Spatial Rainfall Variability in Urban Environments—High-Density Precipitation Measurements on a City-Scale
Abstract
1. Introduction
1.1. General
1.2. Spatial Rainfall Variability and Measurement Density in Literature
1.3. Objective
2. Study Site
3. Data and Methods
3.1. Data
3.2. Data Analysis
- The arithmetic mean of the event rainfall of all rain gauges for the selected events was at least 15 mm.
- Rainfall had to be measured at least at 10 rain gauges during the event
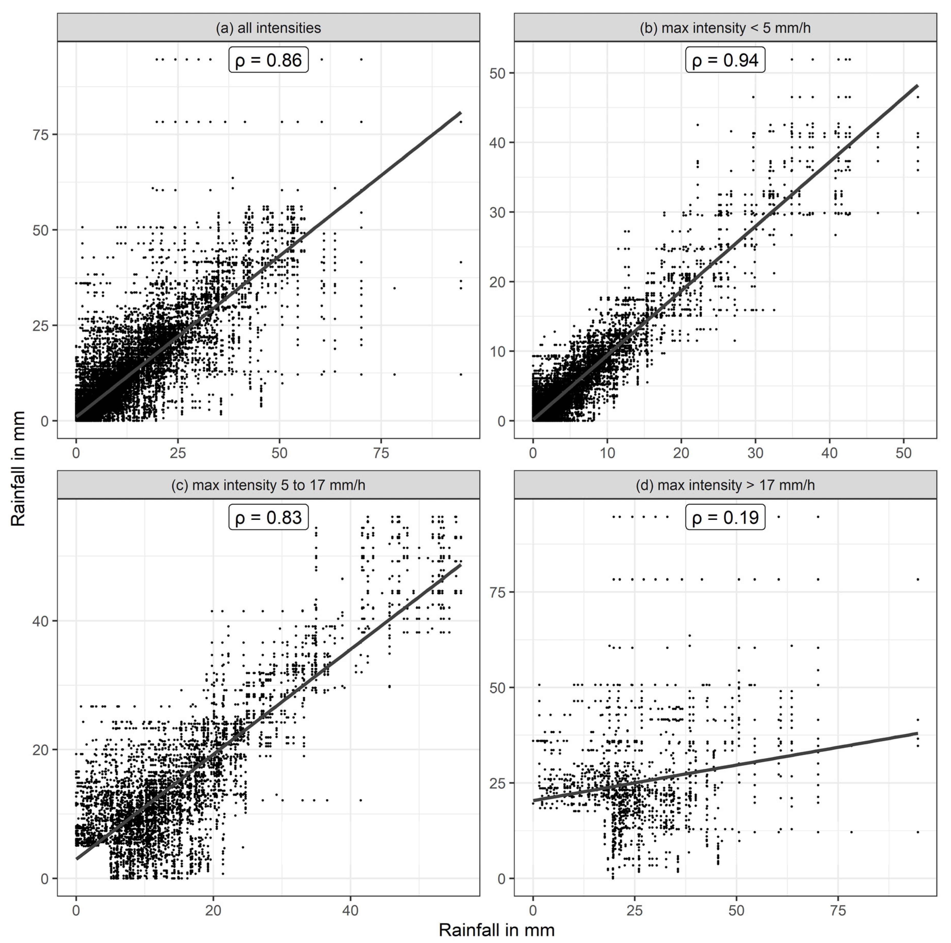
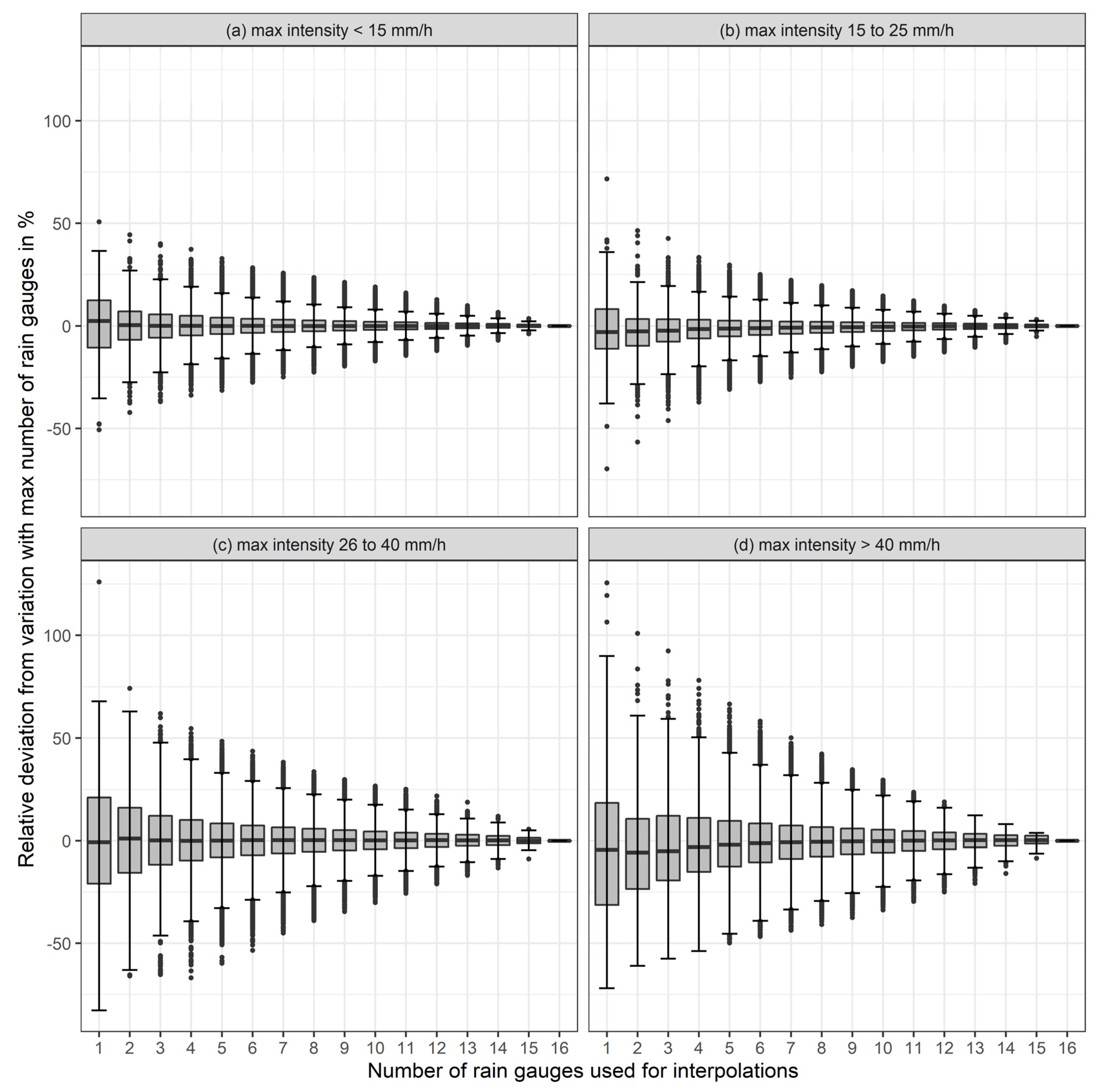
4. Results and Discussion
5. Conclusions
Author Contributions
Funding
Acknowledgments
Conflicts of Interest
References
- James, W. Rules for Responsible Modelling; CHI—Computational Hydraulics International: Guelph, ON, Canada, 2005. [Google Scholar]
- Jacobson, C.R. Identification and quantification of the hydrological impacts of imperviousness in urban catchments: A review. J. Environ. Manag. 2011, 92, 1438–1448. [Google Scholar] [CrossRef] [PubMed]
- Deletic, A.; Dotto, C.B.S.; McCarthy, D.T.; Kleidorfer, M.; Freni, G.; Mannina, G.; Uhl, M.; Henrichs, M.; Fletcher, T.D.; Rauch, W.; et al. Assessing uncertainties in urban drainage models. Phys. Chem. Earth 2012, 42–44, 3–10. [Google Scholar] [CrossRef]
- Chen, Y.; Zhou, H.; Zhang, H.; Du, G.; Zhou, J. Urban flood risk warning under rapid urbanization. Environ. Res. 2015, 139, 3–10. [Google Scholar] [CrossRef] [PubMed]
- Salvadore, E.; Bronders, J.; Batelaan, O. Hydrological modelling of urbanized catchments: A review and future directions. J. Hydrol. 2015, 529 Pt 1, 62–81. [Google Scholar] [CrossRef]
- Cristiano, E.; ten Veldhuis, M.-C.; van de Giesen, N. Spatial and temporal variability of rainfall and their effects on hydrological response in urban areas—A review. Hydrol. Earth Syst. Sci. 2017, 21, 3859–3878. [Google Scholar] [CrossRef]
- Shepherd, J.M. A Review of Current Investigations of Urban-Induced Rainfall and Recommendations for the Future. Earth Interact. 2005, 9, 1–27. [Google Scholar] [CrossRef]
- Ly, S.; Charles, C.; Degre, A. Geostatistical interpolation of daily rainfall at catchment scale: The use of several variogram models in the Ourthe and Ambleve catchments, Belgium. Hydrol. Earth Syst. Sci. 2011, 15, 2259–2274. [Google Scholar] [CrossRef]
