Radiation Balance of Urban Materials and Their Thermal Impact in Semi-Desert Region: Mexicali, México Study Case
Abstract
:1. Introduction
2. Method
2.1. Description of the Study Area
2.2. Materials
| Material | Measurements Dates |
|---|---|
| Clay | 5–7 August 2011 |
| Asp | 9–11 August 2011 |
| Con | 12–14 August 2011 |
| Poly | 18–20 August 2011 |
| Grass | 24–26 August 2011 |
2.3. Experimental Design

2.4. Collection of Data
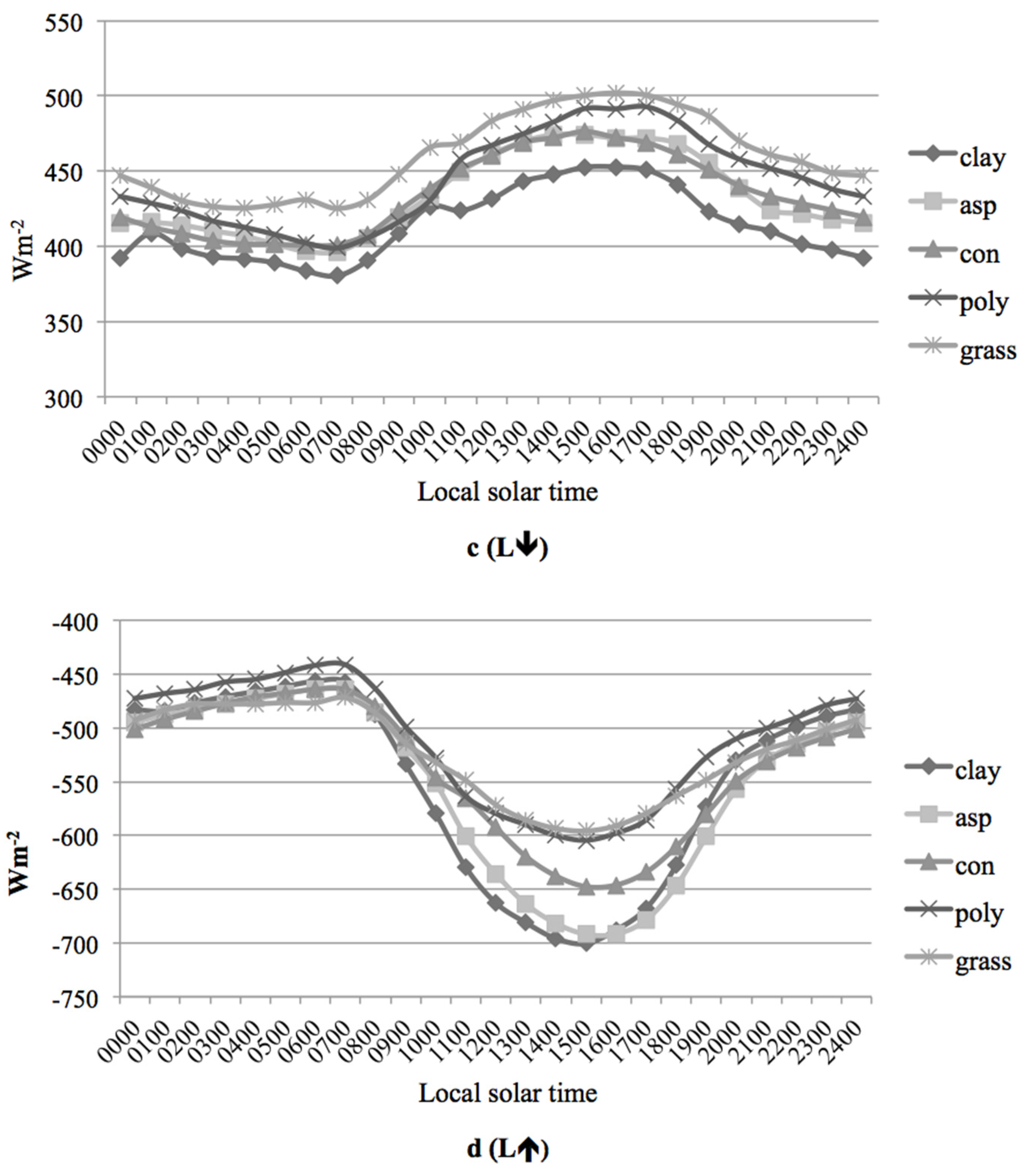
3. Results



| Material | K↓ | K↑ | L↓ | L↑ | QN |
|---|---|---|---|---|---|
| Clay | 326.70 | −76.38 | 413.77 | −551.76 | 104.61 |
| Asphalt | 305.26 | −43.61 | 433.13 | −554.29 | 137.29 |
| Concrete | 302.47 | −74.47 | 433.82 | −539.87 | 119.14 |
| Poly | 291.24 | −193.37 | 444.43 | −511.77 | 29.28 |
| Grass | 281.51 | −63.83 | 460.08 | −523.94 | 152.06 |
| Material | Conductivity W·m−1·K−1 | Heat Capacity J·m−3·K × 103 | Diffusivity m2·s1 × 106 |
|---|---|---|---|
| Clay | 0.25 | 1.42 | 0.18 |
| Asphalt | 0.75 | 1.94 | 0.38 |
| Concrete | 1.51 | 2.11 | 0.72 |
| Exp. Poly. | 0.03 | 0.02 | 1.5 |
| Grass | - | - | - |
| Material | K↓/QN | K↑/ QN | L↓/ QN | L↑/ QN |
|---|---|---|---|---|
| Clay | 3.12 | −0.73 | 3.95 | −5.27 |
| Asphalt | 2.22 | −0.31 | 3.15 | −4.03 |
| Concrete | 2.53 | −0.62 | 3.64 | −4.53 |
| Poly | 9.94 | −6.60 | 15.17 | −17.47 |
| Grass | 1.85 | −0.41 | 3.02 | −3.44 |
| Material | K↑/K↓ | L↓/ K↓ | L↑/ K↓ | QN/ K↓ |
|---|---|---|---|---|
| Clay | −0.23 | 1.27 | −1.69 | 0.32 |
| Asphalt | −0.14 | 1.42 | −1.82 | 0.45 |
| Concrete | −0.25 | 1.43 | −1.78 | 0.39 |
| Poly | −0.66 | 1.53 | −1.76 | 0.10 |
| Grass | −0.23 | 1.63 | −1.86 | 0.54 |
4. Discussion
5. Conclusions
Acknowledgments
Author Contributions
Conflicts of Interest
References
- Steeneveld, G.J.; Koopmans, S.; Heusinkveld, B.G.; Theeuwes, N.E. Refreshing the role of open water surfaces on mitigating the maximum urban heat island effect. Lands. Urban. Plan. 2014, 121, 92–96. [Google Scholar]
- Shahidan, M.F.; Shariff, M.K.M.; Jones, P.; Salleh, E.; Abdullah, A.M. A comparison of Mesua ferrea L. and Hura crepitans L. for shade creation and radiation modification in improving thermal comfort. Lands. Urban. Plan. 2010, 97, 168–181. [Google Scholar]
- Kalthoff, N.; Fiebig-Wittmaack, M.; MeiBner, C.; Kohle, r M.; Uriarte, M.; Bischoff-Gau, B.I.; Gonzalez, E. The energy balance, evapo-traspiration and nocturnal dew deposition of an arid valley in the Andes. J. Arid Environ. 2006, 65, 420–443. [Google Scholar]
