Sign in to use this feature.

Years

Between: -

Subjects

remove_circle_outline
remove_circle_outline
remove_circle_outline
remove_circle_outline
remove_circle_outline
remove_circle_outline
remove_circle_outline
remove_circle_outline
remove_circle_outline

Journals

remove_circle_outline
remove_circle_outline
remove_circle_outline
remove_circle_outline
remove_circle_outline
remove_circle_outline
remove_circle_outline
remove_circle_outline
remove_circle_outline
remove_circle_outline
remove_circle_outline
remove_circle_outline
remove_circle_outline
remove_circle_outline
remove_circle_outline
remove_circle_outline
remove_circle_outline
remove_circle_outline
remove_circle_outline
remove_circle_outline
remove_circle_outline
remove_circle_outline
remove_circle_outline
remove_circle_outline
remove_circle_outline
remove_circle_outline
remove_circle_outline

Article Types

Countries / Regions

remove_circle_outline
remove_circle_outline
remove_circle_outline
remove_circle_outline
remove_circle_outline
remove_circle_outline
remove_circle_outline
remove_circle_outline
remove_circle_outline
remove_circle_outline
remove_circle_outline
remove_circle_outline
remove_circle_outline

Search Results (7,696)

Search Parameters:
Keywords = climate extremes

Order results
Result details
Results per page
Select all
Export citation of selected articles as:
26 pages, 5618 KB  
Article
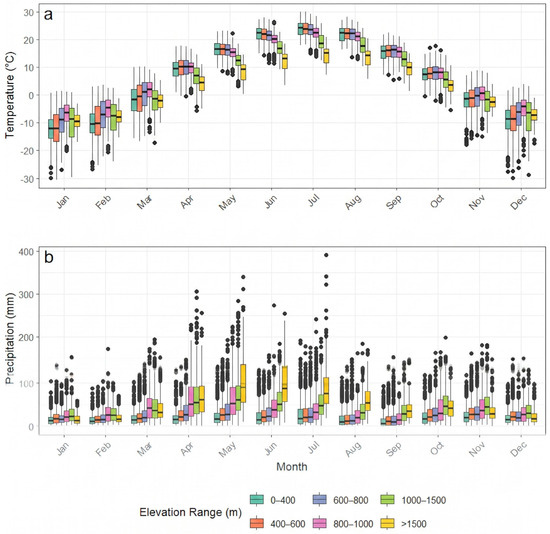
Characterizing the Long-Term (1981–2023) Temperature and Precipitation Dynamics in the Trans-Mountain Regions of Kazakhstan, Central Asia
by Baktybek Duisebek, Gabriel B. Senay, Talgat Usmanov, Kudaibergen Kyrgyzbay, Janay Sagin, Yerbolat Mukanov, Kanat Samarkhanov, Xuejia Wang, Sulitan Danierhan and Xiaohui Pan
Water 2026, 18(9), 1046; https://doi.org/10.3390/w18091046 (registering DOI) - 28 Apr 2026
Abstract
Mountain regions are highly climate-sensitive, yet long-term observational evidence of elevation and seasonal climate dynamics in Central Asia remains limited. This study examines spatiotemporal trends in temperature (Tmean, Tmax, Tmin, and diurnal temperature range [DTR]) and precipitation across Kazakhstan’s transmountain regions using 74 [...] Read more.
Mountain regions are highly climate-sensitive, yet long-term observational evidence of elevation and seasonal climate dynamics in Central Asia remains limited. This study examines spatiotemporal trends in temperature (Tmean, Tmax, Tmin, and diurnal temperature range [DTR]) and precipitation across Kazakhstan’s transmountain regions using 74 meteorological stations (1981–2023). Data were analyzed using the Mann–Kendall test and Sen’s slope estimator, stratified across six elevation zones from lowlands (<400 m) to high mountains (>1500 m). Results reveal a robust, spatially coherent warming signal across all zones. Annual Tmean increased at a median rate of ~0.30 °C decade−1, peaking at 0.36 °C decade−1 above 1500 m, corresponding to an absolute increase exceeding 1.5 °C. Warming exhibited strong seasonal and diurnal asymmetries. Spring warmed most rapidly, with Tmean increasing >0.60 °C decade−1 (approaching 3 °C total). Winter warming was driven by Tmin increases (up to 0.44 °C decade−1), causing widespread DTR contraction, whereas summer warming was driven by Tmax increases, expanding DTR at higher elevations. Tmin showed the strongest elevation amplification overall. In stark contrast, precipitation trends were weak, spatially heterogeneous, and largely non-significant. Annual changes ranged from −6.63 to +14.35 mm decade−1, with seasonal tendencies indicating modest, non-significant winter/spring wetting and summer drying. Ultimately, the results demonstrate a profound decoupling between strong, elevation-dependent warming and weak precipitation changes. The acute amplification of temperature, particularly during spring and summer at high elevations, has severe implications for snowmelt timing, glacier mass balance, evapotranspiration demand, and long-term water security in Kazakhstan. Full article
(This article belongs to the Section Water Resources Management, Policy and Governance)
Show Figures