- Wagner, P.D.; Fiener, P.; Wilken, F.; Kumar, S.; Schneider, K. Comparison and evaluation of spatial interpolation schemes for daily rainfall in data scarce regions. J. Hydrol. 2012, 464–465, 388–400. [Google Scholar] [CrossRef]
- Sungmin, O.; Foelsche, U.; Kirchengast, G.; Fuchsberger, J. Validation and correction of rainfall data from the WegenerNet high density network in southeast Austria. J. Hydrol. 2018, 556, 1110–1122. [Google Scholar]
- De Vos, L.W.; Leijnse, H.; Overeem, A.; Uijlenhoet, R. Quality Control for Crowdsourced Personal Weather Stations to Enable Operational Rainfall Monitoring. Geophys. Res. Lett. 2019, 46, 8820–8829. [Google Scholar] [CrossRef]
- Bárdossy, A.; Seidel, J.; Hachem, A.E. The use of personal weather station observation for improving precipitation estimation and interpolation. Hydrol. Earth Syst. Sci. Discuss. 2020, 1–23. [Google Scholar] [CrossRef]
- Krajewski, W.F.; Villarini, G.; Smith, J.A. RADAR-Rainfall Uncertainties. Bull. Am. Meteorol. Soc. 2010, 91, 87–94. [Google Scholar] [CrossRef]
- Villarini, G.; Krajewski, W.F. Review of the different sources of uncertainty in single polarization radar-based estimates of rainfall. Surv. Geophys. 2010, 31, 107–129. [Google Scholar] [CrossRef]
- Sharifi, E.; Steinacker, R.; Saghafian, B. Assessment of GPM-IMERG and other precipitation products against gauge data under different topographic and climatic conditions in Iran: Preliminary results. Remote Sens. 2016, 8, 135. [Google Scholar] [CrossRef]
- Berne, A.; Delrieu, G.; Creutin, J.-D.; Obled, C. Temporal and spatial resolution of rainfall measurements required for urban hydrology. J. Hydrol. 2004, 299, 166–179. [Google Scholar] [CrossRef]
- Gires, A.; Onof, C.; Maksimovic, C.; Schertzer, D.; Tchiguirinskaia, I.; Simoes, N. Quantifying the impact of small scale unmeasured rainfall variability on urban runoff through multifractal downscaling: A case study. J. Hydrol. 2012, 442–443, 117–128. [Google Scholar] [CrossRef]
- Gires, A.; Giangola-Murzyn, A.; Abbes, J.-B.; Tchiguirinskaia, I.; Schertzer, D.; Lovejoy, S. Impacts of small scale rainfall variability in urban areas: A case study with 1D and 1D/2D hydrological models in a multifractal framework. Urban Water J. 2015, 12, 607–617. [Google Scholar] [CrossRef]
