Abstract
Coastal lagoon types of Western Greece were allocated to a spectrum of meso to polyhaline chocked lagoons; poly to euhaline restricted lagoons; and euhaline restricted lagoons along the Ionian Sea coast. This diversity comprises wide ranges of physical, chemical and environmental parameters in a seasonal and annual scale, which explains the variability in the distribution of benthic macrophytes. Four different macrophyte assemblages were distinguished, characterized by annual or perennial species. Extensive statistical analysis showed that salinity and nitrate concentrations had a great impact on the composition and distribution of macrophyte assemblages into lagoon types that also changed their abundance on a seasonal and annual scale. During the monitoring period, an important salinity shift in a chocked lagoon might cause the gradual loss of Zostera noltii and its replacement by Ruppia cirrhosa. Restricted lagoons were characterized by higher species diversity, while the other three identified macrophyte assemblages were dominated by the angiosperms Ruppia cirrhosa and Cymodocea nodosa. This integrated study of coastal lagoons is likely to be broadly applicable, since it was based on important parameters affecting such ecosystems, and the provided links between macrophyte assemblages and abiotic factors are of critical importance to improve management and environmental policies.
1. Introduction
Coastal lagoons are dynamic ecosystems characterized by shallow waters isolated from the open sea by the presence of coastal barriers. Therefore, they represent an ecotone between marine, fresh-water, and terrestrial ecosystems showing some typical characteristics of all these types [1]. These characteristics often result in considerable seasonal changes of environmental variables (e.g., temperature, salinity) and large fluctuations in chemical parameters with consequences to many resident species [2,3,4].
Coastal lagoons are often sub-divided into choked, restricted, leaky [1] and even open [5] with respect to the characteristics of their hydrodynamic exchange properties with the adjacent open sea. The WFD/2000/60/EC does not include an explicit definition of lagoons, but the definition of transitional waters (TW) specifies a salinity gradient and significant freshwater inputs [6]. Several criteria have been used to define the typology of transitional waters such as salinity, substrate type, formation, isolation, size, morphology, etc. [7,8]. Recently, a classification approach of coastal lagoons of Western Greece was conducted by Christia et al. [9] who revealed four different types, based on criteria defined by the system B of WFD 2000/60/EE and other descriptors indicated as either obligatory or optional. Classification was based solely on abiotic parameters in order to avoid circular reasoning due to biological variation [10,11,12].
Mediterranean coastal lagoons are generally shallow with tidal ranges below 0.5 m [13]. The extreme meteorological conditions (high temperatures and low precipitation in summer) observed in the last decades in the Mediterranean basin, foster high seasonal and annual variations in physical and chemical parameters, making these ecosystems highly vulnerable to climate change [14]. This tendency will probably continue owing to the global climate changes, leading to the degradation and loss of critical habitats, the increase of eutrophication phenomena and associated algal blooms. Global induced changes lead inevitably to a chain of effects on the ecosystem structure, especially in the submerged macrophytes assemblages. Submerged macrophytes, composed of angiosperms and macroalgae, are important primary producers in coastal lagoons, and many species are considered as ecosystem engineers by creating habitats for aquatic organisms [15]. A coastal lagoon is typically dominated by few submerged macrophytes genera with great plasticity in resource exploitation and adaptation to salinity regimes and other structuring abiotic parameters [16]. During the past 150 to 300 years, eutrophication, habitat modifications, water level and salinity fluctuations have led to a massive decrease of angiosperms and other submerged macrophytes in temperate estuarine and coastal ecosystems in Europe and North America [17,18]. The development of type-specific lagoon management plans and the implementation of proactive adaptation measures became necessary [19].
The recovery of benthic macrophytes is one of the targets of the WFD/2000/60/EC and has led to policy decisions aiming, directly or indirectly, to improve the status of coastal ecosystems [6,20]. Submerged macrophytes have morphological, physiological and ecological adaptations to confront environmental shifts [21]. Benthic macrophytes have a strong influence on the physical and chemical structure of aquatic ecosystems [22,23], forming extensive [15], highly productive [24] and spatio-temporally patchy habitats [25].
A comprehensive presentation of macrophyte distribution in the Mediterranean lagoons and their dynamics based on long-term datasets is necessary in order to depict the high temporal variability of these environments [26,27]. Nevertheless, long-term studies supporting the spatiotemporal dynamics of macrophyte assemblages in lagoons of Greece are scarce in literature [28,29]. Until now, the monitoring of biological quality elements was focused on phytoplankton, benthic invertebrates, zooplankton and fishes [30,31,32,33], while benthic macrophytes were monitored only in few lagoons in Northern Greece [34] and in southern and western Greece [2,35]. The knowledge of the ecology of these macrophytes is of prime importance both for the understanding of the ecosystem functioning and for more applied aspects. Macrophytes can be used as ecological indicators of environmental health and ecological status [36,37], as they respond to water nutrients at the community level regarding species diversity (Shannon index), structure and abundance [38]. In the Mediterranean region, three euryhaline species—Z. noltii, Z. marina, and C. nodosa—are present [35]. These species not only provide the physical habitat for a rich fauna but also play a fundamental role in biogeochemical processes contributing to lagoons water quality [39]. This knowledge is crucial to further recommend management and restoration measures.
In this paper, the hypothesis that physical, chemical and environmental parameters of water column have played significant roles in the distribution of macrophyte assemblages was investigated in the identified lagoon types. In this context, the composition of each macrophyte assemblage on a seasonal and annual scale was examined in each lagoon type and correlated with key role parameters such as salinity and nitrogen compounds concentrations as derived by the multivariate analysis. In addition, the species that contributed more to the dissimilarity among lagoon types were identified and the seasonal evolution of their abundance was investigated following the spatial and temporal variations of number of species, species richness, Evenness and Shannon diversity in each lagoon.
2. Materials and Methods
2.1. Study Area
The current study was based on the typological framework of coastal lagoons of Western Greece (Ionian Sea), as derived by Christia et al. [9]. According to them, the investigated area is classified into three different lagoon types based on hydromorphological characteristics (Figure 1): (a) Lagoon Type I includes large, chocked lagoons with meso to polyhaline waters as Rodia which belongs to the natural complex system of Amvrakikos Gulf; (b) Type II consists of large, shallow, restricted lagoons with poly to euhaline salinity regimes and higher sea water exchanges. This type includes Tsoukalio and Logarou lagoons (Amvarkikos Gulf) and Kleisova lagoon that belongs to the lagoonal complex system of Messolonghi-Aitoliko; (c) Type III includes small, shallow and restricted lagoons with euhaline salinity regime and medium seawater intrusion (Araxos lagoon). Detailed information is reported in Christia and Papastergiadou [2] and Christia et al. [9,35]. According to Christia et al. [9] the typological classification of lagoons also revealed a fourth type which includes Kaiafas but this has been omitted from the current research due to its peculiar environmental characteristics: small, deep, mesohaline lagoon with a wide barrier and a unique macrophyte assemblage composed by Potamogeton pectinatus and Chara hispida f. corfuensis. For that reason, it was tested as a case study by Christia et al. [40].
Figure 1.
Maps and sampling stations of the investigated Western Greece coastal lagoons: (a) Rodia (Type I); Tsoukalio and Logarou (Type II)-Amvrakikos Gulf; (b) Kleisova (Type II)-Messolonghi-Aitoliko lagoonal complex; (c) Araxos (Type III).
2.2. Sampling Design of Water Quality and Aquatic Macrophytes
Samplings were carried out seasonally (spring, summer, autumn) between 2005 and 2007 in 24 stations of the five studied coastal lagoons of Western Greece. Sampling stations were homogeneously distributed, covering the spatial heterogeneity of each particular lagoonal environment (Figure 1). Depth, transparency, temperature, salinity, dissolved oxygen (DO) and pH were directly measured in situ using portable equipment (Secchi disk, WTW multi 340i/SET, Wissenschaftlich—Technische Werkstätten, Dr- Karl-Slevogt—Straße 1, 82362, Weilheim, Germany). Discrete surface water samples were collected in 1 L polyethylene bottles and preserved at 4 °C for laboratory analysis of the following nutrients: NH4+-N, NO2−-N, NO3−-N, PO4−3-P. Water samples for dissolved nutrients analyses were filtered using 0.45 μm pore size filters and immediately frozen (T = −20 °C) until analysis, while Chlorophyll-a (Chl-a; μg/L) extraction was conducted in 90% acetone for 24 h. All concentrations were measured according to American Public Health Association (APHA) [41]. For total phosphorus (TP), water samples were collected before filtering. Dissolved inorganic nitrogen (DIN) was calculated as the sum of the inorganic nitrogen forms.
