics of porous media. Phys. Rev. B 1994, 50, 15678–15696. [Google Scholar] [CrossRef] [PubMed]
- Haines, S.S.; Pride, S.R. Seismoelectric numerical modeling on a grid. Geophysics 2006, 71, N57–N65. [Google Scholar] [CrossRef]
- Jougnot, D.; Rubino, J.G.; Carbajal, M.R.; Linde, N.; Holliger, K. Seismoelectric effects due to mesoscopic heterogeneities. Geophys. Res. Lett. 2013, 40, 2033–2037. [Google Scholar] [CrossRef]
- Smeulders, D.; Grobbe, N.; Heller, H.; Schakel, M. Seismoelectric Conversion for the Detection of Porous Medium Interfaces between Wetting and Nonwetting Fluids. Vadose Zone J. 2014, 13, 1–7. [Google Scholar]
- Bordes, C.; Sénéchal, P.; Barrière, J.; Brito, D.; Normandin, E.; Jougnot, D. Impact of water saturation on seismoelectric transfer functions: A laboratory study of coseismic phenomenon. Geophys. J. Int. 2015, 200, 1317–1335. [Google Scholar] [CrossRef]
- Overbeek, J. Electrochemistry of the double layer. In Colloid Science, Irreversible Systems; Kruyt, H.R., Ed.; Elsevier: Amsterdam, The Netherlands, 1952. [Google Scholar]
- Hunter, R.J. Zeta Potential in Colloid Science; Academic: New York, NY, USA, 1981. [Google Scholar]
- Lorne, B.; Perrier, F.; Avouac, J.P. Streaming potential measurements: 1. Properties of the electrical double layer from crushed rock samples. J. Geophys. Res. 1999, 104, 17.857–17.877. [Google Scholar] [CrossRef]
- Vinogradov, J.; Jaafar, M.Z.; Jackson, M.D. Measurement of streaming potential coupling coefficient in sandstones saturated with natural and artificial brines at high salinity. J. Geophys. Res. 2010, 115. [Google Scholar] [CrossRef]
- Glover, P.W.J.; Walker, E.; Jackson, M. Streaming-potential coefficient of reservoir rock: A theoretical model. Geophysics 2012, 77, D17–D43. [Google Scholar] [CrossRef]
- Luong, D.; Sprik, R. Examination of a theoretical model of streaming potential coupling coefficient. Int. J. Geophys. 2014, 2014, 471819. [Google Scholar] [CrossRef]
- Tosha, T.; Matsushima, N.; Ishido, T. Zeta potential measured for an intact granite sample at temperatures to 200 ∘C. Geophys. Res. Lett. 2003, 30. [Google Scholar] [CrossRef]
- Vinogradov, J.; Jackson, M.D. Zeta potential in intact natural sandstones at elevated temperatures. Geophys. Res. Lett. 2015, 42, 6287–6294. [Google Scholar] [CrossRef]
- Maineult, A.; Jouniaux, L.; Bernabé, Y. Influence of the mineralogical composition on the self-potential response to advection of KCl concentration fronts through sand. Geophys. Res. Lett. 2006, 33. [Google Scholar] [CrossRef]
- Thanh, L.D.; Sprik, R. Zeta potential in porous rocks in contact with monovalent and divalent electrolyte aqueous solutions. Geophysics 2016, 81, D303–D314. [Google Scholar] [CrossRef]
- Guichet, X.; Jouniaux, L.; Catel, N. Modification of streaming potential by precipitation of calcite in a sand–water system: Laboratory measurements in the pH range from 4 to 12. Geophys. J. Int. 2006, 166, 445–460. [Google Scholar] [CrossRef]
