Sign in to use this feature.

Years

Between: -

Subjects

remove_circle_outline
remove_circle_outline
remove_circle_outline
remove_circle_outline
remove_circle_outline
remove_circle_outline
remove_circle_outline
remove_circle_outline
remove_circle_outline

Journals

remove_circle_outline
remove_circle_outline
remove_circle_outline
remove_circle_outline
remove_circle_outline
remove_circle_outline
remove_circle_outline
remove_circle_outline
remove_circle_outline
remove_circle_outline
remove_circle_outline
remove_circle_outline

Article Types

Countries / Regions

remove_circle_outline
remove_circle_outline
remove_circle_outline
remove_circle_outline
remove_circle_outline
remove_circle_outline
remove_circle_outline
remove_circle_outline

Search Results (2,337)

Search Parameters:
Keywords = extreme rainfall

Order results
Result details
Results per page
Select all
Export citation of selected articles as:
18 pages, 2207 KB  
Article
Investigation Methods of Large-Scale Milltailings Debris Flow Based on InSAR Deformation Monitoring and UAV Topographic Survey: Correlation and Comparison
by Han Zhang, Wei Wang, Juan Du, Zhan Zhang, Junhu Chen, Jingzhou Yang and Bo Chai
Remote Sens. 2026, 18(9), 1299; https://doi.org/10.3390/rs18091299 - 24 Apr 2026
Abstract
Milltailings deposition areas in abandoned mines are inherently unstable and spatially extensive and heterogeneous, making regional-scale field investigations challenging under intense rainfall. With the advancement of space–airborne remote sensing technologies, large-scale surface deformation monitoring has become feasible. In this study, a 22.02 km² [...] Read more.
Milltailings deposition areas in abandoned mines are inherently unstable and spatially extensive and heterogeneous, making regional-scale field investigations challenging under intense rainfall. With the advancement of space–airborne remote sensing technologies, large-scale surface deformation monitoring has become feasible. In this study, a 22.02 km² abandoned mine in Lingqiu County, Shanxi Province, was selected as a case site; during the late-July 2023 extreme rainfall event, the site experienced large-scale surface displacements. Surface deformation was interpreted using Sentinel-1 SBAS-InSAR data, combined with differential digital elevation models (DEMs) derived from UAV surveys before and after heavy rainfall. A bivariate spatial autocorrelation analysis was conducted to evaluate the spatial relationship between differential DEMs and InSAR-derived deformation. The results indicate that: (1) SBAS-InSAR revealed significant spatial heterogeneity of ground deformation, with pronounced subsidence observed in the milltailings deposits; (2) the bivariate spatial autocorrelation analysis yielded a Moran’s I value of 0.2, suggesting a weak but positive spatial correlation between the DEM differences and InSAR results, with dispersed correlation patterns; (3) hotspot analysis highlighted notable clustering of deformation, with approximately 27.84% of the study area showing strong deformation responses, while 25.81% represented low–low clusters with limited deformation. Beyond tailings-deposit settings, this workflow is also applicable to the regional investigation of rainfall-responsive deformation and debris-flow-related terrain change on natural slopes under global change, providing technical support for surface investigations and offering insights for disaster early warning and ecological restoration in similar regions. Full article
28 pages, 6360 KB  
Article
Multi-Criteria Geospatial Assessment of Rainwater Harvesting Potential in Urban Environments Using Remote Sensing and GIS
by Satish Kumar Mummidivarapu, Shaik Rehana, Chiravuri Sai Sowmya and Ataur Rahman
Water 2026, 18(9), 1014; https://doi.org/10.3390/w18091014 - 24 Apr 2026
Abstract
Urban cities have been intensely prone to floods during extreme rainfall events and water scarcity issues during dry periods in recent years. In this context, identifying rainwater harvesting potential (RWHP) regions in urban environments provides a sustainable approach to mitigate both urban flooding [...] Read more.
Urban cities have been intensely prone to floods during extreme rainfall events and water scarcity issues during dry periods in recent years. In this context, identifying rainwater harvesting potential (RWHP) regions in urban environments provides a sustainable approach to mitigate both urban flooding and water security, thereby improving urban stormwater management. Geospatial mapping of RWHP has tried to consider various hydrometeorological, topographical and other geospatial datasets, but integrating socio-economic factors over urban environments has not been explored much. The present study integrated remote sensing and hydrological-based information, such as slope, soil type, drainage density, geomorphology, topographic wetness index (TWI), land use land cover (LULC), rainfall, runoff coefficient, proximity to roads, and proximity to settlements for geospatial mapping of RWH potential zones for Hyderabad city using multi-criteria decision analysis (MCDA) and weighted overlay analysis (WOA). The resulting RWH potential map indicates that 80.20% of the area falls within the “low” potential category, 17.53% as “moderate”, 2.0% as “very low”, and only 0.25% as “high” potential, mainly in the southeastern portion near the Hussain Sagar outlet. These categories are spatially verified using Sentinel-2 LULC and Google Earth imagery to assess the qualitative plausibility of the mapped RWH potential zones. Northwestern areas, with loamy soils and mild slopes, demonstrate suitability for rooftop collection and percolation structures, highlighting the effectiveness of the proposed modelling framework for sustainable stormwater management for urban environments. Full article
(This article belongs to the Section Urban Water Management)
Show Figures