The macrophyte sampling campaigns were generally carried out in each station during spring, summer and early autumn in order to evaluate the presence and abundance of species during the whole growth period. Macrophyte compositional and abundance data were measured from a sampling plot of 10 m × 10 m. In each plot, three samples were randomly scraped from the bottom, in a water depth range of 1 to 3 m, on an area of 2 m × 2 m [42]. Plant species abundance was visually scored on a 5-level percentage coverage abundance scale (1 ≤ 20%; 2 = 21–40%; 3 = 31–60%; 4 = 61–80%; 5 = 81–100%). Macrophyte specimens were placed in a plastic bag and transported to the laboratory for identification. The samples were rinsed with water to remove sediments, identified at species level and then fixed in 2% formalin.
2.3. Statistical Analysis
All environmental parameters were log (x + 1) transformed in order to make them closer to normal distribution. Multivariate analysis of variance was applied to investigate the differences of these parameters between sampling periods and macrophyte assemblages. A two-way ANOVA (analysis of variance) test was performed to assess which parameters differed significantly between seasons and years. A factorial ANOVA with interactions between seasons and years was run. Interactions were specified by joining the variables with asterisks, e.g. seasons*years. An LSD test (SPSS V.15) [43] provided direct comparisons between two means from two individual groups (Table S1) in order to address which variables differed significantly among lagoon types.
A detrended correspondence analysis (DCA) was conducted with the CANOCO 4.5 software [44] to explore the different macrophyte assemblages occurring in different coastal lagoon types. A correspondence analysis (CA) was also tested but, due to the presence of an arch effect, the DCA was finally chosen. DCA was performed using the percentage coverage data of the species found in each lagoon type. All data were log (x + 1) to avoid the down weighting of rare species with values approaching to zero. In order to meet criticism rose against DCA on the wedge effect a Multidimentional Scaling (MDS) plot in PRIMER (6.0) [45] was also run.
A redundancy analysis (RDA) takes explanatory variables into account, which allows a direct modeling of the cause-effect relationship between species data and environmental parameters. Explanatory variables were selected using the threshold of p < 0.5 of the Monte Carlo permutation test and the threshold of <20 of inflation factors (VIF) [43]. RDA results are displayed by an ordination diagram which reflects the distribution of macrophytes species along coastal lagoon types with different environmental parameters [44].
The structure of macrophyte assemblages was inspected by calculating the total number of species (S), Margalef’s species richness (d), diversity index of Shannon (H) and Pielou evenness (J’) with PRIMER (6.0). These indices were calculated for each lagoon and their variations were tested with three-way ANOVA on a seasonal, annual and spatial scale (SPSS V.15).
The contribution of individual macrophyte species to the dissimilarity between lagoon types on an annual scale was tested with the similarity percentages (SIMPER) analysis. The zero-adjusted Bray–Curtis coefficient was used to modulate the erratic behavior of Bray-Curtis for near-denuded assemblages in the sampling sites [46]. For this analysis a 90% cut off of the cumulative percentage was applied for taxa with low contributions. Moreover, pairwise Analysis of Similarity (ANOSIM) comparisons applied between all groups, using 10,000 simulations in each case. This analysis was carried out to test the null hypothesis that there were no differences in the composition of macrophyte species among different lagoon types. Both analyses, SIMPER and ANOSIM were based on the Bray–Curtis dissimilarity index and were conducted using the PRIMER (6.0) statistical software. Values were square-root transformed before the analyses; in this way, each species contributed fairly evenly to each analysis [45].
3. Results
3.1. Environmental Change and Water Quality Characteristics
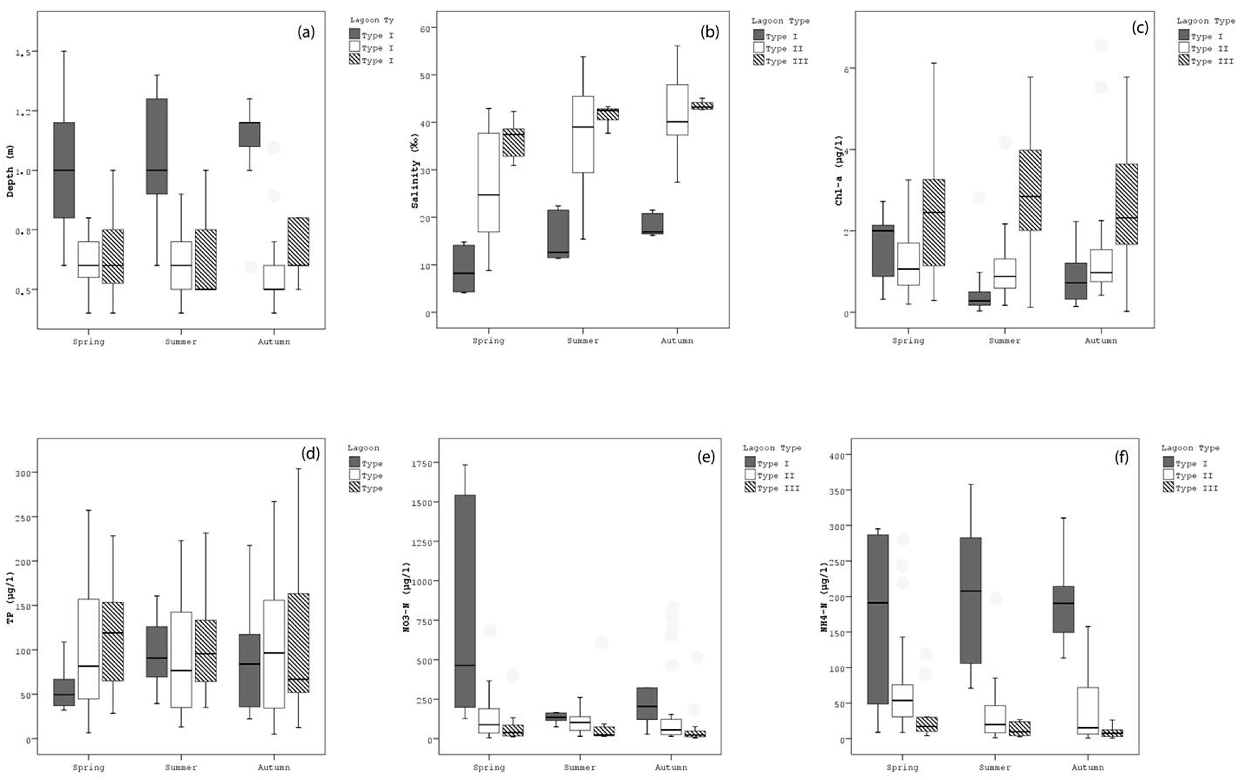
The analysis of variance showed significant variations of environmental parameters, both on seasonal and annual scale, in the three studied lagoon types of Western Greece (Table 1). Water temperature in coastal lagoon types did not show significant differences and followed the typical pattern which is generally characterized by highest values during the dry period (summer). Water depth played an important role not only to the classification of lagoon types [10] but also to the variability of nutrient concentrations. The higher mean depth value was found in lagoon Type I (1.06 m) where the predominant forms of nitrogen were NO3-N and NH4-N. During the wet period (spring) they accounted for 396 μg/L and 186 μg/L, respectively, showing significant difference among all lagoon types (Figure 2; Table 1). During the monitoring period the higher concentration of TP was measured in lagoon Type II (156.1 μg/L) in autumn (Figure 2). The concentration of TP showed significant variations between seasons and years (Table 1).
Table 1.
Analysis of variance with the effects of the factors of season, year and their interactions (Season*Year) on the environmental parameters of three lagoon types of Western Greece.
Figure 2.
Seasonal variability of: (a) water depth (m); (b) salinity (‰); (c) Chl-a (μg/L); (d) TP (μg/L); (e) NO3-N (μg/L); (f) NH4-N (μg/L) concentrations in the three lagoon types of Western Greece during the whole sampling period.
Salinity varied significantly among lagoons and played pivotal role in the classification of lagoon types. On a seasonal scale, it followed a marked similar pattern in all lagoon types with higher values recorded during the dry period. Restricted lagoons showed typically marine conditions, while chocked lagoons are strongly influenced by freshwater inputs. Therefore, lagoon Type III showed the higher mean salinity (40.5‰), while the lower value was recorded in Type I (14.1‰). Low Chl-a concentrations were common in all lagoon types during the monitoring period. The highest value (3.7 μg/L) was measured during spring in lagoon Type III. The significance of interactions between the two factors of season, year and season*year was also considered. More specifically, the interaction between season and year indicated significant (p < 0.05) effects for temperature, pH, DO, nutrients of N and P, alkalinity and Chl-a (Table 1).
3.2. Macrophyte ‘Assemblages’ in the three Lagoon Types of Western Greece
A total of 38 macrophytic taxa [35] were recorded in the three studied lagoon types: three angiosperm species (Z. noltii, R. cirrhosa, C. nodosa), one Charophyte (Lamprothamnium papulosum) and 34 macroalgae (Rhodophytes, Chlorophytes, Ochrophytes). In the lagoon Type I, 8 macrophyte species were identified; 25% belonged to the Magnoliophyta phylum, 62.5% to Chlorophyta and 12.5% to Rhodophyta and Charophyta (Figure 3). In Lagoon Type II, 25 species were recorded, 48% belonged to Rhodophyta, 24% to Chlorophyta, 12% to Ochrophyta and Magnoliophyta and only 4% to Charophyta. Finally, in lagoon Type III, 19 species were found, 36.8% accounted for Rhodophyta, 42.1% for Chlorophyta, 10.1% for Ochrophyta and Magnoliophyta, while no Charophyte species were observed.
