Trends and Non-Stationarity in Groundwater Level Changes in Rapidly Developing Indian Cities
Abstract
1. Introduction
2. Materials and Methods
2.1. Study Area and Data Collection
2.2. Trend Analysis
2.3. TWS Anomalies and Groundwater Levels
2.4. Non-Stationarity Analysis
2.5. Correlation Analysis: Rainfall and Groundwater Levels
2.6. LULC Change Analysis
3. Results and Discussion
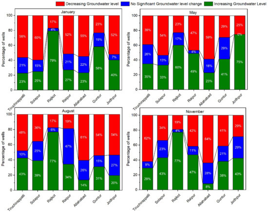
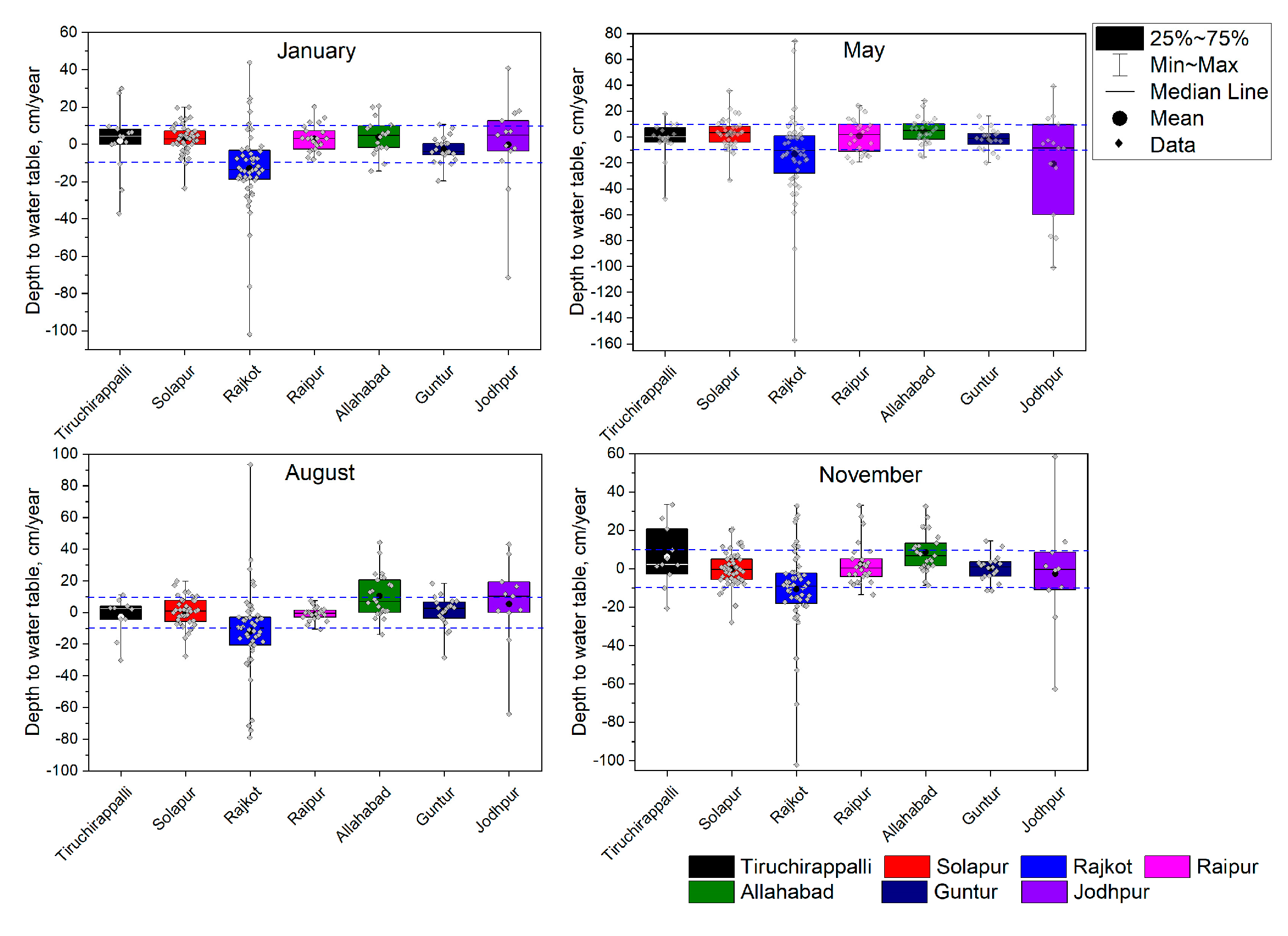
3.1. Trends in Groundwater Level Changes
3.2. Non-Stationarity and Significance of Groundwater Level Trends
3.3. Terrestrial Water Storage Anomalies
3.4. Rainfall and Groundwater Level Change Relationship
3.5. Impact of Land Use/Land Cover Changes on Groundwater Level
4. Conclusions
Author Contributions
Funding
Acknowledgments
Conflicts of Interest
Appendix A

References
- Margat, J.; Gun, J. Groundwater around the World, 1st ed.; CRC Press: London, UK, 2013. [Google Scholar] [CrossRef]
- Mullen, K. Groundwater Information on Earth’s Water. Available online: https://www.ngwa.org/what-is-groundwater/About-groundwater/information-on-earths-water (accessed on 26 October 2020).
