Spatial–Temporal Variations in Temperature and Precipitation Extremes during 1960–2019 in Guizhou Province, China
Abstract
1. Introduction
2. Datasets and Methodologies
2.1. Study Area and Data
2.2. Definitions of Climatic Extremes
2.3. Oceanic and Atmospheric Indices
2.4. Studying Methodologies
2.4.1. Trend Analysis Method
2.4.2. Other Methodologies
3. Results
3.1. Climatology of Temperature and Precipitation Extremes
3.2. Variability of Temperature Extremes
3.2.1. Annual Variations in Warm Extremes
3.2.2. Annual Variations in Cold Extremes
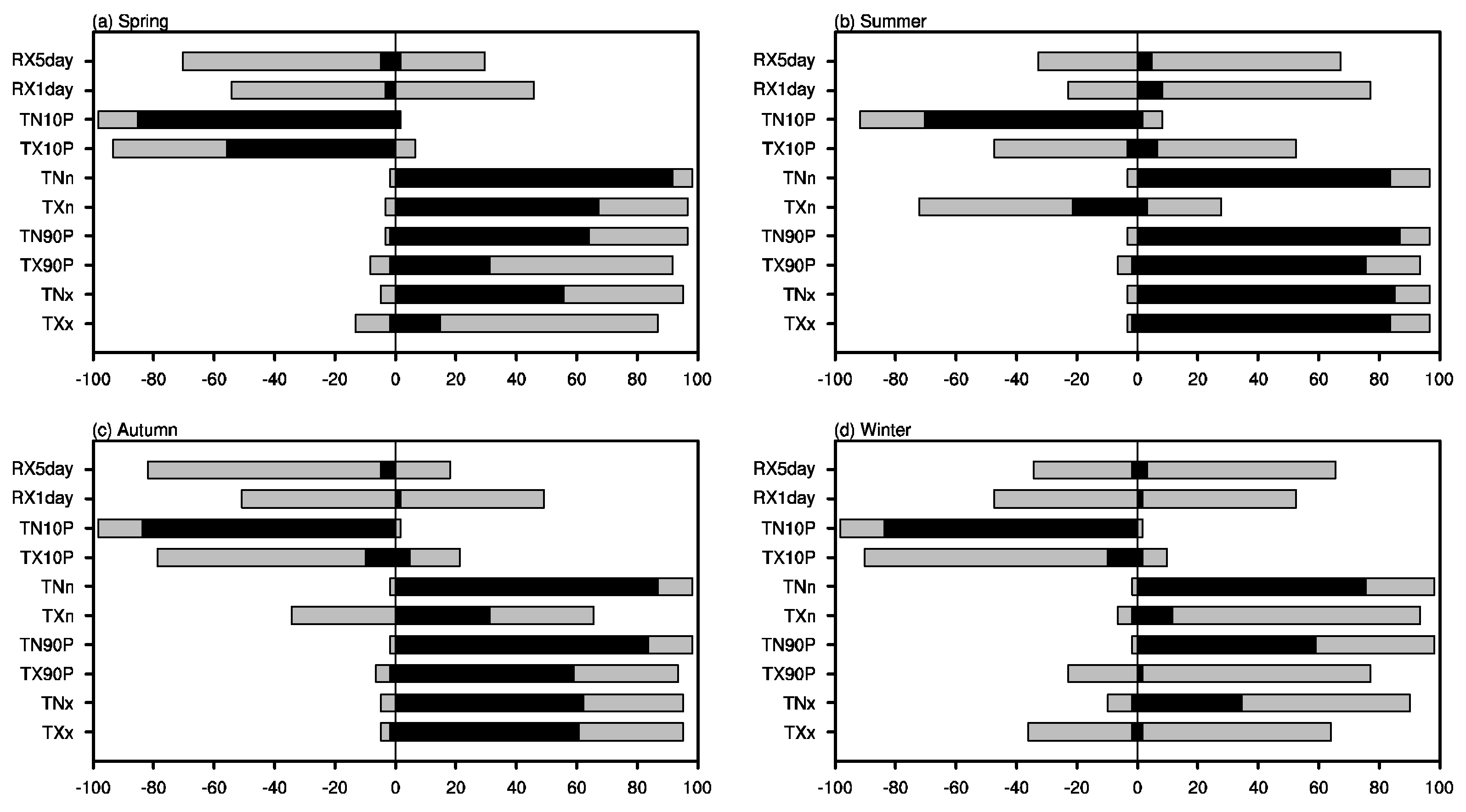
3.2.3. Seasonal Variations in Temperature Extremes
3.3. Variations of Precipitation Extremes
3.4. Correlations with Several Oceanic and Atmospheric Indices
4. Conclusions and Discussion
Author Contributions
Funding
Institutional Review Board Statement
Informed Consent Statement
Data Availability Statement
Acknowledgments
Conflicts of Interest
References
- IPCC. Summary for policymakers. In Climate Change 2021: The Physical Science Basis. Contribution of Working Group I to the Sixth Assessment Report of the Intergovernmental Panel on Climate Change; Masson-Delmotte, V., Zhai, P., Pirani, A., Connors, S.L., Péan, C., Berger, S., Caud, N., Chen, Y., Goldfarb, L., Gomis, M.I., Eds.; Cambridge University Press: Cambridge, UK; New York, NY, USA, 2021; pp. 3–32. [Google Scholar]
- IPCC. A Special Report of Working Groups I and II of the Intergovernmental Panel on Climate Change. In Managing the Risks of Extreme Events and Disasters to Advance Climate Change Adaptation; Cambridge University Press: Cambridge, UK; New York, NY, USA, 2012; p. 582. [Google Scholar]
- Lloret, F.; Escudero, A.; Iriondo, J.; Vilalta, J.; Valladares, F. Extreme climatic events and vegetation: The role of stabilizing processes. Glob. Chang. Biol. 2012, 18, 797–805. [Google Scholar] [CrossRef]
- Hutyra, L.R.; Munger, J.W.; Nobre, C.A.; Saleska, S.R.; Vieira, S.A.; Wofsy, S.C. Climatic variability and vegetation vulnerability in Amazonia. Geophys. Res. Lett. 2005, 32, L24712. [Google Scholar] [CrossRef]
- Li, S.; Wei, F.L.; Wang, Z.; Shen, J.S.; Liang, Z.; Wang, H.; Li, S.C. Spatial heterogeneity and complexity of the impact of extreme climate on vegetation in China. Sustainability 2021, 13, 5748. [Google Scholar] [CrossRef]
- Reichstein, M.; Bahn, M.; Ciais, P.; Frank, D.; Mahecha, M.D.; Seneviratne, S.I.; Zscheischler, J.; Beer, C.; Buchmann, N.; Frank, D.C.; et al. Climate extremes and the carbon cycle. Nature 2013, 500, 287–295. [Google Scholar] [CrossRef]
