Abstract
Humic acids (HAs) have important environmental and geochemical effects on soil, water environments and sediment. HAs strongly complex some metal ions, which affects the migration of metal ions and the colloidal aggregation of HA. Here, the complexation of Ca2+ and Mg2+ with HA in aqueous solution under neutral conditions has been systematically studied by molecular dynamics (MD) simulation. The results show that the aggregation of HA is caused by the complexation of HA and metal ions, mainly due to the intermolecular bridging between Ca2+, Mg2+ and COO− groups. Monodentate and bidentate coordinations have been found between Ca2+ and COO− groups of different HA molecules in the same simulation system. Mg2+ only has a monodentate coordination with COO− group.
1. Introduction
Humic acids (HAs) are a common chemical component in soil, groundwater and sediment. The acids are ubiquitous in the environment and are mainly formed by the weathering and decay of plants [,,]. Complexes of HAs with inorganic and organic compounds have different chemical and biological stability and play an important role in the purification and advanced treatment of petrochemical wastewater. HA is considered to be the main pollution source of ultrafiltration (UF), nanofiltration (NF) and reverse osmosis (RO) membranes, which directly leads to the formation of the surface regulation layer (“biofouling”) to which microorganisms are attached [,,]. HA can also combine with metal ions and form metal complexes in natural water and petrochemical wastewater, thus affecting the solubility, fluidity, toxicity and bioavailability of metals []. Some research has reported the effects of pH [], metal species [] and temperature [] on the aggregation of HA. However, the effect of metal ion types on the aggregation behaviors of HA has not yet been clearly discussed. The strong complexation between HA and metal ions plays a fundamental role in the treatment of metal pollution and the elimination of HA in solution [,].
Most studies on aggregation have only focused on macroscopic experimental phenomena due to different experimental variables, such as the different aggregate sizes and electrokinetic properties of HA colloids. The relationship between different critical coagulation concentration (CCC) values and the adhesion efficiency of HA aggregates due to the presence of typical metal ions has rarely been studied []. Moreover, different types of metal ions may have different effects on the aggregation of HA, even if they have the same valence state. Recent analysis revealed that the aggregation behaviors and binding interactions of colloids rely on metal cation valence as well as cation types. For example, Stirpe et al. [] found that Cu2+ demonstrates greater influence than Zn2+ in modifying the kinetics of protein aggregation. Kalinichev et al. [] studied the molecular dynamics (MD) simulation of the interaction between natural organic compounds (NOM) and metal ions (Na+, Cs+, Mg2+, Ca2+). The results showed that monovalent ions form very weak outer spherical complexes with NOM, and Mg2+ has a weak interaction with NOM because of its strong hydration shell; the binding of Ca2+ with NOM was the strongest of all studied ions. The above results were obtained only in terms of the radial distribution functions (RDFs) and coordination number, However, the interaction energy was not calculated. Ai et al. [] studied the aggregation mechanism of HA with different heavy metal ions (Ag+, Cd2+, Cr3+) and common metal ions (Na+, Ca2+, Al3+) by MD simulation. However, the aggregation of HA with the same valence state has been less widely discussed. In addition, the internal mechanism of the aggregation process between HA and metal aggregates, such as an intramolecular or intermolecular binding interaction, has not been studied thoroughly. A comprehensive study of the binding behavior of metal ions with HA, especially different aggregations of HA, will increase our understanding of their impacts in petrochemical wastewater treatment. In the present study, Ca2+ and Mg2+ with the same valence state in concentrated petrochemical wastewater were chosen to evaluate the interaction of HA under neutral conditions []. To characterize the aggregation process of HA metal complexes, the interaction energy, RDFs, solvent accessible surface areas (SASAs) and hydrogen bonds of different metal ion complexes were analyzed by using MD simulation. These analyses enhance our understanding the structure, kinetics and aggregation characteristics of HA, which is crucial to evaluate the application of HA in the removal process of metal ions from petrochemical wastewater and to reduce membrane pollution.