- Walker, E.; Glover, P.W.J. Measurements of the Relationship Between Microstructure, pH, and the Streaming and Zeta Potentials of Sandstones. Transp. Porous Media 2018, 121, 183–206. [Google Scholar] [CrossRef] [PubMed]
- Allegre, V.; Maineult, A.; Lehmann, F.; Lopes, F.; Zamora, M. Self-potential response to drainage–imbibition cycles. Geophys. J. Int. 2014, 197, 1410–1424. [Google Scholar] [CrossRef]
- Soldi, M.; Guarracino, L.; Jougnot, D. An effective excess charge model to describe hysteresis effects on streaming potential. J. Hydrol. 2020, 124949. [Google Scholar] [CrossRef]
- Revil, A.; Pezard, P.A.; Glover, P.W.J. Streaming potential in porous media 1. Theory of the zeta potential. J. Geophys. Res. 1999, 104, 20021–20031. [Google Scholar] [CrossRef]
- Zhang, J.; Vinogradov, J.; Leinov, E.; Jackson, M.D. Streaming potential during drainage and imbibition. J. Geophys. Res. Solid Earth 2017, 122, 4413–4435. [Google Scholar] [CrossRef]
- Wurmstich, B.; Morgan, F.D. Modeling of streaming potential responses caused by oil well pumping. Geophysics 1994, 59, 46–56. [Google Scholar] [CrossRef]
- Perrier, F.; Morat, P. Characterization of Electrical Daily Variations Induced by Capillary Flow in the Non-saturated Zone. Pure Appl. Geophys. 2000, 157, 785–810. [Google Scholar] [CrossRef]
- Guichet, X.; Jouniaux, L.; Pozzi, J.P. Streaming potential of a sand column in partial saturation conditions. J. Geophys. Res. Solid Earth 2003, 108. [Google Scholar] [CrossRef]
- Darnet, M.; Marquis, G. Modelling streaming potential (SP) signals induced by water movement in the vadose zone. J. Hydrol. 2004, 285, 114–124. [Google Scholar] [CrossRef]
- Revil, A.; Cerepi, A. Streaming potentials in two-phase flow conditions. Geophys. Res. Lett. 2004, 31. [Google Scholar] [CrossRef]
- Revil, A.; Linde, N.; Cerepi, A.; Jougnot, D.; Matthäi, S.; Finsterle, S. Electrokinetic coupling in unsaturated porous media. J. Colloid Interface Sci. 2007, 313, 315–327. [Google Scholar] [CrossRef] [PubMed]
- Linde, N.; Jougnot, D.; Revil, A.; Matthai, S.K.; Arora, T.; Renard, D.; Doussan, C. Streaming current generation in two-phase flow conditions. Geophys. Res. Lett. 2007, 34, L03306. [Google Scholar] [CrossRef]
- Saunders, J.H.; Jackson, M.D.; Pain, C.C. Fluid flow monitoring in oil fields using downhole measurements of electrokinetic potential. Geophysics 2008, 73, E165–E180. [Google Scholar] [CrossRef]
- Jackson, M.D. Multiphase electrokinetic coupling: Insights into the impact of fluid and charge distribution at the pore scale from a bundle of capillary tubes model. J. Geophys. Res. Solid Earth 2010, 115. [Google Scholar] [CrossRef]
- Jougnot, D.; Linde, N.; Revil, A.; Doussan, C. Derivation of soil-specific streaming potential electrical parameters from hydrodynamic characteristics of partially saturated soils. Vadose Zone J. 2012, 11, 272–286. [Google Scholar] [CrossRef]
- Revil, A.; Mahardika, H. Coupled hydromechanical and electromagnetic disturbances in unsaturated porous materials. Water Resour. Res. 2013, 49, 744–766. [Google Scholar] [CrossRef] [PubMed]