- Geraldo-Ferreira, A.; Soria-Olivas, E.; Gómez-Sanchis, J.; Serrano-López, A.J.; Velázquez-Blazquez, A.; López-Baeza, E. Modelling net radiation at surface using “in situ” netpyrradiometer measurements with artificial neural networks. Expert Syst. Appl. 2011, 38, 14190–14195. [Google Scholar] [CrossRef]
- Hye-Yun, K.; Shunlin, L. Development of a hybrid method for estimating land surface shortwave net radiation from MODIS data. Rem. Sens. Environ. 2010, 114, 2393–2402. [Google Scholar]
- Blonquist, J.M.; Tanner, B.D.; Bugbee, B. Evaluation of measurement accuracy and comparison of two new and three traditional net radiometers. Agr. For. Meteorol. 2009, 149, 1709–1721. [Google Scholar] [CrossRef]
- Cobos, D.R.; Baker, J.M. Evaluation and modification of a domeless net radiometer. Agron. J. 2003, 95, 177–183. [Google Scholar] [CrossRef]
- Pajares, G. Advances in Sensors Applied to Agriculture and Forestry. Sensors 2011, 11, 8930–8932. [Google Scholar] [CrossRef] [PubMed]
- Järvi, L.; Grimmond, C.S.B.; Christen, A. The Surface Urban Energy and Water Balance Scheme (SUEWS): Evaluation in Los Angeles and Vancouver. J. Hydrol. 2011, 411, 219–237. [Google Scholar] [CrossRef]
- Feyisa, G.L.; Dons, K.; Meilby, H. Efficiency of parks in mitigating urban heat island effect: An example from Addis Ababa. Lands. Urban. Plan. 2014, 123, 87–95. [Google Scholar] [CrossRef]
- Krishnan, P.; Meyers, T.P.; Scott, R.L.; Kennedy, L.; Heuer, M. Energy exchange and evapotranspiration over two temperate semi-arid grasslands in North America. Agr. For. Meteorol. 2012, 153, 31–44. [Google Scholar] [CrossRef]
- Wrenn, D.H.; Sam, A.G. Geographically and temporally weighted likelihood regression: Exploring the spatiotemporal determinants of land use change. Reg. Sci. Urban. Econ. 2014, 44, 60–74. [Google Scholar] [CrossRef]
- Mackey, C.W.; Lee, X.; Smith, R.B. Remotely sensing the cooling effects of city scale efforts to reduce urban heat island. Build. Environ. 2012, 49, 348–358. [Google Scholar] [CrossRef]
- Yuan-Fong, S.; Foodya, G.M.; Ke-Sheng, C. Spatial non-stationarity in the relationships between land cover and surface temperature in an urban heat island and its impacts on thermally sensitive populations. Lands. Urban. Plan. 2012, 107, 172–180. [Google Scholar]
- Zhang, N.; Wang, X.; Peng, Z. Large-Eddy simulation of mesoscale circulations forced by inhomogeneous urban Heat Island. Boundary-Layer Meteorol. 2013, 151, 179–194. [Google Scholar] [CrossRef]
