Potential Application of Chilean Natural Zeolite as a Support Medium in Treatment Wetlands for Removing Ammonium and Phosphate from Wastewater
Abstract
1. Introduction
2. Materials and Methods
2.1. Zeolite
2.2. Batch Assays for the Study of Adsorption Characteristics
2.3. Analytical Methods
2.4. Adsorption Modelling
2.5. Statistical Analysis
3. Results and Discussions
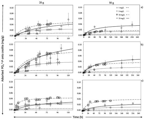
3.1. Batch Assays for Adsorption Characterization
3.2. Adsorption Modelling
4. Discussion
5. Conclusions
Author Contributions
Funding
Acknowledgments
Conflicts of Interest
References
- Vera, I.; García, J.; Sáez, K.; Moragas, L.; Vidal, G. Performance evaluation of eight years experience of constructed wetland systems in Catalonia as alternative treatment for small communities. Ecol. Eng. 2011, 37, 364–371. [Google Scholar] [CrossRef]
- Carvalho, P.N.; Arias, C.A.; Brix, H. Constructed Wetlands for Water Treatment: New Developments. Water 2017, 9, 397. [Google Scholar] [CrossRef]
- Machado, A.I.; Beretta, M.; Fragoso, R.; Duarte, E. Overview of the state of the art of constructed wetlands for decentralized wastewater management in Brazil. J. Environ. Manag. 2017, 187, 560–570. [Google Scholar] [CrossRef] [PubMed]
- Rozema, E.R.; Rozema, L.R.; Zheng, Y. A vertical flow constructed wetland for the treatment of winery process water and domestic sewage in Ontario, Canada: Six years of performance data. Ecol. Eng. 2016, 86, 262–268. [Google Scholar] [CrossRef]
- Rojas, K.; Vera, I.; Vidal, G. Influencia de la estación y de las especies Phragmites australis y Schoenoplectus californicus en la eliminación de materia orgánica y nutrientes contenidos en aguas servidas durante la operación de puesta en marcha de humedales construidos de flujo horizontal subsuperficial. Rev. Fac. Ing. Univ. Antioq. 2013, 69, 289–299. [Google Scholar]
- Langergraber, G. Applying Process-Based Models for Subsurface Flow Treatment Wetlands: Recent Developments and Challenges. Water 2017, 9, 5. [Google Scholar] [CrossRef]
- Tunҫsiper, B.; Drizo, A.; Twohig, E. Constructed wetlands as a potential management practice for cold climate dairy effluent treatment -VT, USA. Catena 2015, 135, 184–192. [Google Scholar] [CrossRef]
- Wu, S.; Kuschk, P.; Brix, H.; Vymazal, J.; Dong, R. Development of constructed wetlands in performance intensifications for wastewater treatment: A nitrogen and organic matter targeted review. Water Res. 2014, 57, 40–55. [Google Scholar] [CrossRef] [PubMed]
- Dai, H.; Hu, F. Phosphorus adsorption capacity evaluation for the substrates used in constructed wetland systems: A comparative study. Pol. J. Environ. Stud. 2017, 26, 1003–1010. [Google Scholar] [CrossRef]
- Andrés, E.; Araya, F.; Vera, I.; Pozo, G.; Vidal, G. Phosphate removal using zeolite in treatment wetlands under different oxidation-reduction potentials. Ecol. Eng. 2018, 117, 18–27. [Google Scholar] [CrossRef]
