Future Scenarios of Design Rainfall Due to Upcoming Climate Changes in NSW, Australia
Abstract
1. Introduction
2. Study Area and Data Sources
2.1. Study Area
2.2. Rainfall Data
3. Methods
- Collection and treatment of historical rainfall data;
- Collection and treatment of future rainfall data;
- Application of frequency analysis to the projected data;
- Evaluation of the outcomes with the current Australian standard.
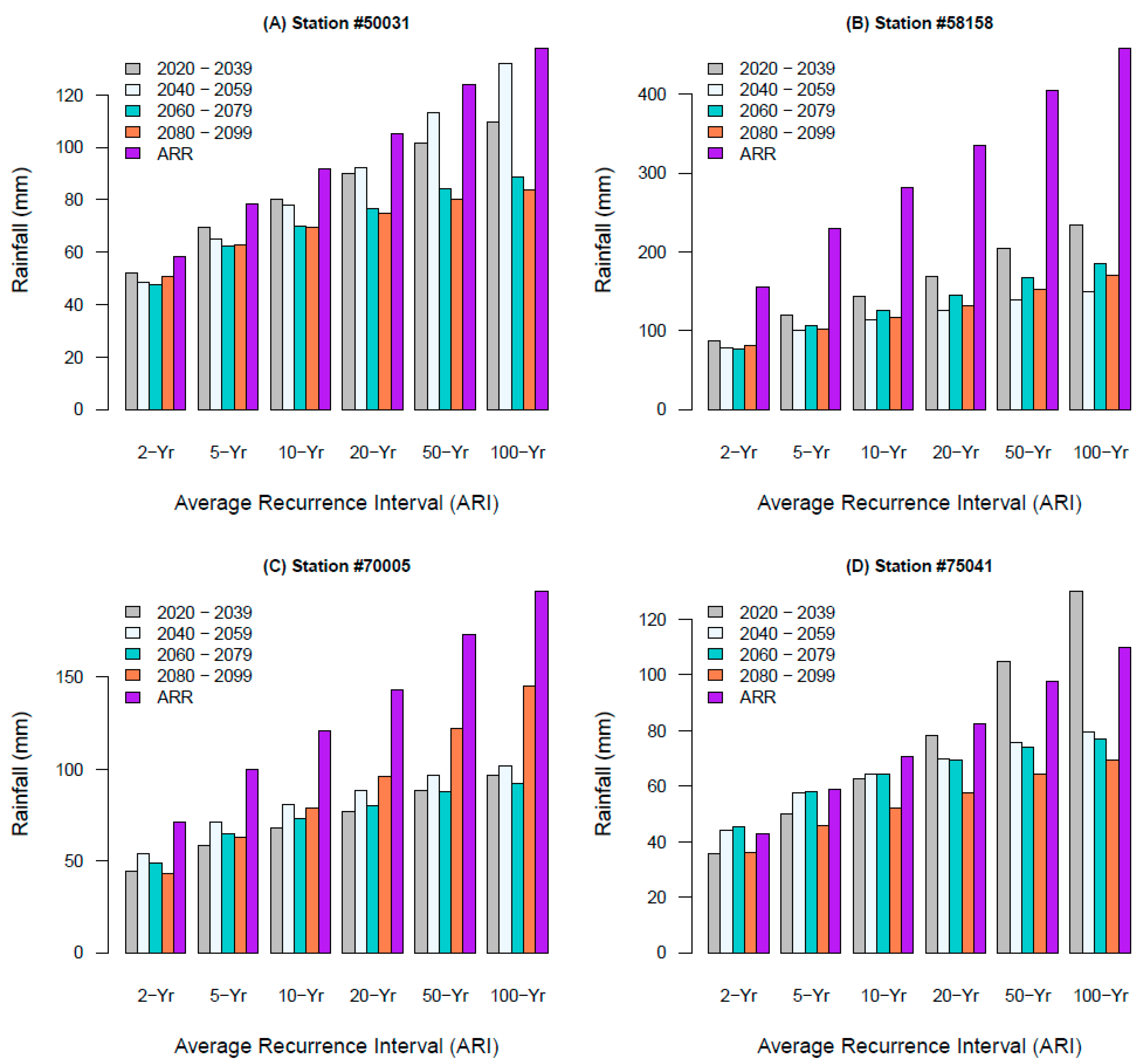
4. Results and Discussion
5. Conclusions and Recommendations
- Design rainfall in most parts of NSW will be significantly impacted by climate change impacts; however, the magnitude of changes varies amongst the recurrence intervals.
- Most of the regions in NSW will be facing decreased rainfall from climate change, leading to potential drought.
- The decrease in design rainfall for 100 years recurrence interval ranges from 2.5% to 67.6%, whereas the increase in design rainfall would be between 1.2% to 35.9%. This outcome changes with the changes in the data periods. Nevertheless, a decrease in design rainfall was observed for most of the areas.
- Stormwater drainage systems designed considering historical rainfall will be under-designed or over-designed, leading to uncertainty in flood mitigation. The extent of this uncertainty depends on climate models and return periods.