Figure 3.
Percentage of macrophyte species occurrence in the three different lagoon types of Western Greece.
DCA analysis revealed four macrophyte assemblages (Figure 4). The first two DCA axes accounted for 84.73% (DCA axis 1: 59.36%; DCA axis 2: 25.37%) of the total variance (Figure 3, Table S2). The angiosperm Z. noltii and the charophyte L. papulosum are positioned along the left part of the ordination plot, forming the macrophyte assemblage i which is associated with G. bursa pastoris and Cl. glomerata. According to the results of DCA axes the species of the assemblage i (Table 2) are typical of coastal lagoons of Type I. They seem to prefer mesohaline, deep, high transparent waters with occasional high nitrate concentrations. In the middle part of the ordination plot, the angiosperm R. cirrhosa coexisted with Ac. acetabulum, Gr. longissima, U. rigida and Ch. linum forming the macrophyte assemblage ii. These species are well established in coastal lagoon Type II, showing high adaptability to high salinity shifts and shallow water depths.
Figure 4.
Species ordination obtained by the detrended correspondence analysis (DCA) conducted with species coverages data (%) in the three different lagoon types of Western Greece.
Table 2.
List of the species belonging to the four macrophyte assemblages (i–iv) identified after the detrended correspondenceaAnalysis (DCA) in the three lagoon types of Western Greece.
The macrophyte assemblage iii (Table 2) is common in both lagoon Types II and III. It is established to the right part of the plot and characterized by the dominance of the angiosperm C. nodosa and the epiphyte species C. diaphanum and Ch. capillaris. Finally, across the left bottom part of the ordination plot, the marine species of C. barbata, Al. corrallinum, A. nayadiformis, Gr. gracilis, V. aegagropila and L. obtusa are dispersed forming the macrophyte assemblage iv. These marine species were found only in the lagoon Type II, in shallow, euhaline and low nutrient waters, especially in the sampling stations adjacent to the marine inlet channels of the lagoons (Table 2). The identified macrophyte assemblages i, ii and iii are occupied by fast growing opportunistic species such as the green algae Chaetomorpha and Cladophora, mainly during the dry period (summer).
The MDS analysis (Figure 5) gave a potentially useful two-dimensional picture of the studied lagoons with no real prospect of a misleading interpretation (stress = 0.16). The pattern in the species ordination was confirmed by the correlations of DCA axes. DCA axis 1 is positively correlated with salinity, while a negative relation is shown with nitrogen forms and depth. However, the DCA axis 2 is negatively related with transparency and ammonium concentrations, while a positive correlation was found for Chl-a (Table S2).
Figure 5.
Results of Multidimentional Scaling (MDS) analysis of macrophyte assemblages identified in the three different lagoon types of Western Greece.
3.2.1. Relationship between Macrophytes and Environment
The first two axes of the redundancy analysis accounted for 81% of the total variance (Table S3). Axis 1 (66.9%) explained the higher percentage of the total variance, while axis 2 explained the 14.08%. The ordination diagram of the redundancy analysis (RDA) (Figure 6) with environmental parameters and macrophyte species shows the distribution of macrophyte species and the position of coastal lagoon types in an approximate way. The first axis is highly positively correlated with salinity and DIN concentration, while axis 2 is highly positively correlated with DO, transparency and Chl-a. Following the RDA analysis, the clustering allows the classification of the macrophyte species into lagoon types according to physical and chemical parameters. Thus, sampling stations of lagoon Type I are positioned to the upper left section of the plot, the samplings of lagoon Type II are mainly dispersed in the bottom part, while samplings of lagoon Type III are clustered to the right section of the plot. The angiosperm species Z. noltii, R. cirrhosa and the charophyte L. papulosum, positioned to the upper left part of axis 1, have a relatively large distribution span in waters with medium salinity, high transparency and high concentrations of total inorganic nitrogen as mainly found in lagoon Type I. Species located at the right part of Axis 1 are mainly found in poly to euhaline waters. The angiosperm species C. nodosa, as well as the macrophyte species C. siliquosum, C. capillaris, A. nayadiformis and C. barbata are typical of coastal lagoons classified in Type III. In the center of the diagram, along axis 1, the macrophyte species Gr. bursa-pastoris, Ac. acetabulum and R. cirrhosa, which belongs to lagoon Type II, show their preference to high salinity, lower nutrients concentrations and high marine water exchanges. The second axis reflected the gradient of photosynthetic activity with taxa located to the lower part showing higher adaptability to lower transparency, DO and Chl-a waters. Macrophyte species positioned in the upper part of the diagram were mainly present in sampling stations with high transparency and higher Chl-a, DO and PO4-P concentrations.
Figure 6.
Graph plot of the redundancy analysis (RDA) conducted between environmental parameters and submerged macrophytes coverages in the three different lagoon types of Western Greece.
3.2.2. Comparisons of Macrophyte Assemblages among Lagoon Types
Following the results of similarity percentage (SIMPER) analysis, macrophyte assemblages of Type I differ significantly from Types II and III (Table 3 and Table 4). The highest average dissimilarity of Type I was recorded during spring (96.44) and autumn (96.9) especially with Type III. The main species contributed to this difference were the angiosperms Z. noltii, C. nodosa and the charophyte L. papulosum. Lower average dissimilarity (83.6) was observed between lagoon Type I and II, due to the presence of more common species. At the opposite, the angiosperms R. cirrhosa, Z. noltii and the Rhodophyte Gr. longissima contributed to the differences between these lagoon types.
Table 3.
SIMPER (similarity percentage) analysis results: average dissimilarity (%) within the three lagoon types of Western Greece during the three years 2005, 2006 and 2007. The macrophyte species primarily responsible for differences between macrophyte assemblages and its contribution within the lagoon type are also reported.
Table 4.
SIMPER (similarity percentage) analysis results: average dissimilarity (%) within the three lagoon types of Western Greece during spring, summer and autumn. The macrophyte species primarily responsible for the differences between macrophyte assemblages and its contribution within the lagoon type are also reported.
During the monitoring period an interesting shift in distribution and abundance of the angiosperm Z. noltii was noticed in lagoon Type I related to changes in salinity regime. The gradual loss of Z. noltii and its replacement by R. cirrhosa in Type I was recorded through years 2005 to 2007 (Table 3, Figure S1), while the mean average abundance of R. cirrhosa and C. nodosa followed an increasing trend (Table 3). The average abundance of R. cirrhosa was null in 2005, 36.6% in 2006 and 40.8% in 2007 while salinity increased from 8.2‰ to 4.2‰ and to 22.4‰ in the same years. The mean average abundance of R. cirrhosa (Table 4) was highest in summer (31.7) when salinity rose from 10.7‰ (2006) to 17.6‰ (2007). In Type II lagoons, R. cirrhosa showed high average abundance in spring and followed an increasing trend from 2005 (6.4) to 2007 (25.4).