- Wendling, L.A.; Blomberg, P.; Sarlin, T.; Priha, O.; Arnold, M. Phosphorus sorption and recovery using mineral-based materials: Sorption mechanisms and potential phytoavailability. Appl. Geochem. 2013, 37, 157–169. [Google Scholar] [CrossRef]
- Behin, J.; Ghadamnan, E.; Kazemian, H. Recent advances in the science and technology of natural zeolites in Iran. Clay Miner. 2019, 54, 131–144. [Google Scholar] [CrossRef]
- Jakkula, V.S.; Wani, S.P. Zeolites: Potential soil amendments for improving nutrient and water use efficiency and agriculture productivity. Sci. Rev. Chem. Commun. 2018, 8, 1–15. [Google Scholar]
- Eroglu, N.; Emekci, M.; Athanassiou, C.G. Applications of natural zeolites on agriculture and food production. J. Sci. Food Agric. 2017, 97, 3487–3499. [Google Scholar] [CrossRef] [PubMed]
- Araya, F.; Vera, I.; Sáez, K.; Vidal, G. Effects of aeration and natural zeolite on ammonium removal during the treatment of sewage by mesocosm-scale constructed wetlands. Environ. Technol. 2016, 37, 1811–1820. [Google Scholar] [CrossRef]
- You, X.; Valderrama, C.; Cortina, J.L. Simultaneous recovery of ammonium and phosphate from simulated treated wastewater effluents by activated calcium and magnesium zeolites. J. Chem. Technol. Biotechnol. 2017, 92, 2400–2409. [Google Scholar] [CrossRef]
- Petzet, S.; Cornel, P. Phosphorus recovery from wastewater. In Waste as a Resource; Hester, R., Harrison, R., Eds.; Issue in Environmental Science and Technology, RSC Publishing; The Royal Society of Chemistry: Cambridge, UK, 2013; Volume 37, pp. 110–143. [Google Scholar] [CrossRef]
- Vera, I.; Jorquera, C.; López, D.; Vidal, G. Constructed Wetlands for Wastewater Treatment and Reuse in Chile: Reflections. Tecnol. Cienc. Agua 2016, 7, 19–35. [Google Scholar]
- Qiu, Y.; Shi, H.C.; He, M. Nitrogen and phosphorous removal in municipal wastewater treatment plants in China: A review. Int. J. Chem. Eng. 2010, 2010. [Google Scholar] [CrossRef]
- Ferrentino, R.; Ferraro, A.; Mattei, M.R.; Esposito, G.; Andreottola, G. Process performance optimization and mathematical modelling of a SBR-MBBR treatment at low oxygen concentration. Process Biochem. 2018, 75, 230–239. [Google Scholar] [CrossRef]
- Leiva, A.M.; Núñez, R.; Gómez, G.; López, D.; Vidal, G. Performance of ornamental plants in monoculture and polyculture horizontal subsurface flow constructed wetlands for treating wastewater. Ecol. Eng. 2018, 120, 116–125. [Google Scholar] [CrossRef]
- Wang, S.; Peng, Y. Natural zeolites as effective adsorbents in water and wastewater treatment. Chem. Eng. J. 2010, 156, 11–24. [Google Scholar] [CrossRef]
- Wallis, J.E. Selecting Filter Media for Phosphorus Removal at the Ennis National Fish Hatchery Three-Stage Subsurface Flow Treatment Wetland. Ph.D. Thesis, College of Engineering, Montana State University-Bozeman, Bozeman, MT, USA, 2017. Available online: https://scholarworks.montana.edu/xmlui/handle/1/13519 (accessed on 2 March 2020).
