Next Article in Journal
Analyzing the Reliability and Cost of the Most Commonly Used Dosimeters for Personal Ultraviolet Radiation Monitoring—A Rapid Review
Next Article in Special Issue
Zenith Tropospheric Delay Forecasting in the European Region Using the Informer–Long Short-Term Memory Networks Hybrid Prediction Model
Previous Article in Journal
Forecasting Indoor Air Quality in Mexico City Using Deep Learning Architectures
Previous Article in Special Issue
The BIRDIES Experiment: Measuring Beryllium Isotopes to Resolve Dynamics in the Stratosphere
 
 
Font Type:
Arial Georgia Verdana
Font Size:
Aa Aa Aa
Line Spacing:
Column Width:
Background:
Article

Assessment of Doppler Wind Lidar Detection Efficiency and Influencing Factors at Plateau Airport: A Case Study of Lhasa Gonggar Airport

1
College of Aviation Meteorology, Civil Aviation Flight University of China, Guanghan 618307, China
2
Key Laboratory of Poyang Lake Wetland and Watershed Research, Ministry of Education, Jiangxi Normal University, Nanchang 330022, China
*
Author to whom correspondence should be addressed.
Atmosphere 2024, 15(12), 1530; https://doi.org/10.3390/atmos15121530
Submission received: 28 October 2024 / Revised: 13 December 2024 / Accepted: 15 December 2024 / Published: 20 December 2024
(This article belongs to the Special Issue Feature Papers in Atmospheric Techniques, Instruments, and Modeling)

Abstract

Doppler wind lidar (DWL) demonstrates significant advantages in wind field detection under clear weather conditions and has been widely applied in airports with complex wind environments. However, its detection performance is highly susceptible to weather conditions and meteorological factors. To address this issue, this study analyzes the detection efficiency of DWL based on data collected at Lhasa Gonggar Airport from August 2023 to April 2024, along with ground-based meteorological observations. The results indicate that when the detection efficiency dropped to 40%, the average detection range for the plan position indicator (PPI) mode and Doppler beam swinging (DBS) mode were 5.3 km and 2.7 km, respectively. The influence of different underlying surface types on detection efficiency was minimal, with detection efficiency at a 270° azimuth slightly better than at a 90° azimuth. A 4° elevation angle performed better than a 6° elevation angle. During the study period, the detection efficiency generally improved, with the lowest detection efficiency being observed in August, suggesting that precipitation significantly impacts performance. In August, the detection efficiency of the PPI mode dropped below 50% at 4 km, while the highest detection efficiency occurred in April, where performance remained above 50% at 7 km. This is associated with enhanced thermal and dynamic activity in the lower atmosphere. Low-cloud activity also affected the detection performance of the DBS mode. The daily variation in the detection range in April was more pronounced than in January, with the detection range generally being larger. The increase in detection range was related to the more active vertical atmospheric mixing. The PPI mode was more sensitive to changes in meteorological factors, with its median detection range being 0.2–0.6 km shorter than that of the DBS mode when the meteorological optical range (MOR) was less than 4 km. Additionally, the PPI mode showed weaker stability than the DBS mode when relative humidity was below 75%. When relative humidity exceeded 80%, both modes showed a linear decrease in detection efficiency.

1. Introduction

Plateau airports are defined as airports located at altitudes of 2438 m (8000 feet) or higher. The construction and operation of these airports play a crucial role in enhancing external transportation, driving economic and social development, and improving the local quality of life. As of December 2023, China operates 25 plateau airports, the largest number in the world. Most of these airports are situated on or around the Qinghai–Tibet Plateau, where the combined effects of atmospheric circulation, intense solar radiation, and high terrain result in highly variable and sensitive meteorological conditions [1,2], particularly in the wind field. The complexity and variability of wind fields significantly impact aircraft takeoffs and landings, often leading to return flights, alternate landings, or even unsafe incidents due to wind shear and turbulence. Therefore, strengthening wind field monitoring and forecasting capabilities at plateau airports is critical for enhancing flight safety and operational efficiency.
Doppler wind lidar (DWL) emits pulse beams and receives backscattered signals from aerosol particles, using the Doppler effect to measure wind speed [3]. It is especially effective for wind field monitoring under clear-sky conditions [4,5]. Numerous comparative validation studies have been conducted between DWL, radiosondes [6], and wind profilers [7,8] across various weather conditions, consistently demonstrating strong agreement in wind measurements [9]. DWL is known for its high measurement accuracy, three-dimensional scanning capabilities, and fast response times. One of its critical applications is the development of wind shear identification algorithms based on radial wind speed. However, due to the varying meteorological conditions that lead to low-level wind shear, studies have found differences in wind shear identification rates across different weather scenarios, such as convective systems, cold fronts, and inversion layers [10,11,12,13]. These variations are linked to the algorithms used and are closely related to the detection range of DWL under changing weather conditions. Nechaj et al. [14] specifically noted that the detection range of DWL along the glide path is approximately 6–7 km; and that DWL can be applied to regions with similar climates and aerosol concentrations. An analysis of DWL detection performance in the Sichuan Basin showed that seasonal variations in aerosol concentrations significantly affect the detection range [15]. Other research has demonstrated that the Qinghai–Tibet Plateau, with its low water vapor content and fewer aerosol particles, results in weaker returned laser pulse signals and lower signal-to-noise ratios, which limit the detection range of DWL. This reduces the sensitivity and resolution of the DWL, ultimately affecting the accuracy and reliability of the results [16,17]. Therefore, understanding the detection performance of DWL under various weather conditions is essential for improving its environmental adaptability and advancing its application. Based on this, the present study conducts an objective quantitative analysis of the detection performance and influencing factors of DWL at Lhasa Gonggar Airport (hereafter referred to as Gonggar Airport).

2. Equipment and Data

Gonggar Airport is located in the southeastern part of the Qinghai–Tibet Plateau, in the river valley area of the middle reaches of the Yarlung Zangbo River, at an altitude of 3570.8 m. The airport’s runway is aligned parallel to the river valley, with an east–west orientation. The runway has a length of 5 km and is designated as runway 09 (with a magnetic heading of 89° at the western end) and runway 27 (at the eastern end). The airport primarily uses runway 09 for takeoffs and landings (Figure 1a).
Since May 2023, an FC-III-type 3D DWL has been deployed near the touchdown zone of runway 09 (Table 1). Its wind measurement stability and accuracy have been validated, and it has accumulated extensive application experience in the airport environment [18,19], demonstrating it to be mature and reliable technology. To comprehensively obtain wind field information, the DWL alternately performs Doppler beam swinging (DBS) scanning (with a scan cycle of 85 s), plan position indicator scanning at elevation angles of 4° and 6° (PPI mode, with a scan cycle of 120 s), glide path scanning (LNDCHL mode, with a scan cycle of 15 s), and range-height indicator (RHI) scanning (with a scan cycle of 50 s, conducted both parallel and perpendicular to the runway). Among these scan modes, except for DBS mode, which has a step size of 30 m and a maximum detection range of 5 km, all other modes have a step size of 100 m and a maximum detection range of 10 km. Due to a three-month calibration period from May to July 2023, during which the accuracy of the measurement data was validated, the system has been operating steadily since August 2023. Therefore, this study only utilizes data from August 2023 to April 2024, totaling 9 months. The signal quality of the DWL is related to the carrier-to-noise ratio (CNR). When the CNR falls below 2 dB, the signal quality and reliability are significantly affected. The DWL software (Version 2.7, developed by Sichuan Xiwu Laser Technology Co., Ltd., Chengdu, China) treats signals with a CNR below this threshold as missing values. In this study, the ratio of valid data points to the total number of data points along a scan line is defined as the detection efficiency [15], which is used to assess the DWL’s performance regarding signal missing values and their impact at Gonggar Airport.
In addition, this study also utilizes manual observations of low-cloud cover and automatic meteorological observation data from Gonggar Airport. The automatic meteorological data include parameters such as temperature, pressure, humidity, wind direction, wind speed, precipitation, and visibility.