3.3. Univariate Variables of Diversity Indices and Environmental Variables
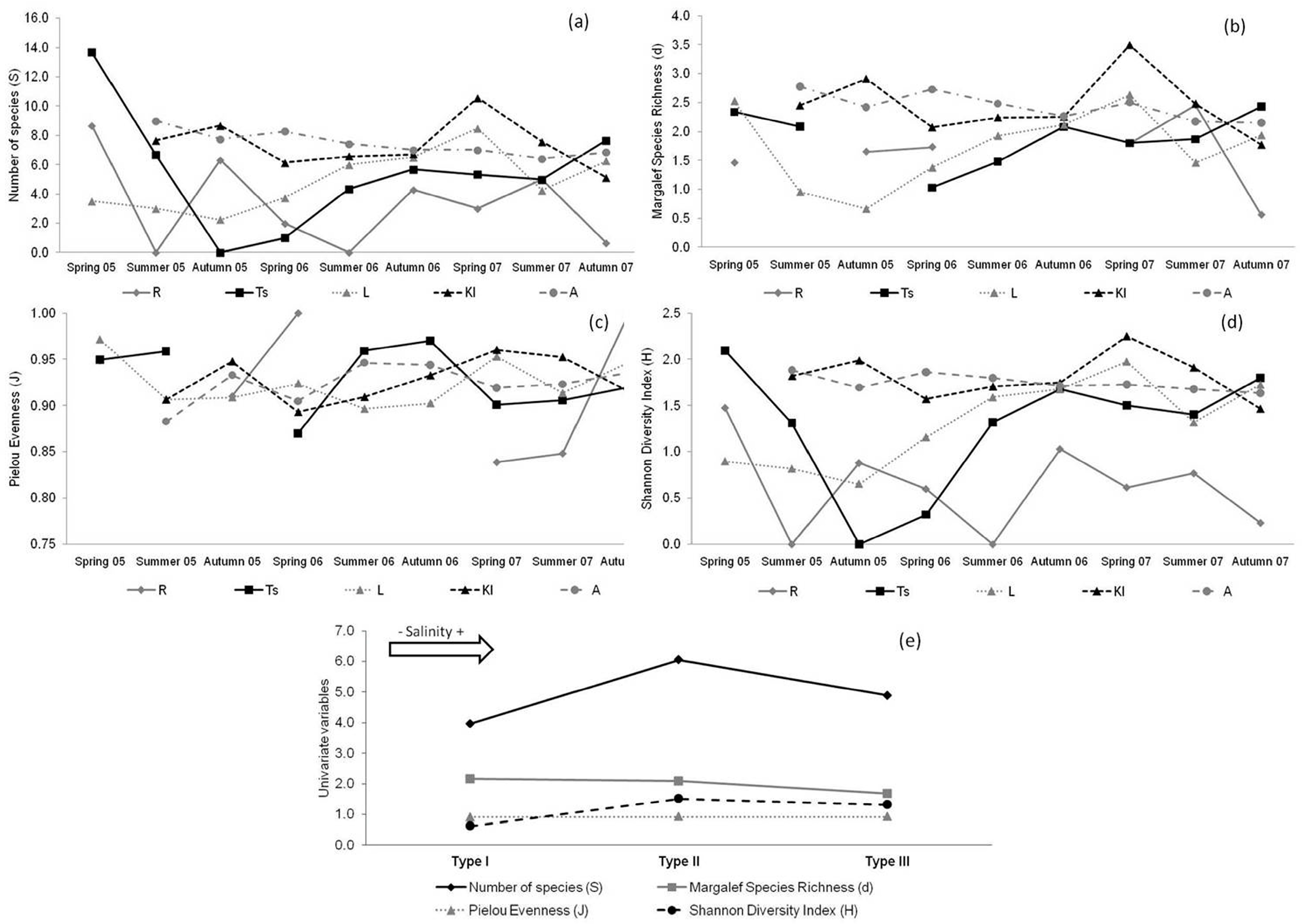
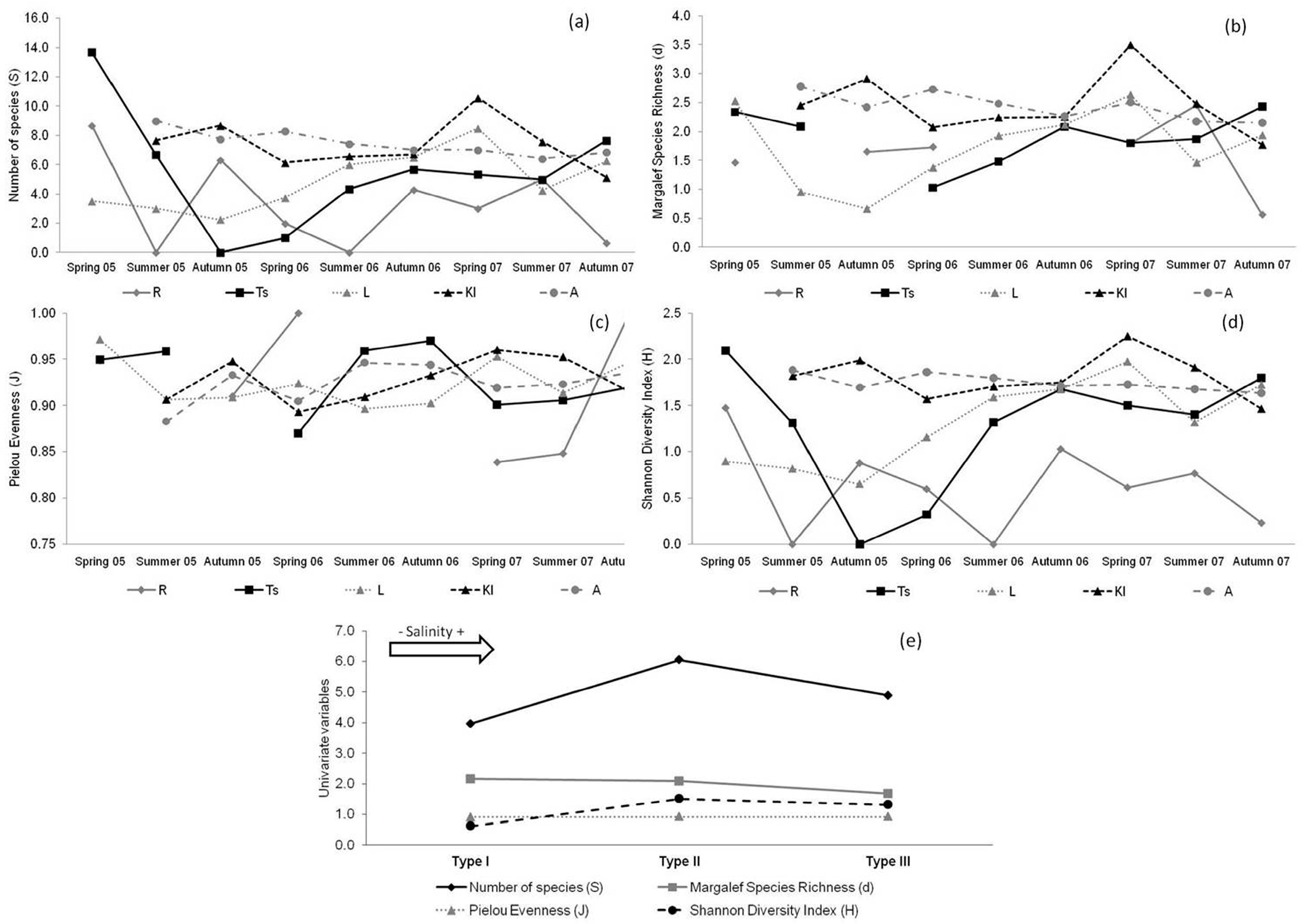
The list of diversity indices applied to each lagoon type during the study period point out significant differences on seasonal and annual scale (Figure 7a–e). Coastal lagoons of Type II (Tsoukalio and Kleisova) and Type III (Araxos) showed highest Shannon and species richness values. For example Kleisova and Araxos showed the higher species richness in spring 2007 (3.5) and summer 2005 (2.8), respectively. Figure 7e shows the clear relationship of salinity with univariate variables. Thus, coastal lagoons with higher salinity and higher seawater exchange have higher values of diversity indices. Lower Shannon values were found in the highly confined lagoon (Rodia), which is more influenced by freshwater inputs.
Figure 7.
(a–e) The seasonal pattern of univariate variables of: (a) Number of species (S); (b) Margalef Species Richness (d); (c) Pielou Evenness (J); (d) Shannon Diversity Index (H) calculated from spring 2005 to autumn 2007 in each lagoon and (e) mean values of the univariate variables during the whole monitoring period in lagoon types of Western Greece.
The differences of univariate variables among lagoon types and the conceptual linear regression analysis between univariate variables showed that seasons and stations played significant role to the results of the variables. No significant interaction was obtained between the factors season*year*station (Table S4). Number of species, species richness and Shannon differed significantly between seasons and stations, but no significant temporal variations were observed with the only exception of the Shannon index (H) in lagoon Type I.
4. Discussion
The results derived from the monitoring of the five selected coastal lagoons of Western Greece are representative of several Mediterranean ecosystems. These lagoons belong to three different lagoon types and show the typical gradient of environmental conditions observed in many transitional water ecosystems due to the mixing of freshwater, seawater and human impacts [47]. The observed salinity followed a seasonal trend, typical of all Mediterranean lagoons, with higher values in the dry period and in the restricted lagoon types. Salinity was the main variable driving the distribution of submerged macrophytes in these coastal lagoons, explaining more than 71% of the variance; DIN can explain 19%. Highly confined lagoons with lower salinity such as Rodia (Type I) show high concentrations of nitrogen compounds (NO3-N and NH4-N) during the wet period (spring, autumn). Freshwater inputs and agricultural runoff from the adjacent drainage channels [2] affect the nutrient concentrations which increase with habitat isolation [48]. The highest NO3-N and DIN concentrations observed in chocked lagoon revealed the inverse relationship of salinity with nitrates, which is the most abundant nitrogen compound in these coastal lagoons [48]. Less confined and euryhaline lagoons (Type II and III) had higher TP concentrations probably due to high salinity values and associated high sulfate reduction rates [49]. The dissimilatory reduction of sulfate is very abundant in marine waters and produces sulfide ions that precipitate ferrous iron. With the removal of iron, phosphate can be released from the sediment to the water mass [50]. Even if nutrient loads range was similar to other transitional water ecosystems in the Mediterranean region [51,52] a buffering capacity or a feedback mechanism of submerged macrophytes in stabilizing phosphorus is expected in lagoons with high habitat isolation [48]. The dense mats of charophyte species such as L. papulosum, typical of such lagoon types, can prevent sediment resuspension and mitigate the phosphorus binding capacity of particulate matter [53,54].