- Zektser, I.S.; Everett, L.G. Groundwater Resources of the World and Their Use. UNESCO Digital Library. Available online: https://unesdoc.unesco.org/ark:/48223/pf0000134433 (accessed on 14 June 2020).
- Siebert, S.; Burke, J.; Faures, J.; Frenken, K.; Hoogeveen, J.; Döll, P.; Portmann, F. Groundwater use for irrigation—A global inventory. Hydrol. Earth Syst. Sci. 2010, 14, 1863–1880. [Google Scholar] [CrossRef]
- Vörösmarty, C.; McIntyre, P.; Gessner, M.; Dudgeon, D.; Prusevich, A.; Green, P. Global threats to human water security and river biodiversity. Nature 2010, 467, 555–561. [Google Scholar] [CrossRef]
- 68% of the World Population Projected to Live in Urban Areas by 2050, Says U.N. Available online: https://www.un.org/development/desa/en/news/population/2018-revision-of-world-urbanization-prospects.html (accessed on 26 October 2020).
- Elfie, S.; Denise, P.; Eric, D. The future of India’s urbanization. Futures 2014, 56, 43–52. [Google Scholar] [CrossRef]
- Foster, S.; Hirata, R. Groundwater use for urban development: Enhancing benefits and reducing risks. Water Front. 2011, 2011, 21–29. [Google Scholar]
- Howard, K.; Hirata, R.; Warner, K.; Gogu, R.; Nkhuwa, D. Resilient Cities & Groundwater. In IAH Strategic Overview Series; Stephen, F., Gillian, T., Eds.; International Association of Hydrogeologists: London, UK, 2015; Available online: https://www.iges.or.jp/en/pub/resilient-cities-groundwater/en (accessed on 26 October 2020).
- The United Nations World Water Development Report 2015: Water for a Sustainable World. Available online: https://unesdoc.unesco.org/ark:/48223/pf0000231823 (accessed on 13 November 2020).
- Donald, R.I.; Katherine, W.; Julie, P.; Martina, F.; Christof, S. Water on an urban planet: Urbanization and the reach of urban water infrastructure. Glob. Environ. Chang. 2014, 27, 96–105. [Google Scholar] [CrossRef]
- Bricker, S.H.; Banks, V.J.; Galik, G. Accounting for groundwater in future city visions. Land Use Policy 2017, 69, 618–630. [Google Scholar] [CrossRef]
- Foster, S.D.; Ricardo, H.; Ken, W.F.H. Groundwater use in developing cities: Policy issues arising from current trends. Hydrogeol. J. 2010, 19, 271–274. [Google Scholar] [CrossRef]
- Tiwari, V.; Wahr, J.; Swenson, S. Dwindling groundwater resources in northern India, from satellite gravity observations. Geophys. Res. Lett. 2009, 36. [Google Scholar] [CrossRef]
- Chatterjee, R.; Purohit, R. Estimation of Replenishable Groundwater Resources of India and Their Status of Utilization. Curr. Sci. 2009, 96, 1581–1591. [Google Scholar]
- Asoka, A.; Gleeson, T.; Wada, Y.; Mishra, V. Relative contribution of monsoon precipitation and pumping to changes in groundwater storage in India. Nat. Geosci. 2017, 10, 109–117. [Google Scholar] [CrossRef]
- Rodell, M.; Velicogna, I.; Famiglietti, J. Satellite-based estimates of groundwater depletion in India. Nature 2009, 460, 999–1002. [Google Scholar] [CrossRef]
- Hora, T.; Srinivasan, V.; Basu, N. The Groundwater Recovery Paradox in South India. Geophys. Res. Lett. 2019, 46, 9602–9611. [Google Scholar] [CrossRef]
- Gana, K. Uncovering the Groundwater Crisis in South India. Available online: https://india.mongabay.com/2019/09/uncovering-the-groundwater-crisis-in-south-india (accessed on 26 October 2020).