2. Models and Computational Methods
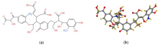
The Temple-Northeastern-Birmingham (TNB) [,] model is usually used as a typical representative of HA in experiments and is successfully used in simulation because TNB is similar to HA and its MD simulation is simple [,,]. The molecular weight of the TNB model is 753 Daltons, which is in the range of the most common HA molecules []. As shown in Figure 1a, the TNB model contains three carboxyl groups, three carbonyl groups, two phenolic groups, two amino groups and four other R-OH alcohol groups [,,]. Figure 1a shows the size, composition and molecular structure of the TNB model (C36H40O16N2), and Figure 1b shows the morphology of the TNB model in simulation software (Materials Studio 2019, Accelrys, San Diego, USA). As shown in Table 1, the experimental characterization of TNB model is extremely consistent with that of other HA models [].

Figure 1.
Molecular structure of the Temple-Northeastern-Birmingham (TNB) model: (a) the structural formula of the TNB model; (b) the morphology of TNB model in simulation software. C (gray), O (red), H (yellow), N (blue).

Table 1.
Experimental data of several humic acid (HA) molecular models.
In the simulation, functional groups of HA were shown to have different protonation states under different pH conditions. The experimental results show that the three carboxyl groups of TNB (pKa = 4~5) are completely deprotonated under neutral conditions, while the two phenolic groups are completely protonated under neutral conditions (pKa ≈ 9) []. Because the amino group of the TNB model is located on the benzene ring, which is similar to aniline, according to the pKa value of aniline (pKa = 4.6), the amino group of TNB model can always remain electrically neutral (NH2) []. These deprotonated carboxyl groups are the main source of negative charge in the simulated system at neutral pH and are also important binding sites of metal ions in the aggregation state because of the charge attraction to deprotonated sites. In this study, the force field used was COMPASS [], which is commonly used in organic compounds. The force field can be regarded as the empirical expression of the potential energy surface, which is the basis of molecular mechanics, MD and the Monte Carlo simulation. In MD simulation, the force field method is used to calculate the energy of the system according to the position of atoms. Compared with the previous quantum mechanical method, it can save a large amount of time and can be used to perform calculations for systems containing tens of thousands of particles. The COMPASS force field can accurately simulate various organic and inorganic substances in a gaseous state, liquid state or solid state [,]. Firstly, energy minimization was performed for TNB and water molecules, respectively []. The optimized O-H bond length of water molecules was 0.957 Å, and the H-O-H angle was 104.526°. A simple point charge (SPC) was used by building a water model to describe the water molecules in the simulation system, and then four TNB molecules were randomly inserted into a water box (density: 997 kg/m3 []) by using an AC module. The simulation system had 12 negative charges. Then, six divalent cations (Ca2+/Mg2+) were added into the above frame to compensate for excess negative charges. The Smart method was used to minimize the energy of the system. The Smart method integrates the steepest descent method, conjugate gradient method and Newton method. It can shorten the time required for configuration optimization and improve the optimization accuracy. An NPT ensemble was used in the simulation system. The temperature was controlled at 298K by Andersen []. The initial velocity of each molecule was randomly generated by the distribution. The Ewald method was used to calculate the long-range electrostatic interaction, and an atom-based method was used to calculate the van der Waals interaction. The time step was 1 fs, and the trajectory information was recorded every 1 ps. The total simulation time was 1 ns. All MD simulation systems were completed by using the Materials Studio 2019 package. In the simulation system, the nitrogen and oxygen in the second period of the periodic table of elements, directly connected to the hydrogen atom, were hydrogen bonded, including -OH, -COO−, -NH2 and water molecules. The interaction energy and the number of hydrogen bonds were calculated using a self-made program.
In order to study the interaction between metal ions and TNB to reveal the difference in the translational mobility of ions around TNB molecules, different ion situations were chosen to analyze the diffusion coefficients of ions and TNB in the first 200 ps. The mean square displacement (MSD) [,] and diffusion coefficient (D) [] were obtained by fitting the curves. MSD was determined by
and (D) was defined as
where rj(t) is the atomic position of the target molecule at time t and < > indicates that all ion position parameters in the simulated system are averaged.
The interaction between TNB and metal ions was investigated because RDFs enable a general understanding of the distance and strength of the interaction between atoms. Therefore, in this study, RDFs analysis was carried out. The coordination number (n) [,] refers to the number of coordination atoms around the central atom in a compound, and the n of atomic interaction was obtained by the following equation:
where n is the number of specific atoms in a peak, r is the distance from the atom to the target atom, ρ is the number density of the atom in the main phase and g(r) is the RDFs from the atom to the target atom.