Changes in water and sediment quality subsequently lead to changes in the macrophyte community composition and vice versa [9,40,55]. High light penetration and high water transparency can be the result of low phytoplankton densities (as indicated by low Chl-a concentrations) but can also be promoted by the distribution of macrophyte assemblages as the dominance of angiosperms that diminishes the resuspension of the sediments [56]. The highest Chl-a mean values recorded in the lagoon Type III were supported by the runoff of adjacent agricultural lands.
The results also supported the hypothesis that physical and chemical parameters of the water column may determine the composition and distribution of macrophyte assemblages. In coastal ecosystems with low seawater inflow, several specialist species may tolerate severe environmental conditions and potentially develop large populations in a wide range of salinity gradients. Lagoon specialists are better adapted to high environmental variability, most likely afforded by a degree of genetic plasticity [57]. However, in extreme salinity conditions, a drop of species richness is expected [58]. From the seven species of phanerogams that have been signaled in the Mediterranean [59], three of them: Z. noltii, R. cirrhosa and C. nodosa have been formed extensive meadows in the studied areas [35] and support four macrophyte assemblages. The structure and composition of these four macrophyte assemblages distinguished in the coastal lagoons of Western Greece was determined by the abiotic gradients [1] and the degree of isolation by the sea [7]. Due to the higher variability of abiotic gradients (transparency and salinity) and the hydrological regime in lagoons, diversity is generally lower than in more stable and marine environments [60,61]. The detrended correspondence analysis showed that lagoon type, salinity and nutrient concentrations played relatively important roles on species distribution and succession [62]. The results also show that chocked and more isolated lagoons (Type I) with lower salinity values had lower Shannon index diversity. The seasonal variations of diversity (H) reflected the seasonally high abundance of a few dominant species, such as Z. noltii, R. cirrhosa and C. nodosa.
Macrophyte assemblages formed by R. cirrhosa and C. nodosa and accompanied with the opportunistic species of Ulva and various Rhodophyceae of the genus Gracilaria and Gracilariopsis were found in the lagoons Types II and III characterized by high salinity values (>30‰). Also, in the lagoons with high sea water exchange and heterogeneous physical and chemical characteristics [63], the diversity indices (number of species, species richness and Shannon) are higher than those observed in the isolated lagoons or with little exchanges with the sea [64].
R. cirrhosa presents high ranges of habitability both in terms of salinity and inorganic nitrogen concentrations and can be found from oligotrophic to hypertrophic environments [65,66]. The higher densities of R. cirrhosa were observed in spring and summer, while from late summer to autumn, the senescence of the plants associated with intense grazing and the development of opportunistic species and epiphytes, may limit the growth of this phanerogam in the Mediterranean lagoons [67,68]. C. nodosa appears to be more vulnerable to salinity changes and was found to colonize areas of the lagoons more affected by marine intrusions [69,15]. In the lagoon Type III, characterized by high salinity values induced by low freshwater inflows and high influence of the sea water, C. nodosa can dominate or can be a competitor of R. cirrhosa [70]. The abundance of C. nodosa observed from summer to autumn is one of the highest among other Mediterranean lagoons [24,71].
The angiosperm Z. noltii, recorded in the lagoon Type I, forms the macrophyte assemblage i with the charophyte L. papulosum., This assemblage is typical of lagoons with low salinity, high transparency and high concentrations of total inorganic nitrogen. Z. noltii is a relatively small and fast-growing species having a high tolerance to changes of environmental conditions, such as light irradiance, temperature and nutrient concentrations [72]. It can be established on a wide range of substrata [70] and form mixed meadows with R. cirrhosa and C. nodosa in areas where salinity fluctuate as estuaries and coastal lagoons [73,74]. Based on its field distribution Z. noltii is classified as euryhaline species [73]. The growth and survival of Z. noltii are both significantly affected by water salinity [75]. In the current study, Z. noltii was found at salinities lower than 20‰, while in other Mediterranean lagoons such as Mar Menor the species was found at higher salinities (42‰ to 47‰). The average abundance of Z. noltii can be reduced by 50% at salinities lower than 10–20‰, whereas high rates of leaf production were found when salinity ranges from 20 to 31‰ [76]. In our study, Z. noltii was found only in the confined lagoon type I. In the marshes of Rodia, large freshwater inputs from Louros River in June and July 2003 and March 2004 combined with high precipitation rates, increased the water level of the lagoon and probably contributed to the reduction of Z. noltii [2]. However, Z. noltii was recorded at low average abundances in lagoon Type II and absent in the lagoon Type III. These differences in salinity tolerance could be explained by individuals’ adaptation to different and variable local conditions that occur naturally in their habitats, as it is the case of other widespread species [74].
Transparency and Chl-a concentrations may affect the composition and distribution of macrophytes as indicated by several studies [9,77]. With low nutrient levels and clear water conditions, such as those typical of an oligotrophic state, Zostera spp. and the aquatic plants of the Ruppia genus are the dominant macrophytes taxa of the lagoon [9,39]. The seasonal salinity fluctuations and especially the increase of the gradient registered in 2007 resulted in the deterioration of Z. noltii abundance and its replacement by the angiosperm R. cirrhosa [78]. The degradation of submerged phanerogam meadows is generally indicated by a reduction of water transparency and the consequent decrement of the depth limits for all macrophytes growth. Moreover, a gradual loss of plant communities containing charophytes can be also observed [42]. Also, high nutrient concentrations can lead to damages of submerged meadows, losses of diversity and increments of angiosperms mortality [76]. However, increase in nutrient availability enhances the development of fast growing macroalgae and epiphytic communities that shade aquatic angiosperms and may affect their abundance [67]. Typical green algae, such as Chaetomorpha spp., Cladophora spp. and Ulva spp. display enhanced growth in euryhaline environments and its abundance is favored by the confinement with the sea [51]. Since macrophytes are typically adapted to euryhaline waters, drastic variations in salinity may be an important local factor contributing to the species losses observed not only in Western Greece lagoons, but also in the Baltic Sea and in the Catalan area [18,42].
In less confined lagoon types, macrophyte species typical of marine environments were recorded. The angiosperms C. nodosa and R. cirrhosa, associated with several epiphytes or opportunistic species, were forming dense mats [15,77]. Blooms of Ulvaceae, Cladophoraceae and Gracilariaceae could decrease the abundance of these angiosperms and restrict their distribution to areas close to the sea inlets [39]. Both species were adapted to polyhaline waters ranging from 27‰ to 43‰ mean salinity values [76] but, in accordance with the ordination analysis, they differ in their responses to nutrient concentrations. R. cirrhosa (as Z. noltii) is more adapted to high DIN concentrations and is abundant in spring where nutrient concentrations are at the maximum [79]. C. nodosa, on the other hand, prevails in sampling sites with lower nitrate or ammonia concentrations and high salinity values. In Kleisova and Araxos lagoons, even if C. nodosa formed mixed meadows with R. cirrhosa, it was the species with the highest average abundance.
Finally, the presence of marine species such as C. barbata, Al. corrallinum, A. nayadiformis, Gr. gracilis and L. obtusa are common in lagoons representing slow-growing, sun-adapted perennial to annual macroalgae favoured in pristine and moderately degraded environments [80,81]. Stands of C. barbata could be found together with C. nodosa and R. cirrhosa [81]. The species of the genus Cystoseira are usually the dominant element of the benthic vegetation on unpolluted hard substratum and the Cystoseira algal community is considered as the final stage (climax) in a succession of photophilic algal communities [82]. The species C. barbata is an important element of upper infralittoral benthic vegetation in semi enclosed bays and even in small fishing ports [83]. According to Montesanto and Panayiotides [80] species of genus Cystoseira could be considered as indicator species of unpolluted waters, with the exception of C. barbata which seems to be tolerant of moderate eutrophication conditions.
A decline of benthic angiosperms was referenced on a worldwide scale during last decades [84]. Climate change, induced land cover/use changes, eutrophication and hydrological alteration are the main threats of benthic macrophytes in transitional water ecosystems [84]. The high temperatures predicted for the Mediterranean area through the end of 21st century will significantly impact the biodiversity of coastal lagoons [85]. Conservation actions such as the improvement of water quality by the reduction of pollution sources, water drainage and habitat modifications are needed to preserve macrophyte species. The knowledge of spatial variability and the temporal changes in macrobenthic assemblages of coastal lagoons can be highly relevant namely for the establishment of monitoring programs and develop national conservation strategies for transitional water ecosystems.