Figure 1

33 pages, 6754 KB  
Article
Warming and Drying Intensification Across Iran’s River Basins (1950–2040): Historical Trends and LightGBM-Based Projections
by Iman Rousta, Safoora Izadian, Haraldur Olafsson, Marjan Dalvi and Jaromir Krzyszczak
Atmosphere 2026, 17(5), 446; https://doi.org/10.3390/atmos17050446 (registering DOI) - 28 Apr 2026
Abstract
Understanding long-term hydroclimatic variability in arid and semi-arid regions is essential for sustainable water resource management in the context of accelerating climate change. This study examines historical trends (1950–2024) and data-driven extrapolations to 2040 for precipitation and temperature across 30 secondary river basins [...] Read more.
Understanding long-term hydroclimatic variability in arid and semi-arid regions is essential for sustainable water resource management in the context of accelerating climate change. This study examines historical trends (1950–2024) and data-driven extrapolations to 2040 for precipitation and temperature across 30 secondary river basins in Iran using ERA5 reanalysis dataset and the Light Gradient Boosting Machine (LightGBM) model. Results reveal pronounced spatial heterogeneity in precipitation, with more than two-thirds of basins showing median values of 0 mm, reflecting extreme rainfall intermittency. Long-term analysis indicates significant precipitation increases in northern basins, whereas decadal trends show widespread drying since the early 2000s, particularly in eastern regions (30–60 mm per decade). Mean, maximum, and minimum temperatures exhibit significant upward trends (0.015–0.045 °C yr−1), with stronger warming in northern and northwestern basins; however, minimum temperatures increased faster than maximum temperatures, reducing the diurnal temperature range and indicating a shift in regional thermal dynamics. Maximum temperature is negatively correlated with precipitation (R ≈ −0.27 to −0.34), suggesting enhanced evapotranspiration under warming conditions. LightGBM extrapolations to 2040 indicate continued warming (1–3 °C) and precipitation declines across more than 80% of Iran, underscoring intensifying hydroclimatic stress and increasing challenges for water resource management in dryland environments. Full article
(This article belongs to the Section Climatology)
Show Figures

Figure 1

41 pages, 10591 KB  
Review
Urban Canyon Geometry and Green Infrastructure: A Review of Strategies for Enhancing Thermal Comfort and Microclimate
by Giouli Mihalakakou, John A. Paravantis, Petros Nikolaou, Sonia Malefaki, Alexandros Romeos, Angeliki Fotiadi, Paraskevas N. Georgiou and Athanasios Giannadakis
Sustainability 2026, 18(9), 4335; https://doi.org/10.3390/su18094335 (registering DOI) - 28 Apr 2026
Abstract
Urban canyons, integral components of the built environment, significantly influence microclimatic conditions and thermal comfort. This review investigates their combined effects with green infrastructure on thermal comfort, offering a comprehensive framework for supporting urban design and greening strategies. The review is based on [...] Read more.
Urban canyons, integral components of the built environment, significantly influence microclimatic conditions and thermal comfort. This review investigates their combined effects with green infrastructure on thermal comfort, offering a comprehensive framework for supporting urban design and greening strategies. The review is based on a structured literature analysis of peer-reviewed studies retrieved from major scientific databases (Scopus and Web of Science), following defined selection and screening criteria. Urban canyon orientation determines solar exposure and its interaction with prevailing wind patterns, affecting ventilation and heat dissipation. The urban canyon aspect ratio influences shading and airflow regulation, while their sky view factor moderates radiative cooling and daylight availability. Urban greening—encompassing street trees, green roofs, and vertical green walls—complements urban geometry by reducing air temperatures, enhancing evapotranspiration, and modifying local wind dynamics. Tree shading can reduce the physiological equivalent temperature in urban canyons, mitigating extreme heat stress. Key vegetative parameters, such as leaf area index and canopy density, are critical for quantifying cooling contributions. Key findings underscore the role of higher aspect ratios in enhancing shading and ventilation while they emphasize the critical influence of street orientation and sky view factor on microclimatic regulation. Vegetation emerges as a vital component, with tree shading contributing substantially to cooling effects and reducing physiological equivalent temperature. The beneficial synergistic interaction between urban geometry and vegetation optimizes thermal comfort. Tailored strategies based on urban canyon typologies balance urban development with environmental sustainability. The proposed framework provides actionable strategies for designing resilient and thermally optimized urban spaces, promoting climate-adaptive urban planning by addressing the dual challenges of the urban heat island and thermal discomfort in cities. Full article
Show Figures