3. Results and Discussion

3.1. Overall Detection Performance Evaluation

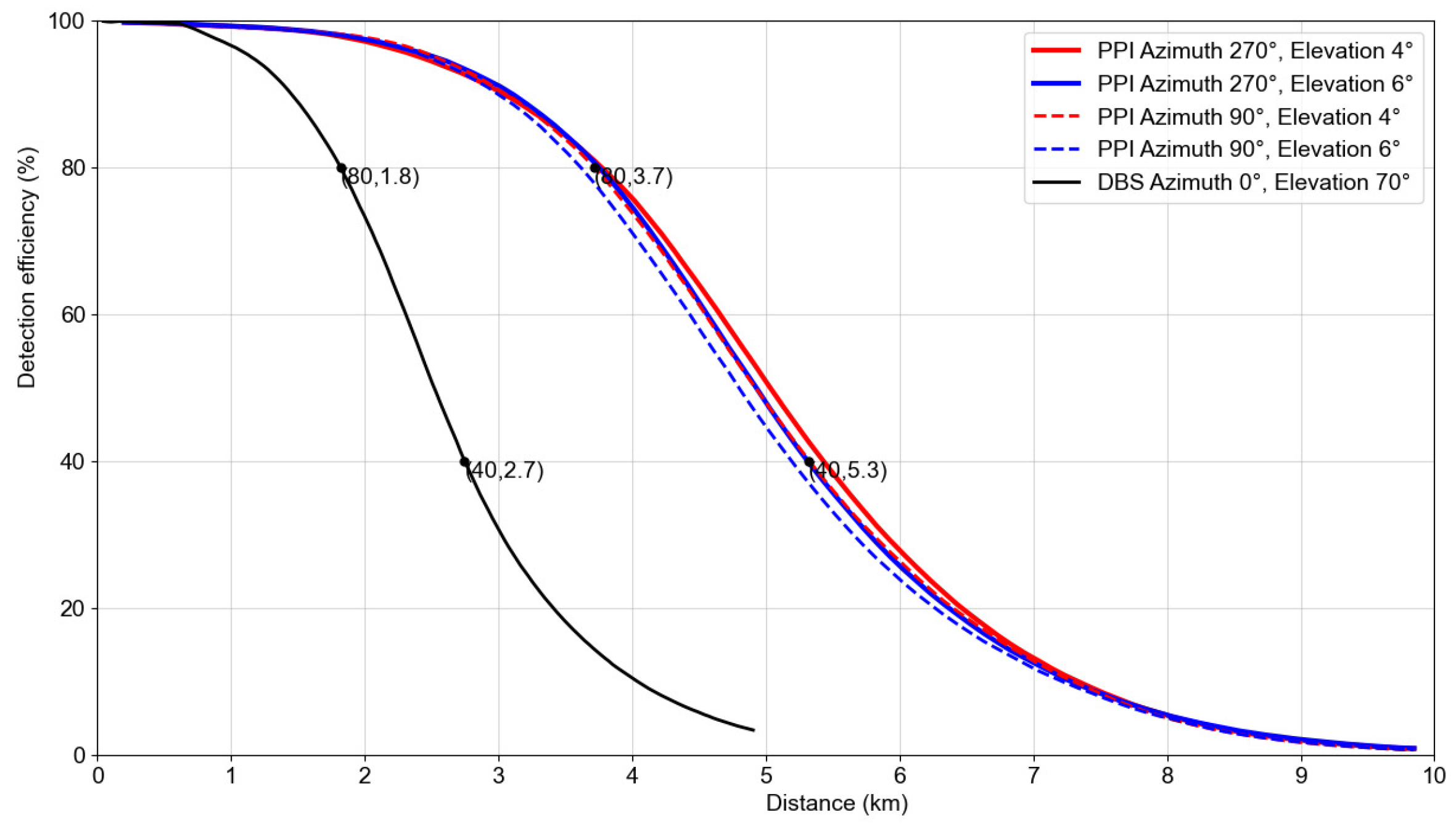
Given that Gonggar Airport primarily focuses on monitoring wind along the takeoff and landing direction as well as the wind perpendicular to the runway, this study conducted a statistical analysis using PPI mode data at 4° and 6° elevation angles along the runway direction (270° and 90°) and DBS mode data. Over the nine months, 443,197 scan lines in PPI mode and 177,983 in DBS mode were recorded.
Overall (see Figure 2), the detection efficiency in PPI mode shows minimal attenuation from 0 to 3 km, followed by a linear decline from 3 to 6 km, after which the decrease slows. A comparison of detection efficiency across different azimuth angles reveals that the detection efficiency at the 270° azimuth is slightly higher than at the 90° azimuth, with a difference of approximately 3.2% at the 5 km mark. As shown in Figure 1a, the 270° azimuth points towards the river outside Gonggar Airport, while the 90° azimuth points towards the runway, indicating that different underlying surfaces influence the detection efficiency to some extent. When comparing the detection efficiency across different elevation angles, the 4° elevation outperforms the 6° elevation, reflecting the influence of decreasing aerosol concentration with altitude on the PPI mode’s detection efficiency. At 6 km, where the curves show noticeable variation, the 6° elevation scan line is approximately 210 m higher than the 4° elevation scan line, and the detection efficiency at the 4° elevation is 2.5% higher than at the 6° elevation. Averaging the detection efficiency across both elevation angles, the distances corresponding to 80% and 40% detection efficiencies are 3.4 km and 5.3 km, respectively. Overall, the detection efficiency in plateau regions is lower than in plains regions [15]. The 4° elevation angle exhibited the best performance, and lower elevation scanning modes are more advantageous during the critical stages of aircraft descent. Therefore, subsequent analysis focuses on the detection performance at the 4° elevation angle along the primary landing direction (270°).
The maximum detection range along a radial line is the furthest distance at which valid data are obtained for a fixed-azimuth and -elevation-angle scan. The median and variance of the detection ranges for different azimuth angles in the PPI scans were statistically analyzed for each month, with the results presented in Table 2. Figure 2 shows that the detection range at the 90° azimuth angle is slightly shorter than at the 270° azimuth angle. In the 90° azimuth scans, the 5 km runway occupies a significant portion of the scan range. In contrast, the 270° azimuth scans primarily cover the area above the river, where the relative humidity is generally higher. Due to the hygroscopic growth effect of aerosol particles [20], the backscattering coefficient increases with higher humidity, leading to stronger echo signals and consequently better detection ranges. This suggests that variations in the underlying surface can result in differences in detection range. Additionally, the variance of the detection range at the 90° azimuth angle is generally more minor than at the 270° azimuth angle, indicating more stable data at the 90° azimuth.
In DBS mode, the detection efficiency remains close to 100% from 0 to approximately 1 km, after which it begins to decrease linearly. Beyond 3 km, the decline slows, with distances corresponding to detection efficiencies of 80% and 40% at 1.8 km and 2.7 km, respectively. A comparison reveals that the rate of detection efficiency attenuation in DBS mode is more rapid than in PPI mode, reflecting the more pronounced vertical inhomogeneity of meteorological factors, particularly aerosol particles. The detection efficiency changes quickly when the laser beam passes vertically through the boundary layer. This is consistent with the conclusion that PPI mode, with its lower elevation angle, exhibits higher detection efficiency.