5. Conclusions
Our findings support the identification of macrophyte assemblages distinguished in three different lagoon types of Western Greece. These are composed by species that are common in coastal environments and are able to form populations capable to acclimate to the particular environmental conditions of these ecosystems. The four macrophyte assemblages are characterized by the presence of the angiosperms Z. noltii, R. cirrhosa, C. nodosa and the charophyte L. papulosum. In these lagoons, the adaptations and the replacement of macrophyte species are more likely to occur during the wet period (spring) by taking advantage of the more favorable environmental conditions rather than in the extreme conditions typical of summer. Submerged macrophytes have to cope with large and frequent changes in their environment by means of morphological, physiological and life-cycle adaptations. Our findings support the crucial impact of sea water intrusion to the relative abundance and distribution of macrophyte species, as has occurred in other Mediterranean coastal lagoons. Furthermore, the shifts in salinity regime may introduce alterations in the abundance and distribution of the angiosperm Z. noltii especially in chocked lagoons. Due to the important structuring effects of macrophytes in shallow ecosystems, gaining insights into the connections between macrophytes structuring and environmental conditions is of critical importance to improve management and environmental policies.
Supplementary Materials
The following are available online at http://www.mdpi.com/2073-4441/10/2/151/s1. Table S1: Mean values and standard deviation of environmental parameters observed into the different macrophytic assemblages (i–iv), as well as the results of One Way ANOVA and LSD test. Table S2: Summary on variable correlations to DCA axes based on species coverage (%). Table S3: Intra-relationships of Correlation coefficients between the environmental variables and the principal component axes of Redundant Direct Analysis in three lagoon types. Table S4: Results of mixed analysis of variance in three different coastal lagoon types of Western Greece showing the effects of the factors Season, Year, Station and their interactions (Season*Year*Station) on the univariate variables: (i) Number of species (S), (ii) Margalef Species Richness (d), (iii) Pielou Evenness (J), (iv) Shannon Diversity Index (H). Figure S1: MDS analysis based on the seasonal variation of abundances of the angiosperms Zostera noltii, Cymodocea nodosa and Ruppia cirrhosa into the three different lagoon types of Western Greece.
Acknowledgments
The authors would like to thank all the staff of the Patras Laboratory of Ecology involved in the monitoring program and the Fishermen Cooperatives of Amvrakikos Gulf lagoons, Messolonghi, and Araxos lagoons for their help during field samplings. This study received funding from the Research committee of Patras University and from the Grants of Plant Ecology division. We greatly appreciate Paraskevi Manolaki, for the linguistic revision of the manuscript and Aikaterini Kostara, for her help on the preparation of figures. Many thanks to Pierluigi Viaroli, Department of Life Sciences, University of Parma, for his hospitality and for his helpful comments and constructive criticism. Finally, we are grateful to the Editors Diego Vicinanza and Pasquale Contestabile, as well as the two anonymous reviewers for the careful revision and valuable critical comments on the manuscript.
Author Contributions
All the authors have extensively contributed to the work presented in this paper; Chrysoula Christia for data collection and paper writing, Gianmarco Giordani, for data analysis and paper revision; Eva Papastergiadou for experimental data collection conception, research supervision and paper revision.
Conflicts of Interest
There is no conflict of interest to declare.
References
- Kjerfve, B. Coastal Lagoons Processes; Elsevier Oceanography Series 60; Elsevier Science Publishers: Amsterdam, The Netherlands, 1994. [Google Scholar]
- Christia, C.; Papastergiadou, E. Spatial and temporal variations of aquatic macrophytes and water quality in six coastal lagoons of Western Greece. Belg. J. Bot. 2007, 140, 39–50. [Google Scholar]
- Rodriguez-Climent, S.; Caiola, N.; Ibanez, C. Salinity as the main factor structuring small-bodied fish assemblages in hydrologically altered Mediterranean coastal lagoons. Sci. Mar. 2013, 77, 37–45. [Google Scholar]
- Pulina, S.; Brutemark, A.; Suikkanen, S.; Padedda, B.M.; Grubisic, L.M.; Satta, C.T.; Caddeo, T.; Farina, P.; Sechi, N.; Lugliè, A. Effects of warming on a Mediterranean phytoplankton community. Web Ecol. 2016, 16, 89–92. [Google Scholar] [CrossRef]
- Bird, E.C.F. Physical setting and geomorphology of coastal lagoons. In Coastal Lagoon Processes; Kjerfve, B., Ed.; Elsevier: Amsterdam, The Netherlands, 1994; Chapter 2; pp. 9–40. [Google Scholar]
- Directive, E.C.W.F. Water Framework Directive 2000/60/EC of the European Parliament and of the Council establishing a framework for the Community action in the field of water policy. Off. J. Eur. Communities 2000, 43, 1–72. [Google Scholar]
- Guelorget, O.; Perthuisot, P. Le Domaine Paralique: Expressions Geologiques, Biologiques et Economiques du Confinement; Travaux du Laboratoire de Geologie de l’Ecole Normale Superiere: Paris, France, 1983; Volume 16, p. 136. [Google Scholar]
- Basset, A.; Sabbeta, L.; Fonnesu, A.; Mouillot, D.; Do Chi, T.; Viaroli, P.; Giardani, G.; Reizopoulou, S.; Abbiati, M.; Carrada, G.C. Typology in Mediterranean transitional waters: New challenges and perspectives. Aquat. Conserv. Mar. Freshw. Ecosyst. 2006, 16, 441–455. [Google Scholar] [CrossRef]
- Christia, C.; Giordani, G.; Papastergiadou, E. Assessment of ecological quality of coastal lagoons with a combination of phytobenthic and water quality indices. Mar. Pol. Bul. 2014, 86, 411–423. [Google Scholar] [CrossRef] [PubMed]
- Umgiesser, G.; Ferrarin, C.; Cucco, A.; De Pascalis, F.; Bellafiore, D.; Ghezzo, M.; Bajo, M. Comparative hydrodynamics of 10 Mediterranean lagoons by means of numerical modeling. J. Geophys. Res. 2014, 119, 2212–22226. [Google Scholar] [CrossRef]
- Perez-Ruzafa, A.; Garcıa-Charton, J.A.; Barcala, E.; Marcos, C. Changes in benthic fish assemblages as a consequence of coastal works in a coastal lagoon: The Mar Menor (Spain, Western Mediterranean). Mar. Poll. Bull. 2006, 53, 107–120. [Google Scholar] [CrossRef] [PubMed]
- Battaglia, B. Final resolution of the symposium on the classification of brackish waters. Archo Oceanogr. Limnol. 1959, 11, 243–248. [Google Scholar]
- Tagliapietra, D.; Volpi Ghirardini, A. Notes on coastal lagoon typology in the light of the EU Water Framework Directive: Italy as a case study. Aquat. Conserv. Mar. Freshw. Ecosyst. 2006, 16, 457–467. [Google Scholar] [CrossRef]
- De Wit, R. Challenges for applying vulnerability assessments in coastal lagoons. Transit. Wat. Bull. 2011, 5, 32–41. [Google Scholar]
- Agostini, S.; Marchand, B.; Pergent, G. Temporal and spatial changes of seagrass meadows in a Mediterranean coastal lagoon. Oceanol. Acta 2003, 25, 297–302. [Google Scholar] [CrossRef]
- Adams, W.J.; Kimerle, R.A.; Barnett, R.A., Jr. Sediment quality and aquatic life assessment. Environ. Sci. Technol. 1992, 26, 1865–1875. [Google Scholar] [CrossRef]
- Lotze, H.K.; Lenihan, H.S.; Bourque, B.J.; Bradbury, R.H.; Cooke, R.G.; Kay, M.C.; Kidwell, S.M.; Kirby, M.X.; Peterson, C.H.; Jackson, J.B.C. Depletion, degradation and recovery potential of estuaries and coastal seas. Science 2006, 312, 1806–1809. [Google Scholar] [CrossRef] [PubMed]
- Chappuis, E.; Gacia, E.; Ballesteros, E. Changes in aquatic macrophyte flora over the last century in Catalan water bodies (NE Spain). Aquat. Bot. 2011, 95, 268–277. [Google Scholar] [CrossRef]
- Chapman, P.M. Management of coastal lagoons under climate change. Estuar. Coast. Shelf Sci. 2012, 110, 32–35. [Google Scholar] [CrossRef]
- Duarte, C.M.; Borja, A.; Carstensen, J.; Elliott, M.; Krause-Jensen, D.; Marbà, N. Paradigms in the Recovery of Estuarine and Coastal Ecosystems. Estuar. Coasts 2015, 38, 1202–1212. [Google Scholar] [CrossRef]
