A Community-Based Sensor Network for Monitoring the Air Quality in Urban Romania
Abstract
1. Introduction
2. Overview of Community-Based Networks on Air Quality Monitoring
3. uRADMonitor® Network Features
3.1. Background
3.2. Sensors Distribution
3.3. Technical Characteristics of Our Sensors
3.4. Client–Server Architecture
3.5. Data Upload
3.6. Data Access
- (a)
- All recent devices have a micro-USB connector that can power the unit (5V), configure and debug the device, or access the data. We can locally access the data by connecting the unit via USB, opening a serial terminal at a band rate of 9600 bps, and (once associated) typing the “get data” command (see Figure S1 in the Supplementary Materials document).
- (b)
- Local access via the unit’s local network IP for those devices with WiFi or Ethernet connectivity. If the devices connect through GSM or LoRaWAN, one cannot access them via an IP address. Instead, one can use a browser to access a built-in mini web server to see the data saved as a .json file.
- (c)
- Web access via the uRADMonitor® portal frontend by opening the link http://www.uradmonitor.com/?open=ID (accessed on 22 March 2023), where ID is the device ID. This approach opens the global map on the unit-preconfigured location, plotting the sensor data on the charts.
- (d)
- Using the uRADMonitor® cloud API, via REST API calls, following the details presented in the API manual [47].
- (e)
- (f)
- Via the uRADMonitor® mobile app for Android smartphones (see Figure S3).
4. Materials and Methods
5. Results
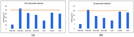
5.1. Analysis Based on EEA Indicators
5.2. Correlation between PM10 Concentrations and Meteorological Parameters
5.3. Comparison with ANPM Data for Timișoara
5.4. Pollution Episode in Timișoara
6. Discussion and Conclusions
Supplementary Materials
Author Contributions
Funding
Institutional Review Board Statement
Informed Consent Statement
Data Availability Statement
Acknowledgments
Conflicts of Interest
References
- Xue, Y.; Wang, L.; Zhang, Y.; Zhao, Y.; Liu, Y. Air pollution: A culprit of lung cancer. J. Hazard. Mater. 2022, 434, 128937. [Google Scholar] [CrossRef] [PubMed]
- Shahriyari, H.A.; Nikmanesh, Y.; Jalali, S.; Tahery, N.; Zhiani Fard, A.; Hatamzadeh, N.; Zarea, K.; Cheraghi, M.; Mohammadi, M.J. Air pollution and human health risks: Mechanisms and clinical manifestations of cardiovascular and respiratory diseases. Toxin Rev. 2022, 41, 606–617. [Google Scholar] [CrossRef]
- Lin, C.-C.; Chiu, C.-C.; Lee, P.-Y.; Chen, K.-J.; He, C.-X.; Hsu, S.-K.; Cheng, K.-C. The Adverse Effects of Air Pollution on the Eye: A Review. Int. J. Environ. Res. Public Health 2022, 19, 1186. [Google Scholar] [CrossRef] [PubMed]
- Nanda, A.; Mustafa, S.S.; Castillo, M.; Bernstein, J.A. Air Pollution Effects in Allergies and Asthma. Immunol. Allergy Clin. 2022, 42, 801–815. [Google Scholar] [CrossRef] [PubMed]
- Monoson, A.; Schott, E.; Ard, K.; Kilburg-Basnyat, B.; Tighe, R.M.; Pannu, S.; Gowdy, K.M. Air pollution and respiratory infections: The past, present, and future. Toxicol. Sci. 2023, 192, 3–14. [Google Scholar] [CrossRef] [PubMed]
- Loaiza-Ceballos, M.C.; Marin-Palma, D.; Zapata, W.; Hernandez, J.C. Viral respiratory infections and air pollutants. Air Qual. Atmos. Health 2022, 15, 105–114. [Google Scholar] [CrossRef]
- Nikmanesh, Y.; Mohammadi, M.J.; Yousefi, H.; Mansourimoghadam, S.; Taherian, M. The effect of long-term exposure to toxic air pollutants on the increased risk of malignant brain tumors. Rev. Environ. Health 2022. [Google Scholar] [CrossRef]
- Murata, H.; Barnhill, L.M.; Bronstein, J.M. Air Pollution and the Risk of Parkinson’s Disease: A Review. Mov. Disord. 2022, 37, 894–904. [Google Scholar] [CrossRef]
- WHO. Air Pollution. Available online: https://www.who.int/health-topics/air-pollution (accessed on 9 March 2023).