Figure 1

21 pages, 4959 KB  
Article
Reservoir Inflow Risk-Window Early Warning Informed by Monitoring and Routing-Decay Modeling
by Boming Wang, Junfeng Mo, Ersong Wang, Zuolun Li and Yongwei Gong
Water 2026, 18(9), 1005; https://doi.org/10.3390/w18091005 - 23 Apr 2026
Abstract
Against the backdrop of multi-source water transfers and increasingly frequent extreme rainfall, short-term deterioration of reservoir inflow water quality has become a key risk to intake safety, treatment operations, and urban water-supply security. Traditional assessments based on static thresholds and annual or seasonal [...] Read more.
Against the backdrop of multi-source water transfers and increasingly frequent extreme rainfall, short-term deterioration of reservoir inflow water quality has become a key risk to intake safety, treatment operations, and urban water-supply security. Traditional assessments based on static thresholds and annual or seasonal averages often fail to identify high-risk periods at the event scale. Using continuous online monitoring data from 2021 to 2024 for the inflow of Yuqiao Reservoir, Tianjin, China, this study developed a month-specific dynamic-threshold framework and green/yellow/red risk windows and integrated a reach-wise river–reservoir routing scheme; a two-box decay model; and a three-class risk trigger into a unified analytical framework for long-term background characterization, event propagation analysis, source-contribution interpretation, and early-warning evaluation. Results show that the permanganate index (CODMn) exhibits an overall stable-to-declining background with pronounced wet-season pulses, whereas total nitrogen (TN) and total phosphorus (TP) remain at moderate-to-high levels, with yellow/red risk windows clustering markedly in the wet season. In typical red and yellow events, nitrogen contributions from upstream control sections progressively accumulate toward the reservoir inlet along the river–reservoir cascade system, whereas in some events the residual contribution from unmonitored near-inlet inflows becomes dominant. The CODMn-based three-class trigger achieves an overall accuracy of approximately 71.5% and shows comparatively strong identification of yellow-level risk, while remaining conservative for red-level alarms. These findings indicate that coupling month-specific dynamic thresholds with event-scale routing-decay analysis and trigger-based classification can support inflow monitoring, intake-risk early warning, and coordinated operation of key upstream reaches and near-reservoir control zones in water-transfer–reservoir integrated systems. Full article
(This article belongs to the Special Issue Smart Design and Management of Water Distribution Systems)
Show Figures