- Radhi, H.; Fikry, F.; Sharples, S. Impacts of urbanization on the thermal behaviour of new built up environments: A scoping study of the urban heat island in Bahrain. Lands. Urban. Plan. 2013, 113, 47–61. [Google Scholar] [CrossRef]
- Groleau, M.; Mestayer, P.G. Urban morphology influence on urban albedo: A revisit with the solene model. Bound.-Layer Meteorol. 2012, 147, 301–327. [Google Scholar] [CrossRef]
- Coutts, A.M.; Daly, E.; Beringer, J.; Tapper, N. Assessing practical measures to reduce urban heat: Green and cool roofs. Build. Environ. 2013, 70, 266–276. [Google Scholar] [CrossRef]
- Klein, P.M.; Coffman, R. Establishment and performance of an experimental green roof under extreme climatic conditions. Sci. Total Environ. 2015, 512–513, 82–93. [Google Scholar] [CrossRef] [PubMed]
- Razzaghmanesh, M.; Beecham, S.; Kazemi, F. The growth and survival of plants in urban green roofs in a dry climate. Sci. Total Environ. 2014, 476–477, 288–297. [Google Scholar] [CrossRef] [PubMed]
- Radhi, H.; Assem, E.; Sharples, S. On the colours and properties of building surface materials to mitigate urban heat islands in highly productive solar regions. Build. Environ. 2014, 72, 162–172. [Google Scholar] [CrossRef]
- Yahia, M.W.; Johansson, E. Landscape interventions in improving thermal comfort in the hot dry city of Damascus, Syria-The example of residential spaces with detached buildings. Lands. Urban. Plan. 2014, 125, 1–16. [Google Scholar] [CrossRef]
- Wang, Y.; Akbari, H. Effect of sky view factor on outdoor temperature and comfort in Montreal. Environ. Eng. Sci. 2014, 31, 272–287. [Google Scholar] [CrossRef]
- Santillán-Soto, N.; García-Cueto, O.R.; Ojeda-Benítez, S.; Velázquez-Limón, N.; Quintero-Núñez, M.; Schorr, M. Greenhouse gases mitigation against climate change: Unites States-Mexico border study case. Atmosfera 2013, 26, 499–507. [Google Scholar] [CrossRef]
- García-Cueto, O.R.; Santillán-Soto, N.; Quintero-Núñez, M.; Ojeda-Benítez, S.; Velázquez-Limón, N. Extreme temperature scenarios in Mexicali, México under climate change conditions. Atmosfera 2013, 26, 509–520. [Google Scholar] [CrossRef]
- CONAPO. Consejo Nacional de Población. Proyecciones de la Población en México 2005–2050. Available online: http://www.portal.conapo.gob.mx/index.php?option=com_content&view=article&id=36&Itemid=294 (accessed on 30 January 2015).