- Brix, H.; Schierup, H.; Arias, C. Twenty years experience with constructed wetland systems in Denmark—What did we learn? Water Sci. Technol. 2007, 56, 63–68. [Google Scholar] [CrossRef] [PubMed]
- Tatoulis, T.; Akratos, C.S.; Tekerlekopoulou, A.G.; Vayenas, D.V.; Stefanakis, A.I. A novel horizontal subsurface flow constructed wetland: Reducing area requirements and clogging risk. Chemosphere 2017, 186, 257–268. [Google Scholar] [CrossRef] [PubMed]
- Vera, I.; Araya, F.; Andrés, E.; Sáez, K.; Vidal, G. Enhanced phosphorus removal from sewage in mesocosm-scale constructed wetland using zeolite as medium and artificial aeration. Environ. Technol. 2014, 35, 1639–1649. [Google Scholar] [CrossRef] [PubMed]
- Guerrero, L.; Montalvo, S.; Huiliñir, C.; Barahona, A.; Borja, R.; Cortés, A. Simultaneous nitrification–denitrification of wastewater: Effect of zeolite as a support in sequential batch reactor with step-feed strategy. Int. J. Environ. Sci. Technol. 2016, 13, 2325–2338. [Google Scholar] [CrossRef]
- Montalvo, S.J.; Guerrero, L.E.; Milán, Z.; Borja, R. Nitrogen and phosphorus removal using a novel integrated system of natural zeolite and lime. J. Environ. Sci. Health Part A 2011, 46, 1385–1391. [Google Scholar] [CrossRef]
- Englert, A.H.; Rubio, J. Characterization and environmental application of a Chilean natural zeolite. Int. J. Miner. Process. 2005, 75, 21–29. [Google Scholar] [CrossRef]
- Kurniawan, T. Kinetic and Isotherm Study of Ammonium Sorption Using Natural Zeolites from Lampung. In Proceedings of the IOP Conference Series: Materials Science and Engineering, December 2019; IOP Publishing: Broad Exposure to Science and Technology 2019 (BEST2019), Bali, Indonesia, 7–8 August 2019; Volume 673, pp. 12–33. [Google Scholar] [CrossRef]
- Aydın Temel, F.; Kuleyin, A. Ammonium removal from landfill leachate using natural zeolite: Kinetic, equilibrium, and thermodynamic studies. Desalin. Water Treat. 2016, 57, 23873–23892. [Google Scholar] [CrossRef]
- Moharami, S.; Jalali, M. Removal of phosphorus from aqueous solution by Iranian natural adsorbents. Chem. Eng. J. 2013, 223, 328–339. [Google Scholar] [CrossRef]
- Girijaveni, V.; Reddy, K.S.; Sharma, K.L.; Chandrasekhar, C. Phosphorus Adsorption Characteristics of Natural Zeolite: A Laboratory Study. Indian J. Dryland Agric. Res. Dev. 2018, 33, 68–71. [Google Scholar] [CrossRef]
- Alshameri, A.; He, H.; Dawood, A.S.; Zhu, J. Simultaneous removal of and from simulated reclaimed waters by modified natural zeolite. Preparation, characterization and thermodynamics. Environ. Prot. Eng. 2017, 43. [Google Scholar] [CrossRef]
- Taddeo, R.; Prajapati, S.; Lepistö, R. Optimizing ammonium adsorption on natural zeolite for wastewaters with high loads of ammonium and solids. J. Porous Mater. 2017, 24, 1545–1554. [Google Scholar] [CrossRef]