Author Contributions
Funding
Institutional Review Board Statement
Informed Consent Statement
Data Availability Statement
Conflicts of Interest
References
- Bibi, T.S.; Tekesa, N.W. Impacts of climate change on IDF curves for urban stormwater management systems design: The case of Dodola Town, Ethiopia. Environ. Monit. Assess. 2023, 195, 170. [Google Scholar] [CrossRef] [PubMed]
- Cook, L.M.; McGinnis, S.; Samaras, C. The effect of modeling choices on updating intensity-duration-frequency curves and stormwater infrastructure designs for climate change. Clim. Chang. 2020, 159, 289–308. [Google Scholar] [CrossRef]
- Bulti, D.T.; Abebe, B.G.; Biru, Z. Climate change–induced variations in future extreme precipitation intensity–duration–frequency in flood-prone city of Adama, central Ethiopia. Environ. Monit. Assess. 2021, 193, 784. [Google Scholar] [CrossRef] [PubMed]
- Butcher, J.B.; Zi, T.; Pickard, B.R.; Job, S.C.; Johnson, T.E.; Groza, B.A. Efficient statistical approach to develop intensity-duration-frequency curves for precipitation and runoff under future climate. Clim. Chang. 2021, 164, 3. [Google Scholar] [CrossRef] [PubMed]
- Tousi, E.G.; O’Brien, W.; Doulabian, S.; Toosi, A.S. Climate changes impact on stormwater infrastructure design in Tucson Arizona. Sustain. Cities Soc. 2021, 72, 103014. [Google Scholar] [CrossRef]
- Fadhel, S.; Rico-Ramirez, M.A.; Han, D. Uncertainty of intensity–duration–frequency (IDF) curves due to varied climate baseline periods. J. Hydrol. 2017, 547, 600–612. [Google Scholar] [CrossRef]
- Hettiarachchi, S.; Wasko, C.; Sharma, A. Increase in flood risk resulting from climate change in a developed urban watershed–the role of storm temporal patterns. Hydrol. Earth Syst. Sci. 2018, 22, 2041–2056. [Google Scholar] [CrossRef]
- Myhre, G.; Alterskjær, K.; Stjern, C.W.; Hodnebrog, Ø.; Marelle, L.; Samset, B.H.; Sillmann, J.; Schaller, N.; Fischer, E.; Schulz, M. Frequency of extreme precipitation increases extensively with event rareness under global warming. Sci. Rep. 2019, 9, 16063. [Google Scholar] [CrossRef]
- Yilmaz, A.G.; Hossain, I.; Perera, B.J.C. Effect of climate change and variability on extreme rainfall intensity–frequency–duration relationships: A case study of Melbourne. Hydrol. Earth Syst. Sci. 2014, 18, 4065–4076. [Google Scholar] [CrossRef]
- Yilmaz, A.G.; Perera, B.J.C. Extreme Rainfall Nonstationarity Investigation and Intensity–Frequency–Duration Relationship. J. Hydrol. Eng. 2014, 19, 1160–1172. [Google Scholar] [CrossRef]
- Mirhosseini, G.; Srivastava, P.; Stefanova, L. The impact of climate change on rainfall Intensity–Duration–Frequency (IDF) curves in Alabama. Reg. Environ. Chang. 2013, 13, 25–33. [Google Scholar] [CrossRef]
- Rosenberg, E.A.; Keys, P.W.; Booth, D.B.; Hartley, D.; Burkey, J.; Steinemann, A.C.; Lettenmaier, D.P. Precipitation extremes and the impacts of climate change on stormwater infrastructure in Washington State. Clim. Chang. 2010, 102, 319–349. [Google Scholar] [CrossRef]
- Fowler, H.J.; Wasko, C.; Prein, A.F. Intensification of short-duration rainfall extremes and implications for flood risk: Current state of the art and future directions. Philos. Trans. R. Soc. A 2021, 379, 20190541. [Google Scholar] [CrossRef] [PubMed]
- Kourtis, I.M.; Tsihrintzis, V.A. Update of intensity-duration-frequency (IDF) curves under climate change: A review. Water Supply 2022, 22, 4951–4974. [Google Scholar] [CrossRef]
- Liang, C.; Li, D.; Yuan, Z.; Liao, Y.; Nie, X.; Huang, B.; Wu, X.; Xie, Z. Assessing urban flood and drought risks under climate change, China. Hydrol. Process. 2019, 33, 1349–1361. [Google Scholar] [CrossRef]
- CSIRO. State of the Climate 2020; Australian Bureau of Meteorology: Melbourne, Australia, 2020; p. 1486315097.
- Australian Bureau of Meteorology. 2022. Available online: http://www.bom.gov.au/climate/data/?ref=ftr (accessed on 1 November 2021).