3. Results and Discussion
3.1. System Equilibrium and Interaction Energy
The completed simulation system is shown in Figure 2a,b. The distance between the metals and TNB is very small, and they become aggregated. Important criteria determining whether the NPT simulation system was in equilibrium were as follows: (1) temperature balance—the standard deviation of temperature change was required to be less than 5%; (2) energy balance—the energy was required to be constant or to fluctuate along a constant value; and (3) density balance—the density change was required to be less than 5%. Through calculation, it was found that the temperature, energy and density deviation of the last 200 ps were less than 3%, and the system reached equilibrium. Therefore, the subsequent analysis could be carried out, and the data were valid.

Figure 2.
Snapshots of (a) Ca2+-TNB (b) Mg2+-TNB equilibrium after molecular dynamic simulation. Ca2+ (pink), Mg2+ (purple), O (red).
Figure 3 shows the MSD of metal ions and TNB in different systems. It can be seen that TNB in water molecules has a low migration ability, which is mainly caused by the strong hydrogen bonds and electrostatic interaction between TNB and water. The corresponding D of molecules and ions are calculated and listed in Table 2. A comparison between Ca2+-TNB and Mg2+-TNB shows a larger D value of Ca2+ and a stronger diffusion ability of Ca2+, which is mainly because Mg2+ is more electronegative than Ca2+. The stronger electronegativity of Mg2+ leads to a smaller ion radius. Therefore, the charge of Mg2+ nucleus is higher. Mg2+ has a stronger electric field strength and a greater interaction with water molecules [] (Figure 4).

Figure 3.
Mean square displacement (MSD) of TNB and ions in different systems.

Table 2.
Diffusion coefficients of TNB and ions in different systems.

Figure 4.
Interaction energy between ions and water molecules.
3.2. RDFs and Coordination Number
RDFs and coordination numbers are calculated and summarized in Figure 5 and Table 3. As shown in Figure 5a, the first sharp peaks of “Ca2+-carboxyl”, “Ca2+-water” and “Ca2+-hydroxyl” are located in dCa,carboxyl I = 2.1 Å, dCa,water I = 2.3 Å and dCa,OH = 4.1 Å, respectively (dA,B I: distance of first sharp peaks between A and B). Each Ca2+ has 1.59 O atoms of the COO− groups, 0.27 O atoms of hydroxyl and 0.57 H2O molecules in the first coordination shell on average. The second peaks of “Ca2+-carboxyl” and “Ca2+-water” are located in dCa,carboxyl II = 3.7 Å and dCa,water II = 4.5 Å. Each Ca2+ has 0.10 O atoms of the COO− groups and 0.30 H2O molecules in the second coordination shell. The RDFs of Mg2+ are shown in Figure 5b; the first sharp peaks of “Mg2+-carboxyl” and “Mg2+-water” are located in dMg,carboxyl I = 1.7 Å and dMg,water I = 1.9 Å. Each Mg2+ has 0.92 O atoms (COO−) and 0.74 H2O molecules in the first coordination shell on average. There are 0.31 O atoms (COO−) and 0.27 H2O molecules in the second coordination shell of Mg2+ on average (dMg,carboxyl II = 3.5 Å, dMg,water II = 4.3 Å). Because the electronegativity of Mg2+ is greater than that of Ca2+, the shell of Mg2+ hydration (dMg,water I = 1.9 Å, dMg,water II = 4.3 Å) is thinner than that of Ca2+ (dCa,water I = 2.3 Å, dCa,water II = 4.5 Å) []. The number of water molecules in the first hydration shell is an effective parameter for evaluating the interaction strength between polar groups and water []. The total coordination number of Ca2+ and H2O is 0.87, which is smaller than that of Mg2+ and H2O (1.01). The binding of water molecules to Ca2+ is not as close as other combinations because the charge radius ratio of Ca2+ is smaller than that of Mg2+, which is consistent with the above analysis. It can also be seen that the distance between different shell layers of the hydration shell is about 2.2~2.4 Å, which is very close to the length of the hydrogen bond. Therefore, it is thought that the water molecules in the first water shell can form hydrogen bonds with the water molecules in the second water shell. In other words, the first and second water shells are connected by hydrogen bonds []. The coordination number of Mg2+ and the hydroxyl group is 0.25 (dMg,OH = 3.7 Å); this is smaller than that of Ca2+ and the hydroxyl group (0.27), and the binding ability of these two ions to the hydroxyl group is low.