Figure 1

30 pages, 7997 KB  
Review
A Synthesis of Compound Drought in Africa: Mechanisms, Hotspots, Impacts, and Future Projections
by Oluwafemi E. Adeyeri
Water 2026, 18(9), 1040; https://doi.org/10.3390/w18091040 - 27 Apr 2026
Abstract
Across Africa, drought seldom occurs alone. Rainfall deficits often coincide with heat, rapid soil moisture loss and reduced streamflow, producing compound events whose impacts exceed those of any single driver. This review synthesises station observations, satellite and reanalysis products, and climate model simulations [...] Read more.
Across Africa, drought seldom occurs alone. Rainfall deficits often coincide with heat, rapid soil moisture loss and reduced streamflow, producing compound events whose impacts exceed those of any single driver. This review synthesises station observations, satellite and reanalysis products, and climate model simulations to clarify where such events are most common, how they form, how they affect societies and ecosystems, and how risks are changing. A practical tiered definition tailored to African conditions is outlined and applied to identify five recurrent hotspots: the Sahel, the Greater Horn of Africa, southern Africa, the margins of the Congo Basin and the Guinea Coast. The review sets out a physically consistent sequence that links basin-scale sea surface temperature anomalies to shifts in monsoon circulation, and then to land processes that amplify and prolong heat and dryness through reduced evapotranspiration and soil-moisture memory. Documented impacts include lower crop and pasture productivity, pressure on rivers, reservoirs and groundwater, stress on hydropower and wider consequences for food and energy security. Compound drought frequency across these hotspots has risen by 18–55% since 1980, with the probability of the most severe events roughly doubling at 1.5 °C of global warming and tripling at 3 °C. The review highlights near-term priorities, including compound-aware monitoring, sub-seasonal-to-seasonal early warning and conjunctive water management. Full article
Show Figures