3.2. Monthly Variation Characteristics

The transmission of laser beams in the atmosphere is influenced by aerosol particles, whose concentration is closely related to boundary layer height and turbulence intensity. Observational studies have shown that the boundary layer height over the Qinghai–Tibet Plateau is greater than over plain regions [21], and turbulence is also stronger than in plains [22]. Moreover, the boundary layer height exhibits notable seasonal and diurnal variations [23,24,25]. Therefore, it is essential to analyze further the monthly and diurnal variations in the detection efficiency of DWL.
During the experiment, the detection efficiency in PPI mode (Figure 3a) and DBS mode (Figure 3b) generally showed an upward trend. For the PPI mode, the detection efficiency at 4 km dropped below 50% in August, while in September, it dropped below 50% at 5 km. Significant improvements were observed in October and November, with the detection efficiency falling below 50% at 6 km and remaining over 10% at 7 km. From November to February, the detection range was further extended, with nearly 50% detection efficiency at 6 km and over 20% at 7 km. By April 2024, the detection efficiency showed a marked improvement, maintaining 50% efficiency at 7 km and over 10% at 9 km. The monthly variation in detection efficiency for DBS mode followed a similar trend to that of PPI mode. In August and September, the detection efficiency exceeded 90% at 1 km, while from October to December, it remained around 90% at 2 km, with a slight decrease in December. From January to March 2024, the detection efficiency at 2 km stabilized above 95%, and in April, the detection efficiency at 3 km remained over 90%, with nearly 60% efficiency still achieved at 4 km.
By combining the monthly variations in meteorological elements shown in Figure 3c, it is evident that precipitation has the most significant impact on DWL performance. In August 2023, the temperature and humidity were the highest of the year, with relative humidity nearing 100% and cumulative precipitation approaching 100 mm, far higher than in other months. In particular, the number of days with precipitation greater than 1 mm reached twelve. The significant transmission attenuation of laser pulses in rainfall directly impacts the detection range of the DWL [16,26]. Additionally, the washing effect of precipitation reduces the aerosol particle concentration in the air, indirectly affecting the detection range.
Studies have shown that the boundary layer height over the Qinghai–Tibet Plateau is lower during the wet season (May to September) and higher during the dry season (October to the following April) [23,27]. The average detection height in DBS mode shown in Figure 3d) reflects this seasonal variation in boundary layer height to some extent. According to the surface cloud observations at Gonggar Airport (Table 3), in August the detection range in DBS mode was notably smaller than in other months, and the variation in the detection range was more significant. This suggests that the boundary layer height was relatively low that month, with frequent low-cloud activity being the primary cause of the fluctuations in the DBS detection range. In contrast, in September, there was no precipitation, and low-cloud cover quickly diminished. As a result, the average detection range in DBS mode increased, and the variation in detection range decreased significantly, indicating a reduced impact of low clouds on the detection range. A comparison also shows that the upper quartile value for September was similar to that in August, suggesting that, under conditions of fewer clouds, the vertical detection range in both months was comparable, likely reflecting similar boundary layer heights. In summary, although the low boundary layer height from August to September hindered the diffusion of aerosol particles, precipitation and its washing effect on particle concentration were the main reasons for the reduced detection efficiency of the DWL in August.
From October to January, temperature, humidity, and wind speed reached their lowest levels, with relative humidity dropping below 50% (Figure 3c), and the number of days with extensive low-cloud cover significantly decreased. As shown in Figure 3d, the average detection range and the upper quartile values for the DBS mode of the DWL both increased significantly, and the fluctuations in detection range decreased. This suggests that the boundary layer height above Gonggar Airport likely increased during this period. At the same time, as the dry season set in, the water levels of the Yarlung Zangbo River dropped, exposing the sandy riverbeds, which led to an increase in dust concentration in the air. Although atmospheric diffusion conditions improved, the rise in particle concentration offset some benefits, resulting in an overall improvement in DWL detection efficiency. From February to April, low-cloud cover gradually increased as temperature and relative humidity rose. However, the low-cloud cover in April was still lower than in August. By April, scattered precipitation had started to occur, with wind speed increasing, particularly noticeable (Figure 3c). This suggests that with the strengthening of low-level atmospheric thermodynamic and dynamic processes, the boundary layer height may have increased further, allowing particles to be dispersed to higher altitudes. As a result, the average detection range in DBS mode continued to increase each month from February to April, with the upper quartile values reaching the DWL’s maximum detection range. However, with the renewed activity of low-cloud cover, the maximum fluctuations in the detection range also increased again. In addition, the detection efficiency in PPI mode also significantly improved, indicating that the concentration of low-level aerosols had increased and become more uniform.