- Ochoa-Rodriguez, S.; Wang, L.-P.; Gires, A.; Pina, R.D.; Reinoso-Rondinel, R.; Bruni, G.; Ichiba, A.; Gaitan, S.; Cristiano, E.; Van, A.; et al. Impact of spatial and temporal resolution of rainfall inputs on urban hydrodynamic modelling outputs: A multi-catchment investigation. J. Hydrol. 2015, 531, 389–407. [Google Scholar] [CrossRef]
- Steiner, M.; Smith, J.A.; Burges, S.J.; Alonso, C.V.; Darden, R.W. Effect of bias adjustment and rain gauge data quality control on radar rainfall estimation. Water Resour. Res. 1999, 35, 2487–2503. [Google Scholar] [CrossRef]
- Borga, M.; Tonelli, F.; Moore, R.J.; Andrieu, H. Long-term assessment of bias adjustment in radar rainfall estimation. Water Resour. Res. 2002, 38, 8-1–8-10. [Google Scholar] [CrossRef]
- Matrosov, S.Y.; Kingsmill, D.E.; Martner, B.E.; Ralph, F.M. The Utility of X-Band polarimetric radar for quantitative estimates of rainfall parameters. J. Hydrometeorol. 2005, 6, 248–262. [Google Scholar] [CrossRef]
- Schleiss, M.; Olsson, J.; Berg, P.; Niemi, T.; Kokkonen, T.; Thorndahl, S.; Nielsen, R.; Nielsen, J.E.; Bozhinova, D.; Pulkkinen, S. The accuracy of weather radar in heavy rain: A comparative study for Denmark, the Netherlands, Finland and Sweden. Hydrol. Earth Syst. Sci. Discuss. 2019. in review. [Google Scholar] [CrossRef]
- Aalborg (DK)—MUFFIN. Available online: https://muffin-project.eu/aalborg-dk/ (accessed on 26 February 2020).
- Landsberg, H.E. Man-made climatic changes. Science 1970, 170, 1265–1274. [Google Scholar] [CrossRef] [PubMed]
- Smith, C.; Levermore, G. Designing urban spaces and buildings to improve sustainability and quality of life in a warmer world. Energy Policy 2008, 36, 4558–4562. [Google Scholar] [CrossRef]
- Sevruk, B. Rainfall Measurement: Gauges. In Encyclopedia of Hydrological Sciences; American Cancer Society: New York, NY, USA, 2006; ISBN 978-0-470-84894-4. [Google Scholar]
- AghaKouchak, A.; Mehran, A.; Norouzi, H.; Behrangi, A. Systematic and random error components in satellite precipitation data sets. Geophys. Res. Lett. 2012, 39, 9406. [Google Scholar] [CrossRef]
- Kirstetter, P.-E.; Hong, Y.; Gourley, J.J.; Chen, S.; Flamig, Z.; Zhang, J.; Schwaller, M.; Petersen, W.; Amitai, E. Toward a framework for systematic error modeling of spaceborne precipitation radar with NOAA/NSSL ground radar–based national mosaic QPE. J. Hydrometeorol. 2012, 13, 1285–1300. [Google Scholar] [CrossRef]
- Faurès, J.-M.; Goodrich, D.C.; Woolhiser, D.A.; Sorooshian, S. Impact of small-scale spatial rainfall variability on runoff modeling. J. Hydrol. 1995, 173, 309–326. [Google Scholar] [CrossRef]