Figure 1

28 pages, 3181 KB  
Article
Freeze–Thaw Damage of Coal Gangue–Iron Tailings Sintered Porous Bricks in Cold Region Environments
by Jing Li, Su Lu, Jiaxin Liu, Shuaihong Fan, Jianqing Tang, Shasha Li, Zhongying Li, Shunshun Ren and Zilong Liu
Materials 2026, 19(9), 1779; https://doi.org/10.3390/ma19091779 - 27 Apr 2026
Abstract
Coal gangue (CG) and iron tailings (ITs) are major industrial solid wastes, and their high-value reuse is crucial for sustainable construction materials. This study explores the feasibility of fabricating sintered porous bricks using CG and ITs as primary constituents, with shale as an [...] Read more.
Coal gangue (CG) and iron tailings (ITs) are major industrial solid wastes, and their high-value reuse is crucial for sustainable construction materials. This study explores the feasibility of fabricating sintered porous bricks using CG and ITs as primary constituents, with shale as an auxiliary component. To evaluate durability in cold regions, laboratory freeze–thaw (F-T) cycling experiments were conducted. A degradation assessment framework based on the Wiener stochastic process was developed to predict frost-resistance service life by integrating experimental data with regional climatic conditions. Results show that the fabricated bricks exhibit satisfactory initial properties, with a compressive strength of 10.6 MPa and water absorption of 13.3%. With increasing F-T cycles, compressive strength decreases significantly, accompanied by increased mass loss and water absorption. Stress–strain analysis reveals progressive stiffness reduction and a transition from brittle to ductile failure. Microstructural observations confirm degradation of the glassy phase, pore expansion, and enhanced interconnectivity. The Wiener process-based model effectively describes the stochastic accumulation of F-T damage. By establishing equivalence between laboratory and natural F-T cycles, the long-term service life of coal gangue–iron tailing sintered porous bricks (CG-IT SPBs) in cold regions is theoretically evaluated. This work provides an integrated understanding of F-T damage behavior and establishes a scientific foundation for durability-oriented design and application of such bricks in extremely cold environments. Full article
(This article belongs to the Section Construction and Building Materials)
15 pages, 8904 KB  
Article
Spatial Analysis of Extreme Heat in Puerto Rico
by José J. Hernández Ayala, Rafael Méndez-Tejeda, Kyara V. Virella Carrión and Jesús A. Hernández Londoño
Meteorology 2026, 5(2), 10; https://doi.org/10.3390/meteorology5020010 - 27 Apr 2026
Abstract
Puerto Rico has experienced increasingly frequent and intense extreme heat conditions in recent years, with the 2023–2024 warm seasons standing out for prolonged periods of dangerously high heat index values and widespread spatial exposure. These conditions are particularly concerning in tropical island environments, [...] Read more.
Puerto Rico has experienced increasingly frequent and intense extreme heat conditions in recent years, with the 2023–2024 warm seasons standing out for prolonged periods of dangerously high heat index values and widespread spatial exposure. These conditions are particularly concerning in tropical island environments, where high humidity limits physiological cooling and amplifies heat-related health risks. The main objective of this study is to identify and characterize extreme heat zones and events across Puerto Rico using NOAA-modeled heat index (apparent temperature) data, as well as to examine their spatial and temporal variability during the 2021–2024 period. Hourly modeled apparent temperature data between 2 and 4 pm, representing the warmest time of day, were analyzed for each day from June through October. Mean maximum and maximum heat index surfaces were generated for each month and warm season, and extreme heat zones were identified using the 103 °F (39.4 °C) danger threshold. Results show a persistent concentration of extreme heat in low-elevation coastal regions, particularly across the northern coastal plains from San Juan to Hatillo, with floodplain areas in Arecibo and Manatí exhibiting the highest and most consistent exposure. August was identified as the month with the highest mean maximum heat index across all study years, followed by September. The warm seasons of 2023 and 2024 exhibited the highest magnitudes and spatial extents of extreme heat, with some regions experiencing apparent temperatures exceeding 110 °F and up to 141 extreme heat days during peak afternoon hours. The findings indicate a transition from localized heat hotspots to widespread and sustained extreme heat exposure across Puerto Rico’s coastal regions. This study provides an island-scale assessment of extreme heat patterns with direct implications for public health, infrastructure planning, and heat-risk management in a warming tropical climate. Full article
Show Figures