- Allegre, V.; Jouniaux, L.; Lehmann, F.; Sailhac, P. Streaming potential dependence on water-content in Fontainebleau sand. Geophys. J. Int. 2010, 182, 1248–1266. [Google Scholar] [CrossRef]
- Vinogradov, J.; Jackson, M.D. Multiphase streaming potential in sandstones saturated with gas/brine and oil/brine during drainage and imbibition. Geophys. Res. Lett. 2011, 38. [Google Scholar] [CrossRef]
- Soldi, M.; Jougnot, D.; Guarracino, L. An analytical effective excess charge density model to predict the streaming potential generated by unsaturated flow. Geophys. J. Int. 2019, 216, 380–394. [Google Scholar] [CrossRef]
- Rice, C.; Whitehead, R. Electrokinetic flow in a narrow cylindrical capillary. J. Phys. Chem. 1965, 69, 4017–4024. [Google Scholar] [CrossRef]
- Jackson, M.D. Characterization of multiphase electrokinetic coupling using a bundle of capillary tubes model. J. Geophys. Res. Solid Earth 2008, 113. [Google Scholar] [CrossRef]
- Linde, N. Comment on “Characterization of multiphase electrokinetic coupling using a bundle of capillary tubes model” by Mathew D. Jackson. J. Geophys. Res. Solid Earth 2009, 114, B06209. [Google Scholar] [CrossRef]
- Guarracino, L.; Jougnot, D. A Physically Based Analytical Model to Describe Effective Excess Charge for Streaming Potential Generation in Water Saturated Porous Media. J. Geophys. Res. Solid Earth 2018, 123, 52–65. [Google Scholar] [CrossRef]
- Thanh, L.D.; Van Do, P.; Van Nghia, N.; Ca, N.X. A fractal model for streaming potential coefficient in porous media. Geophys. Prospect. 2018, 66, 753–766. [Google Scholar] [CrossRef]
- Thanh, L.D.; Jougnot, D.; Van Do, P.; Van Nghia A, N. A physically based model for the electrical conductivity of water-saturated porous media. Geophys. J. Int. 2019, 219, 866–876. [Google Scholar] [CrossRef]
- Allègre, V.; Lehmann, F.; Ackerer, P.; Jouniaux, L.; Sailhac, P. A 1-D modelling of streaming potential dependence on water content during drainage experiment in sand. Geophys. J. Int. 2012, 189, 285–295. [Google Scholar] [CrossRef]
- Nourbehecht, B. Irreversible Thermodynamic Effects in Inhomogeneous Media and their Applications in Certain Geoelectric Problems. Ph.D. Thesis, MIT Press, Cambridge, MA, USA, 1963. [Google Scholar]
- Morgan, F.D.; Williams, E.R.; Madden, T.R. Streaming potential properties of westerly granite with applications. J. Geophys. Res. 1989, 94, 12.449–12.461. [Google Scholar] [CrossRef]
- Jouniaux, L.; Ishido, T. Electrokinetics in Earth Sciences: A Tutorial. Int. J. Geophys. 2012, 2012, 286107. [Google Scholar] [CrossRef]
- Smoluchowski, M. Contribution à la théorie de l’endosmose électrique et de quelques phénoménes corrélatifs. Bull. Int. Acad. Sci. Crac. 1903, 8, 182–200. [Google Scholar]
- Bernabé, Y. Streaming potential in heterogeneous networks. J. Geophys. Res. Solid Earth 1998, 103, 20827–20841. [Google Scholar] [CrossRef]
- Jougnot, D.; Mendieta, A.; Leroy, P.; Maineult, A. Exploring the Effect of the Pore Size Distribution on the Streaming Potential Generation in Saturated Porous Media, Insight From Pore Network Simulations. J. Geophys. Res. Solid Earth 2019, 124, 5315–5335. [Google Scholar] [CrossRef]