- Singh, R.B. Impact of land-use change on groundwater in the Punjab-Haryana plains, India. In Proceedings of the Impact of Human Activity on Groundwater Dynamics, Maastricht, The Netharlands, 18 July 2001; IAHS-AISH Publication: Wallingford, UK, 2001; pp. 117–122. [Google Scholar]
- Samanpreet, B.; Rajan, A.; Mandeep, B. Groundwater Depletion in Punjab, India. In Encyclopedia of Soil Science, 3rd ed.; Tylor & Francis: Abingdon-on-Thames, UK, 2017; pp. 1–5. [Google Scholar] [CrossRef]
- Foster, S. Global Policy Overview of Groundwater in Urban Development—A Tale of 10 Cities. Water 2020, 12, 456. [Google Scholar] [CrossRef]
- Ken, W.H.F. Urban Groundwater: Meeting the Challenge; IAH Selected Paper Series 8; CRC Press: Boca Raton, FL, USA, 2007; ISBN 9780415407458. [Google Scholar]
- NITI. Aayog Composite Water Management Index 2.0. Available online: https://niti.gov.in/sites/default/files/2019-08/CWMI-2.0-latest.pdf (accessed on 26 October 2020).
- Chennai Water Crisis: City’s Reservoirs Run Dry. Available online: https://www.bbc.com/news/world-asia-india-48672330 (accessed on 26 October 2020).
- Service Level Benchmarks. Available online: http://mohua.gov.in/cms/Service-Level-Benchmarks.php (accessed on 26 October 2020).
- Gontoju, S.S.; Alam, M.F.; Sikka, A. Chennai Water Crisis: A Wake-Up Call for Indian Cities. Available online: https://www.downtoearth.org.in/blog/water/chennai-water-crisis-a-wake-up-call-for-indian-cities-66024 (accessed on 18 October 2020).
- Aspinwall, N. Chennai’s ‘Man-Made’ Water Crisis. Available online: https://thediplomat.com/2019/08/chennais-man-made-water-crisis (accessed on 25 October 2020).
- World Water Day: India is 3rd Largest Groundwater Exporter, but 21 Cities are Running out of Water by 2020. Available online: https://www.indiatoday.in/science/story/world-water-day-2019-water-crisis-india-1483777-2019-03-22 (accessed on 26 October 2020).