- Sellner, B.M.; Hua, G.; Ahiablame, L.M.; Trooien, T.P.; Hay, C.H.; Kjaersgaard, J. Evaluation of industrial by-products and natural minerals for phosphate adsorption from subsurface drainage. Environ. Technol. 2019, 40, 1–12. [Google Scholar] [CrossRef]
- Mazloomi, F.; Jalali, M. Ammonium removal from aqueous solutions by natural Iranian zeolite in the presence of organic acids, cations and anions. J. Environ. Chem. Eng. 2016, 4, 240–249. [Google Scholar] [CrossRef]
- Millot, Y.; Troesch, S.; Esser, D.; Molle, P.; Morvannou, A.; Gourdon, R.; Rousseau, D.P. Effects of design and operational parameters on ammonium removal by single-stage French vertical flow filters treating raw domestic wastewater. Ecol. Eng. 2016, 97, 516–523. [Google Scholar] [CrossRef]
- Ju, X.; Wu, S.; Zhang, Y.; Dong, R. Intensified nitrogen and phosphorus removal in a novel electrolysis-integrated tidal flow constructed wetland system. Water Res. 2014, 59, 37–45. [Google Scholar] [CrossRef]
- Liu, M.; Wu, S.; Chen, L.; Dong, R. How substrate influences nitrogen transformations in tidal flow constructed wetlands treating high ammonium wastewater? Ecol. Eng. 2014, 73, 478–486. [Google Scholar] [CrossRef]
- Karapinar, N. Application of natural zeolite for phosphorus and ammonium removal from aqueous solutions. J. Hazard. Mater. 2009, 170, 1186–1191. [Google Scholar] [CrossRef]
- Baghaie, A.H.; Aghili, F.; Jafarinia, R. Soil-indigenous arbuscular mycorrhizal fungi and zeolite addition to soil synergistically increase grain yield and reduce cadmium uptake of bread wheat (through improved nitrogen and phosphorus nutrition and immobilization of Cd in roots). Environ. Sci. Pollut. Res. 2019, 26, 30794–30807. [Google Scholar] [CrossRef]
- Superchi, P.; Saleri, R.; Ossiprandi, M.C.; Riccardi, E.; Passaglia, E.; Cavalli, V.; Beretti, V.; Sabbioni, A. Natural zeolite (chabazite/phillipsite) dietary supplementation influences faecal microbiota and oxidant status of working dogs. Ital. J. Anim. Sci. 2017, 16, 115–121. [Google Scholar] [CrossRef]
- Domínguez, V.; Martínez, M.; Vidal, G. Sorptive behavior of clorophenols on river volcanic sediment. Bull. Environ. Contam. Toxicol. 2004, 731, 519–526. [Google Scholar] [CrossRef]
- Mateus, D.M.; Pinho, H.J. Evaluation of solid waste stratified mixtures as constructed wetland fillers under different operation modes. J. Clean. Prod. 2020, 119986. [Google Scholar] [CrossRef]
- Acero, J.L.; Real, F.J.; Benitez, F.J.; Matamoros, E. Degradation of neonicotinoids by UV irradiation: Kinetics and effect of real water constituents. Sep. Purif. Technol. 2019, 211, 218–226. [Google Scholar] [CrossRef]
- American Public Health Association (APHA); American Water Works Association (AWWA); Water Environment Federation (WEF). Standard methods for the examination of water and wastewater. In American Public Health Association, 23rd ed.; 2017; APHA/AWWA/WEF: Washington, DC, USA, 2005; ISBN 9780875532875. [Google Scholar]
