An Integrated Hydraulic and Hydrologic Modeling Approach for Roadside Bio-Retention Facilities
Abstract
1. Introduction
- (1)
- Conventional surface RBR with a surface plant soil layer
- Storm runoff, generates from a section of the ROW, is captured by one or multiple inlets (e.g., curb cuts or openings) to a RBR, either on a sidewalk or the median of the road. It can be integrated into the neighborhood green space or flower beds. A typical RBR consists of the top vegetation layer, intermediate filter media (e.g., sandy loam), intermediate transition layer (e.g., coarse sand), a drainage layer (e.g., coarse sand and gravel) with, and without, a perforated underdrain collection pipe [7]. Runoff entering the RBR can temporarily pond at the surface layer and subsequently infiltrate into the various layers of the bio-retention cell. There may be an overflow pipe at the surface layer for excess runoff conveyance. The percolated runoff can go, either to the surrounding native soil, or an underdrain pipe connecting back to the road storm sewer [8].
- (2)
- Underground RBR without a surface layer (Figure 1)
- The layout of this RBR is similar to the conventional one except the absence of the top soil-plant layer. This type of RBR is commonly used in highly urbanized area. The inlets can be in the form of a grate and/or curb opening catch basin, which conveys the captured runoff to the bio-retention cell through an upper perforated flow distribution pipe. The percolated runoff can go either to the surrounding native soil and/or an underdrain pipe connecting back to the road storm sewer. It is useful for highly urbanized areas, since it can be constructed under the sidewalk and part of the road without affecting parking space [9].
- (1)
- Laboratory scale research
- Laboratory studies of RBR using bio-retention boxes and columns have focused on hydrologic performance [10,11], water quality treatment [12], heavy metal removal efficiency [13,14], organic carbon removal efficiency [15,16], nutrient removal efficiency [17,18], effect of salts on performance [13,19,20], and root effect on infiltration rates [11].
- (2)
- Field scale research
- Field studies of RBR have been conducted to investigate the effect of plant and fungal contributions to performance [21], soil phosphorus release [22], treatment efficiency of runoff highway bridge deck [23], heavy metal removal efficiency [24,25,26], nitrogen removal efficiency [27,28], greenhouse gas release [29,30], hydraulic properties and infiltration rates [31] and operation and maintenance [32,33].
- (3)
- Mathematical modeling research
2. Materials and Methods
2.1. A Dual Drainage Hydrologic Model for a Fully Utilized Underground RBR
2.2. Hydraulic Simulations of the Inflow Distribution along an Underground RBR
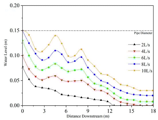
2.2.1. Experimental Investigations of Water Profiles along a Perforated Pipe
2.2.2. CFD Simulation of Water Profiles Long a Perforated Pipe
2.3. Overall Runoff Control Performance Analysis of a RBR with Outflow Adjustment for the Partially Filled Distribution Pipe
3. Results
3.1. Effect of Catch Basin Types on the Bypassed and Captured Runoff Hydrographs
3.1.1. Single and Twin Horizontal Bar/Fishbone Catch Basins
3.1.2. OPSD400.01 Catch Basins
3.1.3. Single and Twin Grid Catch Basins
3.1.4. Single and Twin Honeycomb Catch Basins
3.1.5. Performance Comparison of All Catch Basins
3.2. Effect of Inflow Distribution on the Overall Runoff Control Performance of the RBR
4. Discussion
5. Conclusions and Recommendations
- No matter how well a RBR is designed (e.g., soil porosity, types of soil, and other outlet features), the inlet dictates its overall runoff control performance. Catch basins are storm inlets and their intercepting capacities vary according to their design (longitudinal and cross slope of road, grate openings and orientation, curb openings). In order to capture more runoff to a RBR, double curb and grate catch basins or multiple inlets should be considered. Recent research studies [49,53,54] also indicate that the traditional hydraulic calculations of catch basin efficiencies may not be adequate. Thus, future investigations of RBR performance should update the traditional inlet efficiency curves of currently available catch basins.