- Singh, S.; Sharma, V. Urban Droughts in India: Case Study of Delhi. Disaster Risk Reduct. 2018, 155–167. [Google Scholar] [CrossRef]
- Sinan, M.; Mishra, V. Urban Drought in India under Observed and Projected Future Climate. In Proceedings of the AGU Fall Meeting, Washington, DC, USA, 10–14 December 2018. [Google Scholar]
- Alipour, A.; Hashemi, S.; Shokri, S.; Moravej, M. Spatio-temporal analysis of groundwater level in an arid area. Int. J. Water 2018, 12, 66. [Google Scholar] [CrossRef]
- Jessica, H.; Katherine, C.; George, K. Tools to Estimate Groundwater Levels in the Presence of Changes of Precipitation and Pumping. J. Water Resour. Prot. 2016, 8, 12. [Google Scholar] [CrossRef]
- Gurdak, J.J.; Kuss, A.M. Teleconnections in the Principal Aquifers to Non-Stationarity of ENSO, NAO, PDO, and AMO. In Proceedings of the AGU Fall Meeting, Washington, DC, USA, 10–14 December 2012. [Google Scholar]
- Graf, R. Reference statistics for the structure of measurement series of groundwater levels (Wielkopolska Lowland, western Poland). Hydrol. Sci. J. 2015, 60, 1587–1606. [Google Scholar] [CrossRef]
- Kayet, N.; Chakrabarty, A.; Pathak, K.; Sahoo, S.; Mandal, S.; Fatema, S. Spatiotemporal LULC change impacts on groundwater table in Jhargram, West Bengal, India. Sustain. Water Resour. Manag. 2018, 5, 1189–1200. [Google Scholar] [CrossRef]
- Roy, A.; Inamdar, A. Multi-temporal Land Use Land Cover (LULC) change analysis of a dry semi-arid river basin in western India following a robust multi-sensor satellite image calibration strategy. Heliyon 2019, 5, e01478. [Google Scholar] [CrossRef]
- Pranab, K.S. Estimates of the Regression Coefficient Based on Kendall’s Tau. J. Am. Stat. Assoc. 1968, 63, 1379–1389. [Google Scholar] [CrossRef]
- Hamed, K.; Rao, A.R. A modified Mann-Kendall trend test for autocorrelated data. J. Hydrol. 1998, 204, 182–196. [Google Scholar] [CrossRef]
- Dickey, D.A.; Fuller, W.A. Distribution of the estimation of autoregressive time series with a unit root. J. Am. Stat. Assoc. 1979, 74, 427–431. [Google Scholar]
- Phillips, P. Testing for a unit root in time series regression. Biometrika 1988, 75, 335–346. [Google Scholar] [CrossRef]
- Kwiatkowski, D.; Phillips, P.C.B.; Schmidt, P.; Shin, Y. Testing the null hypothesis of stationarity against the alternative of a unit root. J. Econom. 1992, 54, 159–178. [Google Scholar] [CrossRef]
- Fathian, F.; Saeed, M.; Ercan, K. Identification of trends in hydrological and climatic variables in Urmia Lake Basin, Iran. Theor. Appl. Climatol. 2014, 119, 443–464. [Google Scholar] [CrossRef]
- Navas, R.; Alonso, J.; Gorgoglione, A.; Vervoort, R.W. Identifying climate and human impact trends in streamflow: A case study in Uruguay. Water 2019, 11, 1433. [Google Scholar] [CrossRef]
- Census of India. Available online: https://censusindia.gov.in (accessed on 26 October 2020).
- Mapping India’s GDP. Available online: https://www.idfcinstitute.org/projects/transitions/city-gdp/ (accessed on 20 October 2020).
- Smart Cities Mission. Available online: http://smartcities.gov.in/content/ (accessed on 26 October 2020).
- Water Resource Information System, India-WRIS. Available online: https://indiawris.gov.in/wris/#/groundWater (accessed on 26 October 2020).
- Central Ground Water Board. Available online: http://cgwb.gov.in/ (accessed on 26 October 2020).
- Grubbs, F.E. Procedures for Detecting Outlying Observations in Samples. Technimetrics 1916, 11, 1–21. [Google Scholar] [CrossRef]
- Monthly Mass Grids GRACE Tellus Data. Available online: https://grace.jpl.nasa.gov/data/get-data/monthly-mass-grids-land (accessed on 25 October 2020).