- Vohra, K.; Vodonos, A.; Schwartz, J.; Marais, E.A.; Sulprizio, M.P.; Mickley, L.J. Global mortality from outdoor fine particle pollution generated by fossil fuel combustion: Results from GEOS-Chem. Environ. Res. 2021, 195, 110754. [Google Scholar] [CrossRef]
- Wesseling, J.; de Ruiter, H.; Blokhuis, C.; Drukker, D.; Weijers, E.; Volten, H.; Vonk, J.; Gast, L.; Voogt, M.; Zandveld, P.; et al. Development and Implementation of a Platform for Public Information on Air Quality, Sensor Measurements, and Citizen Science. Atmosphere 2019, 10, 445. [Google Scholar] [CrossRef]
- Golumbic, Y.N.; Fishbain, B.; Baram-Tsabari, A. User centered design of a citizen science air-quality monitoring project. Int. J. Sci. Educ. Part B 2019, 9, 195–213. [Google Scholar] [CrossRef]
- De Craemer, S.; Vercauteren, J.; Fierens, F.; Lefebvre, W.; Meysman, F.J.R. Using Large-Scale NO2 Data from Citizen Science for Air-Quality Compliance and Policy Support. Environ. Sci. Technol. 2020, 54, 11070–11078. [Google Scholar] [CrossRef] [PubMed]
- Diviacco, P.; Iurcev, M.; Carbajales, R.J.; Potleca, N. First Results of the Application of a Citizen Science-Based Mobile Monitoring System to the Study of Household Heating Emissions. Atmosphere 2022, 13, 1689. [Google Scholar] [CrossRef]
- Van Brussel, S.; Huyse, H. Citizen science on speed? Realising the triple objective of scientific rigour, policy influence and deep citizen engagement in a large-scale citizen science project on ambient air quality in Antwerp. J. Environ. Plan. Manag. 2019, 62, 534–551. [Google Scholar] [CrossRef]
- WHO. Compendium of WHO and Other UN Guidance on Health and Environment. Available online: https://www.who.int/publications/i/item/WHO-HEP-ECH-EHD-22.01 (accessed on 10 March 2023).
- Taheri Shahraiyni, H.; Sodoudi, S. Statistical Modeling Approaches for PM10 Prediction in Urban Areas; A Review of 21st-Century Studies. Atmosphere 2016, 7, 15. [Google Scholar] [CrossRef]
- Madrigano, J.; Mittleman, M.A.; Baccarelli, A.; Goldberg, R.; Melly, S.; von Klot, S.; Schwartz, J. Temperature, myocardial infarction, and mortality: Effect modification by individual- and area-level characteristics. Epidemiology 2013, 24, 439–446. [Google Scholar] [CrossRef] [PubMed]
- Berko, J.; Ingram, D.D.; Saha, S.; Parker, J.D. Deaths attributed to heat, cold, and other weather events in the United States, 2006–2010. Natl. Health Stat. Rep. 2014, 76, 1–15. [Google Scholar]
- Velea, L.; Udristioiu, M.T.; Bojariu, R.; Sararu, S.C.; Prunariu, L. The influence of climate conditions on the mortality related to cardiovascular diseases in Dolj county (Southern Romania). AIP Conf. Proc. 2017, 1796, 040003. [Google Scholar] [CrossRef]
- United States Environmental Protection Agency. Recommendations and Guidance for EPA to Develop Monitoring Programs in Communities; United States Environmental Protection Agency: Washington, DC, USA, 2017.