- Hajani, E.; Rahman, A.; Ishak, E. Trends in extreme rainfall in the state of New South Wales, Australia. Hydrol. Sci. J. 2017, 62, 2160–2174. [Google Scholar] [CrossRef]
- Gu, H.; Yu, Z.; Wang, G.; Wang, J.; Ju, Q.; Yang, C.; Fan, C. Impact of climate change on hydrological extremes in the Yangtze River Basin, China. Stoch. Environ. Res. Risk Assess. 2015, 29, 693–707. [Google Scholar] [CrossRef]
- Sun, X.; Li, R.; Shan, X.; Xu, H.; Wang, J. Assessment of climate change impacts and urban flood management schemes in central Shanghai. Int. J. Disaster Risk Reduct. 2021, 65, 102563. [Google Scholar] [CrossRef]
- Smith, D.M.; Kniveton, D.R.; Barrett, E.C. A statistical modeling approach to passive microwave rainfall retrieval. J. Appl. Meteorol. Climatol. 1998, 37, 135–154. [Google Scholar] [CrossRef]
- Hossain, I.; Imteaz, M.; Gato-Trinidad, S.; Yilmaz, A.G. Comparison of Future Design Rainfall with Current Design Rainfall: A Case Study in New South Wales, Australia. Atmosphere 2024, 15, 739. [Google Scholar] [CrossRef]
- Wi, S.; Valdés, J.B.; Steinschneider, S.; Kim, T.-W. Non-stationary frequency analysis of extreme precipitation in South Korea using peaks-over-threshold and annual maxima. Stoch. Environ. Res. Risk Assess. 2016, 30, 583–606. [Google Scholar] [CrossRef]
- Sane, Y.; Panthou, G.; Bodian, A.; Vischel, T.; Lebel, T.; Dacosta, H.; Quantin, G.; Wilcox, C.; Ndiaye, O.; Diongue-Niang, A. Intensity–duration–frequency (IDF) rainfall curves in Senegal. Nat. Hazards Earth Syst. Sci. 2018, 18, 1849–1866. [Google Scholar] [CrossRef]
- Hossain, I.; Rasel, H.M.; Imteaz, M.A.; Mekanik, F. Long-term seasonal rainfall forecasting: Efficiency of linear modelling technique. Environ. Earth Sci. 2018, 77, 280. [Google Scholar] [CrossRef]
- Hossain, I.; Imteaz, M.A.; Khastagir, A. Effects of estimation techniques on generalised extreme value distribution (GEVD) parameters and their spatio-temporal variations. Stoch. Environ. Res. Risk Assess. 2021, 35, 2303–2312. [Google Scholar] [CrossRef]
- Alam, M.A.; Emura, K.; Farnham, C.; Yuan, J. Best-fit probability distributions and return periods for maximum monthly rainfall in Bangladesh. Climate 2018, 6, 9. [Google Scholar] [CrossRef]
- Hossain, I.; Esha, R.; Alam Imteaz, M. An Attempt to Use Non-Linear Regression Modelling Technique in Long-Term Seasonal Rainfall Forecasting for Australian Capital Territory. Geosciences 2018, 8, 282. [Google Scholar] [CrossRef]
- Alam, M.S.; Elshorbagy, A. Quantification of the climate change-induced variations in Intensity–Duration–Frequency curves in the Canadian Prairies. J. Hydrol. 2015, 527, 990–1005. [Google Scholar] [CrossRef]
- DeGaetano, A.T.; Castellano, C.M. Future projections of extreme precipitation intensity-duration-frequency curves for climate adaptation planning in New York State. Clim. Serv. 2017, 5, 23–35. [Google Scholar] [CrossRef]