- Reppert, P.M.; Morgan, F.D.; Lesmes, D.P.; Jouniaux, L. Frequency-Dependent Streaming Potentials. J. Colloid Interface Sci. 2001, 234, 194–203. [Google Scholar] [CrossRef]
- Li, S.X.; Pengra, D.B.; Wong, P.Z. Onsager’s reciprocal relation and the hydraulic permeability of porous media. Phys. Rev. E 1995, 51, 5748–5751. [Google Scholar] [CrossRef]
- Pengra, D.; Li, S.X.; Wong, P. Determination of rock properties by low frequency AC electrokinetics. J. Geophys. Res. 1999, 104, 29485–29508. [Google Scholar] [CrossRef]
- Glover, P.W.J.; Dery, N. Streaming potential coupling coefficient of quartz glass bead packs: Dependence on grain diameter, pore size, and pore throat radius. Geophysics 2010, 75, F225–F241. [Google Scholar] [CrossRef]
- Ishido, T.; Mizutani, H. Experimental and Theoretical Basis of Electrokinetic Phenomena in Rock-Water Systems and Its Applications to Geophysics. J. Geophys. Res. 1981, 86, 1763–1775. [Google Scholar] [CrossRef]
- Jouniaux, L.; Pozzi, J.P. Laboratory measurements anomalous 0.1–0.5 Hz streaming potential under geochemical changes: Implications for electrotelluric precursors to earthquakes. J. Geophys. Res. Solid Earth 1997, 102, 15335–15343. [Google Scholar] [CrossRef]
- Jaafar, M.Z.; Vinogradov, J.; Jackson, M.D. Measurement of streaming potential coupling coefficient in sandstones saturated with high salinity NaCl brine. Geophys. Res. Lett. 2009, 36. [Google Scholar] [CrossRef]
- Johnson, D.L.; Koplik, J.; Schwartz, L.M. New Pore-Size Parameter Characterizing Transport in Porous Media. Phys. Rev. Lett. 1986, 57, 2564–2567. [Google Scholar] [CrossRef] [PubMed]
- Kormiltsev, V.V.; Ratushnyak, A.N.; Shapiro, V.A. Three-dimensional modeling of electric and magnetic fields induced by the fluid flow movement in porous media. Phys. Earth Planet. Inter. 1998, 105, 109–118. [Google Scholar] [CrossRef]
- Revil, A.; Leroy, P. Constitutive equations for ionic transport in porous shales. J. Geophys. Res. Solid Earth 2004, 109, B03208. [Google Scholar] [CrossRef]
- Cerepi, A.; Cherubini, A.; Garcia, B.; Deschamps, H.; Revil, A. Streaming potential coupling coefficient in unsaturated carbonate rocks. Geophys. J. Int. 2017, 210, 291–302. [Google Scholar] [CrossRef]
- Jougnot, D.; Roubinet, D.; Guarracino, L.; Maineult, A. Modeling Streaming Potential in Porous and Fractured Media, Description and Benefits of the Effective Excess Charge Density Approach; Biswas, A., Sharma, S., Eds.; Advances in Modeling and Interpretation in Near Surface Geophysics; Springer Geophysics; Springer: Cham, Switzerland, 2020. [Google Scholar]
- Bassiouni, Z. Theory, Measurement, and Interpretation of Well Logs; Henry L. Doherty Memorial Fund of AIME, Society of Petroleum Engineers: Dallas, TX, USA, 1994. [Google Scholar]
- Mandelbrot, B.B. The Fractal Geometry of Nature; W. H. Freeman: New York, NY, USA, 1982. [Google Scholar]