- Pai, D.S.; Latha, S.; Rajeevan, M. Development of a new high spatial resolution (0.25° × 0.25°) Long period (1901–2010) daily gridded rainfall data set over India and its comparison with existing data sets over the region. Mausam 2014, 65, 1–18. [Google Scholar]
- Friedl, M.; Sulla-Menashe, D. MCD12Q1 MODIS/Terra+Aqua Land Cover Type Yearly L3 Global 500m SIN Grid V006; NASA EOSDIS Land Processes DAAC: Sioux Falls, SD, USA, 2015. [CrossRef]
- Yue, S.; Pilon, P.; Cavadias, G. Power of the Mann–Kendall and Spearman’s rho tests for detecting monotonic trends in hydrological series. J. Hydrol. 2002, 259, 254–271. [Google Scholar] [CrossRef]
- Ali, R.; Kuriqi, A.; Abubaker, S.; Kisi, O. Long-Term Trends and Seasonality Detection of the Observed Flow in Yangtze River Using Mann-Kendall and Sen’s Innovative Trend Method. Water 2019, 11, 1855. [Google Scholar] [CrossRef]
- Mann, H.B. Nonparametric tests against trend. Econometrica 1945, 13, 245–259. [Google Scholar] [CrossRef]
- Kendall, M.G. Rank Correlation Methods, 4th ed.; Charles, G., Ed.; Griffin: Brighton, London, UK, 2020; ISBN 0852641990. [Google Scholar]
- Chen, J.; Famiglietti, J.; Scanlon, B.; Rodell, M. Erratum to: Groundwater Storage Changes: Present Status from GRACE Observations. Surv. Geophys. 2016, 37, 701. [Google Scholar] [CrossRef]
- Klees, R.; Zapreeva, E.; Winsemius, H.; Savenije, H. The bias in GRACE estimates of continental water storage variations. Hydrol. Earth Syst. Sci. 2007, 11, 1227–1241. [Google Scholar] [CrossRef]
- Bayazit, M. Nonstationarity of Hydrological Records and Recent Trends in Trend Analysis: A State-of-the-art Review. Environ. Process. 2015, 2, 527–542. [Google Scholar] [CrossRef]
- Augmented Dickey-Fuller Test. Available online: https://www.mathworks.com/help/econ/adftest.html (accessed on 27 October 2020).
- Diebold, F.X. Unit Root Tests Are Useful for Selecting Forecasting Models. NBER Working Papers J. Bus. Econ. Stat. 2000, 18, 265–273. [Google Scholar]
- Phillips-Perron Test for One Unit Root—MATLAB Pptest. Available online: https://www.mathworks.com/help/econ/pptest.html (accessed on 27 October 2020).
- KPSS Test for Stationarity—MATLAB Kpsstest. Available online: https://www.mathworks.com/help/econ/kpsstest.html (accessed on 24 October 2020).
- Arltová, M.; Fedorová, D. Selection of Unit Root Test on the Basis of Length of the Time Series and Value of AR(1) Parameter. Statistika 2016, 96, 47–64. [Google Scholar]
- Zivot, E.; Wang, J. Unit Roots Tests. In Modeling Financial Time Series with S-PLUS®; Springer: New York, NY, USA, 2016; pp. 111–139. [Google Scholar] [CrossRef]
- Wu, J.; Zhang, R.; Yang, J. Analysis of rainfall–recharge relationships. J. Hydrol. 1996, 177, 143–160. [Google Scholar] [CrossRef]
- Cai, Z.; Ofterdinger, U. Analysis of groundwater-level response to rainfall and estimation of annual recharge in fractured hard rock aquifers, NW Ireland. J. Hydrol. 2016, 535, 71–84. [Google Scholar] [CrossRef]
- Bharathkumar, L.; Mohammed-Aslam, M.A. Long-Term Trend Analysis of Water-Level Response to Rainfall of Gulbarga Watershed, Karnataka, India, In Basaltic Terrain: Hydrogeological Environmental Appraisal in Arid Region. Appl. Water Sci. 2018, 8. [Google Scholar] [CrossRef]
- Şen, Z. Groundwater Recharge Level Estimation from Rainfall Record Probability Match Methodology. Earth Syst. Environ. 2019, 3, 603–612. [Google Scholar] [CrossRef]
- Hocking, M.; Kelly, B. Groundwater recharge and time lag measurement through Vertosols using impulse response functions. J. Hydrol. 2016, 535, 22–35. [Google Scholar] [CrossRef]
- Ross, R.; Krishnamurti, T.; Pattnaik, S.; Pai, D. Decadal surface temperature trends in India based on a new high-resolution data set. Sci. Rep. 2018, 8. [Google Scholar] [CrossRef] [PubMed]
- Ghatak, D.; Zaitchik, B.; Hain, C.; Anderson, M. The role of local heating in the 2015 Indian Heat Wave. Sci. Rep. 2017, 7, 1–8. [Google Scholar] [CrossRef] [PubMed]
- Dash, S.; Kulkarni, M.; Mohanty, U.; Prasad, K. Changes in the characteristics of rain events in India. J. Geophys. Res. 2009, 114, 114. [Google Scholar] [CrossRef]
- Ghosh, S.; Vittal, H.; Sharma, T.; Karmakar, S.; Kasiviswanathan, K. Indian Summer Monsoon Rainfall: Implications of Contrasting Trends in the Spatial Variability of Means and Extremes. PLoS ONE 2016, 11, e0158670. [Google Scholar] [CrossRef]
- Dunne, D. Climate Change’s Impact on Groundwater Could Leave ‘Environmental Time Bomb’. Available online: https://www.carbonbrief.org/climate-change-impact-groundwater-environmental-timebomb (accessed on 26 October 2020).