- Frank, D.; Reichstein, M.; Bahn, M.; Thonicke, K.; Frank, D.; Mahecha, M.D.; Smith, P.; Van der Velde, M.; Vicca, S.; Babst, F.; et al. Effects of climate extremes on the terrestrial carbon cycle: Concepts, processes and potential future impacts. Glob. Chang. Biol. 2015, 21, 2861–2880. [Google Scholar] [CrossRef]
- Piao, S.L.; Zhang, X.P.; Chen, A.P.; Liu, Q.; Lian, X.; Wang, X.H.; Peng, S.S.; Wu, X.C. The impacts of climate extremes on the terrestrial carbon cycle: A review. Sci. China Earth Sci. 2019, 62, 1551–1563. [Google Scholar] [CrossRef]
- Aryal, J.P.; Sapkota, T.B.; Stirling, C.M.; Jat, M.L.; Jat, H.S.; Rai, M.; Mittal, S.; Sutaliya, J.M. Conservation agriculture-based wheat production better copes with extreme climate events than conventional tillage-based systems: A case of untimely excess rainfall Haryana, India. Agric. Ecosyst. Environ. 2016, 233, 325–335. [Google Scholar] [CrossRef]
- Epstein, P.R. Climate change and human health. N. Engl. J. Med. 2005, 353, 1433–1436. [Google Scholar] [CrossRef] [PubMed]
- IPCC. Summary for policymakers. In Climate Change 2007: The Physical Science Basis, Contribution of Working Group I to the Forth Assessment Report of the Intergovernmental Panel on Climate Change; Solomon, S., Qin, D., Manning, M., Chen, Z., Marquis, M., Averyt, K.B., Tignor, M., Miller, H.L., Eds.; Cambridge University Press: Cambridge, UK; New York, NY, USA, 2007. [Google Scholar]
- Hashim, J.H.; Hashim, Z. Climate change, extreme weather events, and human health implications in the Asia Pacific region. Asia Pac. J. Public Health 2016, 28, 8S–14S. [Google Scholar] [CrossRef]
- Barrett, B.; Charles, J.W.; Temte, J.I. Climate change, human health, and epidemiological transition. Prev. Med. 2015, 70, 69–75. [Google Scholar] [CrossRef]
- Brown, P.J.; Bradley, R.S.; Keimig, F.T. Changes in extreme climate indices for the northeastern United States, 1870–2005. J. Clim. 2010, 23, 6555–6572. [Google Scholar] [CrossRef]
- Yan, Z.W.; Ding, Y.H.; Zhai, P.M.; Song, L.C.; Cao, L.J.; Li, Z. Re-assessing climatic warming in China since 1900. J. Meteorol. Res. 2020, 34, 243–251. [Google Scholar] [CrossRef]
- Zhang, W.X.; Zhou, T.J. Increasing impacts from extreme precipitation on population over China with global warming. Sci. Bull. 2020, 65, 243–252. [Google Scholar] [CrossRef]
- Sun, J.Q.; Ao, J. Changes in precipitation and extreme precipitation in a warming environment in China. Chin. Sci. Bull. 2012, 58, 1395–1401. [Google Scholar] [CrossRef]