Figure 1

62 pages, 13254 KB  
Article
Risk of Powerline Failure Induced by Heavy Rainfall Hazards: Debris Flow Case Studies in Talamona and Campo Tartano
by Andrea Abbate, Leonardo Mancusi and Michele de Nigris
Climate 2026, 14(5), 90; https://doi.org/10.3390/cli14050090 - 23 Apr 2026
Abstract
The power system is the backbone of the energy network, and overhead lines are its vital structures. Weather threats may jeopardise the reliability of lines and make them a weak link. In particular, heavy rainfall episodes can cause failures, especially in mountain areas. [...] Read more.
The power system is the backbone of the energy network, and overhead lines are its vital structures. Weather threats may jeopardise the reliability of lines and make them a weak link. In particular, heavy rainfall episodes can cause failures, especially in mountain areas. Current climate changes may exacerbate the effects on the ground, intensifying rainfall episodes and increasing the frequency of extreme events. In this context, debris flows triggered by rather intense precipitation and characterised by fast kinematics can destroy pylons and electric connections, affecting the infrastructures not only in the upper ridges but also downstream across the fan apex, where powerlines are much more distributed. This study presents an in-depth back-analysis of two debris flow events triggered in concomitance with a heavy cloudburst that occurred in Talamona (Sondrio Province, Italy) in July 2008 and in Campo Tartano (Sondrio Province, Italy) in April 2024. These events hit onsite powerlines, causing blackouts and showing the potential vulnerabilities of the local electricity system. An analysis of rainfall-induced landslide failure is carried out using the numerical model CRHyME (Climatic Rainfall Hydrogeological Modelling Experiment) and MIST-DF (Modelling Impulsive Sediment Transport—Debris Flow) with the aim of reconstructing the dynamics of the first (i.e., Talamona) geo-hydrological event. Powerline vulnerability is also investigated against debris flow dynamics, discussing possible strategies to reduce pylon exposure and to increase the resilience of the local electro-energetic network. Since, under climate change scenarios, heavy rainfall episodes are projected to intensify, an alternative approach based on rainfall-threshold curves is presented and applied to both cases of study. The latter, already implemented for civil protection purposes, could be useful in early-warning procedures against potential debris flow hazards. For both methodologies, the findings from the study confirm the strength of the approaches and foster their application in different situations (back-analysis and early warning) to reduce powerlines’ geo-hydrological risks. Full article
(This article belongs to the Special Issue Hydroclimatic Extremes: Modeling, Forecasting, and Assessment)
33 pages, 6401 KB  
Article
An Explainable Machine Learning Framework for Flood Damage Mapping Using Remote Sensing and Ground-Based Data: Application to the Basilicata Ionian Coast (Italy)
by Silvano Fortunato Dal Sasso, Maríca Rondinone, Htay Htay Aung and Vito Telesca
Remote Sens. 2026, 18(8), 1257; https://doi.org/10.3390/rs18081257 - 21 Apr 2026
Viewed by 218
Abstract
Flood damage assessment remains challenging, as conventional flood risk management mainly relies on hydraulic hazard maps that do not explicitly reproduce observed damage patterns. Recent advances in remote sensing and machine learning (ML) enable the integration of environmental and socio-economic data with historical [...] Read more.
Flood damage assessment remains challenging, as conventional flood risk management mainly relies on hydraulic hazard maps that do not explicitly reproduce observed damage patterns. Recent advances in remote sensing and machine learning (ML) enable the integration of environmental and socio-economic data with historical impact information to improve flood damage modeling. This study proposes an explainable machine learning framework for flood damage susceptibility mapping, using observed institutional damage records from the 2011 and 2013 flood events combined with 17 geospatial flood risk factors (FRFs) representing hazard, exposure, and vulnerability. This approach enables the capture of non-linear relationships between flood damage and FRFs. For comparison purposes, the same framework was also applied using hydraulically modeled flood extents corresponding to return periods of 30, 200, and 500 years. The framework was tested along the Basilicata Ionian coast in southern Italy, a Mediterranean region characterized by complex geomorphology, intense rainfall events, and recurrent flood impacts. An eXtreme Gradient Boosting (XGBoost) model was trained using 17 FRFs related to hazard, exposure, and vulnerability at a spatial resolution of 20 m. The model achieved high performance with an accuracy of 0.988, an F1-score for the minority class of 0.860, and an ROC-AUC (test) of 0.996. High to very high flood damage probability was predicted in approximately 4.1% of the study area, mainly in low-lying floodplains near river corridors and infrastructure. SHAP-based explainability analysis revealed that damage susceptibility was predominantly driven by hazard and exposure factors: Drainage density (17.10%), Railway distance (16.33%), and Elevation (15.42%), extreme precipitation (Max rainfall, 10.66%) and Street distance (7.51%), with socio-economic vulnerability contributing less than 4%. The observed damage target exhibited clear threshold-like patterns (e.g., sharp risk increases below ~25/35 m elevation or within ~150/200 m of road infrastructure), contrasting with the smoother, continuous gradients produced by hydraulic scenarios. This analysis identified the most influential predictors and their response ranges. The proposed framework complements hydraulic hazard mapping by explicitly modeling observed flood damage, supporting flood risk assessment in flood-prone coastal regions. Full article
Show Figures