- Simonovic, S.P.; Peck, A. Updated Rainfall Intensity Duration Frequency Curves for the City of London under the Changing Climate; Department of Civil and Environmental Engineering, The University of Western Ontario: London, ON, Canada, 2009. [Google Scholar]
- Khastagir, A.; Hossain, I.; Aktar, N. Evaluation of different parameter estimation techniques in extreme bushfire modelling for Victoria, Australia. Urban. Clim. 2021, 37, 100862. [Google Scholar] [CrossRef]
- Meresa, H.; Tischbein, B.; Mekonnen, T. Climate change impact on extreme precipitation and peak flood magnitude and frequency: Observations from CMIP6 and hydrological models. Nat. Hazards 2022, 111, 2649–2679. [Google Scholar] [CrossRef]
- Kundzewicz, Z.W.; Kanae, S.; Seneviratne, S.I.; Handmer, J.; Nicholls, N.; Peduzzi, P.; Mechler, R.; Bouwer, L.M.; Arnell, N.; Mach, K. Flood risk and climate change: Global and regional perspectives. Hydrol. Sci. J. 2014, 59, 1–28. [Google Scholar] [CrossRef]
- Nile, B.K.; Hassan, W.H.; Alshama, G.A. Analysis of the effect of climate change on rainfall intensity and expected flooding by using ANN and SWMM programs. ARPN J. Eng. Appl. Sci. 2019, 14, 974–984. [Google Scholar]
- Hassan, W.H.; Nile, B.K.; Al-Masody, B.A. Climate change effect on storm drainage networks by storm water management model. Environ. Eng. Res. 2017, 22, 393–400. [Google Scholar] [CrossRef]
- Li, J.; Evans, J.; Johnson, F.; Sharma, A. A comparison of methods for estimating climate change impact on design rainfall using a high-resolution RCM. J. Hydrol. 2017, 547, 413–427. [Google Scholar] [CrossRef]





| Station No. | 2020–2039 | 2040–2059 | 2060–2079 | 2080–2099 | 1900–2019 | |||||
|---|---|---|---|---|---|---|---|---|---|---|
| Maximum | CV | Maximum | CV | Maximum | CV | Maximum | CV | Maximum | CV | |
| 48027 | 125.11 | 0.34 | 98.38 | 0.31 | 111.33 | 0.52 | 130.81 | 0.42 | 113.20 | 0.45 |
| 48031 | 120.91 | 0.35 | 161.39 | 0.45 | 108.79 | 0.42 | 119.12 | 0.37 | 312.00 | 0.59 |
| 49002 | 44.16 | 0.35 | 44.44 | 0.36 | 68.46 | 0.45 | 38.04 | 0.26 | 93.30 | 0.43 |
| 50031 | 86.66 | 0.35 | 106.62 | 0.36 | 82.21 | 0.32 | 73.28 | 0.26 | 133.90 | 0.41 |
| 50052 | 68.73 | 0.31 | 76.78 | 0.34 | 85.82 | 0.34 | 81.06 | 0.32 | 127.20 | 0.42 |
| 51049 | 86.31 | 0.25 | 150.13 | 0.48 | 80.11 | 0.28 | 102.73 | 0.23 | 226.80 | 0.49 |
| 52020 | 101.70 | 0.33 | 111.52 | 0.42 | 109.11 | 0.44 | 154.79 | 0.52 | 208.00 | 0.42 |
| 54003 | 185.71 | 0.49 | 137.62 | 0.39 | 123.10 | 0.33 | 109.27 | 0.38 | 194.30 | 0.43 |
| 55049 | 117.31 | 0.30 | 138.16 | 0.40 | 135.37 | 0.34 | 125.91 | 0.37 | 136.70 | 0.32 |
| 56018 | 95.21 | 0.22 | 125.22 | 0.37 | 113.47 | 0.32 | 112.23 | 0.30 | 140.00 | 0.34 |
| 56032 | 89.60 | 0.25 | 67.93 | 0.23 | 89.10 | 0.37 | 98.44 | 0.35 | 190.60 | 0.40 |
| 58158 | 188.54 | 0.39 | 129.28 | 0.28 | 176.06 | 0.41 | 162.90 | 0.29 | 338.60 | 0.46 |
| 60085 | 128.96 | 0.24 | 144.40 | 0.26 | 183.05 | 0.38 | 240.75 | 0.40 | 415.20 | 0.46 |
| 61288 | 141.97 | 0.32 | 148.15 | 0.32 | 124.92 | 0.32 | 172.26 | 0.38 | 184.10 | 0.48 |