- Shi, J.; Cui, L.L.; Wen, K.M.; Tian, Z.; Wei, P.P.; Zhang, B.W. Trends in the consecutive days of temperature and precipitation extremes in China during 1961–2015. Environ. Res. 2018, 161, 381–391. [Google Scholar] [CrossRef]
- Yang, X.L.; Zhou, B.T.; Xu, Y.; Han, Z.Y. CMIP6 evaluation and projection of temperature and precipitation over China. Adv. Atmos. Sci. 2021, 38, 817–830. [Google Scholar] [CrossRef]
- Wang, X.Y.; Li, X.Q.; Wang, M.M.; Li, Y.L.; Gong, X.W.; Chen, Y.P.; Chen, Y.; Cao, W.J. Changes in daily extreme temperature and precipitation events in mainland China from 1960 to 2016 under global warming. Int. J. Climatol. 2020, 41, 1465–1483. [Google Scholar] [CrossRef]
- Sun, W.Y.; Mu, X.M.; Song, X.Y.; Wu, D.; Cheng, A.F.; Qiu, B. Changes in extreme temperature and precipitation events in the Loess Plateau (China) during 1960–2013 under global warming. Atmos. Res. 2016, 168, 33–48. [Google Scholar] [CrossRef]
- Fan, X.H.; Wang, M.B. Change trends of air temperature and precipitation over Shanxi Province, China. Theor. Appl. Climatol. 2011, 103, 519–531. [Google Scholar] [CrossRef]
- Fan, X.H.; Wang, Q.X.; Wang, M.B. Changes in temperature and precipitation extremes during 1959-2008 in Shanxi, China. Theor. Appl. Climatol. 2012, 109, 283–303. [Google Scholar] [CrossRef]
- Du, M.C.; Zhang, J.Y.; Yang, Q.L.; Wang, Z.L.; Bao, Z.X.; Liu, Y.L.; Jin, J.L.; Liu, C.S.; Wang, G.Q. Spatial and temporal variation of rainfall extremes for the North Anhui Province Plain of China over 1976–2018. Nat. Hazards 2021, 105, 2777–2797. [Google Scholar] [CrossRef]
- Wen, X.H.; Wu, X.Q.; Gao, M. Spatiotemporal variability of temperature and precipitation in Gansu Province (Northwest China) during 1951–2015. Atmos. Res. 2017, 197, 132–149. [Google Scholar] [CrossRef]
- Chen, A.J.; He, X.G.; Guan, H.D.; Cai, Y. Trends and periodicity of daily temperature and precipitation extremes during 1960–2013 in Hunan Province, central south China. Theor. Appl. Climatol. 2018, 132, 71–88. [Google Scholar] [CrossRef]
- Xu, F.; Zhou, Y.Y.; Zhao, L.L. Spatial and temporal variability in extreme precipitation in the Pearl River Basin, China from 1960 to 2018. Int. J. Climatol. 2021, 42, 797–816. [Google Scholar] [CrossRef]
- Li, X.; Zhang, K.; Gu, P.R.; Feng, H.T.; Yin, Y.F.; Chen, W.; Cheng, B.C. Changes in precipitation extremes in the Yangtze River Basin during 1960–2019 and the association with global warming, ENSO, and local effects. Sci. Total Environ. 2022, 760, 144244. [Google Scholar] [CrossRef] [PubMed]
- Tong, S.Q.; Li, X.Q.; Zhang, J.Q.; Bao, Y.H.; Bao, Y.B.; Na, L.; Si, A.L. Spatial and temporal variability in extreme temperature and precipitation events in Inner Mongolia (China) during 1960–2017. Sci. Total Environ. 2019, 649, 75–89. [Google Scholar] [CrossRef]