- The overall runoff control performance of RBR is dependent upon the distribution of inflow over the RBR. In order to fully utilize a RBR, a detailed hydraulic analysis of the inflow distribution pipe, including the perforation size, orientation, spacing, should be performed. Although the case study does not show any significant difference in runoff control performance between the partially and fully utilized RBR, there are situations in which the partially utilized RBR may be important. For instance, if the perforation size is large and their spacing is short, short-curcuiting of flow through the RBR may occur, resulting in large periods of partially utilized RBR and low runoff control performance. Perforated pipes are increasing used as conveyanace and exfiltration components in LIDs, such as grass swale-perforated pipes [66], infiltration trenches [59], exfiltration storage systems [6] and bioretentions [7]. Unfortunately, detailed perforated pipe hydraulic analyses [60,61] are rarely considered in LID modeling. Future research of RBR should not only focus on the associated chemical and biological processes but also the hydraulics of flows at the inlet and perforated distribution pipes.
Author Contributions
Funding
Acknowledgments
Conflicts of Interest
References
- Li, J.; Banting, D.; Joksimovic, D.; Fan, C.; Eric, M.; Lawson, S.; Ahmed, N.; Hahn, K.; Mirzajani, M. Evaluation of Low Impact Development Stormwater Technologies for the Uncontrolled Urban Areas in the Lake Simcoe. In A Report Prepared the Lake Simcoe Region Conservation Authority; Ryerson University: Toronto, ON, Canada, 2010. [Google Scholar]
- Low Impact Development Center, Inc. Introduction to LID: Frequently Asked Questions. In LID Urban Design Tools. 2007. Available online: http://www.lid-stormwater.net/index.html (accessed on 22 February 2019).
- Transportation Association of Canada. Geometric Design Guide for Canadian Roads; Transportation Association of Canada: Ottawa, ON, Canada, 2017. [Google Scholar]
- Alam, M.D.; Anwar, A.H.M.; Heitz, A.; Sarker, D.C. Improving Stormwater Quality at Source using Catch Basin Inserts. J. Environ. Manag. 2018, 228, 393–404. [Google Scholar] [CrossRef] [PubMed]
- Alam, M.D.; Anwar, A.H.M.; Sarker, D.C.; Heitz, A.; Rothleitner, C. Characterising Stormwater Gross Pollutants Captured in Catch Basin Inserts. J. Environ. Manag. 2017, 586, 76–86. [Google Scholar] [CrossRef] [PubMed]
- Li, J.; Joksimovic, D.; Tran, J. A Right-of-Way Stormwater Low Impact Development Practice. J. Water Manag. Model. 2015. [Google Scholar] [CrossRef]
- Shafique, M. A Review of the Bioretention System for Sustainable Storm Water Management in Urban Areas. Mater. Geoenvironment 2016, 63, 227–235. [Google Scholar] [CrossRef]
- Department of Environmental Resources, The Prince George’s County, Maryland. Bioretention Manual. 2007. Available online: https://www.slideshare.net/Sotirakou964/md-prince-georges-county-bioretention-manual (accessed on 2 March 2020).