Figure 1

29 pages, 7437 KB  
Article
Historical Trend and Future Projection of Extreme Seasonal Precipitation over Ethiopia, East Africa
by Daniel Berhanu, Tena Alamirew, Greg O’Donnell, Claire L. Walsh, Amare Haileslassie, Temesgen Gashaw Tarkegn, Amare Bantider, Solomon Gebrehiwot and Gete Zeleke
Climate 2026, 14(4), 88; https://doi.org/10.3390/cli14040088 - 21 Apr 2026
Viewed by 375
Abstract
East Africa is highly vulnerable to climate change due to limited adaptive capacity and strong reliance on rain-fed agriculture. Ethiopia, in particular, experiences recurrent socio-economic losses from droughts and floods. This study presents a national-scale assessment of observed (1981–2010) and projected (2041–2100) changes [...] Read more.
East Africa is highly vulnerable to climate change due to limited adaptive capacity and strong reliance on rain-fed agriculture. Ethiopia, in particular, experiences recurrent socio-economic losses from droughts and floods. This study presents a national-scale assessment of observed (1981–2010) and projected (2041–2100) changes in extreme seasonal precipitation across Ethiopia using ten ETCCDIs. High-resolution Enhancing National Climate Services (ENACTS) observations and bias-corrected outputs from a selected ensemble of CMIP6 models under SSP2-4.5 and SSP5-8.5 scenarios are used to assess historically trends and future extreme precipitation, respectively. Historical trends show increases in extreme precipitation during the Kiremt (JJAS) season, particularly over the northwestern, western, and southwestern highlands; however, most of these increases are not statistically significant. In contrast, the Belg (FMAM) season exhibits widespread declines, which are also largely not statistically significant. Future projections suggest increases in total precipitation (PRCPTOT), heavy (R10) and very heavy rainfall days (R20), very wet days (R95p) and extremely wet days (R95p), and rainfall intensity (SDII) over northwestern, western, southwestern, and parts of northeastern Ethiopia during JJAS. During FMAM, PRCPTOT is projected to increase in the northern and northwestern regions, while decreases are expected in the northeastern and southeastern regions. The Awash and Tekeze basins emerge as key hotspots of change, indicating potential seasonal shifts and an increased likelihood of extreme weather in these regions. Despite inter-model uncertainty, the results highlight the need for flexible, uncertainty-informed adaptation strategies to enhance climate resilience in Ethiopia. Full article
Show Figures

Figure 1

16 pages, 12174 KB  
Article
Assessing Water Quality Variations and Their Driving Forces in Lake Erhai, China: Implications for Sustainable Water Resource Management
by Xiaorong He, Tianbao Xu, Huihuang Luo and Xueqian Wang
Sustainability 2026, 18(8), 4112; https://doi.org/10.3390/su18084112 - 21 Apr 2026
Viewed by 121
Abstract
Lake Erhai is an important plateau freshwater lake in China. It serves not only as a crucial drinking water source for the local region but also as the core area of the Cangshan Erhai National Nature Reserve. Consequently, Lake Erhai plays an extremely [...] Read more.
Lake Erhai is an important plateau freshwater lake in China. It serves not only as a crucial drinking water source for the local region but also as the core area of the Cangshan Erhai National Nature Reserve. Consequently, Lake Erhai plays an extremely significant role in the local economy, society, and ecology. Since 2000, the water quality of Lake Erhai has continuously deteriorated, showing a eutrophic trend. To identify the primary driving forces behind these water quality changes, this study employed stepwise regression analysis. Climate conditions, socio-economic development within the basin, and implementation of environmental protection measures (IEPMs) were considered influencing factors for a comprehensive and systematic analysis of Lake Erhai’s water quality. The results indicate that rising air temperature may increase total phosphorus (TP) concentration, while rainfall may elevate both TP and total nitrogen (TN) levels. In contrast, higher wind speed may reduce chemical oxygen demand (CODMn), TP, and TN concentrations. Socio-economic development, meanwhile, may contribute to increased CODMn concentration. Based on these findings, this paper proposes recommendations focusing on formulating more effective non-point source pollution control measures and strengthening water quality monitoring in Lake Erhai during summer. By identifying the key natural and anthropogenic drivers of water quality changes in Lake Erhai, this study provides a scientific basis for the development of targeted pollution control strategies and directly contributes to the protection of clean water sources. Moreover, its revelation of the coupled impacts of climate change and socio-economic activities enhances understanding of plateau lake ecosystem resilience. This insight is critical for ensuring regional ecological security and serves as a model for advancing sustainable development goals in similar lake systems worldwide. Full article
(This article belongs to the Section Air, Climate Change and Sustainability)
Show Figures