- An, D.; Du, Y.H.; Berndtsson, R.; Niu, Z.R.; Zhang, L.; Yuan, F.F. Evidence of climate shift for temperature and precipitation extremes across Gansu Province in China. Theor. Appl. Climatol. 2020, 139, 1137–1149. [Google Scholar] [CrossRef]
- Li, Z.X.; He, Y.Q.; Wang, P.Y.; Theakstone, W.H.; An, W.L.; Wang, X.F.; Lu, A.G.; Zhang, W.; Cao, W.H. Changes of daily climate extremes in southwestern China during 1961–2008. Glob. Planet Chang. 2012, 80–81, 255–272. [Google Scholar] [CrossRef]
- Li, Z.X.; He, Y.Q.; Therkstone, W.H.; Wang, X.F.; Zhang, W.; Cao, W.H.; Du, J.K.; Xin, H.J.; Chang, L. Altitude dependency of trends of daily climate extremes in southwestern China, 1961–2008. J. Geogr. Sci. 2012, 22, 416–430. [Google Scholar] [CrossRef]
- Qin, N.X.; Wang, J.N.; Yang, G.S.; Chen, X.; Liang, H.Y.; Zhang, J.B. Spatial and temporal variations of extreme precipitation and temperature events for the Southwest China in 1960–2009. Geoenviron. Disasters 2015, 2, 4. [Google Scholar] [CrossRef]
- Wang, S.J.; Jia, S.T.; Xin, H.J. Spatio-temporal characteristics of temperature and precipitation in Sichuan Province, Southwestern China, 1960–2009. Quatern. Int. 2013, 286, 103–115. [Google Scholar] [CrossRef]
- Zhang, K.X.; Luo, J.J.; Peng, J.T.; Zhang, H.C.; Ji, Y.; Wang, H. Analysis of extreme temperature variations on the Yunnan-Guizhou Plateau in Southwestern China over the Past 60 years. Sustainability 2022, 14, 8291. [Google Scholar] [CrossRef]
- Song, L.H.; Zhang, Y.G.; Fang, J.F.; Gu, Z.X. Karst development and the distribution of karst drainage systems in Dejiang, Guizhou Province, China. J. Hydrol. 1983, 61, 3–17. [Google Scholar] [CrossRef]
- Wang, S.J.; Liu, Q.M.; Zhang, D.F. Karst rock desertification in Southwestern China: Geomorphology, landuse, impact and rehabilitation. Land Degrad. Dev. 2004, 15, 115–121. [Google Scholar] [CrossRef]
- Bai, X.Y.; Wang, S.J.; Xiong, K.N. Assessing spatial-temporal evolution processes of karst rocky desertification and indications for restoration strategies. Land Degrad. Dev. 2013, 24, 47–56. [Google Scholar] [CrossRef]
- Cao, J.; Wen, D.Y.; Yang, R.W.; Zhu, Y.M. Impact of Indian and East Asian summer monsoons on the diurnal temperature range of the low-latitude highlands of China in the rainy season. J. Clim. 2022, 35, 2161–2172. [Google Scholar] [CrossRef]
- Zhang, X.; Yang, F. RClimDex (1.1) 2013, User Manual. Available online: https://www.wcrp-climate.org/etccdi (accessed on 1 December 2022).