- Li, J.; Joksimovic, D.; Chen, L. Stormwater Performance Evaluation of Soil Cells. In A Report to the City of Toronto; Ryerson University: Toronto, ON, Canada, 2018. [Google Scholar]
- Li, M.-H.; Chan, Y.S.; Kim, M.H.; Chu, K.-H. Assessing Performance of Bioretention Boxes in Hot and Semiarid Regions. Transp. Res. Rec. J. Transp. Res. Board 2011, 2262, 155–163. [Google Scholar] [CrossRef]
- Hart, T.D. Root-enhanced Infiltration in Stormwater Bioretention Facilities in Portland, Oregon. Ph.D. Thesis, Portland State University, Portland, Oregon, OH, USA, 2017. [Google Scholar]
- Singh, R.P.; Zhao, F.; Ji, Q.; Saravanna, J.; Fu, D. Design and Performance Characterization of Roadside Bioretention Systems. Sustainability 2019, 11, 2040. [Google Scholar] [CrossRef]
- Soberg, L.C.; Viklander, M.; Blecken, G.-T. Do Salt and Low Temperature Impair Metal Treatment in Stormwater Bioretention Cells with or without a Submerged One. Sci. Total Environ. 2017, 579, 1588–1599. [Google Scholar] [CrossRef]
- Li, Y.; Wen, M.; Li, J.; Chai, B.; Jiang, C. Reduction and Accumulative Characteristics of Dissolved Heavy Metals in Modified Bioretention Media. Water 2018, 10, 1488. [Google Scholar] [CrossRef]
- Mullane, J.M.; Flury, M.; Iqbal, H.; Freeze, P.; Hinman, C.; Cogger, C.G.; Shi, Z. Intermittent Rain Storms Cause Pulses of Nitrogen, Phosphorus, and Copper in Leachate from Compost in Bioretention Systems. Sci. Total Environ. 2015, 537, 294–303. [Google Scholar] [CrossRef]
- Bjorklund, K.; Li, L. Removal of Organic Contaminants in Bioretention Medium Amended with Activated Carbon from Sewage Sludge. Environ. Sci. Pollut. Res. 2017, 24, 19167–19180. [Google Scholar] [CrossRef]
- Blecken, G.-T.; Zinger, Y.; Deletic, A.; Fletcher, T.D.; Hedstrom, A.; Viklander, M. Laboratory Study on Stormwater Biofiltration: Nutrient and Sediment Removal in Cold Temperatures. J. Hydrol. 2010, 394, 507–514. [Google Scholar] [CrossRef]
- Rycewicz-Borecki, M.; McLean, J.E.; Dupont, R.R. Nitrogen and Phosphorus Mass Balance, Retention and Uptake in Six Plant Species Grown in Stormwater Bioretention Mirocosms. Ecol. Eng. 2017, 99, 409–416. [Google Scholar] [CrossRef]
- Endreny, T.; Burke, D.J.; Burchhardt, K.M.; Fabian, M.W.; Kretzer, A.M. Bioretention Column Study of Bacteria Community Response to Salt-Enriched Artificial Stormwater. J. Environ. Qual 2012, 41, 1951–1959. [Google Scholar] [CrossRef]
- Denich, C.; Bradford, A.; Drake, J. Bioretention: Assessing Effects of Winter Salt and Aggregate Application on Plant Health, Media Clogging and Effluent Quality. Water Qual. Res. J. Can. 2013, 48, 387–399. [Google Scholar] [CrossRef]
- Taylor, A.; Wetzel, J.; Mudrock, E.; King, K.; Cameron, J.; Davis, J.; McIntyre, J. Engineering Analysis of Plant and Fungal Contributions to Bioretention Performance. Water 2018, 10, 1226. [Google Scholar] [CrossRef]
- Shetterly, B.J. Soil Phosphorus Characterization and Vulnerability to Release in Urban Stormwater Bioretention Facilities. Master’s Thesis, Portland State University, Portland, Oregon, OH, USA, 2018. [Google Scholar]
- Luell, S.K.; Hunt, W.F.; Winston, R.J. Evaluation of Undersized Bioretention Stormwater Control Measures for Treatment of Highway Bridge Deck Runoff. Water Sci. Technol. 2011, 64, 974–979. [Google Scholar] [CrossRef]