Figure 1

20 pages, 42320 KB  
Article
Flood Risk Mitigation Planning Based on ArcGIS Rainfall Simulation: A Case Study of Flood Prevention Strategies for the Dangjin Traditional Market, South Korea
by Sang-Hoon Lee, Sang-Ji Lee, Da-Hee Kim, Seung-Hyeon Park, Seung-Jun Lee and Hong-Sik Yun
Sustainability 2026, 18(8), 4111; https://doi.org/10.3390/su18084111 - 21 Apr 2026
Viewed by 124
Abstract
Due to climate change, the frequency and intensity of extreme rainfall events have increased in South Korea, resulting in recurrent urban flooding that exceeds the design capacity of conventional drainage systems. In the Dangjin Traditional Market area, comparable rainfall conditions in 2024 and [...] Read more.
Due to climate change, the frequency and intensity of extreme rainfall events have increased in South Korea, resulting in recurrent urban flooding that exceeds the design capacity of conventional drainage systems. In the Dangjin Traditional Market area, comparable rainfall conditions in 2024 and 2025 caused repeated flooding, suggesting that structural improvements implemented without quantitative verification do not necessarily guarantee effective flood prevention. This study aims to support sustainable urban flood management by assessing the pre-implementation effectiveness of structural flood mitigation measures using a spatially explicit simulation approach. An ArcGIS-based rainfall–inundation simulation was conducted by integrating a 1 m LiDAR-derived digital elevation model, land cover data classified using a pixel-based Support Vector Machine, detailed building and channel datasets, and observed hourly rainfall from the July 2025 extreme event. Scenarios with and without the application of levee heightening and drainage capacity expansion were compared under identical rainfall conditions. The results indicate that the application of structural measures leads to a clear reduction in inundation extent and water depth. The proposed framework provides a practical simulation-based decision-support tool for verifying flood mitigation measures in advance and for promoting sustainable flood risk management in urban areas prone to recurrent flooding. Full article
Show Figures

Figure 1

25 pages, 7615 KB  
Article
Regional Copula Modeling of Rainfall Duration and Intensity: Derivation and Validation of IDF Curves in the Kastoria Basin
by Evangelos Leivadiotis, Aris Psilovikos and Silvia Kohnová
Hydrology 2026, 13(4), 117; https://doi.org/10.3390/hydrology13040117 - 20 Apr 2026
Viewed by 385
Abstract
Intensity–Duration–Frequency (IDF) curves are the cornerstone of hydraulic infrastructure design, yet standard methodologies often fail to account for the complex dependence structure of rainfall characteristics and the non-stationary effects of climate change. This study develops a robust Regional Copula Framework for the Kastoria [...] Read more.
Intensity–Duration–Frequency (IDF) curves are the cornerstone of hydraulic infrastructure design, yet standard methodologies often fail to account for the complex dependence structure of rainfall characteristics and the non-stationary effects of climate change. This study develops a robust Regional Copula Framework for the Kastoria Lake basin, Greece, utilizing sub-hourly rainfall records from four meteorological stations (2007–2024). We employ a forensic data quality control process to pool 277 independent storm events. Unlike traditional approaches, our analysis demonstrates that the Generalized Extreme Value (GEV) distribution (ξ = 0.348) significantly outperforms the standard Lognormal distribution in modeling heavy-tailed rainfall intensities. The dependence between storm duration and intensity was found to be consistently negative (τ = −0.35), a structure best captured by the Rotated Gumbel (90°) copula, which physically reflects the region’s convective storm dynamics. Trend analysis revealed a statistically significant decrease in peak intensity (τ = −0.14) coupled with an increase in storm duration (τ = 0.22), a hydro-climatic shift that contrasts with increasing intensity trends reported in the wider Balkan region. These findings suggest a regime transition from flash-flood dominance to volume-critical events, necessitating updated design criteria that integrate both multivariate dependence and local climatic non-stationarity. Full article
Show Figures

Figure 1

21 pages, 11112 KB  
Article
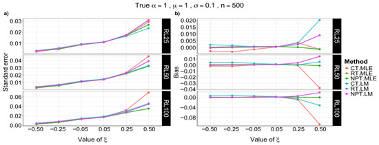
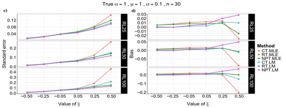
Using Negative Power Transformation to Model Block Minima
by Thanawan Prahadchai, Piyapatr Busababodhin, Taeyong Kwon and Sanghoo Yoon
Mathematics 2026, 14(8), 1383; https://doi.org/10.3390/math14081383 - 20 Apr 2026
Viewed by 172
Abstract
This study proposes a novel transformation method for analyzing block minima using the generalized extreme value distribution (GEVD). The negative power transformation (NPT), which includes a tunable hyperparameter and reduces to the reciprocal transformation (RT) when set to 1, improves the accuracy and [...] Read more.
This study proposes a novel transformation method for analyzing block minima using the generalized extreme value distribution (GEVD). The negative power transformation (NPT), which includes a tunable hyperparameter and reduces to the reciprocal transformation (RT) when set to 1, improves the accuracy and robustness in estimating long-term return levels (RL). Compared to traditional methods, the NPT-GEVD demonstrates lower bias, standard errors, and root mean square errors in Monte Carlo simulations. Furthermore, the NPT-GEVD provides consistent RL estimates with improved robustness across varying parameterizations and sample sizes, mainly when using L-moments for small datasets. The application of the NPT-GEVD to rainfall data from South Korea revealed that the RLs for detecting hourly cumulative rainfall threshold levels varied from 30 min to over 4 h, depending on the location and threshold. This research underscores the value of advanced transformation techniques in environmental risk management, offering critical insights for flood prediction and mitigation strategies in climate change. Full article
(This article belongs to the Special Issue Extreme Value Theory: Theory, Methodology and Applications)
Show Figures