- Wang, X.L.; Chen, H.; Wu, Y.; Feng, Y.; Pu, Q. New techniques for detection and adjustment of shifts in daily precipitation data series. J. Appl. Meteor. Clim. 2010, 49, 2416–2436. [Google Scholar] [CrossRef]
- Kalnay, E.; Kanamitsu, M.; Kistler, R.; Collins, W.; Deaven, D.; Gandin, L.; Iredell, M.; Saha, S.; White, G.; Woollen, J.; et al. The NCEP/NCAR 40-year reanalysis project. Bull. Am. Meteorol. Soc. 1996, 77, 437–471. [Google Scholar] [CrossRef]
- Duan, A.M.; Sun, R.Z. Impact of surface sensible heating over the Tibetan Plateau on the western Pacific subtropical high: A land-air-sea interaction perspective. Adv. Atmos. Sci. 2017, 34, 157–168. [Google Scholar] [CrossRef]
- Li, J.N.; Meng, W.G.; Wang, A.Y.; Liu, Y.M.; Feng, R.Q.; Hou, E.B. Climatic characteristics of the intensity and position of the subtropical high in the western Pacific. Trop. Geogr. 2003, 23, 35–39. (In Chinese) [Google Scholar]
- Gao, T.; Yu, J.Y.; Peak, H. Impacts of four northern-hemisphere teleconnection patterns on atmospheric circulation over Eurasia and the Pacific. Theor. Appl. Climatol. 2017, 129, 815–831. [Google Scholar] [CrossRef]
- Wilks, D.S. Statistical Methods in the Atmospheric Science; Academic Press: San Diego, CA, USA, 2006; p. 648. [Google Scholar]
- Xue, X.; Wang, Z.J.; Hou, S.S. NDVI-based vegetation dynamics and response to climate changes and human activities in Guizhou Province, China. Forests 2023, 14, 753. [Google Scholar] [CrossRef]











| ID | Indicator Name | Definitions | Classification |
|---|---|---|---|
| TXx | Max Tmax | Monthly maximum value of daily maximum temp | Warm/°C |
| TNx | Max Tmin | Monthly maximum value of daily minimum temp | Warm/°C |
| TX90p | Warm days | Percentage of days when TX > 90th percentile | Warm/days |
| TN90p | Warm nights | Percentage of days when TN > 90th percentile | Warm/days |
| SU25 | Summer days | Annual count when TX > 25 °C | Warm/days |
| TR20 | Tropical nights | Annual count when TN > 20 °C | Warm/days |
| GSL | Growing season length | Annual count between first span of at least 6 days with TG > 5 °C and first span after 1 July of 6 days with TG < 5 °C | Warm/days |
| WSDI | Warm spell duration indicator | Annual count of days with at least 6 consecutive days when TX > 90th percentile | Warm/days |
| TXn | Min Tmax | Monthly minimum value of daily maximum temp | Cold/°C |
| TNn | Min Tmin | Monthly minimum value of daily minimum temp | Cold/°C |
| TX10p | Cool days | Percentage of days when TX < 10th percentile | Cold/days |
| TN10p | Cool nights | Percentage of days when TN < 10th percentile | Cold/days |
| FD0 | Frost days | Annual count when TN (daily minimum) < 0 °C | Cold/days |
| ID0 | Ice days | Annual count when TX (daily maximum) > 0 °C | Cold/days |
| DTR | Diurnal temperature range | Monthly mean difference between TX and TN | Cold/°C |
| CSDI | Cold spell duration indicator | Annual count of days with at least 6 consecutive days when TN < 10th percentile | Cold/days |
| PRCPTOT | Annual total wet-day precipitation | Annual total PRCP when RR > 95th percentile | Wet/mm |
| SDII | Simple daily intensity index | Annual total precipitation divided by the number of wet days (defined as PRCP ≥ 1 mm) in the year | Wet/mm/day |
| R50 | Number of days above 50 mm | Annual count of days when PRCP ≥ 50 mm, 50 is user defined threshold | Wet/days |
| CWD | Consecutive wet days | Maximum number of consecutive days with RR ≥ 1 mm | Wet/days |
| R10 | Number of heavy precipitation days | Annul count of days when PRCP ≥ 10 mm | Wet/days |
| R25 | Very wet days | Annul count of days when PRCP ≥ 25 mm | Wet/days |