Graphical abstract

26 pages, 5405 KB  
Article
Performance of the ForestGALES Model in Predicting Wind Damage Patterns in a New Zealand Radiata Pine Trial Following Cyclone Gabrielle
by Kate Halstead, Michael S. Watt, Nicolò Camarretta, Barry Gardiner, Juan C. Suárez and Tommaso Locatelli
Forests 2026, 17(5), 527; https://doi.org/10.3390/f17050527 (registering DOI) - 26 Apr 2026
Abstract
Under climate change, extreme wind events are predicted to become both more common and more severe, increasing the vulnerability of plantation forests. In February 2023, ex-tropical Cyclone Gabrielle caused widespread wind damage to radiata pine (Pinus radiata D. Don) forests across the [...] Read more.
Under climate change, extreme wind events are predicted to become both more common and more severe, increasing the vulnerability of plantation forests. In February 2023, ex-tropical Cyclone Gabrielle caused widespread wind damage to radiata pine (Pinus radiata D. Don) forests across the North Island of New Zealand, providing a rare opportunity to evaluate mechanistic wind-risk modelling under extreme storm conditions. This study assessed the performance of the ForestGALES model in predicting wind damage within the Rangipo genetic accelerator trial and examined the influence of stocking and cultivation on wind vulnerability. Using detailed pre-cyclone field measurements and high-resolution unmanned aerial vehicle light detection and ranging (ULS) data, ForestGALES was parameterised for the Rangipo trial and applied at both individual-tree and stand scales. Model predictions were compared with observed post-cyclone damage using balanced area under the receiver operating characteristic curve (AUC), accounting for strong class imbalance. Wind damage was observed in 16.7% of trees, of which 10.2% showed stem breakage and 6.5% overturning. Across both spatial scales, overturning was more accurately predicted than stem breakage. At the individual-tree scale, ForestGALES showed moderate predictive skill, with balanced AUC values of 0.650 ± 0.014 for overturning, 0.595 ± 0.011 for breakage, and 0.621 ± 0.008 for total damage. Model performance was stronger at the stand scale, where discrimination was highest for overturning (AUC 0.811 ± 0.122), followed by breakage (0.693 ± 0.116) and total damage (0.623 ± 0.083). Silvicultural treatments significantly influenced predicted critical wind speeds (CWS). High-stocking treatments exhibited consistently higher CWS values and therefore greater wind firmness than low-stocking treatments, while cultivation effects were smaller but significant. Simulated reductions in stocking further demonstrated increased wind vulnerability as stocking declined, highlighting thinning as a primary determinant of wind risk. These findings demonstrate that ForestGALES can reliably discriminate wind damage at operational stand scales under extreme cyclone conditions and highlight the importance of stand structure in improving plantation resilience under increasingly storm-prone climates. Full article
(This article belongs to the Section Forest Inventory, Modeling and Remote Sensing)
29 pages, 15907 KB  
Article
Recurrent Climate-Driven Dieback of Subalpine Grasslands in Central Europe Detected from Multi-Decadal Landsat and Sentinel-2 Time Series
by Olha Kachalova, Tomáš Řezník, Jakub Houška, Jan Řehoř, Miroslav Trnka, Jan Balek and Radim Hédl
Remote Sens. 2026, 18(9), 1328; https://doi.org/10.3390/rs18091328 - 26 Apr 2026
Abstract
Subalpine grasslands represent highly sensitive ecosystems that are increasingly exposed to climate extremes, yet their long-term disturbance dynamics remain poorly documented. This study investigates climate-driven dieback of subalpine grasslands in Central Europe using a harmonized, multi-decadal satellite time series. We analyzed Landsat (TM, [...] Read more.
Subalpine grasslands represent highly sensitive ecosystems that are increasingly exposed to climate extremes, yet their long-term disturbance dynamics remain poorly documented. This study investigates climate-driven dieback of subalpine grasslands in Central Europe using a harmonized, multi-decadal satellite time series. We analyzed Landsat (TM, ETM+, OLI, OLI-2) and Sentinel-2 imagery spanning 1984–2024 to detect changes in grassland condition, supported by field-based validation, climatic indices, and geomorphological analysis. Several spectral indices related to non-photosynthetic vegetation were evaluated, with the Normalized Burn Ratio (NBR) providing the best discrimination of dead grassland. In spatially grouped cross-validation, NBR achieved very high accuracy for dead versus non-dead grassland, with AUC = 0.9996, precision = 1.00, recall = 0.82, and F1-score = 0.90 for Sentinel-2, and AUC = 0.9982, precision = 1.00, recall = 0.62, and F1-score = 0.76 for Landsat 9. Retrospective mapping revealed four dieback events since 2000: two short-term episodes with rapid within-season recovery (2000, 2003) and two long-term events characterized by persistent degradation and slow regeneration (2012, late 2018–2019). The largest short-term event, in 2003, affected 42.19 ha of total dieback and 96.95 ha including partially damaged or regenerating grassland. Dieback extent was negatively associated with water balance deficit, strongest for SPEI-12 (ρ = −0.548, p = 0.002), while winter frost under shallow-soil conditions likely contributed to long-term damage in 2012. Geomorphological analysis indicated that elevation, terrain curvature, and, to a lesser extent, wind exposure are the primary controls on dieback susceptibility, highlighting the importance of fine-scale environmental controls. Our results demonstrate the value of long-term, multi-sensor satellite observations for detecting and interpreting climate-driven disturbances in subalpine grasslands and provide a transferable framework to support monitoring and conservation of mountain ecosystems under ongoing climate change. Full article
Show Figures

Figure 1

30 pages, 1078 KB  
Article
Risk Assessment of Dams and Reservoirs to Climate Change in the Mediterranean Region: The Case of Almopeos Dam in Northern Greece
by Anastasios I. Stamou, Georgios Mitsopoulos, Athanasios Sfetsos, Athanasia Tatiana Stamou, Aristeidis Bloutsos, Konstantinos V. Varotsos, Christos Giannakopoulos and Aristeidis Koutroulis
Water 2026, 18(9), 1031; https://doi.org/10.3390/w18091031 - 26 Apr 2026
Viewed by 5
Abstract
Climate change poses significant challenges to the operation and safety of dam and reservoir (D&R) systems, particularly in regions characterized by water scarcity and high climate variability. This study presents a structured methodology for climate risk assessment that integrates regional climate projections, system-specific [...] Read more.
Climate change poses significant challenges to the operation and safety of dam and reservoir (D&R) systems, particularly in regions characterized by water scarcity and high climate variability. This study presents a structured methodology for climate risk assessment that integrates regional climate projections, system-specific thresholds, and a semi-quantitative risk matrix approach. A key innovation is the explicit linkage between climate indicators and system performance through physically based thresholds, combined with empirically derived exceedance probabilities from high-resolution climate projections. The methodology is applied to the Almopeos D&R system in northern Greece, using an ensemble of statistically downscaled CMIP6 simulations under two emission scenarios (SSP2-4.5 and SSP5-8.5) and two future periods (2041–2060 and 2081–2100). Three climate indicators are analyzed: TX35 (temperature extremes), CDD (consecutive dry days), and Rx1day (extreme precipitation). Results indicate that temperature increase is the dominant climate risk hazard, leading to increased irrigation demand and reduced system reliability, with risks classified as high to very high. Drought conditions represent a secondary but important risk, becoming critical during prolonged dry periods affecting reservoir storage, while extreme precipitation events exhibit low likelihood but potentially high consequences for dam safety. Adaptation measures are prioritized using a qualitative multi-criteria approach, highlighting the effectiveness of operational measures, while structural and monitoring interventions remain essential for ensuring system safety. The proposed methodology provides a transparent and transferable framework for climate-resilient planning of water infrastructure systems. Full article
Show Figures