- Goodrich, D.C.; Faurès, J.-M.; Woolhiser, D.A.; Lane, L.J.; Sorooshian, S. Measurement and analysis of small-scale convective storm rainfall variability. J. Hydrol. 1995, 173, 283–308. [Google Scholar] [CrossRef]
- Muthusamy, M.; Schellart, A.; Tait, S.; Heuvelink, G.B.M. Geostatistical upscaling of rain gauge data to support uncertainty analysis of lumped urban hydrological models. Hydrol. Earth Syst. Sci. 2017, 21, 1077–1091. [Google Scholar] [CrossRef]
- Jensen, N.E.; Pedersen, L. Spatial variability of rainfall: Variations within a single radar pixel. Atmos. Res. 2005, 77, 269–277. [Google Scholar] [CrossRef]
- Pedersen, L.; Jensen, N.E.; Christensen, L.E.; Madsen, H. Quantification of the spatial variability of rainfall based on a dense network of rain gauges. Atmos. Res. 2010, 95, 441–454. [Google Scholar] [CrossRef]
- Fiener, P.; Auerswald, K. Spatial variability of rainfall on a sub-kilometre scale. Earth Surf. Process. Landf. 2009, 34, 848–859. [Google Scholar] [CrossRef]
- Peleg, N.; Ben-Asher, M.; Morin, E. Radar subpixel-scale rainfall variability and uncertainty: Lessons learned from observations of a dense rain-gauge network. Hydrol. Earth Syst. Sci. 2013, 17, 2195–2208. [Google Scholar] [CrossRef]
- Ciach, G.J.; Krajewski, W.F. Analysis and modeling of spatial correlation structure in small-scale rainfall in Central Oklahoma. Adv. Water Resour. 2006, 29, 1450–1463. [Google Scholar] [CrossRef]
- Villarini, G.; Mandapaka, P.V.; Krajewski, W.F.; Moore, R.J. Rainfall and sampling uncertainties: A rain gauge perspective. J. Geophys. Res. Atmos. 2008, 113, D11102. [Google Scholar] [CrossRef]
- Bell, V.A.; Moore, R.J. The sensitivity of catchment runoff models to rainfall data at different spatial scales. Hydrol. Earth Syst. Sci. Discuss. 2000, 4, 653–667. [Google Scholar] [CrossRef]
- Zawilski, M.; Brzezińska, A. Areal rainfall intensity distribution over an urban area and its effect on a combined sewerage system. Urban Water J. 2014, 11, 532–542. [Google Scholar] [CrossRef]
- Arnaud, P.; Bouvier, C.; Cisneros, L.; Dominguez, R. Influence of rainfall spatial variability on flood prediction. J. Hydrol. 2002, 260, 216–230. [Google Scholar] [CrossRef]