Figure 5.
Radial distribution functions of (a) Ca2+ and (b) Mg2+ associated with O atoms of COO− and O atoms of hydroxy and water molecules.

Table 3.
Radii of the first and second coordination shells around Ca2+/Mg2+ and coordination numbers of association with COO− and OH of TNB and water molecules.
All the above results can be further verified by the geometric analysis of a snapshot from the MD simulation, which is shown in Figure 6. The snapshot of simulated trajectories in Figure 6a shows that both monodentate (2.133 Å) and bidentate (2.029 Å and 2.154 Å) coordination were present between Ca2+ and COO− groups of different TNB molecules. The geometry of the Ca2+-TNB complex reveals the strong bidentate coordination of COO− groups of two different TNB molecules to Ca2+. This shows that Ca2+ is complexed with two or more carboxylic acids, and this structure is consistent with previous simulation results [,]. In Figure 6b, it is seen that a monodentate coordination exists in the Mg2+-TNB complex, and the coordination distance (1.663~1.719 Å) is shorter than that of the Ca2+-TNB system (2.029~2.154 Å).

Figure 6.
The coordination of TNB with (a) Ca2+ and (b) Mg2+ from snapshots of the molecular dynamics simulations. Ca2+ (pink), Mg2+ (purple), O (red). The coordination of water molecules with metal ions is represented by the ball stick model. The coordination between TNB and metal ions is represented by the ball bar model, the others are linear models, and the bond length is in angstroms.
3.3. Solvent Accessible Surface Areas and Hydrogen Bonds
As shown in Figure 7, the SASAs of TNB molecules in the studied systems under a neutral condition are calculated, and the solvent radius is set to 1.4 Å []. Hydrophilic functional groups of TNB, such as carboxyl, hydroxyl and amino groups, play an important role in the system, and the hydrophilic region accounts for the majority of total SASAs. The interaction energy between TNB and Mg2+ decreased to −668.28 kcal/mol at the end of the simulation. However, in the simulated Ca2+-TNB system, the interaction energy decreased slowly and finally decreased to only −282.72 kcal/mol, indicating that Ca2+ could not interact with TNB effectively (Figure 8). The SASA of Ca2+-TNB was 2300.52 Å2, and that of Mg2+-TNB was 2145.10 Å2. A smaller interaction between TNB and Ca2+ leads to an increase of the hydrophilic area of the Ca2+-TNB system because dispersive TNB will expose more hydrophilic groups. The above analysis shows that the interaction between TNB and Ca2+ is much weaker than that of Mg2+-TNB.


Figure 7.
The morphology of TNB in (a) Ca2+-TNB and (c) Mg2+-TNB before calculation (solvent accessible surface areas) and of TNB in (b) Ca2+-TNB and (d) Mg2+-TNB after calculation.

Figure 8.
Interaction energy between metal ions and TNB.
The surface of TNB molecules easily forms intermolecular or intramolecular hydrogen bonds, which accelerates the aggregation of TNB molecules. The number of hydrogen bonds between functional groups of TNB was obtained using a self-made program, and the process under a neutral pH condition was analyzed. The aggregation process of the TNB molecule in the metal ion solution with hydrogen bonds between functional groups is shown in Figure 9. These results show that the hydrogen bonds between different functional groups of TNB molecules may be an important factor for aggregation under a neutral condition. The hydrogen bonds generated by the hydroxyl group and carboxyl group amounted to 25.3 in Ca2+-TNB, and the hydrogen bonds generated by the hydroxyl and carboxyl groups amounted to 14.8 in Mg2+-TNB; these values are greater than those of the other three groups. Hydroxyl and carboxyl groups are the weakest of all groups in the system. Hydroxyl and carboxyl groups are dominant in the aggregation process of HA in all simulated metal ion solutions under a neutral condition.

Figure 9.
Number of hydrogen bonds between functional groups of TNB.