Figure 1

18 pages, 3477 KB  
Article
Dual-Pathway Superposition: Independent Forcings of Spring Indian Ocean SST and Summer Tibetan Plateau Heating on Middle and Lower Yangtze Rainfall
by Miao Li, Yaoming Ma, Xiaohua Dong, Mingjing Wang, Penghui Yang, Qian Zhang and Chengqi Gong
Atmosphere 2026, 17(4), 414; https://doi.org/10.3390/atmos17040414 - 18 Apr 2026
Viewed by 154
Abstract
The Tibetan Plateau (TP) atmospheric heat source crucially modulates East Asian summer monsoon precipitation, yet its synergy with upstream oceanic signals remains elusive. Using observations (1971–2020) and CMIP6 simulations, we investigate mechanisms coupling the summer TP heating and precipitation over the Middle and [...] Read more.
The Tibetan Plateau (TP) atmospheric heat source crucially modulates East Asian summer monsoon precipitation, yet its synergy with upstream oceanic signals remains elusive. Using observations (1971–2020) and CMIP6 simulations, we investigate mechanisms coupling the summer TP heating and precipitation over the Middle and Lower Yangtze River (MLYR). SVD analysis reveals a robust positive coupling between them. Mechanistically, TP heating triggers a quasi-stationary Rossby wave train, inducing a “saddle-like” circulation that drives intense MLYR moisture convergence (contributing >90% to precipitation changes). Crucially, we re-examine the upstream oceanic precursor to propose a “dual-pathway superposition” framework. Contrary to the assumed linear causal chain, four-quadrant analysis reveals the spring Indian Ocean Basin Warming (IOBW) and summer TP heating are largely independent drivers (R = 0.24). While IOBW thermodynamically excites an Anomalous Anticyclone supplying abundant MLYR moisture, it lacks robust control over TP heating, which is dominated by internal atmospheric dynamics. However, our findings reveal a critical non-linear synergy: extreme MLYR rainfall strictly requires the coincidental phase overlap of these independent pathways (strong dynamic lifting coupled with oceanic moisture). CMIP6 simulations corroborate this independence, further emphasizing that extreme MLYR rainfall results from phase superposition rather than a single causal chain. Full article
33 pages, 5648 KB  
Article
Extreme Daily Rainfall Assessment in Arid Environments Through Statistical Modeling
by Ali Aldrees and Abubakr Taha Bakheit Taha
Atmosphere 2026, 17(4), 402; https://doi.org/10.3390/atmos17040402 - 16 Apr 2026
Viewed by 278
Abstract
Rainfall is a significant input for several engineering designs such as hydraulic structures, culverts, bridges and ducts, rainfall water sewer, and highway drainage system. The detailed statistical analysis of extreme daily rainfall of each arid environment’s region is essential to estimate the relevant [...] Read more.
Rainfall is a significant input for several engineering designs such as hydraulic structures, culverts, bridges and ducts, rainfall water sewer, and highway drainage system. The detailed statistical analysis of extreme daily rainfall of each arid environment’s region is essential to estimate the relevant input value for designing and analyzing engineering structures and agricultural planning. This paper aims to assess the best-fitting distribution to estimate the design of rainfall depth (XT) and maximum rainfall values for different return periods (2, 10, 25, 50, 100, and 150). This study used extreme daily rainfall historical data collected in period of 1970–2020, collected from four rainfall gauge stations nearby the Wadi Al-Aqiq that are selected for analysis; they are Al Faqir (J109), Umm Al Birak (J112), Madinah Munawara (M001), and Bir Al Mashi (M103). The methodology approved in this paper examined four frequency distributions, namely: GEV (Generalised Extreme Value), Gumbel, Weibull, and Pearson type III to identify the most suitable and extreme storm design depth corresponding to different return periods. The results demonstrate that GEV and Pearson Type 3 produce higher extremes values, while the Weibull method is commonly suggested in the HYFRAN-PLUS MODEL (DSS) for criterion suitability. The findings for the 100-year storm design demonstrate that extreme values generated by the Hyfran-Plus model are higher than the decision support system (DSS). All (DSS) comparative values are less than the maximum historical data from 1970–2020, except the Al Faqir station (DSS), which has a value of 79.6 mm that exceeds the historical maximum of 71 mm. This study will provide advantageous information about the study area for water resources planners, farmers, and urban engineers to assess water availability and create storage. Full article
(This article belongs to the Section Meteorology)
Show Figures