| R95p | Extremely wet days | Annual total PRCP when RR > 95th percentile | Wet/mm |
| R99p | Max 1-day precipitation amount | Annual total PRCP when RR > 99th percentile | Wet/mm |
| RX1day | Max 5-day precipitation amount | Monthly maximum 1-day precipitation | Wet/days |
| RX5day | Consecutive dry days | Monthly maximum consecutive 5-day precipitation | Wet/days |
| CDD | Max 1-day precipitation amount | Maximum number of consecutive days with RR < 1 mm | Dry/days |
| Indices | Unit | Spring | Summer | Autumn | Winter |
|---|---|---|---|---|---|
| TXx | °C/decade | 0.28 * | 0.23 ** | 0.34 ** | 0.05 |
| TNx | °C/decade | 0.30 ** | 0.12 * | 0.24 * | 0.25 |
| TX90 | Days/decade | 1.53 ** | 1.91 ** | 1.71 ** | 0.35 |
| TN90 | Days/decade | 2.07 ** | 2.11 ** | 2.03 ** | 1.34 * |
| TXn | °C/decade | 0.41 ** | 0.04 | 0.06 | 0.26 |
| TNn | °C/decade | 0.42 ** | 0.24 ** | 0.48 ** | 0.31 * |
| TX10 | Days/decade | −1.51 ** | −0.35 | −0.29 | −1.00 |
| TN10 | Days/decade | −1.63 ** | −1.80 ** | −1.95 ** | −2.28 ** |
| Indices | Nino3.4 | PDO | THA | THI | THR | THW |
|---|---|---|---|---|---|---|
| Tave | 0.06 | 0.16 | 0.53 ** | 0.48 ** | 0.22 | −0.57 ** |
| TXx | 0.27 * | −0.04 | 0.20 | 0.20 | 0.06 | −0.18 |
| TNx | 0.14 | 0.36 ** | 0.28 * | 0.29 * | −0.15 | −0.33 * |
| TX90P | 0.28 * | 0.01 | 0.34 ** | 0.28 * | 0.10 | −0.29 * |
| TN90P | 0.24 | 0.30 * | 0.52 ** | 0.49 ** | 0.05 | −0.48 ** |
| SU25 | 0.24 | 0.03 | 0.37 ** | 0.34 ** | 0.05 | −0.34 ** |
| TR20 | 0.09 | 0.21 | 0.48 ** | 0.51 ** | 0.09 | −0.46 ** |
| GSL | 0.09 | 0.19 | 0.18 | 0.15 | 0.03 | −0.19 |
| WSDI | 0.18 | −0.03 | 0.19 | 0.13 | 0.08 | −0.18 |
| TXn | 0.11 | 0.19 | 0.29 * | 0.31 * | 0.01 | −0.36 ** |
| TNn | −0.32 * | 0.40 ** | 0.45 ** | 0.43 ** | −0.01 | −0.43 ** |
| TX10 | −0.21 | 0.01 | −0.34 ** | −0.33 * | −0.26 * | 0.45 ** |
| TN10 | −0.31 * | −0.13 | −0.47 ** | −0.45 ** | −0.35 ** | 0.52 ** |
| FD0 | −0.27 * | −0.28 * | −0.52 ** | −0.48 ** | −0.18 | 0.54 ** |
| ID0 | 0.02 | −0.17 | −0.29 * | −0.30 * | −0.10 | 0.35 ** |
| DTR | −0.28 * | −0.12 | −0.04 | −0.05 | 0.27 * | −0.01 |
| CSDI | 0.35 ** | −0.21 | −0.40 ** | −0.37 ** | −0.04 | 0.42 ** |
Disclaimer/Publisher’s Note: The statements, opinions and data contained in all publications are solely those of the individual author(s) and contributor(s) and not of MDPI and/or the editor(s). MDPI and/or the editor(s) disclaim responsibility for any injury to people or property resulting from any ideas, methods, instructions or products referred to in the content. |
© 2023 by the authors. Licensee MDPI, Basel, Switzerland. This article is an open access article distributed under the terms and conditions of the Creative Commons Attribution (CC BY) license (https://creativecommons.org/licenses/by/4.0/).
Share and Cite
Xue, X.; Hou, S.; Meng, C. Spatial–Temporal Variations in Temperature and Precipitation Extremes during 1960–2019 in Guizhou Province, China. Atmosphere 2023, 14, 1162. https://doi.org/10.3390/atmos14071162
Xue X, Hou S, Meng C. Spatial–Temporal Variations in Temperature and Precipitation Extremes during 1960–2019 in Guizhou Province, China. Atmosphere. 2023; 14(7):1162. https://doi.org/10.3390/atmos14071162
Chicago/Turabian StyleXue, Xu, Shuangshuang Hou, and Chuncan Meng. 2023. "Spatial–Temporal Variations in Temperature and Precipitation Extremes during 1960–2019 in Guizhou Province, China" Atmosphere 14, no. 7: 1162. https://doi.org/10.3390/atmos14071162
APA StyleXue, X., Hou, S., & Meng, C. (2023). Spatial–Temporal Variations in Temperature and Precipitation Extremes during 1960–2019 in Guizhou Province, China. Atmosphere, 14(7), 1162. https://doi.org/10.3390/atmos14071162