- Sanchez, A.; Hernández-Sánchez, P.; Puente, R. Hydration of lignocellulosic biomass. Modelling and experimental validation. Ind. Crops Prod. 2019, 131, 70–77. [Google Scholar] [CrossRef]
- Swenson, H.; Stadie, N.P. Langmuir’s theory of adsorption: A centennial review. Langmuir 2019, 35, 5409–5426. [Google Scholar] [CrossRef] [PubMed]
- Son, K.N.; Richardson, T.M.J.; Cmarik, G.E. Equilibrium Adsorption Isotherms for H2O on Zeolite 13X. J. Chem. Eng. Data 2019, 64, 1063–1071. [Google Scholar] [CrossRef]
- Lin, S.; Zhou, T.; Yin, S. Properties of thermally treated granular montmorillonite-palygorskite adsorbent (GMPA) and use to remove Pb2+ and Cu2+ from aqueous solutions. Clays Clay Miner. 2017, 65, 184–192. [Google Scholar] [CrossRef]
- Bruzzoniti, M.C.; De Carlo, R.M.; Rivoira, L.; Del Bubba, M.; Pavani, M.; Riatti, M.; Onida, B. Adsorption of bentazone herbicide onto mesoporous silica: Application to environmental water purification. Environ. Sci. Pollut. Res. 2016, 23, 5399–5409. [Google Scholar] [CrossRef]
- Jensen, S.; Blaikie, H.; Soehoel, H.; Alvarez, J.; Brix, H.; Arias, C. Newly developed materials for phosphorus removal, recovery and reuse from treatment wetlands. In Proceedings of the 8th International Symposium on Wetland Pollutant Dynamics and Control (Wetpol Conference), Aarhus, Denmark, 17–21 June 2019; Volume 316. [Google Scholar]
- Abedi, T.; Mojiri, A. Constructed wetland modified by biochar/zeolite addition for enhanced wastewater treatment. Environ. Technol. Innov. 2019, 16, 100472. [Google Scholar] [CrossRef]
- Del Bubba, M.; Arias, C.; Brix, H. Phosphorus adsorption maximum of sands for use as media in subsurface flow constructed reed beds as measured by the Langmuir isotherm. Water Res. 2003, 37, 3390–3400. [Google Scholar] [CrossRef]
- Park, J.H.; Jung, D.I. Removal of total phosphorus (TP) from municipal wastewater using loess. Desalination 2011, 269, 104–110. [Google Scholar] [CrossRef]
- Arias, C.; Del Bubba, M.; Brix, H. Phosphorus Removal by Sands for use as media in Subsurface Flow Constructed Reed Beds. Water Res. 2001, 35, 1159–1168. [Google Scholar] [CrossRef]
- Wu, S.; Carvalho, P.; Müller, J.; Manoj, V.; Dong, R. Sanitation in constructed wetlands: A review on the removal of human pathogens and fecal indicators. Sci. Total Environ. 2016, 541, 8–22. [Google Scholar] [CrossRef] [PubMed]
- Giraldi, D.; de’Michieli, M.; Zaramella, M.; Marion, A.; Iannelli, R. Hydrodynamics of vertical subsurface flow constructed wetlands: Tracer tests with rhodamine WT and numerical modelling. Ecol. Eng. 2009, 35, 265–273. [Google Scholar] [CrossRef]
- Silveira, D.; Belli Filho, P.; Philippi, L.; Kim, B.; Molle, P. Influence of partial saturation on total nitrogen removal in a single-stage French constructed wetland treating raw domestic wastewater. Ecol. Eng. 2015, 77, 257–264. [Google Scholar] [CrossRef]