Figure 1

18 pages, 5743 KB  
Article
CFD Evaluation of Crop Presence and Evapotranspiration on Natural Ventilation and Thermal Stratification in a Tropical Tomato Greenhouse (OpenFOAM)
by Luis Humberto Martínez Palmeth, Nadia Brigitte Sanabria Méndez, Marlio Bedoya Cardoso, María Angélica González Carmona and Paula Andrea Cuervo Velásquez
Eng 2026, 7(5), 194; https://doi.org/10.3390/eng7050194 - 26 Apr 2026
Viewed by 67
Abstract
This study used Computational Fluid Dynamics (CFD) with the Reynolds-Averaged Navier–Stokes (RANS) k-ω Shear Stress Transport (SST) model to evaluate how crop presence and evapotranspiration affect airflow and thermal stratification in a naturally ventilated tropical tomato greenhouse. Three configurations were simulated: SP-SC-R (No [...] Read more.
This study used Computational Fluid Dynamics (CFD) with the Reynolds-Averaged Navier–Stokes (RANS) k-ω Shear Stress Transport (SST) model to evaluate how crop presence and evapotranspiration affect airflow and thermal stratification in a naturally ventilated tropical tomato greenhouse. Three configurations were simulated: SP-SC-R (No Plants—No crop thermal load—Radiation), CP-SC-R (Crop Present—No crop thermal load—Radiation), and CP-CC-R (Crop Present—Crop thermal load (233.68 W·m−2)—Radiation). Mesh independence analysis yielded numerical uncertainties of 1.58% (velocity) and 1 × 10−6 (temperature). Vegetation reduced canopy air velocity by 55% (from 4 m·s−1 to values below 2 m·s−1). Evapotranspiration enhanced buoyancy-driven mixing, decreasing temperature gradients by up to 1.5 °C, but thermal stratification persisted above 4.5 m in all cases (vertical gradients 0.31–0.42 °C·m−1; maximum roof temperature 37.95 °C). Extreme wind speeds (greater than 20 m·s−1) occurred in the leeward span but above the main foliage. Natural ventilation alone is insufficient for tomato cultivation under tropical conditions. Practical recommendations include increasing roof vent area, installing windbreak baffles, and adopting hybrid ventilation. Future work should use unsteady, RANS/large-eddy simulation (LES), porous media models based on leaf area density (LAI), and field validation. This study demonstrates that coupling crop geometry and evapotranspiration is essential for realistic greenhouse CFD modelling in warm climates. Full article
(This article belongs to the Section Chemical, Civil and Environmental Engineering)
Show Figures