| 63005 | 66.49 | 0.19 | 72.50 | 0.29 | 83.64 | 0.29 | 73.73 | 0.23 | 108.70 | 0.36 |
| 64008 | 142.90 | 0.28 | 171.57 | 0.34 | 146.94 | 0.33 | 89.97 | 0.22 | 167.60 | 0.38 |
| 68192 | 107.43 | 0.30 | 138.77 | 0.44 | 115.01 | 0.38 | 117.78 | 0.36 | 198.70 | 0.47 |
| 69132 | 133.73 | 0.46 | 212.77 | 0.65 | 177.43 | 0.59 | 131.78 | 0.39 | 201.00 | 0.42 |
| 70005 | 89.92 | 0.34 | 93.59 | 0.35 | 81.69 | 0.34 | 105.24 | 0.47 | 249.40 | 0.49 |
| 70263 | 62.66 | 0.25 | 69.06 | 0.25 | 101.83 | 0.49 | 74.99 | 0.26 | 148.20 | 0.42 |
| 70278 | 86.47 | 0.33 | 74.22 | 0.34 | 75.47 | 0.31 | 124.61 | 0.51 | 107.20 | 0.39 |
| 71041 | 80.16 | 0.22 | 97.36 | 0.26 | 113.87 | 0.27 | 104.06 | 0.30 | 165.50 | 0.36 |
| 72043 | 92.24 | 0.20 | 98.90 | 0.28 | 116.75 | 0.27 | 90.84 | 0.26 | 164.60 | 0.34 |
| 72150 | 83.03 | 0.35 | 70.76 | 0.27 | 93.14 | 0.38 | 68.07 | 0.29 | 110.80 | 0.40 |
| 73007 | 66.52 | 0.18 | 102.00 | 0.34 | 90.15 | 0.27 | 88.98 | 0.30 | 162.50 | 0.45 |
| 73014 | 85.59 | 0.28 | 90.73 | 0.36 | 130.08 | 0.49 | 101.72 | 0.30 | 110.70 | 0.35 |
| 74106 | 62.56 | 0.30 | 69.03 | 0.32 | 78.21 | 0.43 | 75.92 | 0.40 | 117.70 | 0.41 |
| 75032 | 111.85 | 0.54 | 68.42 | 0.32 | 66.15 | 0.32 | 105.71 | 0.51 | 123.00 | 0.46 |
| 75041 | 101.94 | 0.46 | 71.44 | 0.32 | 69.18 | 0.31 | 57.09 | 0.28 | 149.80 | 0.53 |
| Station # | 1900 to 2019 | 1920 to 2039 | 1940 to 2059 | 1960 to 2079 | 1980 to 2099 |
|---|---|---|---|---|---|
| 48027 | 0.1 | 0.0 | 0.0 | 0.2 | 0.0 |
| 48031 | 0.2 | −0.2 | 0.4 | −0.1 | 0.0 |
| 49002 | 0.0 | 0.0 | −0.1 | 0.2 | −0.2 |
| 50031 | 0.1 | −0.1 | 0.2 | −0.2 | −0.2 |
| 50052 | 0.0 | −0.1 | −0.2 | 0.0 | 0.0 |
| 51049 | 0.1 | −0.4 | 0.1 | −0.4 | 0.0 |
| 52020 | 0.1 | 0.0 | 0.1 | 0.1 | 0.2 |
| 54003 | 0.1 | 0.4 | 0.2 | 0.1 | 0.1 |
| 55049 | 0.0 | 0.1 | 0.2 | 0.1 | 0.1 |
| 56018 | 0.0 | −0.1 | 0.1 | 0.1 | −0.1 |
| 56032 | 0.2 | 0.1 | −0.7 | 0.0 | 0.0 |
| 58158 | 0.0 | 0.1 | −0.1 | 0.0 | 0.1 |
| 60085 | 0.1 | −0.3 | 0.0 | 0.2 | 0.3 |
| 61288 | 0.2 | 0.0 | 0.2 | −0.1 | 0.1 |
| 63005 | 0.0 | 0.0 | −0.1 | 0.1 | 0.0 |
| 64008 | 0.1 | −0.3 | 0.1 | 0.0 | −0.2 |
| 68192 | 0.2 | −0.1 | 0.0 | 0.1 | 0.0 |
| 69132 | 0.1 | 0.2 | 0.3 | 0.4 | 0.0 |
| 70005 | 0.2 | 0.0 | −0.2 | −0.2 | 0.2 |
| 70263 | 0.2 | −0.3 | 0.0 | 0.0 | −0.2 |
| 70278 | 0.1 | 0.0 | −0.1 | 0.0 | 0.4 |
| 71041 | 0.1 | −0.1 | 0.2 | 0.0 | −0.1 |
| 72043 | 0.0 | −0.1 | 0.0 | 0.1 | 0.0 |
| 72150 | 0.2 | 0.1 | 0.0 | 0.3 | −0.3 |
| 73007 | 0.2 | −0.4 | −0.1 | 0.2 | −0.4 |
| 73014 | 0.0 | 0.1 | 0.1 | 0.2 | 0.0 |
| 74106 | 0.1 | 0.1 | −0.3 | 0.2 | 0.0 |
| 75032 | 0.1 | 0.4 | −0.1 | −0.2 | 0.4 |
| 75041 | 0.2 | 0.3 | −0.2 | −0.3 | −0.1 |
| a. Variation in Return Level due to Climate Change NSW, Australia. | ||||||||||||||||||
| Station # | 1900 to 2019 | 2020 to 2039 | ||||||||||||||||
| 2 Yr | 5 Yr | 10 Yr | 20 Yr | 50 Yr | 100 Yr | 2 Yr | 5 Yr | 10 Yr | 20 Yr | 50 Yr | 100 Yr | |||||||
| 48027 | 38.5 | 54.9 | 66.8 | 79.0 | 96.3 | 110.3 | 57.9 | 76.6 | 89.6 | 102.4 | 119.7 | 133.1 | ||||||