- Tshehla, C.E.; Wright, C.Y. Spatial and Temporal Variation of PM10 from Industrial Point Sources in a Rural Area in Limpopo, South Africa. Int. J. Environ. Res. Public Health 2019, 16, 3455. [Google Scholar] [CrossRef]
- European Environment Agency. Air Polution: Policy Context; European Environment Agency: Copenhagen, Denmark, 2021. [Google Scholar]
- Commodore, A.; Wilson, S.; Muhammad, O.; Svendsen, E.; Pearce, J. Community-based participatory research for the study of air pollution: A review of motivations, approaches, and outcomes. Environ. Monit. Assess. 2017, 189, 378. [Google Scholar] [CrossRef]
- Jiao, W.; Hagler, G.; Williams, R.; Sharpe, R.; Brown, R.; Garver, D.; Judge, R.; Caudill, M.; Rickard, J.; Davis, M.; et al. Community Air Sensor Network (CAIRSENSE) project: Evaluation of low-cost sensor performance in a suburban environment in the southeastern United States. Atmos. Meas. Tech. 2016, 9, 5281–5292. [Google Scholar] [CrossRef] [PubMed]
- Smart Citizen®. Available online: https://smartcitizen.me (accessed on 20 March 2023).
- Gibney, E. ‘Open-hardware’ pioneers push for low-cost lab kit. Nature 2016, 531, 147–148. [Google Scholar] [CrossRef] [PubMed]
- Public Laboratory for Open Technology and Science. Available online: https://publiclab.org/ (accessed on 20 March 2023).
- European Environment Agency: New Eye on Earth Global Mapping and Information Service Now Live. Available online: https://www.eea.europa.eu/media/newsreleases/new-eye-on-earth-global (accessed on 20 March 2023).
- Global Learning and Observations to Benefit the Environment (GLOBE) Program. Available online: https://www.globe.gov/ (accessed on 21 March 2023).
- HabitatMap©. Available online: https://www.habitatmap.org/ (accessed on 21 March 2023).
- Imperial County Community Air Monitoring Project. Available online: https://trackingcalifornia.org/imperial-air-project/imperial-air-project-landing (accessed on 21 March 2023).
- English, P.B.; Olmedo, L.; Bejarano, E.; Lugo, H.; Murillo, E.; Seto, E.; Wong, M.; King, G.; Wilkie, A.; Meltzer, D.; et al. The Imperial County Community Air Monitoring Network: A Model for Community-based Environmental Monitoring for Public Health Action. Environ. Health Perspect. 2017, 125, 074501. [Google Scholar] [CrossRef]
- Citizen Weather Observer Program. Available online: http://www.wxqa.com/ (accessed on 21 March 2023).
- Shah, R.U.; Padilla, L.E.; Peters, D.R.; Dupuy-Todd, M.; Fonseca, E.R.; Ma, G.Q.; Popoola, O.A.M.; Jones, R.L.; Mills, J.; Martin, N.A.; et al. Identifying Patterns and Sources of Fine and Ultrafine Particulate Matter in London Using Mobile Measurements of Lung-Deposited Surface Area. Environ. Sci. Technol. 2023, 57, 96–108. [Google Scholar] [CrossRef]
- Kirešová, S.; Guzan, M.; Sobota, B. Using Low-Cost Sensors for Measuring and Monitoring Particulate Matter with a Focus on Fine and Ultrafine Particles. Atmosphere 2023, 14, 324. [Google Scholar] [CrossRef]
- “Excellence in Innovation” Award from Orange at Innovation Labs Gala. Available online: https://www.uradmonitor.com/excellence-in-innovation-award-from-orange/ (accessed on 21 March 2023).
- ClearAir-Oltenia©. Available online: https://www.clearairoltenia.ro/ (accessed on 21 March 2023).