- Henze, M.; Harremoes, P.; Jansen, J.; Arvin, E. Wastewater Treatment: Biological and Chemical Processes, 3rd, ed.; Environmental Science and Engineering/Environmental Engineering Series; Springer: Heidelberg, Germany, 2002; ISBN 9783642075902. [Google Scholar]
- Dotro, G.; Langergraber, G.; Molle, P.; Nivala, J.; Puigagut, J.; Stein, O.; Von Sperling, M. Treatment Wetlands; Biological Wastewater Treatment Series; IWA Publishing: London, UK, 2017; ISBN 9781780408767. [Google Scholar]
- Drizo, A.; Frost, C.A.; Grace, J.; Smith, K.A. Physico-chemical screening of phosphate-removing substrates for use in constructed wetland systems. Water Res. 1999, 33, 3595–3602. [Google Scholar] [CrossRef]
- Pedescoll, A.; Corzo, A.; Alvarez, E.; García, J.; Puigagut, J. The effect of primary treatment and flow regime on clogging development in horizontal subsurface flow constructed wetlands: An experimental evaluation. Water Res. 2011, 45, 3579–3589. [Google Scholar] [CrossRef]
- Pedescoll, A.; Passos, F.; Alba, E.; Garcia, J.; Puigagut, J. Mechanical resistance properties of gravel used in subsurface flow constructed wetlands: Implications for clogging. Water Sci. Technol. 2011, 63, 1801–1807. [Google Scholar] [CrossRef][Green Version]
- Nivala, J.; Knowles, P.; Dotro, G.; García, J.; Wallace, S. Clogging in subsurface-flow treatment wetlands: Measurement, modeling and management. Water Res. 2012, 46, 1625–1640. [Google Scholar] [CrossRef]
- Austin, D.; Maciolek, D.; Davis, B.; Wallace, S. Damköhler number design method to avoid clogging of subsurface flow constructed wetlands by heterotrophic biofilms. Water Sci. Technol. 2007, 56, 7–14. [Google Scholar] [CrossRef][Green Version]
- Kotoulas, A.; Agathou, D.; Triantaphyllidou, I.E.; Tatoulis, T.I.; Akratos, C.S.; Tekerlekopoulou, A.G.; Vayenas, D.V. Zeolite as a potential medium for ammonium recovery and second cheese whey treatment. Water 2019, 11, 136. [Google Scholar] [CrossRef]
- Wasielewski, S.; Rott, E.; Minke, R.; Steinmetz, H. Recovery of Ammonium from Sludge Dewatering Processes for the Production of Ammonium Sulfate Solution. Proc. Water Environ. Fed. 2018, 5, 763–773. [Google Scholar] [CrossRef]
- Huiliñir, C.; Fuentes, V.; Esposito, G.; Montalvo, S.; Guerrero, L. Nitrification in the presence of sulfide and organic matter in a sequencing moving bed biofilm reactor (SMBBR) with zeolite as biomass carrier. J. Chem. Technol. Biotechnol. 2020, 95, 173–182. [Google Scholar] [CrossRef]



| Molecule | SiO2 | Al2O3 | CaO | Fe2O3 | K2O | MgO | Na2O | TiO | P2O5 | Losses by Combustion |
|---|---|---|---|---|---|---|---|---|---|---|
| Composition (%) | 64.2 | 11.7 | 3.4 | 2.5 | 1.6 | 0.7 | 0.8 | 0.5 | 0.1 | 14.5 |
| Batch Assay | Zeolite Amount (g) | Particle Size (mm) | -N Initial Concentration (mg/L) | -P Initial Concentration (mg/L) |
|---|---|---|---|---|
| 1 | 20 | 5.0–8.0 | 85, 65, 45, 25 | 15, 10, 5, 1 |
| 2 | 50 | 5.0–8.0 | 85, 65, 45, 25 | 15, 10, 5, 1 |
| 3 | 20 | 1.5–3.0 | 85, 65, 45, 25 | 15, 10, 5, 1 |
| 4 | 50 | 1.5–3.0 | 85, 65, 45, 25 | 15, 10, 5, 1 |