| 48031 | 53.5 | 78.7 | 100.9 | 127.7 | 172.4 | 215.4 | 62.8 | 83.8 | 95.7 | 106.0 | 117.6 | 125.2 | ||||||
| 49002 | 35.5 | 50.1 | 59.8 | 69.3 | 81.7 | 91.1 | 22.1 | 29.6 | 34.7 | 39.7 | 46.3 | 51.3 | ||||||
| 50031 | 51.9 | 72.1 | 86.5 | 101.1 | 121.1 | 137.1 | 51.9 | 69.5 | 80.2 | 89.8 | 101.4 | 109.5 | ||||||
| 50052 | 40.5 | 56.2 | 66.4 | 75.9 | 88.0 | 96.8 | 41.2 | 53.9 | 61.8 | 69.1 | 78.2 | 84.6 | ||||||
| 51049 | 45.1 | 63.3 | 78.0 | 94.5 | 120.0 | 142.7 | 63.9 | 77.1 | 82.9 | 86.9 | 90.5 | 92.4 | ||||||
| 52020 | 56.3 | 77.9 | 92.9 | 107.8 | 127.9 | 143.6 | 56.4 | 74.9 | 87.3 | 99.2 | 114.9 | 126.8 | ||||||
| 54003 | 55.1 | 75.2 | 91.5 | 109.7 | 137.8 | 162.8 | 54.2 | 71.1 | 87.8 | 109.8 | 150.7 | 194.2 | ||||||
| 55049 | 54.4 | 70.9 | 81.9 | 92.5 | 106.4 | 116.9 | 60.7 | 78.7 | 91.5 | 104.6 | 122.8 | 137.4 | ||||||
| 56018 | 56.5 | 74.5 | 87.0 | 99.3 | 116.0 | 128.9 | 62.1 | 75.4 | 83.7 | 91.3 | 100.6 | 107.2 | ||||||
| 56032 | 60.3 | 83.1 | 100.1 | 117.9 | 143.6 | 164.8 | 49.0 | 60.7 | 68.8 | 76.9 | 87.8 | 96.4 | ||||||
| 58158 | 135.1 | 196.3 | 237.7 | 277.9 | 331.0 | 371.4 | 86.6 | 119.0 | 143.0 | 168.1 | 204.0 | 233.7 | ||||||
| 60065 | 109.2 | 156.2 | 189.9 | 224.3 | 272.0 | 310.3 | 91.9 | 111.9 | 122.3 | 130.4 | 139.0 | 144.1 | ||||||
| 61288 | 61.7 | 90.8 | 112.6 | 135.8 | 169.5 | 197.8 | 75.7 | 98.9 | 114.1 | 128.5 | 147.0 | 160.7 | ||||||
| 63005 | 45.5 | 60.9 | 71.8 | 82.8 | 97.8 | 109.7 | 44.9 | 53.0 | 58.3 | 63.4 | 69.9 | 74.7 | ||||||
| 64008 | 65.4 | 89.3 | 106.3 | 123.7 | 147.8 | 167.1 | 86.4 | 108.1 | 119.4 | 128.4 | 137.8 | 143.5 | ||||||
| 68192 | 69.7 | 101.8 | 125.7 | 150.7 | 186.6 | 216.3 | 62.1 | 79.9 | 90.1 | 98.9 | 109.0 | 115.7 | ||||||
| 69132 | 64.3 | 88.8 | 106.3 | 123.9 | 148.3 | 167.7 | 56.2 | 82.6 | 103.0 | 125.1 | 157.9 | 186.0 | ||||||
| 70005 | 54.7 | 76.7 | 94.1 | 113.4 | 142.6 | 168.2 | 44.3 | 58.7 | 68.2 | 77.1 | 88.5 | 97.0 | ||||||
| 70263 | 52.0 | 72.2 | 87.8 | 104.6 | 129.4 | 150.6 | 44.3 | 54.2 | 59.3 | 63.3 | 67.4 | 69.9 | ||||||
| 70278 | 44.8 | 61.9 | 73.7 | 85.2 | 100.7 | 112.6 | 45.7 | 60.7 | 70.5 | 79.8 | 91.7 | 100.5 | ||||||
| 71041 | 67.4 | 90.6 | 107.0 | 123.6 | 146.3 | 164.4 | 53.7 | 65.1 | 72.0 | 78.2 | 85.6 | 90.8 | ||||||
| 72043 | 53.8 | 70.2 | 81.5 | 92.9 | 108.3 | 120.2 | 63.2 | 75.4 | 82.8 | 89.3 | 97.0 | 102.3 | ||||||
| 72150 | 39.9 | 54.6 | 65.9 | 78.3 | 96.6 | 112.4 | 40.1 | 53.8 | 63.9 | 74.4 | 89.2 | 101.4 | ||||||
| 73007 | 53.9 | 75.3 | 93.0 | 113.3 | 145.3 | 174.4 | 50.9 | 58.6 | 62.2 | 64.8 | 67.3 | 68.6 | ||||||
| 73014 | 50.2 | 67.3 | 78.4 | 88.7 | 101.8 | 111.4 | 48.6 | 61.3 | 70.6 | 80.2 | 93.7 | 104.8 | ||||||
| 74106 | 38.9 | 53.9 | 64.2 | 74.5 | 88.2 | 98.9 | 34.3 | 44.3 | 51.7 | 59.4 | 70.4 | 79.5 | ||||||
| 75032 | 39.0 | 55.7 | 67.8 | 80.3 | 97.9 | 112.1 | 33.4 | 47.3 | 61.1 | 79.2 | 112.6 | 148.0 | ||||||
| 75041 | 32.5 | 46.7 | 58.6 | 72.4 | 94.4 | 114.7 | 35.8 | 50.1 | 62.9 | 78.4 | 104.6 | 130.2 | ||||||