- Lacy, S. The Fate of Heavy Metals in Highway Stormwater Runoff: The Characterization of a Bioretention Basin in the Midwest. Master’s Thesis, University of Kansas, Lawrence, KS, USA, 2007. [Google Scholar]
- Muthanna, T.M.; Viklander, M.; Blecken, G.; Thorolfsson, S.T. Snowmelt Pollutant Removal in Bioretention Areas. Water Res. 2007, 41, 4061–4072. [Google Scholar] [CrossRef]
- Kluge, B.; Markert, A.; Facklam, M.; Sommer, H.; Kaiser, M.; Pallasch, M.; Wessolek, G. Metal Accumulation and Hydraulic Performance of Bioretention Systems after Long-term Operation. J. Soils Sediment 2018, 18, 431–441. [Google Scholar] [CrossRef]
- Chen, X.; Peltier, E.; Sturm, B.S.M.; Young, C.B. Nitrogen Removal and Nitrifying and Denitrifying Bacteria Quantification in a Stormwater Bioretention System. Water Res. 2013, 47, 1691–1700. [Google Scholar] [CrossRef]
- Shrestha, P.; Hurley, S.E.; Wemple, B.C. Effects of Different Soil Media, Vegetation, and Hydrologic Treatments on Nutrient and Sediment Removal in Roadside Bioretention Systems. Ecol. Eng. 2018, 112, 116–131. [Google Scholar] [CrossRef]
- Grover, S.P.P.; Cohan, A.; Chan, H.S.; Livesley, S.J.; Beringer, J.; Daly, E. Occasional Large Emissions of Nitrous Oxide and Methane Observed in Stormwater Biofiltration Systems. Sci. Total Environ. 2013, 465, 64–71. [Google Scholar] [CrossRef]
- Shrestha, P.; Hurley, S.E.; Adair, E.C. Soil Media CO2 and N2O Fluxes Dynamics from Sand-Based Roadside Bioretention Systems. Water 2018, 10, 185. [Google Scholar] [CrossRef]
- Kansom, T.; Tedoldi, D.; Gromaire, M.C.; Ramier, D.; Saad, M.; Chebbo, G. Horizontal and Vertical Variability of Soil Hydraulic Properties in Roadside Sustainable Drainage Systems (SuDS)-Nature and Implications for Hydrological Performance Evaluation. Water 2018, 10, 987. [Google Scholar] [CrossRef]
- Hunt, W.F.; Lord, B.; Loh, B.; Sia, A. Plant Selection for Bioretention Systems and Stormwater Treatment Practices; Springer: Singapore, 2015; ISBN 9789812872449. [Google Scholar]
- Hartung, E.W. Aging Bioretention Cells: Do They Still Function to Improve Water Quality. Master’s Thesis, Kent State University, Kent, OH, USA, 2017. [Google Scholar]
- Palhegyi, G.E. Modeling and Sizing Bioretention Using Flow Duration Control. J. Hydrol. Eng. 2010, 15, 417–425. [Google Scholar] [CrossRef]
- Baek, S.-S.; Ligaray, M.; Park, J.-P.; Shin, H.-S.; Kwon, Y.S.; Brascher, J.T.; Cho, K.H. Developing a Hydrological Simulation Tool to Design Bioretention in a Watershed. Env. Model. Softw. 2017, 1–12. [Google Scholar] [CrossRef]
- Zhang, K.; Chui, M.T.F. A Review on Implementing Infiltration-Based Green Infrastructure in Shallow Groundwater Environments: Challenges, Approaches, and Progress. J. Hydrol. 2019, 579, 1–15. [Google Scholar] [CrossRef]
- Roy-Poirier, A.; Champagne, P.; Filion, Y. Review of Bioretention System Research and Design: Past, Present, and Future. J. Env. Engrg. ASCE 2010, 136, 878–889. [Google Scholar] [CrossRef]
- Gulbaz, S.; Kazezyilmaz-Alhan, C.M. An Evaluation of Hydrologic Modeling Performance of EPA SWMM for Bioretention. Water Sci. Technol. 2017, 76, 3035–3043. [Google Scholar] [CrossRef]
- Gao, J.; Pan, J.; Hu, N.; Xie, C. Hydrologic Performance of Bioretention in an Expressway Service Area. Water Sci. Technol. 2018, 77, 1829–1837. [Google Scholar] [CrossRef]
- Brown, R.A. Evaluation of Bioretention Hydrology and Pollutant Removal in the Upper Coastal Plain of North Carolina with Development of a Bioretention Modeling Application in DRAINMOD. Ph.D. Thesis, North Carolina State University, Raleigh, NC, USA, 2011. [Google Scholar]