3.3. Diurnal Variation Characteristics

To analyze the diurnal variation in detection efficiency, we compared the months of January and April, which exhibited significant differences in detection range and minimal influence from low clouds. In January, the detection range in DBS mode showed a typical diurnal pattern, with a trough and peak (Figure 4a). Around 9:00 a.m., shortly after sunrise (local sunrise in January is approximately 8:50 a.m.), the detection range reached its minimum of approximately 3.3 km. At this time, temperature and wind speed at Gonggar Airport were at their lowest points of the day, with temperatures around −7 °C (Figure 4e). As the temperature gradually rose, reaching a maximum of around 6 °C in the afternoon, wind speed increased slightly from 1 m/s to 2.7 m/s. However, the average detection range in DBS mode did not significantly improve before 2:00 p.m. (local solar noon), reflecting minimal changes in boundary layer height under stable, cold, and low-wind conditions. After 3:00 p.m., the average detection range increased significantly, reaching a peak around 7:00 p.m., with fluctuations persisting but remaining higher than during the daytime. Notably, the magnitude of the fluctuations during this period also increased.
Studies have shown that total cloud cover over Lhasa tends to increase significantly in the afternoon, peaking between 2:00 and 6:00 p.m. before rapidly decreasing after 6:00 p.m. [28]. Low-cloud observations at Gonggar Airport in January 2024 exhibited similar characteristics, with cloud cover exceeding 20% between 3:00 and 8:00 p.m., compared to less than 20% during other periods. The increase in low-cloud cover is the main reason for the fluctuations in the DBS detection range during this time. Additionally, from late afternoon to midnight, the upper quartile of the maximum detection range reached the DWL’s maximum range, indicating a higher boundary layer height during these hours. In contrast, the trend in the PPI mode was inverse to that in DBS mode (Figure 4c). The detection range in PPI mode was slightly higher in the morning than during other periods, suggesting that the boundary layer height may have been lower, which helped to increase the detection range in PPI mode to some extent.
In April, the diurnal variation in the detection range for both the DBS and PPI modes is similar to that observed in January. Still, the detection ranges are generally higher, and the diurnal variation is more pronounced. For DBS mode, both the average value and the upper and lower quartiles of the detection range reach their minimum around 9:00 a.m., with an average of approximately 4.2 km (Figure 4b). Afterward, as the average temperature rises from 5 °C in the morning to 18 °C in the afternoon, the average wind speed also increases from 2 m/s in the morning to 7 m/s in the afternoon. The peak in wind speed slightly lags behind the temperature peak. After 6:00 p.m., a southerly wind perpendicular to the runway indicates local solid circulation in the river valley where the airport is located (Figure 4f). As a result, the DBS mode detection range increases significantly, stabilizing above 5 km from 4:00 p.m. to 8:00 p.m., suggesting that aerosol particles may have diffused to higher altitudes.
In contrast, the PPI mode detection range is inverse to the DBS mode. The average detection range remains stable at around 9.7 km in the early morning and through the morning. As the DBS mode detection range increases and the conditions for vertical aerosol diffusion improve, the PPI mode detection range decreases significantly. Around 2:00 p.m., when the temperature reaches its peak of 18 °C, the average detection range in PPI mode reaches its daily minimum of about 6.5 km. As wind speed continues to increase, which aids in the uplift of more particles, the PPI mode detection range begins to rise gradually. Therefore, the diurnal variation in vertical diffusion conditions in the river valley in April has a significant impact on the PPI mode detection range.
From the scatter plots of hourly detection ranges for DBS mode and PPI mode shown in Figure 5, it can be observed that there is a moderate correlation between the two detection ranges. This is because when the detection range of the DBS mode reaches its maximum range, the detection range of the PPI mode has not yet reached its upper limit, which limits the correlation. However, this does not affect the consistent trend in their variations. Studies have shown that the annual variation in boundary layer height over the Qinghai–Tibet Plateau is insignificant in the morning. In contrast, the afternoon shows a large variation, with the most pronounced seasonal change occurring in the spring. The diurnal amplitude of the boundary layer height is more prominent in the spring and summer and smaller in the autumn and winter [29], which agrees with the characteristics observed by the DWL in this study.
The performance of the PPI and DBS modes under dynamic meteorological conditions (Figure 6) is further analyzed. Notably, the maximum altitude of the wind profile product in DBS mode is approximately 4.6 km.
From 00:00 to 02:00, the detection range in DBS mode shows a downward trend. Below 3 km, horizontal winds and surface winds are relatively weak (Figure 6a), while strong descending airflow gradually develops (Figure 6b). As a result, particles are carried downward with the subsiding air, causing the strong-echo region to shift downward. At the same time, echoes below 1 km are weak (Figure 6c), suggesting that the concentration of particulate matter may be low, leading to a decrease in the detection range of the PPI mode (Figure 6d). Between 02:00 and 06:00, surface wind speeds increase to 5 m/s, and the airflow below 2 km is predominantly upward. Echoes below 1 km are strong, allowing the PPI mode to reach its maximum detection range. The strong-echo region between 2 and 3 km shows an upward trend, consistent with the mixed rising and descending airflows observed in Figure 6b). This indicates that particles are dispersed to higher altitudes due to vertical solid mixing, resulting in a higher detection range in DBS mode. From 07:00 to 13:00, the upward airflow below 2 km is gradually replaced by descending airflow, which develops further upwards, accelerating particle sedimentation. The significant reduction in echo intensity below 2 km reflects a continuous decrease in particle concentration, leading to a noticeable reduction in backscattering intensity. Consequently, the PPI detection range drops to its daily minimum of approximately 4 km at 13:00. Additionally, the strong-echo signal above 3 km disappears, and the DBS detection range is reduced to about 3 km.
From 14:00 to 18:00, with the enhancement of thermal effects, active vertical airflows lead to better dispersion of particles. Additionally, boundary layer lifting may allow the DBS detection height to increase, eventually reaching the maximum detection range continuously. Near-surface echo signals intensify, increasing the PPI detection range. After 19:00, strong and persistent upward airflows, combined with surface winds, rapidly transport near-surface particles to higher altitudes, which are more evenly distributed over a larger vertical range. The strong-echo region gradually ascends to higher altitudes, significantly enhancing vertical particle diffusion. This provides favorable conditions for the DBS detection range to remain at the maximum of 4.6 km while also improving the detection range of the PPI mode.