- Chen, Y.; Liu, Q.; Geng, F.; Zhang, H.; Cai, C.; Xu, T.; Ma, X.; Li, H. Vertical distribution of optical and micro-physical properties of ambient aerosols during dry haze periods in Shanghai. Atmos. Environ. 2012, 50, 50–59. [Google Scholar] [CrossRef]
- Deng, X.; Li, F.; Li, Y.; Li, J.; Huang, H.; Liu, X. Vertical distribution characteristics of PM in the surface layer of Guangzhou. Particuology 2015, 20, 3–9. [Google Scholar] [CrossRef]
- Li, X.; Ma, Y.; Wang, Y.; Wei, W.; Zhang, Y.; Liu, N.; Hong, Y. Vertical Distribution of Particulate Matter and its Relationship with Planetary Boundary Layer Structure in Shenyang, Northeast China. Aerosol Air Qual. Res. 2019, 19, 2464–2476. [Google Scholar] [CrossRef]
- Li, C.; Liu, M.; Hu, Y.; Wang, H.; Xiong, Z.; Wu, W.; Liu, C.; Zhang, C.; Du, Y. Investigating the vertical distribution patterns of urban air pollution based on unmanned aerial vehicle gradient monitoring. Sustain. Cities Soc. 2022, 86, 104144. [Google Scholar] [CrossRef]
- Samad, A.; Vogt, U.; Panta, A.; Uprety, D. Vertical distribution of particulate matter, black carbon and ultra-fine particles in Stuttgart, Germany. Atmos. Pollut. Res. 2020, 11, 1441–1450. [Google Scholar] [CrossRef]
- Shen, J.; Feng, X.; Zhuang, K.; Lin, T.; Zhang, Y.; Wang, P. Vertical Distribution of Particulates within the Near-Surface Layer of Dry Bulk Port and Influence Mechanism: A Case Study in China. Sustainability 2019, 11, 7135. [Google Scholar] [CrossRef]
- Motișan, R. Magnasci SRL, Timisoara, 300414, Romania. Available online: https://www.uradmonitor.com/products/ (accessed on 21 March 2023).
- Qin, X.; Hou, L.; Gao, J.; Si, S. The evaluation and optimization of calibration methods for low-cost particulate matter sensors: Inter-comparison between fixed and mobile methods. Sci. Total Environ. 2020, 715, 136791. [Google Scholar] [CrossRef] [PubMed]
- uRADMonitor Server, Backend, API, and Frontend. Available online: https://uradmonitor.com/wp-content/uploads/2019/01/uRADMonitor_server_specs_02_comp.pdf (accessed on 22 March 2023).
- uRADMonitor Dashboard. Available online: http://www.uradmonitor.com/dashboard (accessed on 22 March 2023).
- Calitate Aer—Reteaua Nationala de Monitorizare a Calitatii Aerului: Rapoarte. Available online: https://www.calitateaer.ro/public/monitoring-page/reports-reports-page/?__locale=ro (accessed on 6 March 2023).
- Tanasa, I.; Cazacu, M.; Sluser, B. Air Quality Integrated Assessment: Environmental Impacts, Risks and Human Health Hazards. Appl. Sci. 2023, 13, 1222. [Google Scholar] [CrossRef]
- The European Parliament and The Council of The European Union. Directive 2008/50/EC of the European Parliament and of the Council of 21 May 2008 on ambient air quality and cleaner air for Europe. Off. J. Eur. Union 2008, L152, 1–44. [Google Scholar]
- European Environment Agency: Eionet Data Dictionary: Concept: Annual Mean. Available online: http://dd.eionet.europa.eu/vocabulary/aq/aggregationprocess/P1Y (accessed on 20 March 2023).
- European Environment Agency: Eionet Data Dictionary: Concept: 1 Year Day Max. Available online: http://dd.eionet.europa.eu/vocabulary/aq/aggregationprocess/P1Y-day-max (accessed on 21 March 2023).
- European Environment Agency: Eionet Data Dictionary: Concept: 1 Year 50%ile of Daily Values in a Year. Available online: http://dd.eionet.europa.eu/vocabulary/aq/aggregationprocess/P1Y-day-per50 (accessed on 21 March 2023).
- European Environment Agency: Eionet Data Dictionary: Concept: 1 Year 90.4 Percentile. Available online: http://dd.eionet.europa.eu/vocabulary/aq/aggregationprocess/P1Y-P1D-per90.4 (accessed on 21 March 2023).