- He, Z.; Davis, A. Process Modeling of Storm-Water Flow in a Bioretention Cell. J. Irrig. Drain. Eng. ASCE 2011, 137, 121–131. [Google Scholar] [CrossRef]
- Meng, Y.; Wang, H.; Chen, J.; Zhang, S. Modeling Hydrology of a Singel Bioretention System with HYDRUS-1D. Sci. World J. 2014, 1–10. [Google Scholar] [CrossRef]
- Stewart, R.D.; Lee, J.G.; Shuster, W.D.; Darner, R.A. Modelling Hydrological Response to a Fully-Monitored Urban Bioretention Cell. Hydrol. Process. 2017, 31, 4626–4638. [Google Scholar] [CrossRef]
- Wang, J.; Chua, L.H.C.; Shanahan, P. Hydrological Modeling and Field Validation of a Bioretention Basin. J. Environ. Manag. 2019, 240, 149–159. [Google Scholar] [CrossRef] [PubMed]
- Li, W.S.; Sorteberg, K.K.; Geyer, J.C. Hydraulic Behavior of Storm-Water Inlets: II. Flow into Curb-Opening Inlets. Sew. Ind. Wastes 1951, 23, 722–7398. [Google Scholar]
- Li, W.-H.; Goodell, B.C.; Geyer, J.C. Hydraulic Behavior of Storm-Water Inlets: III. Flow into Deflector Inlets. Sew. Ind. Wastes 1954, 26, 836–842. [Google Scholar]
- Bock, P.; Li, W.-H.; Geyer, J.C. Hydraulic Behavior of Storm-Water Inlets: V. A Simplified Method of Determining Capacities of Single and Multiple Inlets. Sew. Ind. Wastes 1956, 28, 774–784. [Google Scholar]
- Argue, J.R.; Pezzaniti, D. How Reliable are Inlet (Hydraulic) Models at Representing Stormwater Flow. Sci. Total Environ. 1996, 180/190, 355–359. [Google Scholar] [CrossRef]
- Guo, J.C.Y.; MacKenzie, K.A.; Mommandi, A. Design of Street Sump Inlet. J. Hydraul. Eng. ASCE 2009, 135, 1000–1004. [Google Scholar] [CrossRef]
- Gomez, M.; Recasens, J.; Russo, B.; Martinez-Gomariz, E. Assessment of Inlet Efficiency through a 3D Simulation: Numerical and Experimental Comparison. Water Sci. Technol. 2016, 74, 1926–1935. [Google Scholar] [CrossRef]
- Tang, Y.; Zhu, D.; Rajaratnam, N.; Duin, B.V. Experimental Study of Hydraulics and Sediment Capture Efficiency in Catchbasins. Water Sci. Technolo. 2016, 74, 2717–2726. [Google Scholar] [CrossRef]
- Veerappan, R.; Le, J. Hydraulic Efficiency of Road Drainage Inlets for Storm Drainage System under Clogging Effect. In Proceedings of the Proc. 5th International Conference on Flood Risk Management and Response, San Servolo, Italy, 29 June–1 July 2016; pp. 271–281. [Google Scholar]
- Schalla, F.E.; Ashraf, M.; Barrett, M.E.; Hodges, B.R. Limitations of Traditional Capacity Equations for Long Curb Inlets. Transp. Res. Rec. J. Transp. Res. Board 2017, 2638, 97–103. [Google Scholar] [CrossRef]
- Rubinato, M.; Lee, S.; Martins, R.; Shucksmith, J.D. Surface to Sewer Flow Exchange through Circular Inlets during Urban Flood Conditions. J. Hydroinformatics 2018, 20, 564–576. [Google Scholar] [CrossRef]
- Virahsawmy, H.K.; Stewardson, M.J.; Vietz, G.; Fletcher, T.D. Factors that Affect the Hydraulic Performance of Raingardens: Implications for Design and Maintenance. Water Sci. Technolo. 2014, 69, 982–988. [Google Scholar] [CrossRef]
- Li, X.; Fang, X.; Gong, Y.; Li, J.; Wang, J.; Chen, G.; Li, M.-H. Evaluating the Road-Bioretention Strip System from a Hydraulic Perspective—Case Studies. Water 2018, 10, 1788. [Google Scholar] [CrossRef]
- SWMM. Available online: https://www.epa.gov/water-research/storm-water-management-model-swmm (accessed on 2 March 2020).