Figure 1

12 pages, 218 KB  
Article
Pacific Youth Activists Encountering Climate Change: Implications for Education
by Ali Glasgow
Youth 2026, 6(2), 54; https://doi.org/10.3390/youth6020054 (registering DOI) - 25 Apr 2026
Viewed by 70
Abstract
The vulnerability of many Pacific communities is impacted by rising sea levels and exposure to extreme weather patterns. This qualitative research study was conducted with focus groups of Māori and Pacific youth in Aotearoa New Zealand. I am a Pacific researcher, and I [...] Read more.
The vulnerability of many Pacific communities is impacted by rising sea levels and exposure to extreme weather patterns. This qualitative research study was conducted with focus groups of Māori and Pacific youth in Aotearoa New Zealand. I am a Pacific researcher, and I examine research and report on findings from Pacific youth focus groups. Employing a Talanoa methodology, a key question posed was how educators in Aotearoa New Zealand supported the wellbeing of Pacific youth in the face of increasing climate extremes within their schools and communities. Engaging a Pacific values framework, this discussion emphasizes the critical role of teachers and education in eliminating concerns, working collectively, listening respectfully, and collaborating with Pacific youth in confronting the complexity of issues surrounding climate change, thereby creating a shift from a position of despair and helplessness to a place of hope and optimism. Findings from the study reveal that, in the education sector, climate change is not well addressed, teachers could do more to acknowledge and address climate crises faced in the Pacific region in the curriculum, and little attention is paid to the wellbeing of Pacific youth facing climate change in the Pacific. An implication is that teachers need to support Pacific youth and understand that education about climatic variance affects Pacific learners’ wellbeing. Full article
(This article belongs to the Special Issue Politics of Disruption: Youth Climate Activisms and Education)
30 pages, 12314 KB  
Article
Numerical Weather Prediction of Hurricane Florence (2018) and Potential Climate Impacts Through Thermodynamic and Moisture Modification
by Jackson T. Wiles, Yuh-Lang Lin and Liping Liu
Atmosphere 2026, 17(5), 438; https://doi.org/10.3390/atmos17050438 (registering DOI) - 25 Apr 2026
Viewed by 69
Abstract
Hurricane Florence (2018) proved to be a damaging tropical cyclone that formed off the coast of the Cabo Verde Islands. On 12 UTC 14 September 2018, Florence made landfall as a weakened category 1 Hurricane in Wrightsville Beach, NC. In the midst of [...] Read more.
Hurricane Florence (2018) proved to be a damaging tropical cyclone that formed off the coast of the Cabo Verde Islands. On 12 UTC 14 September 2018, Florence made landfall as a weakened category 1 Hurricane in Wrightsville Beach, NC. In the midst of landfall, Florence’s ground speed stalled considerably to near zero. Because of this stall, Florence continued to accumulate feet of rain along the coastline, and the inundation of seawater became extreme. Due to the impacts of Florence, the Weather Research and Forecasting Model (WRF-ARW) was used to simulate the tropical cyclone and provide insight into the thermodynamics and dynamics that played a significant role at the time of landfall. After the control case, several sensitivity experiments were conducted. The historical sensitivity experiments utilize the thermodynamic and moisture fields of ERA5 reanalysis data from 1968 and 1998, respectively, to modify the thermodynamic and moisture fields in the initial conditions of the WRF–ARW control case. In addition, to study the potential future climate impacts of Florence, the NCAR CESM Global Bias-Corrected CMIP5 Output to Support WRF/MPAS Research dataset was utilized. The same approach was taken as the historical versions of Florence for sensitivity experiments for future climate, i.e., thermodynamic and moisture fields for both 2038 and 2068 under the RCP6.0 and RCP8.5 climate scenarios, respectively. Results suggest a corresponding intensity shift with minor track deflections. Based on these modifications, synoptic and mesoscale dynamics will be studied to provide insight into how Florence-like hurricanes may change based on certain climate scenarios. Full article
(This article belongs to the Section Meteorology)
24 pages, 7941 KB  
Article
Flood Impact on Electricity Assets—The Cases of Barcelona Metropolitan Area
by Pol Paradell Solà, Núria Cantó and Àlex de la Cruz Coronas
Sustainability 2026, 18(9), 4268; https://doi.org/10.3390/su18094268 (registering DOI) - 24 Apr 2026
Viewed by 681
Abstract
The electrical system is a crucial infrastructure of modern society. It provides the energy needed for society to continue its development. However, this critical infrastructure is increasingly threatened by the extreme weather events driven by the escalating climate crisis, posing significant challenges to [...] Read more.