3.4. The Relationship Between Detection Efficiency and Meteorological Factors

The concentration of aerosol particles is closely related to meteorological phenomena, resulting in varying detection performance of DWL under different weather conditions [30]. Precipitation has the most significant impact on the detection range of DWL, while fog, haze, and dust storms can also influence the detection capabilities. Given that these weather conditions occurred during the experimental period and were characterized by low-visibility phenomena under different humidity conditions, this section focuses on analyzing the detection performance of DWL under varying visibility and humidity conditions. Compared to manually observed visibility at the airport, the meteorological optical range (MOR) offers advantages in objectivity, consistency, and continuity. Therefore, the MOR is used in this study to analyze the relationship between visibility and DWL detection performance. The operational visibility threshold at Gonggar Airport is 5 km, and visibility below 5 km is referred to as low visibility.
As shown in Figure 7a, when the MOR exceeds 15 km, the average detection range of the PPI mode stabilizes at approximately 5 km. With a decrease in the MOR, the average detection range of the PPI mode fluctuates slightly but generally increases. When the MOR falls below 6.6 km, the detection range decreases steadily with declining visibility. Under low-visibility conditions (Figure 7b), the average detection range is less than 3 km, and when the MOR drops below 3 km, the average detection range is less than 2 km. These results indicate that the detection range of the DWL remains relatively stable when airport visibility meets operational standards. However, when visibility approaches or falls below the operational threshold, the detection range of the PPI low-elevation mode decreases significantly with reduced visibility. This provides meteorological personnel with a new perspective for assessing airport visibility.
The relationship between visibility and detection performance in DBS mode differs significantly from that in PPI mode. As shown in (Figure 7c), when the MOR exceeds 3.2 km, the average detection range in DBS mode remains stable, fluctuating between 2.2 and 3.1 km. When the MOR falls below 3.2 km, the average detection range decreases linearly with visibility, and when the MOR drops below 3 km (Figure 7d), the average detection range is less than 2 km, showing a similar trend to that of the PPI mode. Due to the severe attenuation effect of large particles on laser pulses, and considering that the attenuation distance in DBS mode occurs at a smaller corresponding MOR value than in PPI mode, it can be inferred that the low visibility at Gonggar Airport may be associated with increased concentrations of large particles in the lower layers of the valley. This leads to severe attenuation of the detection range in PPI mode, while in DBS mode, the laser beam penetrates through the thin high-concentration layer of large particles in the lower atmosphere and quickly reaches the upper layer of smaller particles, allowing a relatively stable detection range when the MOR is slightly below 5 km. However, as the concentration and thickness of large particles in the lower layer increase further, visibility continues to decline, making it difficult for vertical laser pulses to penetrate, causing the detection performance of the DBS mode to deteriorate. The similar decay curves of the PPI and DBS modes when the MOR is below 3 km reflect this trend.
For the periods of low visibility that are of particular interest (Figure 8), the detection range of the PPI mode decreases as the MOR decreases. When the MOR is 4–5 km, the median detection range is approximately 3.3 km. However, when the MOR drops below 1 km, the median detection range decreases significantly to just 0.6 km. In contrast, within the MOR range of 2–5 km, the median detection range of the DBS mode decreases slightly to around 2.4 km. When the MOR is below 1 km, the median detection range of the DBS mode drops significantly, falling to less than 1 km. Overall, the DBS mode performs better than the PPI mode in terms of detection range, except for the 4–5 km range, where the median detection range is slightly lower than that of the PPI mode. For MOR values below 4 km, the detection range of the DBS mode is higher by 0.2 to 0.6 km compared to the PPI mode, indicating that the PPI mode is more sensitive to variations in meteorological factors. It is noteworthy that when the MOR is below 2 km, the detection range distribution for both modes becomes more scattered, which may be related to the impact of different types and sizes of aerosol particles on the backscatter coefficient.
Since different types of low-visibility phenomena are closely related to relative humidity, their impact on detection performance also varies [31]. This section focuses on analyzing relative humidity’s influence on detection performance under different visibility conditions.
As shown in Figure 9a, when relative humidity exceeds 80%, the detection performance of the PPI mode decreases linearly with increasing humidity. This reflects the occurrence of condensation in high-humidity environments [32], where fog, clouds, and even precipitation are the primary causes of laser pulse attenuation. A similar decline is observed in the DBS mode (Figure 9c), indicating that high-humidity conditions significantly affect the detection efficiency of DWL. When relative humidity is below 80%, the detection performance of the PPI mode remains relatively stable, but a noticeable dip occurs at approximately 30% relative humidity. This dip in detection efficiency is particularly evident under low-visibility conditions at around 30% humidity (Figure 9b), where the high-probability detection efficiency zone is more concentrated. Additionally, the frequency of low-visibility events increases at this humidity level, suggesting a favorable environment for accumulating large particles in the lower atmosphere, reducing the detection efficiency of the PPI mode.
From a frequency perspective, low-visibility phenomena caused by high-humidity environments are relatively rare at Gonggar Airport. When relative humidity is between 40% and 80%, detection performance is slightly improved under low-visibility conditions. This may be related to the increased concentration of small particles in the valley, combined with the hygroscopic growth of aerosol particles [33], which increases the backscattering coefficient and leads to a slight improvement in detection performance.
As shown in Figure 9d, the detection range of the DBS mode remains stable when relative humidity is below 75%, with the average detection range under low-visibility conditions slightly higher than the overall average. This suggests that the DBS mode’s detection range is not significantly influenced by humidity. The increased concentration of particulate matter, along with its upward diffusion in low-visibility conditions, likely contributes to the improvement in detection efficiency.
It is observed that high-humidity environments significantly affect the detection range. Therefore, data with relative humidity above 80% were selected for further analysis (Figure 10). During non-precipitation periods, when relative humidity is in the range of 80–90%, the detection range distribution of the PPI mode (Figure 10a) is more dispersed, with the maximum detection range reaching its upper limit. As relative humidity increases further, the detection range slightly decreases, and the distribution of data points becomes more concentrated. The detection range performance of the DBS mode (Figure 10c) is similar to that of the PPI mode.
During precipitation periods, the detection range of both modes exhibits a clear decrease (Figure 10b,d), suggesting that the presence of hydrometeors may be responsible for the reduced detection efficiency in high-humidity environments. Due to the hygroscopic growth effect, hydrometeors tend to form larger aerosol particles in high-humidity conditions, and these large particles significantly enhance the scattering and absorption of laser beams [34], leading to a substantial reduction in backscatter signal strength. Additionally, the aerosol wet deposition effect caused by precipitation [35] may result in a decrease in aerosol concentration within the detection range, further weakening the backscatter signal strength.

4. Conclusions

Based on the data from the PPI and DBS modes of the Gonggar Airport DWL from August 2023 to April 2024, combined with manually observed data, this study provides a comprehensive evaluation of the laser radar detection performance. The evaluation includes an overall performance assessment, an analysis of monthly and daily variation characteristics, and a discussion of the relationship between meteorological factors and detection performance. The following conclusions are drawn:
(1) The detection efficiency in plateau areas is generally lower than in plain regions. The PPI mode detection efficiency corresponds to distances of 3.4 km (80%) and 5.3 km (40%), with slight differences observed for different elevation and azimuth angles. The best detection efficiency is found at an elevation angle of 4° and azimuth angle of 270°, which is beneficial for the DWL performance during the aircraft descent phase. For the DBS scanning mode, the detection efficiency corresponds to distances of 1.8 km (80%) and 2.7 km (40%), with a more pronounced attenuation rate compared to the PPI mode.
(2) The detection efficiency of both the PPI and DBS modes generally showed an increasing trend throughout the experimental period. In August, the PPI mode detection efficiency at 4 km dropped below 50%, but by April, the efficiency at 7 km remained above 50%. For the DBS mode, the detection efficiency increased from above 90% at 1 km in August to over 90% at 3 km in April. Precipitation had the most significant impact on detection efficiency, and frequent low-cloud activities caused fluctuations in the detection range for the DBS mode. From February to April, the enhanced thermodynamic and dynamic effects in the lower atmosphere contributed to improved detection efficiency in the DBS mode.
(3) In January, the DBS mode detection range exhibited a “valley–peak” daily variation pattern, possibly due to a lower boundary layer causing an increase in the PPI mode detection range. In April, the diurnal variation patterns of the DBS and PPI modes were similar to those in January, but the detection ranges were generally greater, and the diurnal variations were more pronounced. Analysis of the profiles of the DBS and PPI modes revealed that strong vertical mixing dispersed particulate matter into the upper atmosphere, improving the detection range of the DBS mode. The observed strong backscatter at altitudes below 1 km corresponded to improving the PPI mode detection range. This indicates that the increase and even distribution of lower-layer particulate matter likely contributed to the enhancement of PPI mode detection efficiency. The PPI mode was found to be more sensitive to meteorological factors, and its detection range was more easily affected by changes in atmospheric stability and particle dispersion due to thermodynamic effects and wind field variations.
(4) Under low-visibility conditions, the DBS mode generally outperforms the PPI mode. When the MOR is below 4 km, the median detection range of the DBS mode is 0.2–0.6 km greater than that of the PPI mode, possibly due to the different types and sizes of aerosol particles. When relative humidity exceeds 80%, both the DBS and PPI modes show a linear decrease in detection efficiency as humidity increases. The presence of condensed water particles may contribute to the reduction in detection efficiency in high-humidity environments. At the same time, the aerosol wet deposition effect due to precipitation may further lower aerosol concentrations.
The study highlights the temporal variation characteristics of DWL detection efficiency at Gonggar Airport and its relationship with meteorological factors, providing crucial data support for the application of the DWL at plateau airports. However, since the DWL system was deployed for the first time at Gonggar Airport and the study covered only 9 months of observations, the focus was primarily on analyzing monthly variation patterns. A seasonal variation analysis could not be thoroughly conducted. Future work will involve longer-term DWL observation data, combined with aerosol and sounding data, to further refine the analysis of detection efficiency variations under different seasons and meteorological conditions. This will offer a more comprehensive theoretical framework for applying DWL in complex plateau airport environments.