Figure 1

29 pages, 10517 KB  
Article
Linking Sea Surface Temperature Clusters and Daily Rainfall Extremes During Four El Niño Events in the Galápagos Islands (1991–2024)
by María Lorena Orellana-Samaniego, Nazli Turini, Rolando Célleri, Jaime Burbano, Carlos Zeas, Byron Delgado, Jörg Bendix and Daniela Ballari
Atmosphere 2026, 17(4), 395; https://doi.org/10.3390/atmos17040395 - 14 Apr 2026
Viewed by 263
Abstract
The Galápagos Islands, located in the eastern equatorial Pacific approximately 1000 km west of mainland Ecuador, are highly sensitive to the El Niño–Southern Oscillation. However, the mechanisms linking sea surface temperature (SST) variability to daily rainfall extremes remain poorly understood. Focusing on Santa [...] Read more.
The Galápagos Islands, located in the eastern equatorial Pacific approximately 1000 km west of mainland Ecuador, are highly sensitive to the El Niño–Southern Oscillation. However, the mechanisms linking sea surface temperature (SST) variability to daily rainfall extremes remain poorly understood. Focusing on Santa Cruz Island, one of the main islands of the archipelago, we analyzed the response of daily rainfall to four El Niño events (1991–1992, 1997–1998, 2015–2016 and 2023–2024) and their relationship with SST spatial patterns. Our approach followed three steps: (1) Daily rainfall observations were classified using percentile thresholds; (2) SST spatial clusters were identified using Local Indicators of Spatial Association (LISA), which explicitly incorporates spatial autocorrelation to distinguish warm and cold SST spatial clusters; and (3) SST cluster metrics (mean temperature, spatial extent, and persistence) were extracted and related to rainfall intensification. Results show that El Niño can increase daily extreme rainfall (>P95) in frequency and in totals, with the strongest and most persistent signal during 1997–1998; in contrast, the 2015–2016 event, despite being classified as very strong by the Oceanic Niño Index (ONI), exhibited a limited and short-lived >P95 rainfall response in Santa Cruz. The link between SST clusters and extreme rainfall strengthened during El Niño (r from ~0.40 to 0.70). Correspondingly, SST clusters underwent significant spatial reorganization in their extent and persistence. Contrasts were most evident in the central–southern domain, where 1997–1998 showed strong warm incursion and persistent ≥28 °C coverage, while 2015–2016 remained more spatially constrained and less coherent. The area where clusters reached mean SST ≥ 28 °C became widespread in 1997–1998 (98.55%), whereas it remained more localized in 1991–1992 (30.28%), 2015–2016 (27.02%), and 2023–2024 (26.55%) and was absent in neutral years (0%). Persistent warm-cluster coverage increased from neutral conditions (38.53%) in 1991–1992 (47.49%), 1997–1998 (53.42%), and 2023–2024 (42.97%), but was lower in 2015–2016 (34.53%). Overall, these results provide a process-oriented link between SST cluster organization and event-to-event differences in Galápagos rainfall extremes, highlighting the value of local SST metrics beyond basin-scale ENSO indices. Full article
(This article belongs to the Special Issue Research on ENSO: Types and Impacts)
Show Figures