- Bárdossy, A.; Das, T. Influence of rainfall observation network on model calibration and application. Hydrol. Earth Syst. Sci. Discuss. 2006, 3, 3691–3726. [Google Scholar] [CrossRef]
- Girons Lopez, M.; Wennerström, H.; Nordén, L.-Å.; Seibert, J. Location and Density of Rain Gauges for the Estimation of Spatial Varying Precipitation. Geogr. Ann. Ser. Phys. Geogr. 2015, 97, 167–179. [Google Scholar] [CrossRef]
- Berndtsson, R.; Niemczynowicz, J. Spatial and temporal scales in rainfall analysis—Some aspects and future perspectives. J. Hydrol. 1988, 100, 293–313. [Google Scholar] [CrossRef]
- Schilling, W. Rainfall data for urban hydrology: What do we need? Atmos. Res. 1991, 27, 5–21. [Google Scholar] [CrossRef]
- Peleg, N.; Blumensaat, F.; Molnar, P.; Fatichi, S.; Burlando, P. Partitioning the impacts of spatial and climatological rainfall variability in urban drainage modeling. Hydrol. Earth Syst. Sci. 2017, 21, 1559–1572. [Google Scholar] [CrossRef]
- Belda, M.; Holtanová, E.; Halenka, T.; Kalvová, J. Climate classification revisited: From Köppen to Trewartha. Clim. Res. 2014, 59, 1–13. [Google Scholar] [CrossRef]
- Kabas, T.; Leuprecht, A.; Bichler, C.; Kirchengast, G. WegenerNet climate station network region Feldbach, Austria: Network structure, processing system, and example results. Adv. Sci. Res. 2011, 6, 49–54. [Google Scholar] [CrossRef][Green Version]
- Kirchengast, G.; Kabas, T.; Leuprecht, A.; Bichler, C.; Truhetz, H. WegenerNet: A pioneering high-resolution network for monitoring weather and climate. Bull. Am. Meteorol. Soc. 2013, 95, 227–242. [Google Scholar] [CrossRef]
- Leimgruber, J.; Steffelbauer, D.B.; Krebs, G.; Tscheikner-Gratl, F.; Muschalla, D. Selecting a series of storm events for a model-based assessment of combined sewer overflows. Urban Water J. 2018, 15, 453–460. [Google Scholar] [CrossRef]
- Shepard, D. A two-dimensional interpolation function for irregularly-spaced data. In Proceedings of the 1968 23rd ACM National Conference, Las Vegas, NV, USA, 27–29 August 1968; ACM: New York City, NY, USA, 1968; pp. 517–524. [Google Scholar]
- Maniak, U. Hydrologie und Wasserwirtschaft: Eine Einführung für Ingenieure; Lehrbuch; 7., neu bearbeitete Auflage.; Springer Vieweg: Berlin, Germany, 2016; ISBN 978-3-662-49087-7. [Google Scholar]
- eHYD—Access to the Hydrographical Data of Austira—Design Storm grid Point 5214. Available online: https://ehyd.gv.at/# (accessed on 4 March 2020).