4. Conclusions
The aggregation mechanism of HA in aqueous solutions containing Ca2+ and Mg2+ was studied by computational molecular dynamics under neutral conditions. The TNB model was used to represent HA. Under neutral conditions, the carboxyl group of TNB is deprotonated to COO−, and the negative charge of the system is neutralized by the addition of metal cations. Compared with Ca2+-TNB and Mg2+-TNB, the interaction between Mg2+ and water is stronger, and so the diffusion coefficient of Mg2+ is lower. The addition of metal ions reduces the electrostatic repulsion of TNB and coordinates with the COO− and OH of TNB. Different coordination numbers have different effects on the aggregation behavior of TNB under neutral conditions. Metal ions can form intramolecular or intermolecular bridges with different functional groups through electrostatic synergy. Ca2+ and COO− of TNB can form bidentate (2.029 Å and 2.154 Å) complexes, while Mg2+ can only form monodentate (2.133 Å) complexes with the COO− of TNB. The interaction between TNB and Ca2+ is weaker, so the dispersed TNB in Ca2+-TNB will expose more hydrophilic groups. The SASAs of TNB in Ca2+-TNB (2300.52 Å2) were found to be larger than those of TNB in Mg2+-TNB (2145.10 Å2). The hydrogen bonds between hydroxyl groups and carboxyl groups are dominant in the aggregation process of HA in all simulated metal ion solutions under neutral conditions.
Author Contributions
X.W., Manuscript writing and revision; Y.X., review and editing; L.Y. and K.X., parameter optimization; Y.J. and N.L., parameter analysis; X.H., project administration. All authors have read and agreed to the published version of the manuscript.
Funding
National Water Pollution Control and Treatment Science and Technology Major Project of China (2017ZX07402002-05-02).
Acknowledgments
This work was supported by National Water Pollution Control and Treatment Science and Technology Major Project of China (2017ZX07402002-05-02).
Conflicts of Interest
The authors declare no conflict of interest.
References
- Kalinichev, A.G.; Iskrenova-Tchoukova, E.; Ahn, W.Y.; Clark, M.M.; Kirkpatrick, R.J. Effects of Ca2+ on supramolecular aggregation of natural organic matter in aqueous solutions: A comparison of molecular modeling approaches. Geoderma 2011, 169, 27–32. [Google Scholar] [CrossRef]
- Stedmon, C.A.; Thomas, D.N.; Granskog, M.; Kaartokallio, H.; Papadimitriou, S.; Kuosa, H. Characteristics of dissolved organic matter in Baltic coastal sea ice: Allochthonous or autochthonous origins? Environ. Sci. Technol. 2007, 41, 7273–7279. [Google Scholar] [CrossRef] [PubMed]
- Leenheer, J.A. Systematic approaches to comprehensive analyses of natural organic matter. Ann. Environ. Sci. 2009, 3, 1–130. [Google Scholar]
- Hong, S.; Elimelech, M. Chemical and physical aspects of natural organic matter (NOM) fouling of nanofiltration membranes. J. Membr. Sci. 1997, 132, 159–181. [Google Scholar] [CrossRef]
- Ahn, W.Y.; Kalinichev, A.G.; Clark, M.M. Effects of background cations on the fouling of polyethersulfone membranes by natural organic matter: Experimental and molecular modeling study. J. Membr. Sci. 2008, 309, 128–140. [Google Scholar] [CrossRef]
- Liu, S.S.; Zhu, Y.R.; Liu, L.Z.; He, Z.; Giesy, J.P.; Bai, Y.; Sun, F.; Wu, F. Cation-induced coagulation of aquatic plant-derived dissolved organic matter: Investigation by EEM-PARAFAC and FT-IR spectroscopy. Environ. Pollut. 2018, 234, 726–734. [Google Scholar] [CrossRef]
- Stolpe, B.; Guo, L.D.; Shiller, A.M.; Aiken, G.R. Abundance, size distributions and trace-element binding of organic and iron-rich nanocolloids in Alaskan rivers, as revealed by field-flow fractionation and ICP-MS. Geochim. ET Cosmochim. Acta 2013, 105, 221–239. [Google Scholar] [CrossRef]