- PCSWMM. Available online: https://www.pcswmm.com/ (accessed on 10 April 2020).
- Duchene, M.; McBean, E.A. Discharge Characteristics of Perforated Pipe for Use in Infiltration Trenchces. Water Res. Bull. AWWA 1992, 28, 517–524. [Google Scholar] [CrossRef]
- Afrin, T.; Khan, A.A.; Kaye, N.B.; Testik, F.Y. Numerical Model for the Hydraulic Performance of Perforated Pipe Underdrains Surrounded by Loose Aggregate. J. Hyraulic. Eng. ASCE 2016, 142, 1–10. [Google Scholar] [CrossRef]
- Liu, H.; Zong, Q.; Lv, H.; Jin, J. Analytical Equation for Outflow along the Flow in a Perforated Fluid Distribution Pipe. PLoS ONE 2017, 12, 1–18. [Google Scholar] [CrossRef]
- Qin, Z.; Liu, H.; Wang, Y. Empirical and Quantitative Study of the Velocity Distribution Index of the Perforated Pipe Outflowing Along a Pipeline. Flow Meas. Instrum. 2017, 58, 46–51. [Google Scholar] [CrossRef]
- Paul, U.; Karpf, C.; Schalk, T. Hydraulic Simulation of Perforated Pipe Systems Feeding Vertical Flow Constructed Wetlands. Water Sci. Technolo. 2018, 77, 1431–1440. [Google Scholar] [CrossRef]
- FLOW-3D. Available online: https://www.flow3d.com/ (accessed on 2 March 2020).
- City of Toronto InfoWorks CS Basement Flooding Model Studies Guideline. Available online: https://wx.toronto.ca/inter/pmmd/callawards.nsf/0/85258049005DEA63852580BB005C66C0/$file/9117-17-7015%20Addendum%203%20Attachment%20-%20Modelling%20Guidelines_October%202014.pdf (accessed on 13 April 2020).
- Abida, H.; Sabourin, J.F.; Ellouze, M. ANSWAPPS: Model for the Analysis of Grass Swale-Perforated Pipe Systems. J. Irrig. Drain. Eng. ASCE 2007, 133, 211–221. [Google Scholar] [CrossRef]















| Inputs | Drainage-Area | Bioretention |
|---|---|---|
| Area (ha) | 0.1074 | 0.0059 |
| Flow Length (m) | 74.554 | 18.081 |
| Width (m) | 14.352 | 3.2 |
| Slope (%) | 0.8 | 0.5 |
| Imperv. (%) | 100 | 0 |
| N Imperv | 0.011 | 0.011 |
| N Perv | 0.1 | 0.24 |
| Dstore Imperv (mm) | 1.25 | 0.127 |
| Dstore Perv (mm) | 2.5 | 0.508 |
| Zero Imperv (%) | 100 | 0 |
| Inputs | Street | Sewer1 |
|---|---|---|
| Length (m) | 74.552 | 70 |
| Roughness | 0.016 | 0.011 |
| Inlet Elevation (m) | 91.03 | 90.43 |
| Outlet Elevation (m) | 90.43 | 89.87 |
| Cross-Section | Irregular | Circular |
| Geom 1 (m) | Transect: Street1 | 0.5 |
| Surface Layer | ||||||
|---|---|---|---|---|---|---|
| Berm Height (mm) | Vegetation Volume (fraction) | Surface Roughness (Manning’s n) | Surface Slope (%) | |||
| 0.001 | 0 | 0.1 | 0.001 | |||
| Soil Layer | ||||||