| Source | Number of Gauges | Catchment Size | Area/Gauge | Type |
|---|---|---|---|---|
| Faurès et al. [30], Goodrich et al. [31] | 10 | <0.05 km2 | 0.005 km2 | rural |
| Muthusamy et al. [32] | 8 | 0.08 km2 | 0.01 km2 | urban |
| Jensen and Pedersen [33], Pedersen et al. [34] | 9 | 0.25 km2 | 0.03 km2 | rural |
| Fiener and Auerswald [35] | 13 | 1.4 km2 | 0.11 km2 | rural |
| Peleg et al. [36] | 14 | 4 km2 | 0.14 km2 | rural |
| Ciach and Krajewski [37] | 25 | 9 km2 | 0.36 km2 | rural |
| Villarini et al. [38], Bell and Moore [39] | 49 | 135 km2 | 2.8 km2 | rural |
| Berne et al. [16] | 25 | 300 km2 | 12 km2 | urban |
| Zawilski and Brzezińska [40] | 21 | 256 km2 | 12 km2 | urban |
| Arnaud et al. [41] | 49 | 2500 km2 | 51 km2 | mixed |
| Bárdossy and Das [42] | 51 | 4000 km2 | 78 km2 | mixed |
| Girons Lopez et al. [43] | 60 | 6400 km2 | 107 km2 | mixed |
| Organization | Number of Rain Gauges |
|---|---|
| City Department of Parks and Water Bodies | 11 |
| Styrian Federal State Department for Hydrographical Observations | 2 |
| Austrian Institute for Meteorology and Geodynamics | 3 |
| Holding Graz Water Management | 5 |
| Graz University of Technology | 1 |
| Fire Department of Graz | Server |
| Stage | Name | Short Explanation |
|---|---|---|
| 0 | Raw data | Original data from central server as received from the rain gauge; any deviation from this data is done on the fly. |
| 1 | Identification of known defects | Check for data during periods of known defects and maintenance |
| 2 | Device specific validation | Check against device specific measurement limits |
| 3 | Climatological boundaries | Data exceeding physical and local climatologic boundaries |
| 4 | Validation of temporal variability | Max. possible changes per time based on climatological limits |
| 5 | Intrastation validation | Consistency with other sensors of measurement station if available |
| 6 | Statistical validation | Check if data is within limits of the site specific data history |
| 7 | Interstation validation | Compare data with neighboring rain gauges (median-based comparison) |
| 8 | External reference | Compare data with other data sources available (e.g., additional rain gauges measuring daily values) |
| Date (Year/Month/Day) | Rain Gauges | Duration in Hours | Mean Sum in mm | Max Gauge Sum in mm | Max Mean Intensity in mm/h | Max Gauge Intensity in mm/h |
|---|---|---|---|---|---|---|
| 2017-02-05 | 15 | 23.3 | 23.0 | 29.9 | 3.8 | 4.6 |