- Yan, M.Q.; Wang, D.S.; Korshin, G.V.; Benedetti, M.F. Quantifying metal ions binding onto dissolved organic matter using log-transformed absorbance spectra. Water Res. 2013, 47, 2603–2611. [Google Scholar] [CrossRef]
- Yamashita, Y.; Jaffé, R. Characterizing the interactions between trace metals and dissolved organic matter using excitation-emission matrix and parallel factor analysis. Environ. Sci. Technol. 2008, 42, 7374–7379. [Google Scholar] [CrossRef]
- Kikuchi, T.; Fujii, M.; Terao, K.; Jiwei, R.; Lee, Y.P.; Yoshimura, C. Correlations between aromaticity of dissolved organic matter and trace metal concentrations in natural and effluent waters: A case study in the Sagami River Basin, Japan. Sci. Total Environ. 2017, 576, 36–45. [Google Scholar] [CrossRef]
- Xu, H.C.; Guan, D.X.; Zou, L.; Lin, H.; Guo, L. Contrasting effects of photochemical and microbial degradation on Cu(II) binding with fluorescent DOM from different origins. Environ. Pollut. 2018, 239, 205–214. [Google Scholar] [CrossRef] [PubMed]
- Wu, Z.H.; Gu, Z.M.; Wang, X.R.; Evans, L.; Guo, H. Effects of organic acids on adsorption of lead onto montmorillonite, goethite and humic acid. Environ. Pollut. 2003, 121, 469–475. [Google Scholar] [CrossRef]
- Tan, L.Q.; Yu, Z.W.; Tan, X.L.; Fang, M.; Wang, X.; Wang, J.; Xing, J.; Ai, Y.; Wang, X. Systematic studies on the binding of metal ions in aggregates of humic acid: Aggregation kinetics, spectroscopic analyses and MD simulations. Environ. Pollut. 2019, 246, 999–1007. [Google Scholar] [CrossRef] [PubMed]
- Stirpe, A.; Rizzuti, B.; Pantusa, M.; Bartucci, R.; Sportelli, L.; Guzzi, R. Thermally induced denaturation and aggregation of BLG-A: Effect of the Cu2+ and Zn2+ metal ions. Eur. Biophys. J. Biophys. Lett. 2008, 37, 1351–1360. [Google Scholar] [CrossRef]
- Kalinichev, A.G.; Kirkpatrick, R.J. Molecular dynamics simulation of cationic complexation with natural organic matter. Eur. J. Soil Sci. 2007, 58, 909–917. [Google Scholar] [CrossRef]
- Ai, Y.J.; Zhao, C.F.; Sun, L.; Wang, X.; Liang, L. Coagulation mechanisms of humic acid in metal ions solution under different pH conditions: A molecular dynamics simulation. Sci. Total Environ. 2020, 702. [Google Scholar] [CrossRef]
- Oren, Y.; Korngold, E.; Daltrophe, N.; Messalem, R.; Volkman, Y.; Aronov, L.; Weismann, M.; Bouriakov, N.; Glueckstern, P.; Gilron, J. Pilot studies on high recovery BWRO-EDR for near zero liquid discharge approach. Desalination 2010, 261, 321–330. [Google Scholar] [CrossRef]
- Davies, G.; Fataftah, A.; Cherkasskiy, A.; Ghabbour, E.A.; Radwan, A.; Jansen, S.A.; Kolla, S.; Paciolla, M.D.; Sein, L.T.; Fataftah, A.; et al. Tight metal binding by humic acids and its role in biomineralization. J. Chem. Soc. Dalton Trans. 1997, 1997, 4047–4060. [Google Scholar] [CrossRef]
- Sutton, R.; Sposito, G. Molecular structure in soil humic substances: The new view. Environ. Sci. Technol. 2005, 39, 9009–9015. [Google Scholar] [CrossRef]
- Xu, X.; Kalinichev, A.G.; Kirkpatrick, R.J. 133Cs and 35Cl NMR spectroscopy and molecular dynamics modeling of Cs+ and Cl− complexation with natural organic matter. Geochim. Cosmochim. Acta 2006, 70, 4319–4331. [Google Scholar] [CrossRef]
- Jansena, S.A.; Malaty, M.; Nwabara, S.; Johnson, E.; Ghabbour, E.; Davies, G.; Varnum, J.M. Structural modeling in humic acids. Mater. Sci. Eng. C 1996, 4, 175–179. [Google Scholar] [CrossRef]
- Sein, L.T.; Varnum, J.M.; Jansen, S.A. Conformational Modeling of a New Building Block of Humic Acid: Approaches to the Lowest Energy Conformer. Environ. Sci. Technol. 1999, 33, 546–552. [Google Scholar] [CrossRef]