- Katz, A.J.; Thompson, A.H. Fractal Sandstone Pores: Implications for Conductivity and Pore Formation. Phys. Rev. Lett. 1985, 54, 1325–1328. [Google Scholar] [CrossRef]
- Yu, B.; Cheng, P. A fractal permeability model for bi-dispersed porous media. Int. J. Heat Mass Transf. 2002, 45, 2983–2993. [Google Scholar] [CrossRef]
- Yu, B. Analysis of Flow in Fractal Porous Media. Appl. Mech. Rev. 2008, 61, 050801. [Google Scholar] [CrossRef]
- Jurin, J., II. An account of some experiments shown before the Royal Society; with an enquiry into the cause of the ascent and suspension of water in capillary tubes. Philos. Trans. R. Soc. Lond. 1719, 30, 739–747. [Google Scholar]
- Waxman, M.H.; Smits, L.J.M. Electrical conductivities in oil bearing shaly sands. Soc. Pet. Eng. J. 1968, 8, 107–122. [Google Scholar] [CrossRef]
- Thanh, L.D. Effective Excess Charge Density in Water Saturated Porous Media. VNU J. Sci. Math. Phys. 2018, 34. [Google Scholar] [CrossRef]
- Revil, A.; Cathles, L.M., III; Manhardt, P.D. Permeability of shaly sands. Water Resour. Res. 1999, 3, 651–662. [Google Scholar] [CrossRef]
- Glover, P.W.; Zadjali, I.I.; Frew, K.A. Permeability prediction from MICP and NMR data using an electrokinetic approach. Geophysics 2006, 71, F49–F60. [Google Scholar] [CrossRef]
- Sen, P.; Scala, C.; Cohen, M.H. A self-similar model for sedimentary rocks with application to the dielectric constant of fused glass beads. J. Soil Mech. Found. Div. 1981, 46, 781–795. [Google Scholar] [CrossRef]
- Glover, P.W.J.; Walker, E. Grain-size to effective pore-size transformation derived from electrokinetic theory. Geophysics 2009, 74, E17–E29. [Google Scholar] [CrossRef]
- Revil, A.; Glover, P.W.J. Nature of surface electrical conductivity in natural sands, sandstones, and clays. Geophys. Res. Lett. 1998, 25, 691–694. [Google Scholar] [CrossRef]
- Wildenschild, D.; Roberts, J.J.; Carlberg, E.D. On the relationship between microstructure and electrical and hydraulic properties of sand-clay mixtures. Geophys. Res. Lett. 2000, 27, 3085–3088. [Google Scholar] [CrossRef]
- Bolève, A.; Crespy, A.; Revil, A.; Janod, F.; Mattiuzzo, J.L. Streaming potentials of granular media: Influence of the Dukhin and Reynolds numbers. J. Geophys. Res. 2007, 112. [Google Scholar] [CrossRef]
- Cai, J.C.; Hu, X.Y.; Standnes, D.C.; You, L.J. An analytical model for spontaneous imbibition in fractal porous media including gravity. Colloids Surf. A Physicocemical Eng. Asp. 2012, 414, 228–233. [Google Scholar] [CrossRef]
- Sen, P.N.; Goode, P.A. Influence of temperature on electrical conductivity on shaly sands. Geophysics 1992, 57, 89–96. [Google Scholar] [CrossRef]
- Dullien, F.A.L. Porous Media: Fluid Transport and Pore Structure; Academic: San Diego, CA, USA, 1992. [Google Scholar]
- Bull, H.B.; Gortner, R.A. Electrokinetic potentials. X. The effect of particle size on the potential. J. Phys. Chem. 1932, 36, 111–119. [Google Scholar] [CrossRef]
- Cherubini, A.; Garcia, B.; Cerepi, A.; Revil, A. Streaming Potential Coupling Coefficient and Transport Properties of Unsaturated Carbonate Rocks. Vadose Zone J. 2018, 17, 180030. [Google Scholar] [CrossRef]