- Cuthbert, M.; Gleeson, T.; Moosdorf, N.; Befus, K.; Schneider, A.; Hartmann, J.; Lehner, B. Global patterns and dynamics of climate–groundwater interactions. Nat. Clim. Chang. 2019, 9, 137–141. [Google Scholar] [CrossRef]
- Bhanja, S.; Mukherjee, A.; Rodell, M.; Velicogna, I.; Pangaluru, K.; Famiglietti, J. Regional storage changes in the Indian subcontinent: The role of anthropogenic activities. In Proceedings of the AGU Fall Meeting, San Francisco, CA, USA, 15–19 December 2014; Available online: https://ui.adsabs.harvard.edu/abs/2014AGUFMGC21B0533B/abstract (accessed on 22 October 2020).
- Kumar, M.D.; Perry, C.J. What can explain groundwater rejuvenation in Gujarat in recent years? Int. J. Water Resour. Dev. 2014, 35, 891–906. [Google Scholar] [CrossRef]
- Economy of Guntur District. Economic Development Board Andhra Pradesh—Infrastructure. Available online: http://apedb.gov.in/infrastrctr.html (accessed on 25 October 2020).
- Groundwater Resilience to Human Development and Climate Change in South Asia. Available online: https://globalwaterforum.org/2013/08/19/groundwater-resilience-to-human-development-and-climate-change-in-south-asia (accessed on 25 October 2020).
- Loo, Y.; Billa, L.; Singh, A. Effect of climate change on seasonal monsoon in Asia and its impact on the variability of monsoon rainfall in Southeast Asia. Geosci. Front. 2015, 6, 817–823. [Google Scholar] [CrossRef]
- Gogoi, P.; Vinoj, V.; Swain, D.; Roberts, G.; Dash, J.; Tripathy, S. Land use and land cover change effect on surface temperature over Eastern India. Sci. Rep. 2019, 9, 1–10. [Google Scholar] [CrossRef]
- Madhavi, J.; Dorje, D.; Rajender, M.; Dimri, A.P. Monitoring Land use change and its drivers in Delhi, India using multi-temporal satellite data. Model. Earth Syst. Environ. 2016, 2, 19. [Google Scholar] [CrossRef]
- Raipur City, the Capital of Chhattisgarh. Available online: https://www.indyatour.com/india/chhattisgarh/tour-spots/raipur-capital-city-chhattisgarh.php (accessed on 20 October 2020).
- How Naya Raipur Is Emerging as One of the Well-Planned Smart Cities in India. Available online: https://www.thebetterindia.com/95266/naya-raipur-smart-city-chattisgarh (accessed on 24 October 2020).
- Naya Raipur—India’s 4th Planned Capital City Is Developing in Full Swing. Available online: https://worldarchitecture.org/articles/cvegh/naya_raipur__india_s_4th_planned_capital_city_is_developing_in_full_swing.html (accessed on 26 October 2020).
- Tewari, M.; Godfrey, N. Better Cities, Better Growth: India’s Urban Opportunity. Available online: http://newclimateeconomy.report/workingpapers (accessed on 20 October 2020).
- Vishwanath, T.; Lall, S.V.; Dowall, D.; Lozano-Gracia, N. Urbanization beyond Municipal Boundaries: Nurturing Metropolitan Economies and Connecting Peri-Urban Area. Available online: http://documents.worldbank.org/curated/en/373731468268485378/Urbanization-beyond-municipal-boundaries-nurturing-metropolitan-economies-and-connecting-peri-urban-areas-in-India (accessed on 25 October 2020).