| b. Variation of Return Level due to Climate Change NSW, Australia. | ||||||||||||||||||
| Station # | 2040 to 2059 | 2060 to 2079 | 2080 to 2099 | |||||||||||||||
| 2 Yr | 5 Yr | 10 Yr | 20 Yr | 50 Yr | 100 Yr | 2 Yr | 5 Yr | 10 Yr | 20 Yr | 50 Yr | 100 Yr | 2 Yr | 5 Yr | 10 Yr | 20 Yr | 50 Yr | 100 Yr | |
| 48027 | 52.1 | 68.1 | 79.1 | 89.8 | 104.0 | 114.9 | 42.4 | 65.0 | 83.0 | 103.1 | 133.8 | 160.9 | 56.6 | 79.9 | 95.7 | 111.2 | 131.7 | 147.4 |
| 48031 | 57.2 | 79.2 | 99.4 | 124.5 | 168.0 | 211.3 | 55.9 | 79.3 | 93.3 | 105.8 | 120.7 | 131.0 | 63.1 | 85.5 | 99.7 | 112.9 | 129.2 | 141.1 |
| 49002 | 24.0 | 32.4 | 37.2 | 41.4 | 46.2 | 49.4 | 26.9 | 38.9 | 48.1 | 58.1 | 73.0 | 85.7 | 24.2 | 30.0 | 33.0 | 35.4 | 37.9 | 39.5 |
| 50031 | 48.6 | 65.1 | 78.0 | 92.1 | 113.4 | 131.9 | 47.7 | 62.1 | 70.1 | 76.7 | 84.0 | 88.7 | 50.9 | 63.0 | 69.5 | 74.7 | 80.4 | 83.9 |
| 50052 | 44.7 | 59.1 | 67.2 | 74.2 | 82.1 | 87.3 | 40.6 | 53.8 | 62.6 | 71.2 | 82.3 | 90.7 | 43.4 | 56.8 | 66.0 | 75.0 | 86.9 | 96.1 |
| 51049 | 51.4 | 73.9 | 90.5 | 107.9 | 132.9 | 153.4 | 56.8 | 70.1 | 76.3 | 80.7 | 84.9 | 87.2 | 60.1 | 73.3 | 82.3 | 91.0 | 102.5 | 111.3 |
| 52020 | 50.8 | 72.1 | 87.2 | 102.4 | 123.3 | 139.8 | 52.1 | 75.3 | 91.9 | 108.8 | 132.1 | 150.8 | 54.7 | 82.6 | 104.8 | 129.2 | 166.1 | 198.4 |
| 54003 | 52.7 | 70.1 | 84.5 | 101.0 | 127.2 | 151.0 | 55.5 | 72.2 | 84.0 | 95.8 | 112.0 | 124.7 | 56.9 | 78.5 | 94.0 | 109.8 | 131.7 | 149.4 |
| 55049 | 60.0 | 83.5 | 101.5 | 121.0 | 149.7 | 174.3 | 64.5 | 85.2 | 99.6 | 114.0 | 133.4 | 148.6 | 58.2 | 78.9 | 93.9 | 109.2 | 130.5 | 147.7 |
| 56018 | 59.5 | 81.0 | 96.2 | 111.6 | 132.5 | 149.1 | 58.9 | 76.9 | 89.9 | 103.5 | 122.5 | 138.0 | 62.4 | 80.6 | 91.6 | 101.4 | 113.0 | 121.0 |
| 56032 | 54.0 | 62.6 | 65.7 | 67.5 | 68.9 | 69.5 | 50.8 | 69.7 | 81.7 | 92.9 | 106.9 | 117.1 | 53.6 | 72.1 | 84.9 | 97.4 | 114.2 | 127.3 |
| 58158 | 78.8 | 100.2 | 113.3 | 125.0 | 139.1 | 148.9 | 76.7 | 106.8 | 126.2 | 144.5 | 167.6 | 184.5 | 80.5 | 101.6 | 116.6 | 131.9 | 153.0 | 169.8 |
| 60065 | 75.0 | 92.3 | 103.7 | 114.6 | 128.8 | 139.4 | 77.0 | 105.0 | 126.6 | 150.1 | 185.1 | 215.2 | 92.0 | 123.1 | 150.6 | 183.7 | 239.0 | 292.2 |
| 61288 | 67.7 | 87.4 | 103.1 | 120.6 | 147.4 | 171.0 | 77.1 | 101.7 | 116.7 | 130.3 | 146.6 | 157.9 | 77.6 | 106.7 | 128.8 | 152.5 | 187.0 | 216.2 |
| 63005 | 44.7 | 57.6 | 65.6 | 72.9 | 81.9 | 88.2 | 43.8 | 55.9 | 64.7 | 73.6 | 86.1 | 96.1 | 47.6 | 58.2 | 64.9 | 71.2 | 79.1 | 84.9 |
| 64008 | 76.2 | 99.3 | 116.6 | 135.0 | 161.5 | 183.7 | 68.7 | 88.8 | 102.7 | 116.6 | 135.3 | 149.9 | 63.5 | 76.5 | 83.6 | 89.5 | 95.9 | 100.0 |
| 68192 | 62.2 | 89.8 | 108.6 | 127.1 | 151.8 | 170.7 | 54.8 | 75.2 | 90.1 | 105.4 | 126.9 | 144.3 | 61.2 | 82.5 | 96.8 | 110.7 | 129.0 | 142.9 |
| 69132 | 54.8 | 88.7 | 119.2 | 156.6 | 220.3 | 282.7 | 54.0 | 81.5 | 108.6 | 144.2 | 210.0 | 279.5 | 64.0 | 89.3 | 106.5 | 123.4 | 146.0 | 163.3 |
| 70005 | 54.0 | 71.3 | 80.6 | 88.3 | 96.7 | 102.0 | 49.1 | 64.6 | 73.1 | 80.1 | 87.7 | 92.5 | 42.9 | 62.8 | 78.6 | 96.0 | 122.3 | 145.2 |