Figure 1

25 pages, 6932 KB  
Article
Spatiotemporal Distribution of Continuous Precipitation and Its Effect on Vegetation Cover in China over the Past 30 Years
by Hui Zhang, Shuangyuan Sun, Zihan Liao, Tianying Wang, Jinghan Xu, Peishan Ju, Jinyu Gu and Jiping Liu
Plants 2026, 15(8), 1198; https://doi.org/10.3390/plants15081198 - 14 Apr 2026
Viewed by 373
Abstract
Precipitation is a fundamental element in terrestrial water circulation and ecosystem hydrological balance. The occurrence of concentrated precipitation is closely linked to vegetation growth and soil fertility rather than accumulated or averaged precipitation. Despite its importance, the characteristics of continuous precipitation and its [...] Read more.
Precipitation is a fundamental element in terrestrial water circulation and ecosystem hydrological balance. The occurrence of concentrated precipitation is closely linked to vegetation growth and soil fertility rather than accumulated or averaged precipitation. Despite its importance, the characteristics of continuous precipitation and its specific effects on vegetation cover remain uncertain. In this study, we formulated a new continuous precipitation index system, including CPd (continuous precipitation days); ACPt (annual continuous precipitation times); CPa (continuous precipitation amount); and FCP (frequency in different ranges of ACPa). We utilized daily precipitation data from 467 meteorological stations across China, which were divided into eight vegetation type regions. We observed that the spatial distribution of continuous precipitation differed to varying degrees from accumulated precipitation. The national average of MACPa for a single event was 16.7 mm, ranging from 3.8 mm in the temperate desert region to 37.1 mm in the tropical monsoon forest and rainforest region. Similarly, the national average of MCPd (MMCPd) for a single event was approximately 2.3 or 9 days. At the regional level, the tropical monsoon forest and rainforest region experienced the longest MMCPd. Furthermore, the national average of MACPt occurrences for 1 year was 57.7 times, varying from 29.8 times in the temperate desert region to 77.9 times in the tropical monsoon forest and rainforest region. Vegetation responses to precipitation regimes exhibit significant regional heterogeneity across China. Our analysis reveals that MACPt and MPa show markedly positive correlations with vegetation growth. In subtropical monsoon climate zones, particularly the Yunnan–Guizhou Plateau and Qinling Mountains, MACPt demonstrates strong positive correlations (r = 0.6–1.0) with NDVI, where sustained rainfall provides stable moisture availability for vegetation. While a positive correlation between vegetation (NDVI) and mean annual consecutive precipitation is observed in some arid northern regions, in ecosystems such as the Loess Plateau (TG/TM), vegetation growth shows greater dependence on MPa, highlighting the crucial role of total precipitation amount in water-limited ecosystems. Notably, extreme precipitation events display dual effects on vegetation dynamics. Prolonged heavy rainfall (MMCPd/MMCPa) exhibits significant negative impacts on NDVI (r = −1.0 to −0.6) in topographically complex regions, including the Hengduan Mountains and Yangtze River Basin (SE), likely due to induced soil erosion and waterlogging stress. Our findings underscore the importance of incorporating continuous precipitation indices to evaluate and forecast the influence of precipitation on ecosystem stability. This understanding is vital for developing informed conservation and management strategies to address current and future climate challenges. Full article
(This article belongs to the Special Issue Vegetation Dynamics and Ecological Restoration in Alpine Ecosystems)
Show Figures

Figure 1

17 pages, 15699 KB  
Article
Assessing Sediment Transport Risk of Rainstorm-Triggered Landslides from a Connectivity Perspective
by Bo Yang, Lele Sun, Tianchao Wang, Zhaoyang Shi, Jilin Xin, Runjie Li and Yongkun Zhang
Land 2026, 15(4), 635; https://doi.org/10.3390/land15040635 - 13 Apr 2026
Viewed by 406
Abstract
Sediment connectivity is a key indicator of whether eroded sediment can be efficiently transported within a catchment. Landslides are a major form of rainfall-induced erosion on the steep slopes of the Loess Plateau and contribute substantially to overall catchment sediment yield. However, evaluating [...] Read more.
Sediment connectivity is a key indicator of whether eroded sediment can be efficiently transported within a catchment. Landslides are a major form of rainfall-induced erosion on the steep slopes of the Loess Plateau and contribute substantially to overall catchment sediment yield. However, evaluating the connectivity of landslide-derived sediment and its implications for sediment transport risk remains challenging. Therefore, field investigations were conducted in three watersheds (R1, R2, and R3) on the Loess Plateau to examine landslides triggered by rainstorms. We analyzed the characteristics of landslide erosion and its influencing factors, applied graph theory to investigate sediment connectivity after landslides occurred, and assessed the risk of sediment transport to the catchment outlet. The results showed that the landslide number densities in the catchments R1, R2, and R3 were 9, 155, and 214 km−2, respectively. The average erosion intensities were 25,153, 53,074, and 172,153 t km−2, respectively. The network analyses indicated that the locations of landslides within the catchments were primarily concentrated in areas with high transport networks and high sediment accessibility to the catchment outlets. The sediment connectivity index further showed that 59%, 43%, and 51% of landslides in the three watersheds, respectively, were at high risk of delivering sediment to the catchment outlet. Accordingly, measures such as slope drainage and gully dam construction may help reduce both landslide occurrence and sediment transport. These findings provide new insights into the transport risk of eroded sediment from a connectivity perspective, identify hotspot areas of sediment connectivity and landslide erosion, and support the targeted prevention and control of catchment erosion. Full article
(This article belongs to the Special Issue Climate Change and Soil Erosion: Challenges and Solutions)
Show Figures

Figure 1

Back to TopTop