- Chinnasamy, P.; Maheshwari, B.; Prathapar, S. Understanding Groundwater Storage Changes and Recharge in Rajasthan, India through Remote Sensing. Water 2015, 7, 5547–5565. [Google Scholar] [CrossRef]
- Prabhakar, A.; Tiwari, H. Land use and land cover effect on groundwater storage. Model. Earth Syst. Environ. 2015, 1, 1–10. [Google Scholar] [CrossRef]
- Arfanuzzaman, M.; Atiq Rahman, A. Sustainable water demand management in the face of rapid urbanization and ground water depletion for social–ecological resilience building. Glob. Ecol. Conserv. 2017, 10, 9–22. [Google Scholar] [CrossRef]
- Le Vo, P. Urbanization and water management in Ho Chi Minh City, Vietnam-issues, challenges and perspectives. Geojournal 2007, 70, 75–89. [Google Scholar] [CrossRef]









| City | State | Population (Census 2011) | Population Growth Rate, % (2001–2011 Census) | Population Density (No. of People Per sq. km) | Number of Observatory Wells Studied |
|---|---|---|---|---|---|
| Allahabad | Uttar Pradesh | 1,112,544 | 21 | 14,000 | 31 |
| Guntur | Andhra Pradesh | 743,354 | 45 | 430 | 21 |
| Jodhpur | Rajasthan | 1,033,918 | 28 | 4900 | 19 |
| Raipur | Chhattisgarh | 1,010,087 | 35 | 4500 | 26 |
| Solapur | Maharashtra | 951,558 | 12 | 5300 | 49 |
| Tiruchirappalli | Tamil Nadu | 916,674 | 13 | 5500 | 17 |
| Rajkot | Gujarat | 1,286,678 | 20 | 110 | 54 |
| City | TWS Trend (cm/year) | MMK Significance for Trend | Significance Value |
|---|---|---|---|
| Tiruchirappalli | −0.51 | No | 0.021 |
| Solapur | −0.67 | No | 0.015 |
| Rajkot | 0.67 | No | 0.001 |
| Raipur | 0.28 | Yes | 0.43 |
| Jodhpur | −1.79 | No | 0 |
| Allahabad | 0.29 | Yes | 0.44 |
| Guntur | −0.49 | Yes | 0.07 |
| Cities | Land Use/Land Cover | 2001 | 2018 | Land-Use Change (2001–2018) | |||
|---|---|---|---|---|---|---|---|
| Area (km2) | Area (%) | Area (km2) | Area (%) | Area (km2) | Area (%) | ||
| Rajkot | Evergreen needle leaf vegetation | 2.7 | 0.4 | 0.0 | 0.0 | −2.7 | −0.4 |
| Grass lands | 585.4 | 84.0 | 582.2 | 82.3 | −3.3 | −1.7 | |
| Bare soil | 0.0 | 0.0 | 0.9 | 0.1 | 0.9 | 0.1 | |
| Urban | 108.7 | 15.6 | 124.1 | 17.6 | 15.4 | 2.0 | |
| Crop lands | 254.6 | 37.6 | 256.4 | 37.9 | 1.9 | 0.3 | |
| Raipur | Grass lands | 337.0 | 49.8 | 324.0 | 47.9 | −13.0 | −1.9 |
| Urban | 85.2 | 12.6 | 96.3 | 14.2 | 11.1 | 1.6 | |
| Evergreen broad leaf vegetation | 71.2 | 10.3 | 47.8 | 6.9 | −23.4 | −3.4 | |
| Solapur | Grass lands | 537.6 | 77.3 | 562.9 | 81.0 | 25.3 | 3.7 |
| Urban | 86.2 | 12.4 | 84.3 | 12.1 | −1.9 | −0.3 | |
| Evergreen needle leaf vegetation | 0.0 | 0.0 | 59.0 | 8.6 | 59.0 | 8.6 | |
| Evergreen broad leaf vegetation | 0.0 | 0.0 | 2.8 | 0.4 | 2.8 | 0.4 | |
| Jodhpur | Deciduous broad leaf vegetation | 365.2 | 52.9 | 260.4 | 37.7 | −104.9 | −15.2 |
| Crop lands | 176.1 | 25.5 | 233.2 | 33.8 | 57.1 | 8.3 | |
| Grass lands | 60.9 | 8.8 | 36.5 | 5.3 | −24.4 | −3.5 | |
| Urban | 88.0 | 12.8 | 98.3 | 14.2 | 10.3 | 1.4 | |