- Littler, M.M.; Littler, D.S. A relative dominance moel for biotic reefs. In Proceedings of the Joint Meeting of the Atlantic Reef Committee Society of Reef Studies, Miami, FL, USA, 26–28 October 1984. [Google Scholar]
- Fodge, J.D.; Thomas, G.L.; Pauley, G.B. Effects of canopy formation by floating and submergent aquatic macrophytes on the water quality of two shallow Pacific Northwest lakes. Aquat. Bot. 1990, 38, 231–248. [Google Scholar] [CrossRef]
- Moore, K.A. Influence of seagrasses on water quality in shallow regions of the lower Chesapeake Bay. J. Coast. Res. 2004, 45, 162–178. [Google Scholar] [CrossRef]
- Malea, P.; Kevrekidis, Th.; Mogias, A. Annual versus perennial growth cycle in Ruppia maritima L: Temporal variation in population characteristics in Mediterranean lagoons (Monolimni and Drana Lagoons, Northern Aegean Sea). Bot. Mar. 2004, 47, 357–366. [Google Scholar] [CrossRef]
- Verhoeven, J.T.A. The ecology of Ruppia-dominated communities in Western Europe. III. Aspects of production, consumption and decomposition. Aquat. Bot. 1980, 8, 209–253. [Google Scholar] [CrossRef]
- Comín, F.A.; Menéndez, M.; Herrera, J.A. Spatial and temporal scales for monitoring coastal aquatic ecosystems. Aquat. Conserv. Mar. Freshw. Ecosyst. 2004, 14 (Suppl. S1), 5–17. [Google Scholar] [CrossRef]
- Viaroli, P.; Bartoli, M.; Azzoni, R.; Giordani, G.; Mucchino, C.; Naldi, M.; Nizzoli, D.; Tajé, L. Nutrient and iron limitation to Ulva blooms in a eutrophic coastal lagoon (Sacca di Goro, Italy). Hydrobiologia 2005, 550, 57–71. [Google Scholar] [CrossRef]
- Haritonidis, S.; Malea, P. Bioaccumulation of metals by the green alga Ulva rigida from Thermaikos Gulf, Greece. Environ. Pollut. 1999, 104, 365–372. [Google Scholar] [CrossRef]
- Orfanidis, S.; Panayotidis, P.; Stamatis, N. An insight to the Ecological Evaluation Index (EEI). Ecol. Ind. 2003, 3, 27–33. [Google Scholar] [CrossRef]
- Simboura, N.; Zenetos, A. Benthic indicators to use in ecological quality clas-sification of Mediterranean soft bottom marine ecosystems, including a new biotic index. Med. Mar. Sci. 2002, 3, 77–111. [Google Scholar] [CrossRef]
- Nicοlaidou, A.; Reizopoulou, S.; Koutsoubas, D.; Orfanidis, S.; Kevrekidis, T. Biological components of Greek lagoonal ecosystems: An overview. Mediterr. Mar. Sci. 2005, 6, 31–50. [Google Scholar] [CrossRef]
- Katselis, G.; Koukou, K.; Dimitriou, E.; Koutsikopoulos, C. Short- term seaward fish migration in the Messolonghi-Etoliko lagoons (Western Greek coast) in relation to climatic variables and the lunar cycle. Estuar. Coast. Shelf Sci. 2007, 73, 571–582. [Google Scholar] [CrossRef]
- Vasileiadou, K.; Pavloudi, C.; Kalantzi, I.; Apostolaki, E.T.; Chatzigeorgiou, G.; Chatzinikolaou, E.; Pafilis, E.; Papageorgiou, N.; Fanini, L.; Konstas, S.; et al. Environmental variability and heavy metal concentrations from five lagoons in the Ionian Sea (Amvrakikos Gulf, W. Greece). Biodiv. Data J. 2016, 4, e8233. [Google Scholar] [CrossRef] [PubMed]
- Orfanidis, S.; Panayotidis, P.; Stamatis, N. Ecological evaluation of transitional and coastal waters: A marine benthic macrophytes-based model. Mediterr. Mar. Sci. 2001, 2, 45–65. [Google Scholar] [CrossRef]
- Christia, C.; Tziortzis, I.; Fyttis, G.; Kashta, L.; Papastergiadou, E. A survey of the benthic aquatic flora of transitional water systems of Greece and Cyprus (Mediterranean Sea). Bot. Mar. 2011, 54, 169–178. [Google Scholar] [CrossRef]
- Sfriso, A.; Facca, C.; Ghetti, P.F. Validation of the Macrophyte Quality Index (MaQI) set up to assess the ecological status of Italian marine Transitional environments. Hydrobiologia 2009, 617, 117–141. [Google Scholar] [CrossRef]
- Le Fur, I.; De Wit, R.; Plus, M.; Oheix, J.; Simier, M.; Ouisse, V. Submerged benthic macrophytes in Mediterranean lagoons: Distribution patterns in relation to water chemistry and depth. Hydrobiologia 2017. [Google Scholar] [CrossRef]
- Sondergaard, M.; Johansson, L.S.; Lauridsen, T.L.; Jorgensen, T.B.; Liboriussen, L.; Jeppensen, E. Submerged macrophytes as indicators of the ecological quality of lakes. Freshw. Biol. 2010, 55, 893–908. [Google Scholar] [CrossRef]
- Viaroli, P.; Bartoli, M.; Giordani, G.; Naldi, M.; Orfanidis, S.; Zaldivar, J.M. Community shifts, alternative stable states, biogeochemical controls and feedbacks in eutrophic coastal lagoons: A brief overview. Aquat. Conserv. Mar. Freshw. Ecosyst. 2008, 18, 105–117. [Google Scholar] [CrossRef]
- Christia, C.; Papastergiadou, E.; Papatheodorou, G.; Geraga, M.; Papadakis, E. Seasonal and spatial variations of water quality, substrate and aquatic macrophytes based on side scan sonar, in an eastern Mediterranean lagoon (Kaiafas, Ionian Sea). Environ. Earth Sci. 2014, 71, 3543–3558. [Google Scholar] [CrossRef]
- AHPA. Standard Methods for the Examination of Water and Waste Water, 18th ed.; American Public Health Association: New York, NY, USA, 1989. [Google Scholar]
- Selig, U.; Schubert, M.; Eggert, A.; Steinhardt, T.; Sagert, S.; Schubert, H. The influence of sediments on soft bottom vegetation in inner coastal waters of Mecklenburg-Vorpommern (Germany). Estuar. Coast. Shelf Sci. 2007, 71, 241–249. [Google Scholar] [CrossRef]
- SPSS, Inc. SPSS v. 15.0 for Windows; SPSS, Inc.: Chicago, IL, USA, 2006. [Google Scholar]
- Ter Braak, C.J.F.; Šmilauer, P. CANOCO Reference Manual and CanoDraw for Windows User’s Guide: Software for Canonical Community Ordination (Version 4.5); Microcomputer Power: Ithaca, NY, USA, 2002. [Google Scholar]
- Clarke, K.R.; Gorley, R.N. PRIMER v6: User Manual/Tutorial; PRIMER-E: Plymouth, UK, 2006. [Google Scholar]
- Clarke, K.R.; Somerfield, P.J.; Chapman, M.G. On resemblance measures for ecological studies, including taxonomic dissimilarities and a zero-adjusted Bray–Curtis coefficient for denuded assemblages. J. Exp. Mar. Biol. Ecol. 2006, 330, 55–80. [Google Scholar] [CrossRef]
- Ferrarin, C.; Umgiesser, G. Hydrodynamic modelling of a coastal lagoon: The Cabras lagoon in Sardinia, Italy. Ecol. Mod. 2005, 188, 340–357. [Google Scholar] [CrossRef]
- Rosqvist, K.; Mattila, J.; Sandström, A.; Snickars, M.; Westerbom, M. Regime shifts in vegetation composition of Baltic Sea coastal lagoons. Aquat. Bot. 2010, 93, 39–46. [Google Scholar] [CrossRef]
- Barker, P.; Leng, M.J.; Gasse, F.; Huang, Y. Century-tomillennial scale climatic variability in Lake Malawi reveales by isotope records. Earth Planet. Sc. Lett. 2007, 261, 93–103. [Google Scholar] [CrossRef]
- Blomqvist, S.; Gunnars, A.; Elmgren, R. Why the limiting nutrient differs between temperate coastal seas and freshwater lakes: A matter of salt. Limnol. Oceanogr. 2004, 49, 2236–2241. [Google Scholar] [CrossRef]
- Carvalho, S.; Pereira, P.; Pereira, F.; de Pablo, H.; Vale, C.; Gaspar, M.B. Factors structuring temporal and spatial dynamics of macrobenthic communities in a eutrophic coastal lagoon (Obidos lagoon, Porugal). Mar. Environ. Res. 2011, 71, 97–110. [Google Scholar] [CrossRef] [PubMed]
- Acquavita, A.; Aleffi, I.F.; Benci, C.; Bettoso, N.; Crevatin, E.; Milani, L.; Tamberlich, F.; Toniatti, L.; Barbieri, P.; Licen, S.; et al. Annual characterization of the nutrients and trophic state in a Mediterranean coastal lagoon: The Marano and Grado Lagoon (northern Adriatic Sea). Reg. Stud. Mar. Sci. 2015, 2, 132–144. [Google Scholar] [CrossRef]
- Van den Berg, M.S.; Coops, H.; Meijer, M.; Simons, J. Clear water associated with a dense Chara vegetation in the shallow and turbid lake Veluwenmeer. In The Structuring Role of Submerged Macrophytes in Lakes; Jeppesen, E., Søndergaard, M., Søndergaard, M., Christoffersen, K., Eds.; Springer: New York, NY, USA, 1998. [Google Scholar]
- Blindow, I.; Hargeby, A.; Andersson, G. Seasonal changes of mechanisms maintaining clear water in a shallow lake with abundant Chara vegetation. Aquat. Bot. 2002, 72, 315–334. [Google Scholar] [CrossRef]
- Del Pozo, R.; Fernandez-Alaez, C.; Fernadez-Alaez, M. The relative importance of natural and anthropogenic effects on community composition of aquatic macrophytes in Mediterranean ponds. Mar. Freshw. Res. 2011, 62, 101–109. [Google Scholar]
- Guidelines for Impact Assessment on Seagrass Meadows. Available online: http://www.rac-spa.org/sites/default/files/doc_vegetation/ld_etude_impact_en.pdf (accessed on 3 February 2018).