Author Contributions

Conceptualization, J.W. and H.D.; methodology, J.W., H.D., C.X. and X.H.; software, H.D.; validation, J.W. and H.D.; formal analysis, J.W. and H.D.; writing—original draft preparation, J.W.; writing—review and editing, J.W., H.D. and C.X. All authors read and agreed to the published version of this manuscript.

Funding

This research was funded by the the National Key Research and Development Program of China (Grant No. 2021YFB2601701), the Open Foundation of Key Laboratory of Poyang Lake Wetland and Watershed Research, Ministry of Education (Grant No. PK2023011), and the Fundamental Research Funds for the Central Universities (Grant No. JG2022-24).

Institutional Review Board Statement

Not applicable.

Informed Consent Statement

Not applicable.

Data Availability Statement

The data used in this paper can be provided by H.D. (elk9527@outlook.com) upon request.

Conflicts of Interest

The authors declare no conflicts of interest.

References

  1. Huang, F.; Ma, W. Analysis of Long-Term Meteorological Observation for Weather and Climate Fundamental Data over the Northern Tibetan Plateau. Adv. Meteorol. 2016, 2016, 4878353. [Google Scholar] [CrossRef]
  2. Liu, X.; Yin, Z.Y. Spatial and temporal variation of summer precipitation over the eastern Tibetan Plateau and the North Atlantic Oscillation. J. Clim. 2001, 14, 2896–2909. [Google Scholar] [CrossRef]
  3. Menzies, R.T.; Hardesty, R.M. Coherent Doppler lidar for measurements of wind fields. Proc. IEEE 1989, 77, 449–462. [Google Scholar] [CrossRef]
  4. Ritvanen, J.; O’Connor, E.; Moisseev, D.; Lehtinen, R.; Tyynelä, J.; Thobois, L. Complementarity of wind measurements from co-located X-band weather radar and Doppler lidar. Atmos. Meas. Tech. 2022, 15, 6507–6519. [Google Scholar] [CrossRef]
  5. Chanin, M.L.; Garnier, A.; Hauchecorne, A.; Porteneuve, J. A Doppler lidar for measuring winds in the middle atmosphere. Geophys. Res. Lett. 1989, 16, 1273–1276. [Google Scholar] [CrossRef]
  6. Banakh, V.; Smalikho, I.; Falits, A.; Belan, B.; Arshinov, M.Y.; Antokhin, P. Joint radiosonde and Doppler lidar measurements of wind in the atmospheric boundary layer. Atmos. Ocean. Opt. 2015, 28, 185–191. [Google Scholar] [CrossRef]
  7. Päschke, E.; Leinweber, R.; Lehmann, V. An assessment of the performance of a 1.5 μm Doppler lidar for operational vertical wind profiling based on a 1-year trial. Atmos. Meas. Tech. 2015, 8, 2251–2266. [Google Scholar] [CrossRef]
  8. Cohn, S.A.; Goodrich, R.K. Radar wind profiler radial velocity: A comparison with Doppler lidar. J. Appl. Meteorol. Climatol. 2002, 41, 1277–1282. [Google Scholar] [CrossRef]
  9. Robey, R.; Lundquist, J.K. Behavior and mechanisms of Doppler wind lidar error in varying stability regimes. Atmos. Meas. Tech. 2022, 15, 4585–4622. [Google Scholar] [CrossRef]
  10. Hannon, S.M.; Thomson, J.A.L.; Henderson, S.W.; Huffaker, R.M. Windshear, turbulence, and wake vortex characterization using pulsed solid state coherent lidar. In Proceedings of the Air Traffic Control Technologies, Orlando, FL, USA, 17–21 April 1995; Volume 2464, pp. 94–102. [Google Scholar]
  11. Augros, C.; Tabary, P.; Davrinche, D.; Schwartz, E. Test of an X-band Doppler polarimetric radar combined with a Doppler LIDAR for wind shear detection at Nice Airport. In Proceedings of the ERAD 2012—The Seventh European Conference on Radar in Meteorology and Hydrology, Toulouse, France, 25–29 June 2012; pp. 1–6. [Google Scholar]
  12. Keohan, C.F.; Barr, K.; Hannon, S. Evaluation of pulsed LiDAR wind hazard detection at Las Vegas international airport. In Proceedings of the 12th Conference on Aviation Range and Aerospace Meteorology, Atlanta, GA, USA, 27 January–3 February 2006; pp. 1–6. [Google Scholar]
  13. Zhao, G.; Huang, X.; Hua, Z. A Research and Analysis of Low-Level Wind Shear Warning Algorithm in Laser Wind Radar. Laser Technol. 2024, 48, 1–13. [Google Scholar]
  14. Nechaj, P.; Gaál, L.; Bartok, J.; Vorobyeva, O.; Gera, M.; Kelemen, M.; Polishchuk, V. Monitoring of low-level wind shear by ground-based 3D lidar for increased flight safety, protection of human lives and health. Int. J. Environ. Res. Public Health 2019, 16, 4584. [Google Scholar] [CrossRef] [PubMed]
  15. Wu, J.; Xu, Z.; Wang, Y.; Yang, C.; Chen, M. Evaluation of detection efficiency of coherent wind LiDAR. Laser Technol. 2023, 47, 716–722. [Google Scholar]
  16. Nijhuis, A.O.; Thobois, L.P.; Barbaresco, F.; De Haan, S.; Dolfi-Bouteyre, A.; Kovalev, D.; Krasnov, O.A.; Vanhoenacker-Janvier, D.; Wilson, R.; Yarovoy, A.G. Wind hazard and turbulence monitoring at airports with Lidar, Radar, and Mode-S downlinks: The UFO Project. Bull. Am. Meteorol. Soc. 2018, 99, 2275–2293. [Google Scholar] [CrossRef]
  17. Li, Z.; Guo, J.; Ding, A.; Liao, H.; Liu, J.; Sun, Y.; Wang, T.; Xue, H.; Zhang, H.; Zhu, B. Aerosol and boundary-layer interactions and impact on air quality. Natl. Sci. Rev. 2017, 4, 810–833. [Google Scholar] [CrossRef]
  18. Fan, Q.; Zhu, X.; Zhou, D.; Zhou, J.; Luo, X.; Chen, C.; Tong, W.; Yang, Z. Analysis of the wind field characteristics using the wind lidar in a typical plateau airport. Laser Technol. 2020, 44, 525. [Google Scholar]
  19. Bai, H.; Zheng, J.; Du, X.; Che, Y. Structural Characteristics of Wind Shear Caused by Thunderstorm Based on 1.55 μm Lidar. Appl. Laser 2024, 44, 86–96. [Google Scholar] [CrossRef]
  20. Svenningsson, I.; Hansson, H.C.; Wiedensohler, A.; Ogren, J.; Noone, K.; Hallberg, A. Hygroscopic growth of aerosol particles in the Po Valley. Tellus B 1992, 44, 556–569. [Google Scholar] [CrossRef]
  21. Xu, L.; Liu, H.; Du, Q.; Xu, X. The assessment of the planetary boundary layer schemes in WRF over the central Tibetan Plateau. Atmos. Res. 2019, 230, 104644. [Google Scholar] [CrossRef]
  22. Xu, X.; Tang, Y.; Wang, Y.; Zhang, H.; Liu, R.; Zhou, M. Triggering effects of large topography and boundary layer turbulence on convection over the Tibetan Plateau. Atmos. Chem. Phys. 2023, 23, 3299–3309. [Google Scholar] [CrossRef]
  23. Che, J.; Zhao, P. Characteristics of the summer atmospheric boundary layer height over the Tibetan Plateau and influential factors. Atmos. Chem. Phys. 2021, 21, 5253–5268. [Google Scholar] [CrossRef]
  24. Kim, K.Y. Diurnal and seasonal variation of planetary boundary layer height over East Asia and its climatic change as seen in the ERA-5 reanalysis data. SN Appl. Sci. 2022, 4, 39. [Google Scholar] [CrossRef]
  25. Chen, X.; Anel, J.A.; Su, Z.; de la Torre, L.; Kelder, H.; van Peet, J.; Ma, Y. The deep atmospheric boundary layer and its significance to the stratosphere and troposphere exchange over the Tibetan Plateau. PLoS ONE 2013, 8, e56909. [Google Scholar] [CrossRef]
  26. Peng, Y.; Wu, Y.; Shen, C.; Xu, H.; Li, J. Detection Performance Analysis of Marine Wind by Lidar and Radar under All-Weather Conditions. Remote Sens. 2024, 16, 2212. [Google Scholar] [CrossRef]
  27. Wang, H.; Hu, Z.; Yang, Y.; Fan, W.; Lu, F. The changing features and the mechanism of the precipitation in Southern-Northern Qinghai-Xizang Plateau during monsoon period in last 60 years. Plateau Meteorol. 2023, 42, 848–857. [Google Scholar]
  28. Liu, R.; Liu, Y.; Du, B. Cloud climatic characteristics of the Tibetan Plateau from ISCCP data. J. Nanjing Inst. Meteor. 2002, 25, 226–234. [Google Scholar]
  29. Wang, D.; Liang, Z. Spatio-temporal characteristics of boundary layer height derived from soundings. J. Appl. Meteor. Sci. 2020, 31, 447–459. [Google Scholar]
  30. Wang, J.; Su, S.; Yin, Z.; Sun, C.; Xie, X.; Wang, T.; Yasheng, D.; Chen, J.; Zhang, X.; Yang, Y. Quantitatively assessing the contributions of dust aerosols to direct radiative forcing based on remote sensing and numerical simulation. Remote Sens. 2022, 14, 660. [Google Scholar] [CrossRef]
  31. Aitken, M.L.; Rhodes, M.E.; Lundquist, J.K. Performance of a wind-profiling lidar in the region of wind turbine rotor disks. J. Atmos. Ocean. Technol. 2012, 29, 347–355. [Google Scholar] [CrossRef]
  32. Castillo, J.E.; Weibel, J.A.; Garimella, S.V. The effect of relative humidity on dropwise condensation dynamics. Int. J. Heat Mass Transf. 2015, 80, 759–766. [Google Scholar] [CrossRef]
  33. Feingold, G.; Morley, B. Aerosol hygroscopic properties as measured by lidar and comparison with in situ measurements. J. Geophys. Res. Atmos. 2003, 108. [Google Scholar] [CrossRef]
  34. Michel Flores, J.; Bar-Or, R.; Bluvshtein, N.; Abo-Riziq, A.; Kostinski, A.; Borrmann, S.; Koren, I.; Koren, I.; Rudich, Y. Absorbing aerosols at high relative humidity: Linking hygroscopic growth to optical properties. Atmos. Chem. Phys. 2012, 12, 5511–5521. [Google Scholar] [CrossRef]