| 5 | 20 | 0.2–1.0 | 85, 65, 45, 25 | 15, 10, 5, 1 |
| 6 | 50 | 0.2–1.0 | 85, 65, 45, 25 | 15, 10, 5, 1 |
| Parameter | Range (mg/L) | Resolution (mg/L) | Accuracy of Reading at 25 °C (mg/L) | Light-Emitting Diode (LED)* (nm) | Method |
|---|---|---|---|---|---|
| Phosphate low range (HI93713) | 0.00 to 2.50 | 0.01 | ±0.04 ± 4% | 610 | Ascorbic acid |
| Phosphate high range (HI93717) | 0.00 to 30.00 | 0.10 | ±1 ± 4% | 525 | Amino acid |
| Ammonia medium range (HI93715) | 0.00 to 10.00 | 0.01 | ±0.05 ± 5% | 420 | Nessler |
| Ammonia high range (HI93733) | 0.00 to 100.00 | 0.10 | ±0.5 ±5% | 420 | Nessler |
| Batch assay | Zeolite Amount (g) | Particle Size (mm) | -N Initial Concentration (mg/L) | -N Percentage onto Zeolite (%) | -P Initial Concentration (mg/L) | -P Percentage onto Zeolite (%) |
|---|---|---|---|---|---|---|
| 1 | 20 | 5.0–8.0 | 85 | 79.6 ± 0.6 | 15 | 58.6 ± 0.0 |
| 65 | 90.8 ± 0.5 | 10 | 43.9 ± 0.0 | |||
| 45 | 94.9 ± 0.5 | 5 | 46.1 ± 0.0 | |||
| 25 | 94.1 ± 0.3 | 1 | 76.4 ± 0.0 | |||
| 2 | 50 | 85 | 95.8 ± 1.2 | 15 | 63.9 ± 32.5 | |
| 65 | 95.4 ± 4.0 | 10 | 37.2 ± 3.5 | |||
| 45 | 94.6 ± 0.6 | 5 | 63.1 ± 8.2 | |||
| 25 | 93.5 ± 4.6 | 1 | 78.4 ± 0.0 | |||
| 3 | 20 | 1.5–3.0 | 85 | 91.6 ± 1.7 | 15 | 79.5 ± 0.0 |
| 65 | 93.0 ± 2.3 | 10 | 71.2 ± 0.7 | |||
| 45 | 94.1 ± 0.5 | 5 | 70.2 ± 9.0 | |||
| 25 | 89.6 ± 0.6 | 1 | 80.7 ± 13.7 | |||
| 4 | 50 | 85 | 95.2 ± 0.5 | 15 | 77.0 ± 23.2 | |
| 65 | 96.0 ± 1.0 | 10 | 76.3 ± 8.4 | |||
| 45 | 96.3 ± 0.5 | 5 | 85.4 ± 1.4 | |||
| 25 | 93.4 ± 0.6 | 1 | 89.2 ± 0.0 | |||
| 5 | 20 | 0.2–1.0 | 85 | 65.4 ± 6.0 | 15 | 55.7 ± 4.8 |
| 65 | 66.5 ± 5.3 | 10 | 44.1 ± 0.7 | |||
| 45 | 71.1 ± 2.5 | 5 | 40.7 ± 0.0 | |||
| 25 | 74.2 ± 1.2 | 1 | 37.0 ± 6.9 | |||
| 6 | 50 | 85 | 63.4 ± 2.5 | 15 | 44.2 ± 4.6 | |
| 65 | 75.1 ± 2.7 | 10 | 90.7 ± 0.7 | |||
| 45 | 81.4 ± 1.2 | 5 | 61.2 ± 2.8 | |||
| 25 | 83.4 ± 1.2 | 1 | 78.4 ± 0.0 |
| Batch Assay | Particle Size (mm) | Zeolite Amount (g) | -N Initial Concentration (mg/L) | mmax (mg/g) | tmax/2 (h) | R2adj | -P Initial Concentration (mg/L) | mmax (mg/g) | tmax/2 (h) | R2adj |
|---|---|---|---|---|---|---|---|---|---|---|
| 1 | 5.0–8.0 | 20 | 85 | 0.84 | 1.0 | 0.99 | 15 | 0.064 | 68.9 | 0.89 |
| 65 | 0.62 | 0.5 | 0.99 | 10 | 0.057 | 26.9 | 0.99 | |||
| 45 | 0.57 | 7.7 | 0.98 | 5 | 0.027 | 18.9 | 0.98 | |||
| 25 | 0.23 | 0.7 | 0.99 | 1 | 0.010 | 6.8 | 0.98 | |||
| 2 | 50 | 85 | 0.35 | 0.2 | 0.99 | 15 | 0.041 | 42.9 | 0.89 | |
| 65 | 0.25 | 0.2 | 0.99 | 10 | 0.018 | 27.6 | 0.95 | |||
| 45 | 0.18 | 0.7 | 0.99 | 5 | 0.013 | 6.3 | 0.99 | |||
| 25 | 0.09 | 0.3 | 0.99 | 1 | 0.003 | 3.4 | 0.99 | |||
| 3 | 1.5–3.0 | 20 | 85 | 0.70 | 1.9 | 0.88 | 15 | 0.136 | 78.2 | 0.96 |
| 65 | 0.66 | 1.0 | 0.99 | 10 | 0.090 | 30.3 | 0.96 | |||
| 45 | 0.46 | 1.2 | 0.99 | 5 | 0.045 | 25.6 | 0.99 | |||
| 25 | 0.26 | 1.1 | 0.99 | 1 | 0.010 | 9.9 | 0.99 | |||
| 4 | 50 | 85 | 0.40 | 3.7 | 0.99 | 15 | 0.059 | 60.2 | 0.86 | |