- Bamber, R.N.; Batten, S.D.; Sheader, M.; Bridgwater, N.D. On the ecology of brackish water lagoons in Great Britain. Aquat. Conserv. 1992, 2, 65–94. [Google Scholar] [CrossRef]
- Cognetti, G. Colonization of stressed coastal environment. Mar. Pol. Bul. 1992, 24, 12–14. [Google Scholar] [CrossRef]
- Green, E.P.; Short, F.T. World Atlas of Seagrasses; UNEP, WCMC: Berkeley, CA, USA, 2003. [Google Scholar]
- Reizopoulou, S.; Nicolaidou, A. Benthic diversity of coastal brackish-water lagoons in western Greece. Aquat. Conserv. 2004, 14, 93–102. [Google Scholar] [CrossRef]
- Rodriguez-Gallego, L.; Meerhoff, E.; Clemente, J.M.; Conde, D. Can ephemeral proliferations of submerged macrophytes influence zoobenthos and water quality in coastal lagoons? Hydrobiologia 2010, 646, 253–269. [Google Scholar] [CrossRef]
- Perez-Ruzafa, A.; Marcos, C.; Perez-Ruzafa, I.M.; Perez-Marcos, M. Coastal lagoons: “transitional ecosystems” between transitional and coastal waters. J. Coast Conserv. 2011, 15, 369–392. [Google Scholar] [CrossRef]
- Millet, B.; Guelorget, O. Spatial and seasonal variability in the relationships between benthic communities and physical environment in a lagoon ecosystem. Mar. Ecol. Prog. Ser. 1994, 198, 161–174. [Google Scholar] [CrossRef]
- Salas, F.; Neto, J.M.; Borja, A.; Marques, J.C. Evaluation of the applicability of a marine biotic index to characterize the status of estuarine ecosystems: The case of Mondego estuary (Portugal). Ecol. Ind. 2004, 4, 215–225. [Google Scholar] [CrossRef]
- Azzoni, R.; Giordani, G.; Bartoli, M.; Welsh, D.T.; Viaroli, P. Iron, sulphur and phosphorus cycling in the rhizosphere sediments of a eutrophic Ruppia cirrhosa meadow (Valle Smarlacca, Italy). J. Sea Res. 2001, 45, 15–26. [Google Scholar] [CrossRef]
- Zaldivar, J.M.; Cardoso, A.C.; Viaroli, P.; Newton, A.; De Wit, R.; Ibanez, C.; Reizopoulou, S.; Somma, F.; Razinkovas, A.; Basset, A.; et al. Eutrophication in transitional waters: An overview. Transit. Waters Monogr. 2008, 1, 1–78. [Google Scholar]
- Menéndez, M. Net production of Ruppia cirrhosa in Ebro Delta. Aquat. Bot. 2002, 73, 107–113. [Google Scholar] [CrossRef]
- Mannino, A.M.; Sara, G. The effect of Ruppia cirrhosa features on macroalgae and suspended matter in a Mediterranean shallow system. Mar. Ecol. 2006, 27, 350–360. [Google Scholar] [CrossRef]
- Warwick, R.M.; Clarke, K.R. Relationship between body-size, species abundance and diversity in marine benthic assemblages: Facts or artefacts? J. Exper. Mar. Biol. Ecol. 1996, 202, 63–71. [Google Scholar] [CrossRef]
- Charpentier, A.; Grillas, P.; Lescuyer, F.; Coulet, E.; Auby, I. Spatio-temporal dynamics of a Zostera noltii dominated community over a period of fluctuating salinity in a shallow lagoon, Southern France. Estuar. Coast. Shelf Sci. 2005, 64, 307–315. [Google Scholar] [CrossRef]
- Signorini, A.; Massini, G.; Migliore, G.; Tosoni, M.; Varrone, C.; Izzo, G. Sediment biogeochemical differences in two pristine Mediterranean coastal lagoons (in Italy) characterized by different phanerogam dominance—A comparative approach. Aquat. Conserv. Mar. Freshw. Ecosyst. 2008, 18, 27–44. [Google Scholar] [CrossRef]
- Pergent-Martini, C.; Pasqualini, V.; Ferrat, L.; Pergent, G.; Fernandez, C. Seasonal dynamics of Zostera noltii Hornem. In two Mediterranean lagoons. Hydrobiologia 2005, 543, 233–243. [Google Scholar] [CrossRef]
- Den Hartog, C. The Sea-Grasses of The World; North-Holland Publishing Company: Amsterdam, The Netherlands, 1970. [Google Scholar]
- Vermaat, J.E.; Verhagen, F.C.A.; Lindenburg, D. Contrasting responses in two populations of Zostera noltii Hornem. To experimental photoperiod manipulation at two salinities. Aquat. Bot. 2000, 67, 179–189. [Google Scholar] [CrossRef]
- Torquemada, Y.F.; Lizaso, J.L.S. Responses of two Mediterranean seagrasses to experimental changes in salinity. Hydrobiologia 2011, 669, 21–33. [Google Scholar] [CrossRef]
- Prado, P.; Caiola, N.; Ibáñez, C. Spatio-temporal patterns of submerged macrophytes in three hydrologically altered mediterranean coastal lagoons. Estuar. Coasts 2013, 36, 414–429. [Google Scholar] [CrossRef]
- Marba, N.; Holmer, M.; Gacia, E.; Barron, C. Seagrass beds and coastal biogeochemistry. In Seagrasses: Biology, Ecology and Conservation; Larkum, A.W.D., Orth, R.J., Duarte, C.M., Eds.; Springer: Dordrecht, The Netherlands, 2006; pp. 135–157. [Google Scholar]
- Fernández-Torquemada, Y.; Sánchez-Lizaso, J.L. Responses of two Mediterranean seagrasses to experimental changes in salinity. Hydrobiologia 2011, 669, 21–33. [Google Scholar] [CrossRef]
- Menéndez, M.; Peñuelas, J. Sesonal photosynthetic and respiratory responses of Ruppia cirrhosa (Petagna) Grande to changes in light and temperature. Arch. Hydrobiol. 1993, 129, 221–230. [Google Scholar]
- Montesanto, B.; Panayotidis, P. The Cystoseira spp. Communities from the Aegean Sea (NE Mediterranean). Med. Mar. Sci. 2001, 2, 57–67. [Google Scholar] [CrossRef]
- Falace, A.; Curiel, D.; Sfriso, A. Study of the macrophyte assemblages and application of phytobenthic indices to assess the Ecological Status of the Marano-Grado lagoon (Italy). Mar. Ecol. 2009, 30, 480–494. [Google Scholar] [CrossRef]
- Peres, J.M.; Picard, J. Nouveau manuel de bionomie benthique de la mer Méditerranée. Rec. Trav. St. Mar. Endoume 1964, 31, 5–137. [Google Scholar]
- Giaccone, G.; Bruni, A. Le Cistoseire e la Vegetazione Sommersa del Mediterraneo; Atti dell’ Instituto Veneto de Scienze: Lett. ed Arti, Venezia, Italy, 1973; pp. 59–103. [Google Scholar]
- Waycott, M.; Duarte, C.M.; Carruthers, T.J.B.; Orth, R.J.; Dennison, W.C.; Olyarnik, S.; Calladine, A.; Fourqurean, J.W.; Heck, K.L., Jr.; Hughes, A.R.; et al. Accelerating loss of seagrasses across the globe threatens coastal ecosystems. Proc. Natl. Acad. Sci. USA 2009, 106, 12377–12381. [Google Scholar] [CrossRef] [PubMed]
- Aral, M.M.; Chang, B. Spatial Variation of Sea Level Rise at Atlantic and Mediterranean Coastline of Europe. Water 2017, 9, 522. [Google Scholar] [CrossRef]
© 2018 by the authors. Licensee MDPI, Basel, Switzerland. This article is an open access article distributed under the terms and conditions of the Creative Commons Attribution (CC BY) license (http://creativecommons.org/licenses/by/4.0/).