  35. Ryu, Y.H.; Min, S.K. Improving Wet and Dry Deposition of Aerosols in WRF-Chem: Updates to Below-Cloud Scavenging and Coarse-Particle Dry Deposition. J. Adv. Model. Earth Syst. 2022, 14, e2021MS002792. [Google Scholar] [CrossRef]
Figure 1. (a) The surrounding topography of Gonggar Airport. The white dot indicates the location of the DWL installation, and the arrow marks the airport’s primary landing direction. The numbers 09 and 27 represent the runway designations. (b) FC-III-type DWL.
Figure 1. (a) The surrounding topography of Gonggar Airport. The white dot indicates the location of the DWL installation, and the arrow marks the airport’s primary landing direction. The numbers 09 and 27 represent the runway designations. (b) FC-III-type DWL.
Atmosphere 15 01530 g001
Figure 2. Detection efficiency curves for PPI scanning from August 2023 to April 2024. The PPI mode at 4° and 6° elevation angles and DBS scanning are represented by red, blue, and black lines, respectively. The 270° and 90° azimuth angles in PPI mode are indicated by solid and dashed lines, respectively.
Figure 2. Detection efficiency curves for PPI scanning from August 2023 to April 2024. The PPI mode at 4° and 6° elevation angles and DBS scanning are represented by red, blue, and black lines, respectively. The 270° and 90° azimuth angles in PPI mode are indicated by solid and dashed lines, respectively.
Atmosphere 15 01530 g002
Figure 3. Monthly detection efficiency heatmaps for PPI scanning mode (a) and DBS scanning mode (b) from August 2023 to April 2024, with specific detection efficiency values labeled. (c) shows cumulative monthly precipitation (bar chart), average wind speed (green line), average temperature (yellow line), and average relative humidity (blue line) during the same period. (d) presents a box plot of DBS detection ranges for the same period, where the edges of the box represent the interquartile range (upper and lower quartiles), and the line in the middle represents the median detection range.
Figure 3. Monthly detection efficiency heatmaps for PPI scanning mode (a) and DBS scanning mode (b) from August 2023 to April 2024, with specific detection efficiency values labeled. (c) shows cumulative monthly precipitation (bar chart), average wind speed (green line), average temperature (yellow line), and average relative humidity (blue line) during the same period. (d) presents a box plot of DBS detection ranges for the same period, where the edges of the box represent the interquartile range (upper and lower quartiles), and the line in the middle represents the median detection range.
Atmosphere 15 01530 g003
Figure 4. Box plots of maximum detection ranges for DBS mode (a,b) and PPI mode (c,d), along with the diurnal variation in average temperature and wind speed (e,f) for January (a,c,e) and April (b,d,f) 2024. The orange arrows indicate wind direction. The center, upper, and lower ends of the box plots represent the mean, upper quartile and lower quartile, respectively.
Figure 4. Box plots of maximum detection ranges for DBS mode (a,b) and PPI mode (c,d), along with the diurnal variation in average temperature and wind speed (e,f) for January (a,c,e) and April (b,d,f) 2024. The orange arrows indicate wind direction. The center, upper, and lower ends of the box plots represent the mean, upper quartile and lower quartile, respectively.
Atmosphere 15 01530 g004
Figure 5. Scatter plots of hourly detection ranges for PPI mode and DBS mode during different time intervals in April 2024: 00:00–05:00 (a), 06:00–11:00 (b), 12:00–17:00 (c), and 18:00–24:00 (d). The linear regression equations and correlation coefficients are indicated.
Figure 5. Scatter plots of hourly detection ranges for PPI mode and DBS mode during different time intervals in April 2024: 00:00–05:00 (a), 06:00–11:00 (b), 12:00–17:00 (c), and 18:00–24:00 (d). The linear regression equations and correlation coefficients are indicated.
Atmosphere 15 01530 g005
Figure 6. Horizontal wind pattern and ground wind speed (black line) for the DBS model on 27 April 2024 (a); vertical wind pattern and temperature (blue line) (b); spectral intensity heatmap (c); and radial wind speed heatmap of the PPI model (d).
Figure 6. Horizontal wind pattern and ground wind speed (black line) for the DBS model on 27 April 2024 (a); vertical wind pattern and temperature (blue line) (b); spectral intensity heatmap (c); and radial wind speed heatmap of the PPI model (d).
Atmosphere 15 01530 g006
Figure 7. The probability distribution of detection ranges for the PPI mode at a 270° azimuth (a,b) and the DBS mode (c,d) as a function of MOR from August 2023 to April 2024. The distributions are presented for two MOR ranges: 0 < MOR < 20 km (a,c) and 0 < MOR < 5 km (b,d). The black solid line in the figure represents the average detection range curve.
Figure 7. The probability distribution of detection ranges for the PPI mode at a 270° azimuth (a,b) and the DBS mode (c,d) as a function of MOR from August 2023 to April 2024. The distributions are presented for two MOR ranges: 0 < MOR < 20 km (a,c) and 0 < MOR < 5 km (b,d). The black solid line in the figure represents the average detection range curve.
Atmosphere 15 01530 g007
Figure 8. Box plots of the detection range of the PPI (blue) and DBS modes as a function of MOR in the range of 0 < MOR < 5 km from August 2023 to April 2024. The center, upper, and lower ends of the box plots represent the mean, upper quartile, and lower quartile, respectively.
Figure 8. Box plots of the detection range of the PPI (blue) and DBS modes as a function of MOR in the range of 0 < MOR < 5 km from August 2023 to April 2024. The center, upper, and lower ends of the box plots represent the mean, upper quartile, and lower quartile, respectively.
Atmosphere 15 01530 g008
Figure 9. The probability distribution of detection ranges for the PPI mode at a 270° azimuth (a,b) and the DBS mode (c,d) as a function of relative humidity during the period from August 2023 to April 2024. The distributions are presented for two MOR ranges: 0 < MOR < 20 km (a,c) and 0 < MOR < 5 km (b,d). The black solid line in the figure represents the average detection range curve.
Figure 9. The probability distribution of detection ranges for the PPI mode at a 270° azimuth (a,b) and the DBS mode (c,d) as a function of relative humidity during the period from August 2023 to April 2024. The distributions are presented for two MOR ranges: 0 < MOR < 20 km (a,c) and 0 < MOR < 5 km (b,d). The black solid line in the figure represents the average detection range curve.
Atmosphere 15 01530 g009
Figure 10. Scatter plots of detection ranges for the PPI mode (a,b) and DBS mode (c,d) during the period from August 2023 to April 2024, when relative humidity ≥ 80%. The plots show detection ranges under non-precipitation (a,c) and precipitation (b,d) conditions.
Figure 10. Scatter plots of detection ranges for the PPI mode (a,b) and DBS mode (c,d) during the period from August 2023 to April 2024, when relative humidity ≥ 80%. The plots show detection ranges under non-precipitation (a,c) and precipitation (b,d) conditions.
Atmosphere 15 01530 g010
Table 1. Main performance parameters of FC-III-type DWL.
Table 1. Main performance parameters of FC-III-type DWL.
ParameterValue
Scanning typePulse scanning
Sampling rate (MHz)400
Operating frequency range (µm)1.55
Detection range (m)20 to 10,000
Wind speed error (m·s−1)≤0.1
Wind direction error (°)≤3
Minimum data refresh rate (s)3
Wind field scanningPPI/RHI/DBS/GLIDE
Data productsWind profile (speed, direction, vertical airflow)
Raw dataRadial wind speed, spectral data, signal-to-noise ratio (SNR), etc.
Table 2. Monthly variance of wind direction at 90° and 270°.
Table 2. Monthly variance of wind direction at 90° and 270°.
MonthAug SepOctNovDecJanFebMarApr
Variance at 90°0.10.30.20.20.10.10.30.31.1
Variance at 270°0.30.50.20.10.10.10.20.51.3
Table 3. Number of days with different ranges of low-cloud cover (octas) observed at Gonggar Airport (by month).
Table 3. Number of days with different ranges of low-cloud cover (octas) observed at Gonggar Airport (by month).
Low-Cloud CoverAugSepOctNovDecJanFebMarApr
0.0–1.91161922272213173
2.0–3.91097836141220
4.0–6.01055013227
6.1–8.01000000000
Disclaimer/Publisher’s Note: The statements, opinions and data contained in all publications are solely those of the individual author(s) and contributor(s) and not of MDPI and/or the editor(s). MDPI and/or the editor(s) disclaim responsibility for any injury to people or property resulting from any ideas, methods, instructions or products referred to in the content.