The electrical system is a crucial infrastructure of modern society. It provides the energy needed for society to continue its development. However, this critical infrastructure is increasingly threatened by the extreme weather events driven by the escalating climate crisis, posing significant challenges to sustainable development and energy security. Therefore, it is important to conduct comprehensive risk analyses of the electrical system to prepare for future challenges. This paper presents an electrical risk assessment conducted within the European project ICARIA, aiming to evaluate the effects of global climate change on critical infrastructure resilience. The study improves on the first risk assessment conducted, evaluating the electrical system’s vulnerability to flooding events, such as heavy rains or rising sea levels, in the Metropolitan Area of Barcelona. A key contribution to this research is the integration of direct impact assessments and cascading effect analyses, which identify how localised failures in electrical assets can spread throughout the system, potentially leading to a blackout. The research focuses on modelling various flood projections, using extreme weather scenarios and return periods ranging from 1 to 100 years. These projections are employed to evaluate the risk assessment methodology and quantify potential impacts on the electrical grid, including Expected Annual Damage (EAD) and Energy Not Supplied Cost (ENSC). The results aim to provide policymakers and grid operators with valuable insights, enabling the development of data-driven adaptation strategies and climate-resilient infrastructure planning to mitigate the risks posed by extreme weather events. Full article
23 pages, 1914 KB  
Article
The Hidden Costs of Recurring Drought: Climate Change and Economic Losses in the Barcelona Metropolitan Area
by Sergio Baraibar Molina, Helena Torres Alvaro and Jaume Freire-González
Sustainability 2026, 18(9), 4266; https://doi.org/10.3390/su18094266 (registering DOI) - 24 Apr 2026
Viewed by 590
Abstract
Mediterranean water systems face intensifying drought pressure under climate change, yet the long-term macroeconomic consequences of recurrent water restrictions remain largely unquantified at the metropolitan scale. This study estimates the cumulative economic costs of drought-induced water restrictions in the Barcelona Metropolitan Area (AMB) [...] Read more.
Mediterranean water systems face intensifying drought pressure under climate change, yet the long-term macroeconomic consequences of recurrent water restrictions remain largely unquantified at the metropolitan scale. This study estimates the cumulative economic costs of drought-induced water restrictions in the Barcelona Metropolitan Area (AMB) over 2016–2099 using a supply-driven Input–Output (Ghosh) model driven by six hydro-climatic projections. Drought conditions persist in more than half of all simulated months across all climate projections, generating substantial cumulative undiscounted losses of €52–61 billion through repeated restriction episodes rather than isolated extreme events. The present value of total GDP losses ranges between €8.4 and €41.4 billion depending on the discount rate applied (1%, 3% and 5%). Losses concentrate in service sectors due to strong intersectoral propagation effects, despite agriculture exhibiting the highest direct water dependence. The framework provides a transferable approach for assessing long-term climate-driven drought costs in metropolitan urban or regional economies. Full article
22 pages, 665 KB  
Article
Glycine Betaine-Induced Metabolic Responses Under Heat and Cold Stress in Passiflora edulis f. flavicarpa
by Leonardo de Almeida Oliveira, Nga Thi Thu Nguyen, Darel Kenth Solde Antesco, Maryam Dabirimirhosseinlo, Naoki Terada, Atsushi Sanada and Kaihei Koshio
Int. J. Mol. Sci. 2026, 27(9), 3811; https://doi.org/10.3390/ijms27093811 - 24 Apr 2026
Viewed by 108
Abstract
Temperature extremes represent a major constraint for the cultivation of yellow passion fruit (Passiflora edulis Sims f. flavicarpa), a tropical crop increasingly exposed to heat waves and chilling events under climate change. Glycine betaine (GB) is a widely studied osmoprotectant in [...] Read more.
Temperature extremes represent a major constraint for the cultivation of yellow passion fruit (Passiflora edulis Sims f. flavicarpa), a tropical crop increasingly exposed to heat waves and chilling events under climate change. Glycine betaine (GB) is a widely studied osmoprotectant in plants, yet its influence on metabolic responses of passion fruit under contrasting temperature stresses remains poorly characterized. This study investigated the effects of exogenous GB on primary metabolite profiles of passion fruit seedlings subjected to heat (25, 35, and 45 °C) and cold (25, 15, and 5 °C) conditions. Seedlings were treated with GB (100 mM) or left untreated, and leaf metabolites were quantified using GC–MS-based metabolomics. Heat exposure was associated with pronounced changes in amino acids, organic acids, sugars, polyamines, and γ-aminobutyric acid (GABA), while GB-treated plants showed altered levels of proline, GABA, polyamines, and selected tricarboxylic acid intermediates. Under cold conditions, several amino acids and organic acids decreased, whereas soluble sugars accumulated, particularly in GB-treated plants. Principal component analysis revealed distinct metabolic configurations under heat and cold treatments and indicated that GB modified metabolite profiles in a stress-dependent manner rather than restoring control-like states. These findings describe how GB is associated with shifts in central carbon and nitrogen metabolism under contrasting temperature regimes, providing a metabolomic perspective on stress-related metabolic adjustments in passion fruit. Full article
(This article belongs to the Special Issue Abiotic Stress in Plants, 2nd Edition)
Back to TopTop