- Horálek, J.; Vlasáková, L.; Schreiberová, M.; Marková, J.; Schneider, P.; Kurfürst, P.; Tognet, F.; Schovánková, J.; Vlček, O.; Damašková, D. European Air Quality Maps for 2020. PM10, PM2.5, Ozone, NO2, NOx and Benzo(a)pyrene Spatial Estimates and Their Uncertainties; Eionet Report-ETC/HE 2022/12; European Topic Centre on Human Health and the Environment: Truro, UK, 2023; Volume 12, ISBN 978-82-93970-17-0. [Google Scholar]
- WHO. WHO Global Air Quality Guidelines: Particulate Matter (PM2.5 and PM10), Ozone, Nitrogen Dioxide, Sulfur Dioxide and Carbon Monoxide. Available online: https://apps.who.int/iris/handle/10665/345329 (accessed on 22 March 2023).
- Udristioiu, M.T.; Velea, L.; Motisan, R. First results given by the independent air pollution monitoring network from Craiova city Romania. In Proceedings of the AIP Conference Proceedings, Timisoara, Romania, 11–13 November 2021. [Google Scholar]
- Liu, Y.; Zhou, Y.; Lu, J. Exploring the relationship between air pollution and meteorological conditions in China under environmental governance. Sci. Rep. 2020, 10, 14518. [Google Scholar] [CrossRef] [PubMed]
- Saramak, A. Comparative analysis of indoor and outdoor concentration of PM10 particulate matter on example of Cracow City Center. Int. J. Environ. Sci. Technol. 2019, 16, 6609–6616. [Google Scholar] [CrossRef]
- Tian, G.; Qiao, Z.; Xu, X. Characteristics of particulate matter (PM10) and its relationship with meteorological factors during 2001–2012 in Beijing. Environ. Pollut. 2014, 192, 266–274. [Google Scholar] [CrossRef]
- Zuśka, Z.; Kopcińska, J.; Dacewicz, E.; Skowera, B.; Wojkowski, J.; Ziernicka–Wojtaszek, A. Application of the Principal Component Analysis (PCA) Method to Assess the Impact of Meteorological Elements on Concentrations of Particulate Matter (PM10): A Case Study of the Mountain Valley (the Sącz Basin, Poland). Sustainability 2019, 11, 6740. [Google Scholar] [CrossRef]
- Sirithian, D.; Thanatrakolsri, P. Relationships between Meteorological and Particulate Matter Concentrations (PM2.5 and PM10) during the Haze Period in Urban and Rural Areas, Northern Thailand. Air Soil Water Res. 2022, 15, 11786221221117264. [Google Scholar] [CrossRef]
- Yang, H.; Peng, Q.; Zhou, J.; Song, G.; Gong, X. The unidirectional causality influence of factors on PM2.5 in Shenyang city of China. Sci. Rep. 2020, 10, 8403. [Google Scholar] [CrossRef]
- Czernecki, B.; Półrolniczak, M.; Kolendowicz, L.; Marosz, M.; Kendzierski, S.; Pilguj, N. Influence of the atmospheric conditions on PM10 concentrations in Poznań, Poland. J. Atmos. Chem. 2017, 74, 115–139. [Google Scholar] [CrossRef]
- Kirešová, S.; Guzan, M. Determining the Correlation between Particulate Matter PM10 and Meteorological Factors. Eng 2022, 3, 343–363. [Google Scholar] [CrossRef]
- Sekuła, P.; Bokwa, A.; Bartyzel, J.; Bochenek, B.; Chmura, Ł.; Gałkowski, M.; Zimnoch, M. Measurement report: Effect of wind shear on PM10 concentration vertical structure in the urban boundary layer in a complex terrain. Atmos. Chem. Phys. 2021, 21, 12113–12139. [Google Scholar] [CrossRef]
- Janhäll, S. Review on urban vegetation and particle air pollution—Deposition and dispersion. Atmos. Environ. 2015, 105, 130–137. [Google Scholar] [CrossRef]
- Jiang, B.; Sun, C.; Mu, S.; Zhao, Z.; Chen, Y.; Lin, Y.; Qiu, L.; Gao, T. Differences in Airborne Particulate Matter Concentration in Urban Green Spaces with Different Spatial Structures in Xi’an, China. Forests 2022, 13, 14. [Google Scholar] [CrossRef]
- Applying Some Advanced Technologies in Teaching and Research, in Relation to Air Pollution. Available online: http://advtech-airpollution.ucv.ro/index.php/en/ (accessed on 6 March 2023).