| 70263 | 46.0 | 57.2 | 64.6 | 71.8 | 81.1 | 88.1 | 48.8 | 73.4 | 89.6 | 105.2 | 125.2 | 140.2 | 46.4 | 57.7 | 64.0 | 69.3 | 75.3 | 79.2 |
| 70278 | 45.1 | 60.4 | 69.9 | 78.5 | 88.9 | 96.3 | 42.9 | 56.2 | 65.3 | 74.3 | 86.5 | 96.0 | 39.0 | 55.7 | 71.3 | 90.9 | 125.1 | 159.5 |
| 71041 | 53.6 | 66.7 | 76.8 | 87.9 | 104.3 | 118.5 | 63.0 | 78.7 | 88.6 | 97.8 | 109.3 | 117.5 | 54.9 | 70.4 | 79.8 | 88.3 | 98.4 | 105.5 |
| 72043 | 56.2 | 71.6 | 82.0 | 92.1 | 105.5 | 115.7 | 65.4 | 82.5 | 95.1 | 108.2 | 126.9 | 142.4 | 58.9 | 73.8 | 83.3 | 92.2 | 103.3 | 111.4 |
| 72150 | 42.7 | 54.0 | 61.3 | 68.0 | 76.5 | 82.6 | 44.1 | 59.1 | 72.1 | 87.3 | 112.2 | 135.5 | 43.3 | 54.6 | 60.2 | 64.6 | 69.0 | 71.6 |
| 73007 | 50.6 | 67.1 | 77.2 | 86.5 | 97.7 | 105.6 | 46.6 | 57.6 | 66.1 | 75.1 | 88.5 | 99.8 | 59.8 | 74.9 | 81.8 | 86.9 | 91.6 | 94.2 |
| 73014 | 43.6 | 58.6 | 69.2 | 79.7 | 94.0 | 105.1 | 45.0 | 65.9 | 83.2 | 103.1 | 134.7 | 163.5 | 53.1 | 68.5 | 78.4 | 87.7 | 99.4 | 108.0 |
| 74106 | 39.7 | 50.7 | 56.4 | 60.8 | 65.4 | 68.2 | 33.2 | 46.2 | 56.8 | 68.8 | 87.3 | 104.0 | 33.4 | 46.4 | 55.1 | 63.5 | 74.4 | 82.6 |
| 75032 | 38.7 | 50.6 | 57.5 | 63.4 | 70.2 | 74.8 | 40.3 | 52.1 | 58.5 | 63.8 | 69.6 | 73.3 | 31.9 | 44.5 | 56.8 | 72.8 | 102.2 | 133.1 |
| 75041 | 44.3 | 57.5 | 64.4 | 70.0 | 75.8 | 79.4 | 45.4 | 58.1 | 64.4 | 69.2 | 74.1 | 77.0 | 36.2 | 46.0 | 52.1 | 57.7 | 64.5 | 69.3 |
Disclaimer/Publisher’s Note: The statements, opinions and data contained in all publications are solely those of the individual author(s) and contributor(s) and not of MDPI and/or the editor(s). MDPI and/or the editor(s) disclaim responsibility for any injury to people or property resulting from any ideas, methods, instructions or products referred to in the content. |
© 2024 by the authors. Licensee MDPI, Basel, Switzerland. This article is an open access article distributed under the terms and conditions of the Creative Commons Attribution (CC BY) license (https://creativecommons.org/licenses/by/4.0/).
Share and Cite
Hossain, I.; Gato-Trinidad, S.; Imteaz, M.; Rayburg, S. Future Scenarios of Design Rainfall Due to Upcoming Climate Changes in NSW, Australia. Atmosphere 2024, 15, 1101. https://doi.org/10.3390/atmos15091101
Hossain I, Gato-Trinidad S, Imteaz M, Rayburg S. Future Scenarios of Design Rainfall Due to Upcoming Climate Changes in NSW, Australia. Atmosphere. 2024; 15(9):1101. https://doi.org/10.3390/atmos15091101
Chicago/Turabian StyleHossain, Iqbal, Shirley Gato-Trinidad, Monzur Imteaz, and Scott Rayburg. 2024. "Future Scenarios of Design Rainfall Due to Upcoming Climate Changes in NSW, Australia" Atmosphere 15, no. 9: 1101. https://doi.org/10.3390/atmos15091101
APA StyleHossain, I., Gato-Trinidad, S., Imteaz, M., & Rayburg, S. (2024). Future Scenarios of Design Rainfall Due to Upcoming Climate Changes in NSW, Australia. Atmosphere, 15(9), 1101. https://doi.org/10.3390/atmos15091101