| Tiruchirappalli | Evergreen needle leaf vegetation | 0.3 | 0.0 | 0.3 | 0.0 | 0.0 | 0.0 |
| Evergreen broad leaf vegetation | 6.8 | 0.9 | 9.5 | 1.3 | 2.8 | 0.4 | |
| Deciduous broad leaf vegetation | 3.5 | 0.5 | 3.5 | 0.5 | 0.0 | 0.0 | |
| Grass lands | 651.8 | 87.4 | 649.0 | 87.0 | −2.8 | −0.4 | |
| Urban | 83.8 | 11.2 | 83.8 | 11.2 | 0.0 | 0.0 | |
| Guntur | Evergreen Broad leaf Vegetation | 51.0 | 6.6 | 47.5 | 6.2 | −3.5 | −0.5 |
| Deciduous Broad leaf Vegetation | 29.3 | 3.8 | 19.3 | 2.5 | −10.0 | −1.3 | |
| Grass lands | 611.0 | 79.7 | 623.8 | 81.3 | 12.8 | 1.7 | |
| Urban | 75.8 | 9.9 | 76.5 | 10.0 | 0.8 | 0.1 | |
| Allahabad | Crop lands | 549.5 | 69.7 | 573.3 | 72.7 | 23.8 | 3.0 |
| Grass lands | 98.8 | 12.5 | 72.3 | 9.2 | −26.5 | −3.4 | |
| Barren soil | 13.3 | 1.7 | 12.0 | 1.5 | −1.3 | −0.2 | |
| Urban | 127.3 | 16.1 | 131.3 | 16.6 | 4.0 | 0.5 | |
| LULC Class | R-Value: Wells with Increasing GWL Trends | R-Value: Wells with Decreasing GWL Trends |
|---|---|---|
| Evergreen Needle leaf Vegetation | 0.32 | −0.59 |
| Evergreen Broadleaf Vegetation | −0.20 | 0.05 |
| Deciduous Needle leaf Vegetation | - | - |
| Deciduous Broadleaf Vegetation | −0.27 | 0.72 |
| Cropland | 0.19 | −0.69 |
| Grass land | −0.21 | 0.41 |
| Bare Soil | −0.97 | 0.93 |
| Urban | −0.22 | 0.14 |
Publisher’s Note: MDPI stays neutral with regard to jurisdictional claims in published maps and institutional affiliations. |
© 2020 by the authors. Licensee MDPI, Basel, Switzerland. This article is an open access article distributed under the terms and conditions of the Creative Commons Attribution (CC BY) license (http://creativecommons.org/licenses/by/4.0/).
Share and Cite
Mohanavelu, A.; Kasiviswanathan, K.S.; Mohanasundaram, S.; Ilampooranan, I.; He, J.; Pingale, S.M.; Soundharajan, B.-S.; Diwan Mohaideen, M.M. Trends and Non-Stationarity in Groundwater Level Changes in Rapidly Developing Indian Cities. Water 2020, 12, 3209. https://doi.org/10.3390/w12113209
Mohanavelu A, Kasiviswanathan KS, Mohanasundaram S, Ilampooranan I, He J, Pingale SM, Soundharajan B-S, Diwan Mohaideen MM. Trends and Non-Stationarity in Groundwater Level Changes in Rapidly Developing Indian Cities. Water. 2020; 12(11):3209. https://doi.org/10.3390/w12113209
Chicago/Turabian StyleMohanavelu, Aadhityaa, K. S. Kasiviswanathan, S. Mohanasundaram, Idhayachandhiran Ilampooranan, Jianxun He, Santosh M. Pingale, B.-S. Soundharajan, and M. M. Diwan Mohaideen. 2020. "Trends and Non-Stationarity in Groundwater Level Changes in Rapidly Developing Indian Cities" Water 12, no. 11: 3209. https://doi.org/10.3390/w12113209
APA StyleMohanavelu, A., Kasiviswanathan, K. S., Mohanasundaram, S., Ilampooranan, I., He, J., Pingale, S. M., Soundharajan, B.-S., & Diwan Mohaideen, M. M. (2020). Trends and Non-Stationarity in Groundwater Level Changes in Rapidly Developing Indian Cities. Water, 12(11), 3209. https://doi.org/10.3390/w12113209