| Label | Sensor ID | Sensor Type | Latitude | Longitude | City | No. of Logged Days |
|---|---|---|---|---|---|---|
| BUC-022 | 16000022 | SMOGGIE PM | 44.408 | 26.120 | București | 353 |
| BUC-2AF | 820002AF | A3 | 44.416 | 26.036 | București | 356 |
| CTA | 160000F6 | SMOGGIE PM | 44.180 | 28.632 | Constanța | 361 |
| C-NAP | 160000CA | SMOGGIE PM | 46.756 | 23.567 | Cluj-Napoca | 337 |
| IASI | 1600021F | SMOGGIE PM | 47.139 | 27.657 | Iași | 345 |
| TIM-235 | 16000235 | SMOGGIE PM | 45.754 | 21.226 | Timișoara | 309 |
| TIM-0C2 | 160000C2 | SMOGGIE PM | 45.761 | 21.251 | Timișoara | 359 |
| Date | PM10-GRAV [µg/m3] | PM10-LPSM [µg/m3] |
|---|---|---|
| 25 February 2021 | 75.13 | 75.12 |
| 26 February 2021 | 69.13 | 70.64 |
| 27 February 2021 | 57.60 | 71.26 |
| 4 March 2021 | 77.31 | 82.92 |
| 5 March 2021 | 67.05 | 67.82 |
| Sensors Pair | Number of Valid Simultaneous Measurements | Correlation Coefficient |
|---|---|---|
| TM2-GRAV vs. TIM-0C2 | 321 | 0.564 |
| TM2-LPSM vs. TIM-0C2 | 335 | 0.584 |
| TM2-GRAV vs. TIM-235 | 273 | 0.723 |
| TM2-LPSM vs. TIM-235 | 289 | 0.725 |
Disclaimer/Publisher’s Note: The statements, opinions and data contained in all publications are solely those of the individual author(s) and contributor(s) and not of MDPI and/or the editor(s). MDPI and/or the editor(s) disclaim responsibility for any injury to people or property resulting from any ideas, methods, instructions or products referred to in the content. |
© 2023 by the authors. Licensee MDPI, Basel, Switzerland. This article is an open access article distributed under the terms and conditions of the Creative Commons Attribution (CC BY) license (https://creativecommons.org/licenses/by/4.0/).
Share and Cite
Velea, L.; Udriștioiu, M.T.; Puiu, S.; Motișan, R.; Amarie, D. A Community-Based Sensor Network for Monitoring the Air Quality in Urban Romania. Atmosphere 2023, 14, 840. https://doi.org/10.3390/atmos14050840
Velea L, Udriștioiu MT, Puiu S, Motișan R, Amarie D. A Community-Based Sensor Network for Monitoring the Air Quality in Urban Romania. Atmosphere. 2023; 14(5):840. https://doi.org/10.3390/atmos14050840
Chicago/Turabian StyleVelea, Liliana, Mihaela Tinca Udriștioiu, Silvia Puiu, Radu Motișan, and Dragos Amarie. 2023. "A Community-Based Sensor Network for Monitoring the Air Quality in Urban Romania" Atmosphere 14, no. 5: 840. https://doi.org/10.3390/atmos14050840
APA StyleVelea, L., Udriștioiu, M. T., Puiu, S., Motișan, R., & Amarie, D. (2023). A Community-Based Sensor Network for Monitoring the Air Quality in Urban Romania. Atmosphere, 14(5), 840. https://doi.org/10.3390/atmos14050840