Share and Cite

MDPI and ACS Style

Wu, J.; Du, H.; Xia, C.; Huang, X. Assessment of Doppler Wind Lidar Detection Efficiency and Influencing Factors at Plateau Airport: A Case Study of Lhasa Gonggar Airport. Atmosphere 2024, 15, 1530. https://doi.org/10.3390/atmos15121530

AMA Style

Wu J, Du H, Xia C, Huang X. Assessment of Doppler Wind Lidar Detection Efficiency and Influencing Factors at Plateau Airport: A Case Study of Lhasa Gonggar Airport. Atmosphere. 2024; 15(12):1530. https://doi.org/10.3390/atmos15121530

Chicago/Turabian Style

Wu, Junjie, Hongyu Du, Chunjiong Xia, and Xiaoyuan Huang. 2024. "Assessment of Doppler Wind Lidar Detection Efficiency and Influencing Factors at Plateau Airport: A Case Study of Lhasa Gonggar Airport" Atmosphere 15, no. 12: 1530. https://doi.org/10.3390/atmos15121530

APA Style

Wu, J., Du, H., Xia, C., & Huang, X. (2024). Assessment of Doppler Wind Lidar Detection Efficiency and Influencing Factors at Plateau Airport: A Case Study of Lhasa Gonggar Airport. Atmosphere, 15(12), 1530. https://doi.org/10.3390/atmos15121530

Note that from the first issue of 2016, this journal uses article numbers instead of page numbers. See further details here.

Article Metrics

Back to TopTop