- Piccolo, A. The supramolecular structure of humic substances: A novel understanding of humus chemistry and implications in soil science. Adv. Agron. 2002, 75, 57–134. [Google Scholar]
- Steelink, C. Implications of elemental characteristics of humic substances. In Humic Substances in Soil, Sediment, and Water; Aiken, G.R., McKnight, D.M., Warshaw, R.L., Eds.; Wiley: New York, NY, USA, 1985; pp. 457–476. [Google Scholar]
- Diallo, M.S.; Simpson, A.; Gassman, P.; Faulon, J.L.; Johnson, J.H.; Goddard, W.A.; Hatcher, P.G. 3-D structural modeling of humic acids through experimental characterization, computer assisted structure elucidation and atomistic simulations. 1. Chelsea soil humic acid. Environ. Sci. Technol. 2003, 37, 1783–1793. [Google Scholar] [CrossRef] [PubMed]
- Sutton, R.; Sposito, G.; Diallo, M.S.; Schulten, H.-R. Molecular simulation of a model of dissolved organic matter. Environ. Toxicol. Chem. 2005, 24, 1902–1911. [Google Scholar] [CrossRef] [PubMed]
- Ritchie, J.D.; Perdue, E.M. Proton-binding study of standard and reference fulvic acids, humic acids, and natural organic matter. Geochim. Cosmochim. Acta 2003, 67, 85–96. [Google Scholar] [CrossRef]
- Sun, H.J. COMPASS: An ab Initio Force-Field Optimized for Condensed-Phase Applications Overview with Details on Alkane and Benzene Compounds. J. Phys. Chem. B 1998, 102, 7338–7364. [Google Scholar] [CrossRef]
- Kubicki, J.D. Molecular mechanics and quantum mechanical modeling of hexane soot structure and interactions with pyrene. Geochem. Trans. 2000, 1, 41–46. [Google Scholar] [CrossRef]
- Tsierkezos, N.G.; Molinou, I.E. Thermodynamic Properties of Water + Ethylene Glycol at 283.15, 293.15, 303.15, and 313.15 K. J. Chem. Eng. Data 1998, 43, 989–993. [Google Scholar] [CrossRef]
- Yuan, S.L.; Ma, L.X.; Zhang, X.Q.; Zheng, L. Molecular dynamics studies on monolayer of cetyltrimethylammonium bromide surfactant formed at the air/water interface. Colloids Surf. A Physicochem. Eng. Asp. 2006, 289, 1–9. [Google Scholar] [CrossRef]
- Zhao, T.T.; Xu, G.Y.; Yuan, S.; Chen, Y.; Yan, H. Molecular dynamics study of alkyl benzene sulfonate at air/water interface: Effect of inorganic salts. J. Phys. Chem. B 2010, 114, 5025–5033. [Google Scholar] [CrossRef] [PubMed]
- Chen, Y.J.; Xu, G.Y.; Yuan, S.L.; Sun, H.-Y. Molecular dynamics simulations of AOT at isooctane/water interface. Colloids Surf. A Physicochem. Eng. Asp. 2006, 273, 174–178. [Google Scholar] [CrossRef]
- Xu, J.F.; Zhang, Y.; Chen, H.X.; Wang, P.; Xie, Z.; Yao, Y.; Yan, Y.; Zhang, J. Effect of surfactant headgroups on the oil/water interface: An interfacial tension measurement and simulation study. J. Mol. Struct. 2013, 1052, 50–56. [Google Scholar] [CrossRef]
- Gao, S.M.; Kang, Z.H.; Yuan, R.X.; Liu, N.; Zhu, P.; Wang, B. Molecular dynamics study of nonylphenol-substituted dodecyl sulfonate at air/water interface: Role of steric effect of surfactant headgroups. J. Mol. Struct. 2019, 1192, 35–41. [Google Scholar] [CrossRef]
- Iskrenova-Tchoukova, E.; Kalinichev, A.G.; Kirkpatrick, R.J. Metal Cation Complexation with Natural Organic Matter in Aqueous Solutions: Molecular Dynamics Simulations and Potentials of Mean Force. Langmuir 2010, 26, 15909–15919. [Google Scholar] [CrossRef]
Publisher’s Note: MDPI stays neutral with regard to jurisdictional claims in published maps and institutional affiliations. |
© 2020 by the authors. Licensee MDPI, Basel, Switzerland. This article is an open access article distributed under the terms and conditions of the Creative Commons Attribution (CC BY) license (http://creativecommons.org/licenses/by/4.0/).