| 2017-04-27 | 16 | 24.9 | 32.9 | 52.5 | 5.4 | 7.4 |
| 2017-05-22 | 16 | 5.9 | 26.8 | 40.0 | 9.4 | 26.5 |
| 2017-07-01 | 16 | 2.2 | 19.3 | 30.4 | 16.9 | 28.6 |
| 2017-07-23 | 16 | 6.3 | 21.3 | 51.6 | 8.9 | 17.4 |
| 2017-08-02 | 16 | 3.5 | 18.4 | 26.9 | 12.7 | 18.3 |
| 2017-08-19 | 16 | 18.2 | 26.8 | 31.9 | 10.3 | 14.1 |
| 2017-09-01 | 16 | 12.1 | 16.9 | 29.4 | 11.9 | 19.2 |
| 2017-11-05 | 14 | 22.5 | 17.7 | 22.6 | 2.7 | 3.3 |
| 2017-11-07 | 14 | 18.6 | 16.5 | 21.1 | 3.0 | 4.2 |
| 2018-04-16 | 16 | 14.2 | 43.1 | 94.6 | 19.6 | 52.0 |
| 2018-04-26 | 16 | 10.6 | 18.6 | 22.5 | 6.0 | 10.2 |
| 2018-05-12 | 16 | 2.9 | 18.3 | 42.8 | 13.5 | 28.5 |
| 2018-05-14 | 16 | 22.7 | 33.3 | 48.1 | 4.2 | 6.2 |
| 2018-06-02 | 15 | 5.0 | 24.0 | 50.7 | 16.9 | 43.0 |
| 2018-06-08 | 16 | 7.3 | 19.1 | 27.5 | 12.6 | 21.2 |
| 2018-06-13 | 16 | 7.3 | 38.2 | 63.6 | 32.0 | 54.6 |
| 2018-06-21 | 16 | 11.4 | 21.1 | 34.0 | 16.5 | 27.4 |
| 2018-07-05 | 16 | 14.3 | 17.1 | 24.7 | 4.4 | 6.5 |
| 2018-08-10 | 16 | 4.9 | 22.9 | 37.6 | 18.1 | 32.3 |
| 2018-09-01 | 16 | 6.3 | 20.2 | 41.6 | 12.1 | 18.6 |
| 2018-09-07 | 16 | 5.8 | 15.9 | 23.8 | 6.9 | 10.8 |
| 2018-09-14 | 16 | 4.5 | 23.5 | 44.7 | 19.6 | 40.1 |
| 2018-11-25 | 14 | 31.8 | 24.8 | 30.9 | 3.1 | 4.0 |
© 2020 by the authors. Licensee MDPI, Basel, Switzerland. This article is an open access article distributed under the terms and conditions of the Creative Commons Attribution (CC BY) license (http://creativecommons.org/licenses/by/4.0/).
Share and Cite
Maier, R.; Krebs, G.; Pichler, M.; Muschalla, D.; Gruber, G. Spatial Rainfall Variability in Urban Environments—High-Density Precipitation Measurements on a City-Scale. Water 2020, 12, 1157. https://doi.org/10.3390/w12041157
Maier R, Krebs G, Pichler M, Muschalla D, Gruber G. Spatial Rainfall Variability in Urban Environments—High-Density Precipitation Measurements on a City-Scale. Water. 2020; 12(4):1157. https://doi.org/10.3390/w12041157
Chicago/Turabian StyleMaier, Roman, Gerald Krebs, Markus Pichler, Dirk Muschalla, and Günter Gruber. 2020. "Spatial Rainfall Variability in Urban Environments—High-Density Precipitation Measurements on a City-Scale" Water 12, no. 4: 1157. https://doi.org/10.3390/w12041157
APA StyleMaier, R., Krebs, G., Pichler, M., Muschalla, D., & Gruber, G. (2020). Spatial Rainfall Variability in Urban Environments—High-Density Precipitation Measurements on a City-Scale. Water, 12(4), 1157. https://doi.org/10.3390/w12041157