| 65 | 0.26 | 0.7 | 0.99 | 10 | 0.040 | 29.7 | 0.99 | |||
| 45 | 0.16 | 0.4 | 0.98 | 5 | 0.022 | 40.5 | 0.99 | |||
| 25 | 0.26 | 0.1 | 0.99 | 1 | 0.004 | 6.4 | 0.98 | |||
| 5 | 0.2–1.0 | 20 | 85 | 0.66 | 1.4 | 0.98 | 15 | 0.039 | 52.1 | 0.67 |
| 65 | 0.48 | 1.1 | 0.97 | 10 | 0.045 | 6.6 | 0.98 | |||
| 45 | 0.36 | 0.8 | 0.98 | 5 | 0.024 | 10.6 | 0.98 | |||
| 25 | 0.19 | 1.0 | 0.97 | 1 | 0.005 | 10.8 | 0.99 | |||
| 6 | 50 | 85 | 0.21 | 0.7 | 0.98 | 15 | 0.030 | 73.1 | 0.94 | |
| 65 | 0.20 | 1.0 | 0.97 | 10 | 0.044 | 23.0 | 0.97 | |||
| 45 | 0.15 | 0.7 | 0.97 | 5 | 0.015 | 36.6 | 0.99 | |||
| 25 | 0.08 | 0.5 | 0.97 | 1 | 0.003 | 5.1 | 0.99 |
| Batch Assay | Compound | Zeolite Amount (g) | Particle Size (mm) | Adsorption Kinetic Parameters | R2 | R2adj | |
|---|---|---|---|---|---|---|---|
| Maximum Adsorption Capacity (Q) (mg/g) | Energy for Adsorption (b) (L/mg) | ||||||
| 1 | NH4+-N | 20 | 5.0–8.0 | 0.93 | 0.25 | 0.89 | 0.78 |
| 2 | 50 | 5.0–8.0 | −0.31 | −0.14 | 0.99 | 0.98 | |
| 3 | 20 | 1.5–3.0 | 1.58 | 0.13 | 0.99 | 0.98 | |
| 4 | 50 | 1.5–3.0 | 0.96 | 0.13 | 0.99 | 0.98 | |
| 5 | 20 | 0.0–1.0 | 1.13 | 0.03 | 0.99 | 0.98 | |
| 6 | 50 | 0.0–1.0 | 0.30 | 0.09 | 0.99 | 0.98 | |
| 1 | PO4−3-P | 20 | 5.0–8.0 | 0.05 | 0.79 | 0.94 | 0.88 |
| 2 | 50 | 5.0–8.0 | 0.03 | 0.36 | 0.99 | 0.98 | |
| 3 | 20 | 1.5–3.0 | 0.08 | 0.71 | 0.97 | 0.94 | |
| 4 | 50 | 1.5–3.0 | 0.05 | 0.92 | 0.99 | 0.98 | |
| 5 | 20 | 0.0–1.0 | 0.17 | 0.05 | 0.99 | 0.98 | |
| 6 | 50 | 0.0–1.0 | 0.03 | 0.34 | 0.99 | 0.98 | |
© 2020 by the authors. Licensee MDPI, Basel, Switzerland. This article is an open access article distributed under the terms and conditions of the Creative Commons Attribution (CC BY) license (http://creativecommons.org/licenses/by/4.0/).
Share and Cite
Vera-Puerto, I.; Saravia, M.; Olave, J.; Arias, C.; Alarcon, E.; Valdes, H. Potential Application of Chilean Natural Zeolite as a Support Medium in Treatment Wetlands for Removing Ammonium and Phosphate from Wastewater. Water 2020, 12, 1156. https://doi.org/10.3390/w12041156
Vera-Puerto I, Saravia M, Olave J, Arias C, Alarcon E, Valdes H. Potential Application of Chilean Natural Zeolite as a Support Medium in Treatment Wetlands for Removing Ammonium and Phosphate from Wastewater. Water. 2020; 12(4):1156. https://doi.org/10.3390/w12041156
Chicago/Turabian StyleVera-Puerto, Ismael, Matias Saravia, Jorge Olave, Carlos Arias, Erica Alarcon, and Hugo Valdes. 2020. "Potential Application of Chilean Natural Zeolite as a Support Medium in Treatment Wetlands for Removing Ammonium and Phosphate from Wastewater" Water 12, no. 4: 1156. https://doi.org/10.3390/w12041156
APA StyleVera-Puerto, I., Saravia, M., Olave, J., Arias, C., Alarcon, E., & Valdes, H. (2020). Potential Application of Chilean Natural Zeolite as a Support Medium in Treatment Wetlands for Removing Ammonium and Phosphate from Wastewater. Water, 12(4), 1156. https://doi.org/10.3390/w12041156