- Christen, A.; Vogt, R. Energy and radiation balance of a central European city. Int. J. Climatol. 2004, 24, 1395–1421. [Google Scholar] [CrossRef]
- García-Cueto, O.R.; Santillán-Soto, N. Modeling extreme climate events: Two case studies in México. In Climate Models; Druyan, L.M., Ed.; Intech: Rijeka, Croatia, 2012; p. 145. [Google Scholar]
- García-Cueto, O.R.; Cavazos, M.T.; De Grau, P.; Santillán-Soto, N. Analysis and modeling of extreme temperatures in several cities in northwestern Mexico under climate change conditions. Theor. Appl. Climatol. 2014, 116, 211–225. [Google Scholar]
- Marthews, T.R.; Malhi, T.; Iwata, H. Calculating downward longwave radiation under clear and cloudy conditions over a tropical lowland forest site: An evaluation of model schemes for hourly data. Theor. Appl. Climatil. 2012, 107, 461–477. [Google Scholar] [CrossRef]
- Synnefa, A.; Karlessi, T.; Gaitani, N.; Santamouris, M.; Assimakopoulos, D.N.; Papakatsikas, C. Experimental testing of cool colored thin layer asphalt and estimation of its potential to improve the urban microclimate. Build. Environ. 2011, 46, 38–44. [Google Scholar] [CrossRef]
- Oke, T.R. Boundary Layer Climates, 2nd ed.; Routledge: London, UK, 1987. [Google Scholar]
- Climate Protection Partnership Division in the U.S. Environmental Protection Agency’s Office of Atmospheric Programs. Reducing Urban Heat Islands: Compendium of Strategies Cool Pavements. 2012. Available online: http://www.epa.gov/heatislands/resources/pdf/CoolPavesCompendium.pdf (accessed on 21 May 2015). [Google Scholar]
- Haro-Rincón, Z.; Santillán-Soto, N.; García-Cueto, N.; Ojeda-Benítez, S.; Lambert-Arista, A. Microclimatic experimentation applied to insulating horizontal coverage in Mexicali, Mexico. J. Environ. Sci. Eng. 2013, A2, 561–568. [Google Scholar]
© 2015 by the authors; licensee MDPI, Basel, Switzerland. This article is an open access article distributed under the terms and conditions of the Creative Commons Attribution license (http://creativecommons.org/licenses/by/4.0/).
Share and Cite
Santillán-Soto, N.; García-Cueto, R.; Haro-Rincón, Z.; Ojeda-Benítez, S.; Quintero-Núñez, M.; Velázquez-Limón, N. Radiation Balance of Urban Materials and Their Thermal Impact in Semi-Desert Region: Mexicali, México Study Case. Atmosphere 2015, 6, 1578-1589. https://doi.org/10.3390/atmos6101578
Santillán-Soto N, García-Cueto R, Haro-Rincón Z, Ojeda-Benítez S, Quintero-Núñez M, Velázquez-Limón N. Radiation Balance of Urban Materials and Their Thermal Impact in Semi-Desert Region: Mexicali, México Study Case. Atmosphere. 2015; 6(10):1578-1589. https://doi.org/10.3390/atmos6101578
Chicago/Turabian StyleSantillán-Soto, Néstor, Rafael García-Cueto, Zalia Haro-Rincón, Sara Ojeda-Benítez, Margarito Quintero-Núñez, and Nicolás Velázquez-Limón. 2015. "Radiation Balance of Urban Materials and Their Thermal Impact in Semi-Desert Region: Mexicali, México Study Case" Atmosphere 6, no. 10: 1578-1589. https://doi.org/10.3390/atmos6101578
APA StyleSantillán-Soto, N., García-Cueto, R., Haro-Rincón, Z., Ojeda-Benítez, S., Quintero-Núñez, M., & Velázquez-Limón, N. (2015). Radiation Balance of Urban Materials and Their Thermal Impact in Semi-Desert Region: Mexicali, México Study Case. Atmosphere, 6(10), 1578-1589. https://doi.org/10.3390/atmos6101578