| Thickness (mm) | Porosity (volume fraction) | Field Capacity (volume fraction) | Witling Point (volume fraction) | Conductivity (mm/h) | Conductivity Slope | Suction Head (mm) |
| 600 | 0.437 | 0.105 | 0.047 | 29.97 | 10 | 60.96 |
| Storage Layer | ||||||
| Thickness (mm) | Void Ratio (voids/solids) | Seepage Rate (mm/h) | Clogging Factor | |||
| 600 | 0.5 | 0 | 0 | |||
| Underdrain | ||||||
| Drain Coefficient (mm/h) | Drain Exponent | Drain Offset Height (mm) | ||||
| 339.17 | 0.5 | 0 | ||||
| Single & Twin Horizontal Bar/Fishbone Catch Basins | 2-Year | 5-Year | 10-Year | 25-Year | 100-Year |
|---|---|---|---|---|---|
| Peak Runoff Rate Reduction (%) | 24.3 | 20.2 | 17.8 | 16.6 | 12.6 |
| Runoff Volume Controlled (%) | 35.6 | 32.8 | 32.2 | 32.1 | 32.8 |
| OPSD400.01 Catch Basin | 2-Year | 5-Year | 10-Year | 25-Year | 100-Year |
|---|---|---|---|---|---|
| Peak Runoff Rate Reduction (%) | 13.4 | 10.1 | 9.1 | 8.2 | 7.1 |
| Runoff Volume Controlled (%) | 42.8 | 38.8 | 37.2 | 35.8 | 33.7 |
| Single & Twin Grid Catch Basins | 2-Year | 5-Year | 10-Year | 25-Year | 100-Year |
|---|---|---|---|---|---|
| Peak Runoff Rate Reduction (%) | 22.2 | 17.8 | 16.1 | 14.2 | 12.5 |
| Runoff Volume Controlled (%) | 36.4 | 33.2 | 32.5 | 32 | 32.3 |
| Single & Twin Honeycomb Catch Basins | 2-Year | 5-Year | 10-Year | 25-Year | 100-Year |
|---|---|---|---|---|---|
| Peak Runoff Rate Reduction (%) | 12.3 | 9.6 | 7.9 | 7.6 | 6.3 |
| Runoff Volume Controlled (%) | 43.9 | 39.9 | 38.3 | 36.8 | 34.5 |
© 2020 by the authors. Licensee MDPI, Basel, Switzerland. This article is an open access article distributed under the terms and conditions of the Creative Commons Attribution (CC BY) license (http://creativecommons.org/licenses/by/4.0/).
Share and Cite
Li, J.; Alinaghian, S.; Joksimovic, D.; Chen, L. An Integrated Hydraulic and Hydrologic Modeling Approach for Roadside Bio-Retention Facilities. Water 2020, 12, 1248. https://doi.org/10.3390/w12051248
Li J, Alinaghian S, Joksimovic D, Chen L. An Integrated Hydraulic and Hydrologic Modeling Approach for Roadside Bio-Retention Facilities. Water. 2020; 12(5):1248. https://doi.org/10.3390/w12051248
Chicago/Turabian StyleLi, James, Seyed Alinaghian, Darko Joksimovic, and Lianghao Chen. 2020. "An Integrated Hydraulic and Hydrologic Modeling Approach for Roadside Bio-Retention Facilities" Water 12, no. 5: 1248. https://doi.org/10.3390/w12051248
APA StyleLi, J., Alinaghian, S., Joksimovic, D., & Chen, L. (2020). An Integrated Hydraulic and Hydrologic Modeling Approach for Roadside Bio-Retention Facilities. Water, 12(5), 1248. https://doi.org/10.3390/w12051248