- Archie, G.E. The electrical resistivity log as an aid in determining some reservoir characteristics. Pet. Trans. AIME 1942, 146, 54–62. [Google Scholar] [CrossRef]










| Expression | Reference |
|---|---|
| [46] | |
| [47] | |
| [48] | |
| [49] | |
| [50] | |
| [51,52] | |
| [53] | |
| [54,59] | |
| [66] |
| Sample | d | m | Source | ||
|---|---|---|---|---|---|
| (m) | (no units) | (no units) | from MICP (m) | ||
| A | 20 | 0.4009 | 1.49 | 3.12 | [94] |
| B | 45 | 0.3909 | 1.48 | 6.65 | [94] |
| C | 106 | 0.3937 | 1.50 | 14.04 | [94] |
| D | 250 | 0.3982 | 1.50 | 43.7 | [94] |
| E | 500 | 0.3812 | 1.46 | 72.3 | [94] |
| F | 1000 | 0.3954 | 1.47 | 180.2 | [94] |
| G | 2000 | 0.3856 | 1.49 | 252.6 | [94] |
| H | 3350 | 0.3965 | 1.48 | 459.3 | [94] |
| I | 3000 | 0.3978 | 1.56 | 463.1 | [96] |
| J | 4000 | 0.3854 | 1.55 | 419.7 | [96] |
| K | 5000 | 0.3756 | 1.57 | 476.2 | [96] |
| L | 6000 | 0.3566 | 1.62 | 480.0 | [96] |
| M | 256 | 0.3987 | 1.51 | 29.6 | [96] |
| N | 512 | 0.3890 | 1.56 | 76.9 | [96] |
| O | 181 | 0.3824 | 1.54 | 28.1 | [96] |
| Sample | d | m | F | Source | ||
|---|---|---|---|---|---|---|
| (m) | (no units) | (no units) | (no units) | (m) | ||
| 1 | 1.05 | 0.411 | 1.5 | 3.80 | 0.16 | [76] |
| 2 | 2.11 | 0.398 | 1.5 | 3.98 | 0.31 | [76] |
| 3 | 5.01 | 0.380 | 1.5 | 4.27 | 0.68 | [76] |
| 4 | 11.2 | 0.401 | 1.5 | 3.94 | 1.64 | [76] |
| 5 | 21.5 | 0.383 | 1.5 | 4.23 | 2.94 | [76] |
| 6 | 31.0 | 0.392 | 1.5 | 4.07 | 4.40 | [76] |
| 7 | 47.5 | 0.403 | 1.5 | 3.91 | 7.02 | [76] |
| 8 | 104 | 0.394 | 1.5 | 4.04 | 14.86 | [76] |
| 9 | 181 | 0.396 | 1.5 | 4.01 | 26.04 | [76] |
| 10 | 252 | 0.414 | 1.5 | 3.75 | 38.53 | [76] |
| 11 | 494 | 0.379 | 1.5 | 4.28 | 66.64 | [76] |
| 12 | 990 | 0.385 | 1.5 | 4.18 | 136.62 | [76] |
© 2020 by the authors. Licensee MDPI, Basel, Switzerland. This article is an open access article distributed under the terms and conditions of the Creative Commons Attribution (CC BY) license (http://creativecommons.org/licenses/by/4.0/).
Share and Cite
Duy Thanh, L.; Jougnot, D.; Do, P.V.; Ca, N.X.; Hien, N.T. A Physically Based Model for the Streaming Potential Coupling Coefficient in Partially Saturated Porous Media. Water 2020, 12, 1588. https://doi.org/10.3390/w12061588
Duy Thanh L, Jougnot D, Do PV, Ca NX, Hien NT. A Physically Based Model for the Streaming Potential Coupling Coefficient in Partially Saturated Porous Media. Water. 2020; 12(6):1588. https://doi.org/10.3390/w12061588
Chicago/Turabian StyleDuy Thanh, Luong, Damien Jougnot, Phan Van Do, Nguyen Xuan Ca, and Nguyen Thi Hien. 2020. "A Physically Based Model for the Streaming Potential Coupling Coefficient in Partially Saturated Porous Media" Water 12, no. 6: 1588. https://doi.org/10.3390/w12061588
APA StyleDuy Thanh, L., Jougnot, D., Do, P. V., Ca, N. X., & Hien, N. T. (2020). A Physically Based Model for the Streaming Potential Coupling Coefficient in Partially Saturated Porous Media. Water, 12(6), 1588. https://doi.org/10.3390/w12061588

